Toxicity and Lethal Effect of Greenhouse Insecticides on Coccinella septempunctata (Coleoptera: Coccinellidae) as Biological Control Agent of Myzus persicae (Hemiptera: Aphididae)
Abstract
1. Introduction
2. Materials and Methods
2.1. Insect Rearing
2.2. Insecticides
2.3. Dose Response to Topical Application Bioassays
2.4. Evaluation of Low and Sublethal Effects on Fourth Instar Larvae
2.5. Greenhouse Residual Toxicity Test
2.6. Statistical Analysis
3. Results
3.1. Toxicity of Deltamethrin and Imidacloprid to C. septempunctata
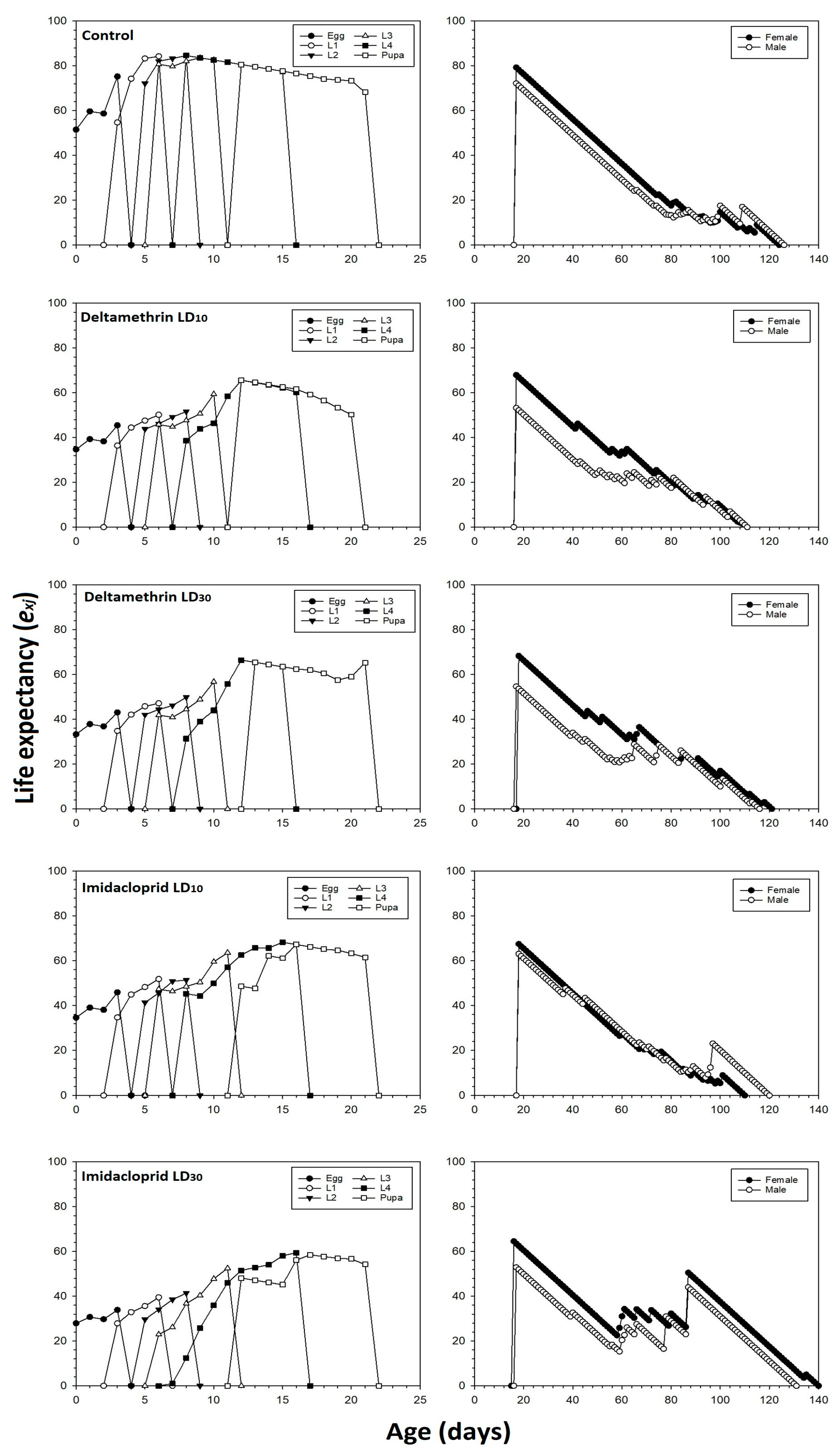
3.2. Sublethal Effects of Deltamethrin and Imidacloprid on C. septempunctata
3.3. Greenhouse Residual Toxicity Test
4. Discussion
5. Conclusions
Supplementary Materials
Author Contributions
Funding
Institutional Review Board Statement
Data Availability Statement
Acknowledgments
Conflicts of Interest
References
- Pineda, A.; Angeles Marcos-Garcia, M.J.E. Introducing barley as aphid reservoir in sweet-pepper greenhouses: Effects on native and released hoverflies (Diptera: Syrphidae). Eur. J. Entomol. 2008, 105, 531–535. [Google Scholar] [CrossRef]
- Blackman, R.L.; Eastop, V.F. Taxonomic Issues. In Aphids as Crop Pests, 2nd ed.; Van Emden, H.F., Harrington, R., Eds.; CAB International: Wallingford, UK, 2017; Chapter 1; pp. 1–36. [Google Scholar]
- Goggin, F.L. Plant–aphid interactions: Molecular and ecological perspectives. Curr. Opin. Plant Biol. 2007, 10, 399–408. [Google Scholar] [CrossRef] [PubMed]
- Bass, C.; Puinean, A.M.; Zimmer, C.T.; Denholm, I.; Field, L.M.; Foster, S.P.; Gutbrod, O.; Nauen, R.; Slater, R.; Williamson, M.S. The evolution of insecticide resistance in the peach potato aphid, Myzus persicae. Insect Biochem. Mol. Biol. 2014, 51, 41–51. [Google Scholar] [CrossRef] [PubMed]
- Margaritopoulos, J.T.; Kati, A.N.; Voudouris, C.C.; Skouras, P.J.; Tsitsipis, J.A. Long-term studies on the evolution of resistance of Myzus persicae (Hemiptera: Aphididae) to insecticides in Greece. Bull. Entomol. Res. 2021, 111, 1–16. [Google Scholar] [CrossRef]
- Singh, K.S.; Cordeiro, E.M.G.; Troczka, B.J.; Pym, A.; Mackisack, J.; Mathers, T.C.; Duarte, A.; Legeai, F.; Robin, S.; Bielza, P.; et al. Global patterns in genomic diversity underpinning the evolution of insecticide resistance in the aphid crop pest Myzus persicae. Commun. Biol. 2021, 4, 847. [Google Scholar] [CrossRef]
- Umina, P.A.; Bass, C.; van Rooyen, A.; Chirgwin, E.; Arthur, A.L.; Pym, A.; Mackisack, J.; Mathews, A.; Kirkland, L. Spi-rotetramat resistance in Myzus persicae (Sulzer) (Hemiptera: Aphididae) and its association with the presence of the A2666V mutation. Pest Manag. Sci. 2022, 78, 4822–4831. [Google Scholar] [CrossRef] [PubMed]
- Overton, K.; Ward, S.E.; Hoffmann, A.A.; Umina, P.A. Lethal impacts of insecticides and miticides on three agriculturally important aphid parasitoids. Biol. Control 2023, 178, 105143. [Google Scholar] [CrossRef]
- Riddick, E.W. Identification of Conditions for Successful Aphid Control by Ladybirds in Greenhouses. Insects 2017, 8, 38. [Google Scholar] [CrossRef]
- Powell, W.; Pell, J.K. Biological Control. In Aphids as Crop Pests, 2nd ed.; Van Emden, H.F., Harrington, R., Eds.; CAB International: Wallingford, UK, 2017; pp. 469–513. [Google Scholar] [CrossRef]
- Van Driesche, R.G. An overview of biological control in protected culture. In BioControl in Protected Culture; van Driesche, R., Heinz, K.M., Parrella, M.P., Eds.; Ball Publishing: Batavia, IL, USA, 2004; pp. 1–24. [Google Scholar]
- Yano, E. Ecological considerations for biological control of aphids in protected culture. Popul. Ecol. 2006, 48, 333. [Google Scholar] [CrossRef]
- Hodek, I.; Honek, A.; Van Emden, H.F. Ecology and Behaviour of the Ladybird Beetles (Coccinellidae); John Wiley & Sons: Hoboken, NJ, USA, 2012. [Google Scholar]
- Singh, S.R.; Walters, K.F.A.; Port, G.R.; Northing, P. Consumption rates and predatory activity of adult and fourth instar larvae of the seven spot ladybird, Coccinella septempunctata (L.), following contact with dimethoate residue and contam-inated prey in laboratory arenas. Biol. Control 2004, 30, 127–133. [Google Scholar] [CrossRef]
- Zhang, P.; Lu, Y.; Chao, W.; Dong, Z.; Ali, A.; Liu, T.X.; Lu, Z. When Does the Prey/Predator Ratio Work for the Effective Biocontrol of Cotton Aphid on Cotton Seedlings? Insects 2022, 13, 400. [Google Scholar] [CrossRef]
- Bass, C.; Denholm, I.; Williamson, M.S.; Nauen, R. The global status of insect resistance to neonicotinoid insecticides. Pestic. Biochem. Physiol. 2015, 121, 78–87. [Google Scholar] [CrossRef]
- Authority, E.F.S. Guidance on the risk assessment of plant protection products on bees (Apis mellifera, Bombus spp. and solitary bees). EFSA J. 2013, 11, 3295. [Google Scholar] [CrossRef]
- Tasman, K.; Hidalgo, S.; Zhu, B.; Rands, S.A.; Hodge, J.J.L. Neonicotinoids disrupt memory, circadian behaviour and sleep. Sci. Rep. 2021, 11, 2061. [Google Scholar] [CrossRef]
- Santos, A.C.C.; Cristaldo, P.F.; Araújo, A.P.A.; Melo, C.R.; Lima, A.P.S.; Santana, E.D.R.; de Oliveira, B.M.S.; Oliveira, J.W.S.; Vieira, J.S.; Blank, A.F.; et al. Apis mellifera (Insecta: Hymenoptera) in the target of neonicotinoids: A one-way ticket? Bi-oinsecticides can be an alternative. Ecotoxicol. Environ. Saf. 2018, 163, 28–36. [Google Scholar] [CrossRef]
- Medina, P.; Budia, F.; Estal, P.D.; Adán, A.; Viñuela, E. Toxicity of Fipronil to the Predatory Lacewing Chrysoperla carnea (Neuroptera: Chrysopidae). Biocontrol Sci. Technol. 2004, 14, 261–268. [Google Scholar] [CrossRef]
- Stark, J.D.; Jepson, P.C.; Mayer, D.F. Limitations to Use of Topical Toxicity Data for Predictions of Pesticide Side Effects in the Field. J. Econ. Entomol. 1995, 88, 1081–1088. [Google Scholar] [CrossRef]
- Blackman, R.L. Variation in the photoperiodic response within natural populations of Myzus persicae (Sulz.). Bull. Entomol. Res. 1971, 60, 533–546. [Google Scholar] [CrossRef] [PubMed]
- Chi, H. TWOSEX-MSChart: A Computer Program for the Age-Stage, Two-Sex Life Table Analysis; National Chung Hsing University: Taichung, Taiwan, 2021; Available online: http://140.120.197.173/Ecology/ (accessed on 1 November 2022).
- Chi, H. Life-Table Analysis Incorporating Both Sexes and Variable Development Rates Among Individuals. Environ. Entomol. 1988, 17, 26–34. [Google Scholar] [CrossRef]
- Chi, H.; Liu, H. Two new methods for the study of insect population ecology. Bull. Inst. Zool. Acad. Sin. 1985, 24, 225–240. [Google Scholar]
- Wei, M.; Chi, H.; Guo, Y.; Li, X.; Zhao, L.; Ma, R. Demography of Cacopsylla chinensis (Hemiptera: Psyllidae) Reared on Four Cultivars of Pyrus bretschneideri (Rosales: Rosaceae) and P. communis Pears with Estimations of Confidence Intervals of Specific Life Table Statistics. J. Econ. Entomol. 2020, 113, 2343–2353. [Google Scholar] [CrossRef] [PubMed]
- Desneux, N.; Decourtye, A.; Delpuech, J.-M. The Sublethal Effects of Pesticides on Beneficial Arthropods. Annu. Rev. Entomol. 2007, 52, 81–106. [Google Scholar] [CrossRef] [PubMed]
- Quesada, C.R.; Sadof, C.S. Residual toxicity of insecticides to Chrysoperla rufilabris and Rhyzobius lophanthae predators as biocontrol agents of pine needle scale. Crop Prot. 2020, 130, 105044. [Google Scholar] [CrossRef]
- Garzón, A.; Medina, P.; Amor, F.; Viñuela, E.; Budia, F. Toxicity and sublethal effects of six insecticides to last instar larvae and adults of the biocontrol agents Chrysoperla carnea (Stephens) (Neuroptera: Chrysopidae) and Adalia bipunctata (L.) (Coleoptera: Coccinellidae). Chemosphere 2015, 132, 87–93. [Google Scholar] [CrossRef]
- He, F.; Sun, S.; Tan, H.; Sun, X.; Shang, D.; Yao, C.; Qin, C.; Ji, S.; Li, X.; Zhang, J.; et al. Compatibility of chlorantraniliprole with the generalist predator Coccinella septempunctata L. (Coleoptera: Coccinellidae) based toxicity, life-cycle development and population parameters in laboratory microcosms. Chemosphere 2019, 225, 182–190. [Google Scholar] [CrossRef]
- He, Y.; Zhao, J.; Zheng, Y.; Desneux, N.; Wu, K. Lethal effect of imidacloprid on the coccinellid predator Serangium japonicum and sublethal effects on predator voracity and on functional response to the whitefly Bemisia tabaci. Ecotoxicology 2012, 21, 1291–1300. [Google Scholar] [CrossRef] [PubMed]
- Jiang, J.; Zhang, Z.; Yu, X.; Yu, C.; Liu, F.; Mu, W. Sublethal and transgenerational effects of thiamethoxam on the demo-graphic fitness and predation performance of the seven-spot ladybeetle Coccinella septempunctata L. (Coleoptera: Coc-cinellidae). Chemosphere 2019, 216, 168–178. [Google Scholar] [CrossRef]
- Olszak, R.W. Influence of some pesticides on mortality and fecundity of the aphidophagous coccinellid Adalia bipunctata L. (Col., Coccinellidae). J. Appl. Entomol. 1999, 123, 41–45. [Google Scholar] [CrossRef]
- Rahmani, S.; Bandani, A.R. Sublethal concentrations of thiamethoxam adversely affect life table parameters of the aphid predator, Hippodamia variegata (Goeze) (Coleoptera: Coccinellidae). Crop Prot. 2013, 54, 168–175. [Google Scholar] [CrossRef]
- Rizwan, M.; Atta, B.; Rizwan, M.; Ashraf, I.; Arshad, M.; Tahir, M.; Ali, M.; Sabir, A.M.; Bilal, M.; Ali, M.Y. Do neonicotinoids better than pyrethroids for Coccinella septempunctata L. (Coleoptera: Coccinellidae)? A comparative sub-lethal indirect age-stage, two-sex life tables laboratory bioassay. Int. J. Trop. Insect Sci. 2021, 41, 2811–2819. [Google Scholar] [CrossRef]
- Skouras, P.J.; Brokaki, M.; Stathas, G.J.; Demopoulos, V.; Louloudakis, G.; Margaritopoulos, J.T. Lethal and sub-lethal effects of imidacloprid on the aphidophagous coccinellid Hippodamia variegata. Chemosphere 2019, 229, 392–400. [Google Scholar] [CrossRef] [PubMed]
- Skouras, P.J.; Darras, A.I.; Mprokaki, M.; Demopoulos, V.; Margaritopoulos, J.T.; Delis, C.; Stathas, G.J. Toxicity, sublethal and low dose effects of imidacloprid and deltamethrin on the aphidophagous predator Ceratomegilla undecimnotata (Coleoptera: Coccinellidae). Insects 2021, 12, 696. [Google Scholar] [CrossRef]
- Wang, L.; Zhai, Y.; Zhu, J.; Wang, Q.; Ji, X.; Wang, W.; Yuan, H.; Rui, C.; Cui, L. Sulfoxaflor adversely influences the bio-logical characteristics of Coccinella septempunctata by suppressing vitellogenin expression and predation activity. J. Hazard. Mater. 2023, 447, 130787. [Google Scholar] [CrossRef]
- Xiao, D.; Zhao, J.; Guo, X.; Chen, H.; Qu, M.; Zhai, W.; Desneux, N.; Biondi, A.; Zhang, F.; Wang, S. Sublethal effects of imidacloprid on the predatory seven-spot ladybird beetle Coccinella septempunctata. Ecotoxicology 2016, 25, 1782–1793. [Google Scholar] [CrossRef] [PubMed]
- Margaritopoulos, J.T.; Skouras, P.J.; Nikolaidou, P.; Manolikaki, J.; Maritsa, K.; Tsamandani, K.; Kanavaki, O.M.; Bacan-dritsos, N.; Zarpas, K.D.; Tsitsipis, J.A. Insecticide resistance status of Myzus persicae (Hemiptera: Aphididae) populations from peach and tobacco in mainland Greece. Pest Manag. Sci. 2007, 63, 821–829. [Google Scholar] [CrossRef] [PubMed]
- Jalali, M.A.; Van Leeuwen, T.; Tirry, L.; De Clercq, P. Toxicity of selected insecticides to the two-spot ladybird Adalia bipunctata. Phytoparasitica 2009, 37, 323–326. [Google Scholar] [CrossRef]
- Afza, R.; Afzal, A.; Riaz, M.A.; Majeed, M.Z.; Idrees, A.; Qadir, Z.A.; Afzal, M.; Hassan, B.; Li, J. Sublethal and transgener-ational effects of synthetic insecticides on the biological parameters and functional response of Coccinella septempunctata (Coleoptera: Coccinellidae) under laboratory conditions. Front. Physiol. 2023, 14, 1088712. [Google Scholar] [CrossRef]
- Skouras, P.J.; Stathas, G.J.; Voudouris, C.C.; Darras, A.I.; Tsitsipis, J.A.; Margaritopoulos, J.T. Effect of synthetic insecticides on the larvae of Coccinella septempunctata from Greek populations. Phytoparasitica 2017, 45, 165–173. [Google Scholar] [CrossRef]
- Hannig, G.T.; Ziegler, M.; Marçon, P.G. Feeding cessation effects of chlorantraniliprole, a new anthranilic diamide in-secticide, in comparison with several insecticides in distinct chemical classes and mode-of-action groups. Pest Manag. Sci. 2009, 65, 969–974. [Google Scholar] [CrossRef]
- Yu, C.; Lin, R.; Fu, M.; Zhou, Y.; Zong, F.; Jiang, H.; Lv, N.; Piao, X.; Zhang, J.; Liu, Y.; et al. Impact of imidacloprid on life-cycle development of Coccinella septempunctata in laboratory microcosms. Ecotoxicol. Environ. Saf. 2014, 110, 168–173. [Google Scholar] [CrossRef]
- Xie, J.; De Clercq, P.; Pan, C.; Li, H.; Zhang, Y.; Pang, H. Larval nutrition-induced plasticity affects reproduction and gene expression of the ladybeetle, Cryptolaemus montrouzieri. BMC Evol. Biol. 2015, 15, 276. [Google Scholar] [CrossRef] [PubMed]
- Ju, D.; Liu, Y.-X.; Liu, X.; Dewer, Y.; Mota-Sanchez, D.; Yang, X.-Q. Exposure to lambda-cyhalothrin and abamectin drives sublethal and transgenerational effects on the development and reproduction of Cydia pomonella. Ecotoxicol. Environ. Saf. 2023, 252, 114581. [Google Scholar] [CrossRef] [PubMed]
- Xu, C.; Zhang, Z.; Cui, K.; Zhao, Y.; Han, J.; Liu, F.; Mu, W. Effects of Sublethal Concentrations of Cyantraniliprole on the Development, Fecundity and Nutritional Physiology of the Black Cutworm Agrotis ipsilon (Lepidoptera: Noctuidae). PLoS ONE 2016, 11, e0156555. [Google Scholar] [CrossRef] [PubMed]






| Insecticide | N a | Dose Nanograms (a.i.) per Insect (95% CL)−1 | Slope ± SE | χ2 | p | df | ||
|---|---|---|---|---|---|---|---|---|
| LD10 | LD30 | LD50 | ||||||
| Imidacloprid | 540 | 357.96 (301.27–406.91) | 519.13 (464.81–567.17) | 671.56 (619.02–723.76) | 4.690 ± 0.408 | 3.778 | 0.707 | 6 |
| Deltamethrin | 480 | 0.337 (0.260–0.413) | 0.633 (0.530–0.737) | 0.980 (0.848–1.127) | 2.763 ± 0.215 | 1.687 | 0.891 | 5 |
| Treatments | N a | Development Time of Fourth Instar Larva (d) | N a | Development Time of Pupa (d) |
|---|---|---|---|---|
| Control | 35 | 4.51 ± 0.12 b | 35 | 5.03 ± 0.10 a |
| Imidacloprid LD10 | 39 | 5.17 ± 0.18 a | 29 | 4.96 ± 0.13 ab |
| Imidacloprid LD30 | 53 | 5.28 ± 0.15 a | 29 | 5.04 ± 0.11 a |
| Deltamethrin LD10 | 43 | 5.18 ± 0.17 a | 28 | 4.64 ± 0.11 b |
| Deltamethrin LD30 | 47 | 5.11 ± 0.17 a | 28 | 4.82 ± 0.14 ab |
| Treatments | Adult Longevity (d) | N a | Male Adult Longevity (d) | N a | Female Adult Longevity (d) | APOP (d) | TPOP (d) | Fecundity (Eggs/Female) |
|---|---|---|---|---|---|---|---|---|
| Control | 73.63 ± 2.34 a | 18 | 70.11 ± 3.29 a | 17 | 77.35 ± 3.17 a | 8.88 ± 0.73 a | 27.76 ± 0.72 a | 758.12 ± 48.24 a |
| Imidacloprid LD10 | 63.38 ± 3.77 b | 13 | 61.23 ± 6.42 ab | 13 | 65.54 ± 4.14 b | 13.85 ± 2.78 a | 33.77 ± 2.83 a | 363.38 ± 99.66 bc |
| Imidacloprid LD30 | 55.33 ± 5.27 b | 12 | 50.33 ± 6.80 b | 12 | 60.33 ± 8.07 b | 13.58 ± 1.19 a | 33.75 ± 1.46 a | 228.25 ± 57.58 c |
| Deltamethrin LD10 | 58.82 ± 4.33 b | 14 | 50.79 ± 5.49 b | 14 | 66.86 ± 6.44 ab | 12.64 ± 2.75 a | 30.71 ± 2.72 a | 322.00 ± 60.06 bc |
| Deltamethrin LD30 | 59.43 ± 4.71 b | 15 | 52.67 ± 5.85 b | 13 | 67.23 ± 7.21 ab | 9.00 ± 2.03 a | 28.08 ± 2.13 a | 517.62 ± 132.81 ab |
| Treatments | N a | Intrinsic Rate of Increase (r) Day−1 | Net Reproductive Rate (R0) (Offspring per Individual) | Mean Generation Time (T) (Days) | Finite Rate of Increase (λ) (Day−1) |
|---|---|---|---|---|---|
| Control | 65 | 0.121164 ± 0.006 a | 198.28 ± 43.07 a | 42.66 ± 0.99 a | 1.12 ± 0.007 a |
| Imidacloprid LD10 | 71 | 0.086798± 0.009 b | 66.54 ± 24.19 b | 48.36 ± 4.27 a | 1.09 ± 0.010 b |
| Imidacloprid LD30 | 80 | 0.077889 ± 0.012 b | 34.24 ± 12.31 b | 45.36 ± 5.27 a | 1.08 ± 0.013 b |
| Deltamethrin LD10 | 70 | 0.105859 ± 0.013 ab | 64.40 ± 19.30 b | 39.35 ± 3.67 a | 1.11 ± 0.015 ab |
| Deltamethrin LD30 | 75 | 0.104097 ± 0.012 ab | 89.72 ± 31.67 b | 43.20 ± 3.53 a | 1.11 ± 0.013 ab |
Disclaimer/Publisher’s Note: The statements, opinions and data contained in all publications are solely those of the individual author(s) and contributor(s) and not of MDPI and/or the editor(s). MDPI and/or the editor(s) disclaim responsibility for any injury to people or property resulting from any ideas, methods, instructions or products referred to in the content. |
© 2023 by the authors. Licensee MDPI, Basel, Switzerland. This article is an open access article distributed under the terms and conditions of the Creative Commons Attribution (CC BY) license (https://creativecommons.org/licenses/by/4.0/).
Share and Cite
Skouras, P.J.; Karanastasi, E.; Lycoskoufis, I.; Demopoulos, V.; Darras, A.I.; Tsafouros, A.; Tsalgatidou, P.C.; Margaritopoulos, J.T.; Stathas, G.J. Toxicity and Lethal Effect of Greenhouse Insecticides on Coccinella septempunctata (Coleoptera: Coccinellidae) as Biological Control Agent of Myzus persicae (Hemiptera: Aphididae). Toxics 2023, 11, 584. https://doi.org/10.3390/toxics11070584
Skouras PJ, Karanastasi E, Lycoskoufis I, Demopoulos V, Darras AI, Tsafouros A, Tsalgatidou PC, Margaritopoulos JT, Stathas GJ. Toxicity and Lethal Effect of Greenhouse Insecticides on Coccinella septempunctata (Coleoptera: Coccinellidae) as Biological Control Agent of Myzus persicae (Hemiptera: Aphididae). Toxics. 2023; 11(7):584. https://doi.org/10.3390/toxics11070584
Chicago/Turabian StyleSkouras, Panagiotis J., Eirini Karanastasi, Ioannis Lycoskoufis, Vasilis Demopoulos, Anastasios I. Darras, Athanasios Tsafouros, Polina C. Tsalgatidou, John T. Margaritopoulos, and George J. Stathas. 2023. "Toxicity and Lethal Effect of Greenhouse Insecticides on Coccinella septempunctata (Coleoptera: Coccinellidae) as Biological Control Agent of Myzus persicae (Hemiptera: Aphididae)" Toxics 11, no. 7: 584. https://doi.org/10.3390/toxics11070584
APA StyleSkouras, P. J., Karanastasi, E., Lycoskoufis, I., Demopoulos, V., Darras, A. I., Tsafouros, A., Tsalgatidou, P. C., Margaritopoulos, J. T., & Stathas, G. J. (2023). Toxicity and Lethal Effect of Greenhouse Insecticides on Coccinella septempunctata (Coleoptera: Coccinellidae) as Biological Control Agent of Myzus persicae (Hemiptera: Aphididae). Toxics, 11(7), 584. https://doi.org/10.3390/toxics11070584

