Spatial and Temporal Variations of Heavy Metals’ Bioavailability in Soils Regulated by a Combined Material of Calcium Sulfate and Ferric Oxide
Abstract
:1. Introduction
2. Materials and Methods
2.1. Soil and CSF Characterization
2.2. Experimental Design
2.3. Chemical Analysis of Soil
2.4. Data Analysis
3. Results and Discussion
3.1. Effect of CSF on pH
3.2. Effect of CSF on the Concentrations of SO42− and Total Fe
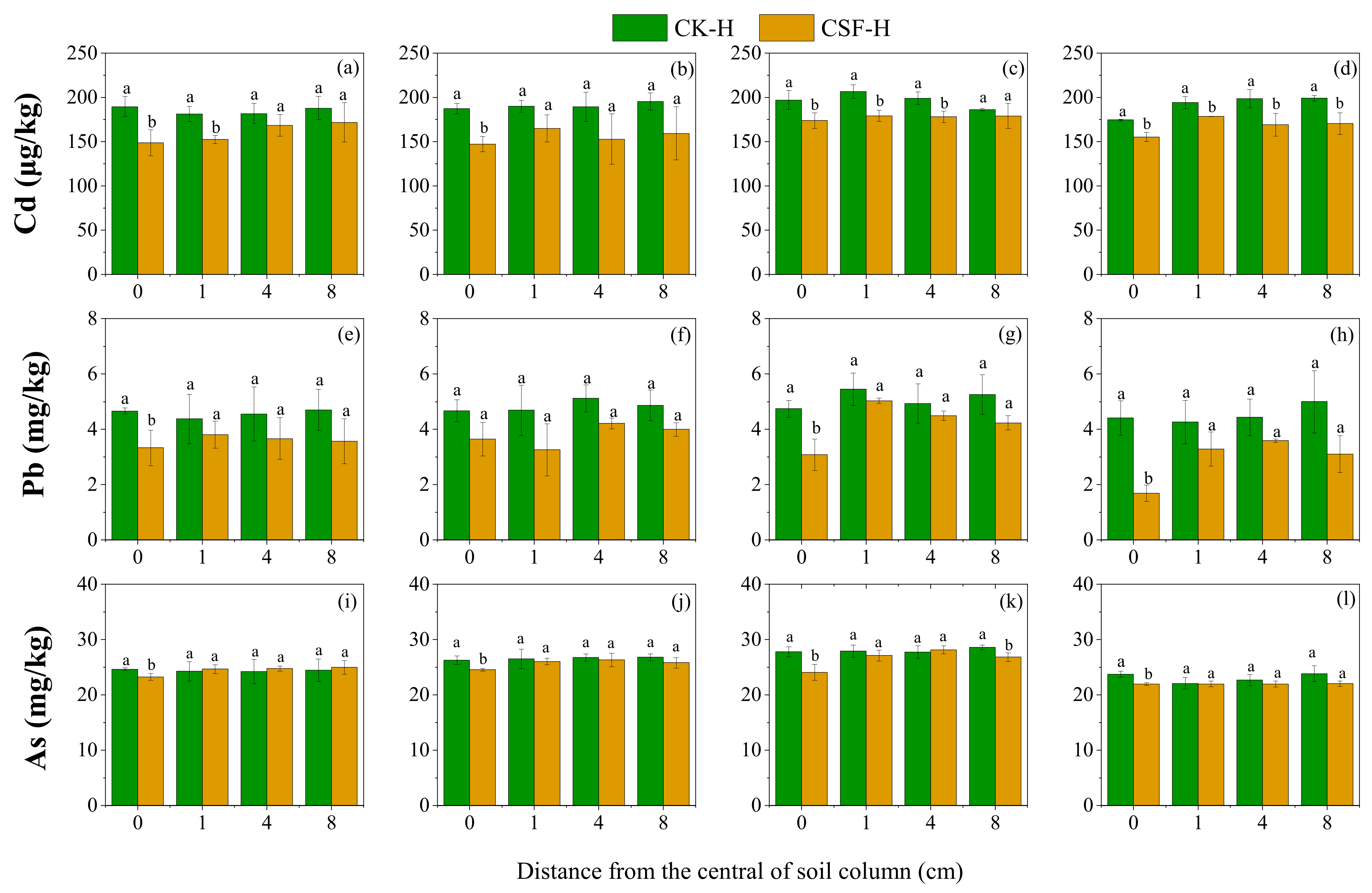
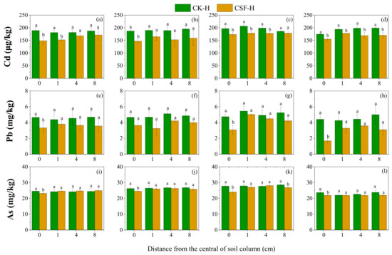
3.3. Effect of CSF on Bioavailable Cd, Pb, and As Concentrations




4. Conclusions
Author Contributions
Funding
Institutional Review Board Statement
Informed Consent Statement
Data Availability Statement
Conflicts of Interest
References
- Liu, J.; Kang, H.; Tao, W.; Li, H.; He, D.; Ma, L.; Tang, H.; Wu, S.; Yang, K.; Li, X. A Spatial Distribution—Principal Component Analysis (SD-PCA) Model to Assess Pollution of Heavy Metals in Soil. Sci. Total Environ. 2023, 859, 160112. [Google Scholar] [PubMed]
- Yang, Q.; Li, Z.; Lu, X.; Duan, Q.; Huang, L.; Bi, J. A Review of Soil Heavy Metal Pollution from Industrial and Agricultural Regions in China: Pollution and Risk Assessment. Sci. Total Environ. 2018, 642, 690–700. [Google Scholar]
- Zhang, J.; Yang, R.; Li, Y.C.; Peng, Y.; Wen, X.; Ni, X. Distribution, Accumulation, and Potential Risks of Heavy Metals in Soil and Tea Leaves from Geologically Different Plantations. Ecotoxicol. Environ. Saf. 2020, 195, 110475. [Google Scholar] [PubMed]
- Zhang, Y.; O’Connor, D.; Xu, W.; Hou, D. Blood Lead Levels among Chinese Children: The Shifting Influence of Industry, Traffic, and e-Waste over Three Decades. Environ. Int. 2020, 135, 105379. [Google Scholar] [PubMed]
- Adimalla, N. Heavy Metals Pollution Assessment and Its Associated Human Health Risk Evaluation of Urban Soils from Indian Cities: A Review. Environ. Geochem. Health 2020, 42, 173–190. [Google Scholar] [PubMed]
- Rajendran, S.; Priya, T.A.K.; Khoo, K.S.; Hoang, T.K.A.; Ng, H.S.; Munawaroh, H.S.H.; Karaman, C.; Orooji, Y.; Show, P.L. A Critical Review on Various Remediation Approaches for Heavy Metal Contaminants Removal from Contaminated Soils. Chemosphere 2022, 287, 132369. [Google Scholar]
- Antonkiewicz, J.; Kowalewska, A.; Mikołajczak, S.; Kołodziej, B.; Bryk, M.; Spychaj-Fabisiak, E.; Koliopoulos, T.; Babula, J. Phytoextraction of Heavy Metals after Application of Bottom Ash and Municipal Sewage Sludge Considering the Risk of Environmental Pollution. J. Environ. Manag. 2022, 306, 114517. [Google Scholar]
- Pouresmaieli, M.; Ataei, M.; Forouzandeh, P.; Azizollahi, P.; Mahmoudifard, M. Recent Progress on Sustainable Phytoremediation of Heavy Metals from Soil. J. Environ. Chem. Eng. 2022, 10, 108482. [Google Scholar]
- Azhar, U.; Ahmad, H.; Shafqat, H.; Babar, M.; Shahzad Munir, H.M.; Sagir, M.; Arif, M.; Hassan, A.; Rachmadona, N.; Rajendran, S.; et al. Remediation Techniques for Elimination of Heavy Metal Pollutants from Soil: A Review. Environ. Res. 2022, 214, 113918. [Google Scholar]
- Fu, T.; Zhang, B.; Gao, X.; Cui, S.; Guan, C.Y.; Zhang, Y.; Zhang, B.; Peng, Y. Recent Progresses, Challenges, and Opportunities of Carbon-Based Materials Applied in Heavy Metal Polluted Soil Remediation. Sci. Total Environ. 2023, 856, 158810. [Google Scholar]
- Li, W.; Ni, P.; Yi, Y. Comparison of Reactive Magnesia, Quick Lime, and Ordinary Portland cement for Stabilization/Solidification of Heavy Metal-Contaminated Soils. Sci. Total Environ. 2019, 671, 741–753. [Google Scholar]
- Wang, Y.Y.; You, L.C.; Lyu, H.H.; Liu, Y.X.; He, L.L.; Hu, Y.D.; Luo, F.C.; Yang, S.M. Role of Biochar–Mineral Composite Amendment on the Immobilization of Heavy Metals for Brassica Chinensis from Naturally Contaminated Soil. Environ. Technol. Innovation. 2022, 28, 102622. [Google Scholar]
- Li, S.; Yang, F.; Zhang, Y.; Lan, Y.; Cheng, K. Performance of Lead Ion Removal by the Three-Dimensional Carbon Foam Supported Nanoscale Zero-Valent Iron Composite. J. Clean. Prod. 2021, 294, 125350. [Google Scholar]
- Diao, Z.H.; Xu, X.R.; Jiang, D.; Kong, L.J.; Sun, Y.X.; Hu, Y.X.; Hao, Q.W.; Chen, H. Bentonite-Supported Nanoscale Zero-Valent Iron/Persulfate System for the Simultaneous Removal of Cr(VI) and Phenol from Aqueous Solutions. Chem. Eng. J. 2016, 302, 213–222. [Google Scholar]
- Yang, D.; Yang, S.; Wang, L.; Xu, J.; Liu, X. Performance of Biochar-Supported Nanoscale Zero-Valent Iron for Cadmium and Arsenic Co-Contaminated Soil Remediation: Insights on Availability, Bioaccumulation and Health Risk. Environ. Pollut. 2021, 290, 118054. [Google Scholar]
- Liu, Q.; Chen, Z.; Chen, Z.; Pan, X.; Luo, J.; Huang, F.; Zhang, X.; Lin, Q. Microbial Community Characteristics of Cadmium Speciation Transformation in Soil after Iron-Based Materials Application. Appl. Soil Ecol. 2023, 183, 104745. [Google Scholar]
- Zhai, W.; Zhao, W.; Yuan, H.; Guo, T.; Hashmi, M.Z.; Liu, X.; Tang, X. Reduced Cd, Pb, and As Accumulation in Rice (Oryza sativa L.) by a Combined Amendment of Calcium Sulfate and Ferric Oxide. Environ. Sci. Pollut. Res. 2020, 27, 1348–1358. [Google Scholar]
- Zhai, W.; Dai, Y.; Zhao, W.; Yuan, H.; Qiu, D.; Chen, J.; Gustave, W.; Maguffin, S.C.; Chen, Z.; Liu, X.; et al. Simultaneous Immobilization of the Cadmium, Lead and Arsenic in Paddy Soils Amended with Titanium Gypsum. Environ. Pollut. 2020, 258, 113790. [Google Scholar]
- Tica, D.; Udovic, M.; Lestan, D. Immobilization of Potentially Toxic Metals Using Different Soil Amendments. Chemosphere 2011, 85, 577–583. [Google Scholar]
- Cui, H.; Fan, Y.; Fang, G.; Zhang, H.; Su, B.; Zhou, J. Leachability, Availability and Bioaccessibility of Cu and Cd in a Contaminated Soil Treated with Apatite, Lime and Charcoal: A Five-Year Field Experiment. Ecotoxicol. Environ. Saf. 2016, 134, 148–155. [Google Scholar]
- Li, X.; Bai, S.G.; Xi, B.D.; Yuan, Z.Y.; Wang, Y.Y. Research of Effect of Groundwater Table Fluctuation on Migration Law of Cadmium. AMR 2012, 599, 455–461. [Google Scholar]
- Igloria, R.V.; Hathhorn, W.E.; Yonge, D.R. NOM and Trace Metal Attenuation during Storm-Water Infiltration. J. Hydrol. Eng. 1997, 2, 120–127. [Google Scholar]
- Ekanayake, D.; Loganathan, P.; Johir, M.A.H.; Kandasamy, J.; Vigneswaran, S. Enhanced Removal of Nutrients, Heavy Metals, and PAH from Synthetic Stormwater by Incorporating Different Adsorbents into a Filter Media. Water Air Soil Pollut. 2021, 232, 96. [Google Scholar]
- Xu, Z.; Hu, X.; Ding, Z.; Liu, Y.; Gao, B. Retention of Nano PbO in Saturated Columns and Its Dissolution Kinetics in Soils. Environ. Sci. Pollut. Res. 2020, 27, 1167–1174. [Google Scholar]
- Lomax, C.; Liu, W.; Wu, L.; Xue, K.; Xiong, J.; Zhou, J.; McGrath, S.P.; Meharg, A.A.; Miller, A.J.; Zhao, F. Methylated Arsenic Species in Plants Originate from Soil Microorganisms. New Phytol. 2012, 193, 665–672. [Google Scholar]
- Jin, Y.; Wang, Y.; Li, X.; Luo, T.; Ma, Y.; Wang, B.; Liang, H. Remediation and Its Biological Responses to Cd(II)-Cr(VI)-Pb(II) Multi-Contaminated Soil by Supported Nano Zero-Valent Iron Composites. Sci. Total Environ. 2023, 867, 161344. [Google Scholar]
- Kim, H.S.; Seo, B.H.; Kuppusamy, S.; Lee, Y.B.; Lee, J.H.; Yang, J.E.; Owens, G.; Kim, K.R. A DOC Coagulant, Gypsum Treatment Can Simultaneously Reduce As, Cd and Pb Uptake by Medicinal Plants Grown in Contaminated Soil. Ecotoxicol. Environ. Saf. 2018, 148, 615–619. [Google Scholar]
- Mitchell, M.J.; Lovett, G.; Bailey, S.; Beall, F.; Burns, D.; Buso, D.; Clair, T.A.; Courchesne, F.; Duchesne, L.; Eimers, C.; et al. Comparisons of Watershed Sulfur Budgets in Southeast Canada and Northeast US: New Approaches and Implications. Biogeochemistry 2011, 103, 181–207. [Google Scholar]
- Gao, B.; Chen, Q.; Liu, K.; Li, F.; Fang, L.; Zhu, Z.; Tran, M.T.; Peng, J. Biogeochemical Fe(II) Generators as a New Strategy for Limiting Cd Uptake by Rice and Its Implication for Agricultural Sustainability. Sci. Total Environ. 2022, 820, 153306. [Google Scholar]
- Liu, K.; Li, F.; Pang, Y.; Fang, L.; Hocking, R. Electron Shuttle-Induced Oxidative Transformation of Arsenite on the Surface of Goethite and Underlying Mechanisms. J. Hazard. Mater. 2022, 425, 127780. [Google Scholar]
- Gustafsson, J.P.; Akram, M.; Tiberg, C. Predicting Sulphate Adsorption/Desorption in Forest Soils: Evaluation of an Extended Freundlich Equation. Chemosphere 2015, 119, 83–89. [Google Scholar]
- Takahashi, J.; Higashi, T. Long-Term Changes in Sulfate Concentrations and Soil Acidification of Forested Umbrisols and Andosols of Japan. Soil Sci. 2013, 178, 69–78. [Google Scholar]
- Yang, J.; Liu, Z.; Wan, X.; Zheng, G.; Yang, J.; Zhang, H.; Guo, L.; Wang, X.; Zhou, X.; Guo, Q.; et al. Interaction between Sulfur and Lead in Toxicity, Iron Plaque Formation and Lead Accumulation in Rice Plant. Ecotoxicol. Environ. Saf. 2016, 128, 206–212. [Google Scholar] [PubMed]
- Fulda, B.; Voegelin, A.; Kretzschmar, R. Redox-Controlled Changes in Cadmium Solubility and Solid-Phase Speciation in a Paddy Soil As Affected by Reducible Sulfate and Copper. Environ. Sci. Technol. 2013, 47, 12775–12783. [Google Scholar]
- Zhang, D.; Du, G.; Chen, D.; Shi, G.; Rao, W.; Li, X.; Jiang, Y.; Liu, S.; Wang, D. Effect of Elemental Sulfur and Gypsum Application on the Bioavailability and Redistribution of Cadmium during Rice Growth. Sci. Total Environ. 2019, 657, 1460–1467. [Google Scholar] [PubMed]
- Banfalvi, G. Removal of Insoluble Heavy Metal Sulfides from Water. Chemosphere 2006, 63, 1231–1234. [Google Scholar] [PubMed]
- McGeehan, S.L. Arsenic Sorption and Redox Reactions: Relevance to Transport and Remediation. J. Environ. Sci. Health Part A Environ. Sci. Eng. Toxicol. 1996, 31, 2319–2336. [Google Scholar]

| pH | Organic Matter (g/kg) | Soil Grain Diameter (%) | Cd (mg/kg) | Pb (mg/kg) | As (mg/kg) | |||
|---|---|---|---|---|---|---|---|---|
| Sand | Clay | Silt | ||||||
| Soil | 6.48 | 43.33 | 10.70 | 76.40 | 12.90 | 0.54 | 416.58 | 94.20 |
| Calcium sulfate | 8.81 | - | - | - | - | nd | nd | 5.84 |
| Ferric oxide | 3.29 | - | - | - | - | nd | 1.27 | nd |
| Time | Treatment | Distance from the Center of the Soil Column | |||
|---|---|---|---|---|---|
| 0 cm | 1 cm | 4 cm | 8 cm | ||
| 15 d | CK-H | 5.56 ± 0.30 Aa | 5.27 ± 0.30 Aa | 5.27 ± 0.30 Aa | 5.28 ± 0.28 Aa |
| CSF-H | 4.88 ± 0.01 Ab | 5.00 ± 0.11 Aa | 5.01 ± 0.12 Aa | 5.00 ± 0.10 Aa | |
| 100 d | CK-H | 5.75 ± 0.23 Aa | 5.58 ± 0.23 Aa | 5.58 ± 0.32 Aa | 5.57 ± 0.25 Aa |
| CSF-H | 5.16 ± 0.14 Ab | 5.24 ± 0.19 Aa | 5.27 ± 0.24 Aa | 5.23 ± 0.26 Aa | |
| Time | Treatment | Distance from the Topsoil | |||||
|---|---|---|---|---|---|---|---|
| 0 cm | 5 cm | 10 cm | 20 cm | 30 cm | 38 cm | ||
| 15 d | CK-V | 5.52 ± 0.10 Ba | 6.90 ± 0.08 Aa | 6.83 ± 0.29 Aa | 6.21 ± 0.94 Aa | 6.10 ± 0.98 Aa | 6.55 ± 1.19 Aa |
| CSF-V | 5.46 ± 0.03 Ca | 6.96 ± 0.09 ABa | 6.70 ± 0.10 Ba | 7.12 ± 0.07 Aa | 7.02 ± 0.16 Aa | 7.16 ± 0.30 Aa | |
| 100 d | CK-V | 5.24 ± 0.09 Ba | 6.66 ± 0.21 Aa | 6.46 ± 0.04 Aa | 6.68 ± 0.16 Aa | 6.27 ± 0.59 Aa | 6.34 ± 0.89 Aa |
| CSF-V | 5.25 ± 0.03 Ca | 6.24 ± 0.08 Bb | 6.31 ± 0.08 Ba | 6.68 ± 0.12 Aa | 6.82 ± 0.20 Aa | 6.73 ± 0.08 Aa | |
| Element | Time | Treatment | Distance from the Center of the Soil Column | |||
|---|---|---|---|---|---|---|
| 0 cm | 1 cm | 4 cm | 8 cm | |||
| SO42− (mg/L) | 15 d | CK-H | 11.93 ± 2.53 Ab | 9.29 ± 1.29 Ab | 12.48 ± 3.97 Aa | 11.84 ± 3.44 Aa |
| CSF-H | 86.86 ± 2.95 Aa | 39.60 ± 6.83 Ba | 16.96 ± 4.47 Ca | 12.01 ± 2.44 Ca | ||
| 100 d | CK-H | 9.37 ± 2.73 Ab | 7.87 ± 1.81 Ab | 13.10 ± 2.56 Ab | 11.11 ± 1.25 Ab | |
| CSF-H | 36.24 ± 3.06 Aa | 26.44 ± 1.42 Ba | 20.34 ± 3.27 Ca | 20.70 ± 3.29 Ca | ||
| Fe (μg/L) | 15 d | CK-H | 15.87 ± 3.87 Ab | 15.57 ± 8.60 Aa | 23.63 ± 13.61 Aa | 21.40 ± 5.17 Aa |
| CSF-H | 32.17 ± 6.33 Aa | 23.60 ± 1.73 BCa | 16.63 ± 0.85 Ca | 26.80 ± 4.23 ABa | ||
| 100 d | CK-H | 13.23 ± 8.04 Aa | 9.27 ± 6.11 Ab | 17.87 ± 4.76 Aa | 16.10 ± 1.91 Aa | |
| CSF-H | 23.80 ± 4.16 Aa | 23.93 ± 6.84 Aa | 20.07 ± 8.70 Aa | 18.37 ± 3.51 Aa | ||
| Element | Time | Treatment | Distance from the Topsoil | |||||
|---|---|---|---|---|---|---|---|---|
| 0 cm | 5 cm | 10 cm | 20 cm | 30 cm | 38 cm | |||
| SO42− (mg/L) | 15 d | CK-V | 1.60 ± 0.42 ABb | 1.04 ± 0.08 Ba | 1.30 ± 0.20 ABa | 1.24 ± 0.47 Ba | 1.79 ± 0.42 ABa | 2.12 ± 0.70 Aa |
| CSF-V | 2.79 ± 0.56 Aa | 0.87 ± 0.16 Ba | 1.15 ± 0.14 Ba | 1.52 ± 0.06 Ba | 2.05 ± 1.1 ABa | 2.00 ± 0.86 ABa | ||
| 100 d | CK-V | 1.08 ± 0.43 ABb | 0.37 ± 0.01 Cb | 0.59 ± 0.24 Ca | 0.70 ± 0.07 BCa | 1.25 ± 0.23 Aa | 1.19 ± 0.22 Ab | |
| CSF-V | 2.00 ± 0.34 Aa | 1.03 ± 0.11 Ba | 0.62 ± 0.14 Ca | 0.77 ± 0.22 BCa | 1.07 ± 0.12 Ba | 2.33 ± 0.21 Aa | ||
| Fe (μg/L) | 15 d | CK-V | 7.58 ± 1.72 Ab | 7.41 ± 2.82 Ab | 7.61 ± 1.43 Ab | 6.53 ± 2.33 Ab | 6.80 ± 2.36 Ab | 7.49 ± 3.09 Aa |
| CSF-V | 36.69 ± 8.20 ABa | 47.75 ± 3.29 Aa | 34.90 ± 10.79 ABa | 34.66 ± 7.42 ABa | 25.83 ± 11.48 Ba | 12.36 ± 4.83 Ba | ||
| 100 d | CK-V | 8.51 ± 2.38 Ab | 9.57 ± 2.50 Ab | 9.00 ± 3.49 Aa | 9.51 ± 4.18 Aa | 6.80 ± 2.14 Ab | 11.21 ± 2.63 Ab | |
| CSF-V | 23.67 ± 7.4 Aa | 19.62 ± 6.58 Aa | 17.60 ± 6.45 Aa | 17.77 ± 5.86 Aa | 26.87 ± 4.93 Aa | 29.03 ± 12.43 Aa | ||
Disclaimer/Publisher’s Note: The statements, opinions and data contained in all publications are solely those of the individual author(s) and contributor(s) and not of MDPI and/or the editor(s). MDPI and/or the editor(s) disclaim responsibility for any injury to people or property resulting from any ideas, methods, instructions or products referred to in the content. |
© 2023 by the authors. Licensee MDPI, Basel, Switzerland. This article is an open access article distributed under the terms and conditions of the Creative Commons Attribution (CC BY) license (https://creativecommons.org/licenses/by/4.0/).
Share and Cite
Zhang, C.; Li, J.; Dai, Y.; Gustave, W.; Zhai, W.; Zhong, Z.; Chen, J. Spatial and Temporal Variations of Heavy Metals’ Bioavailability in Soils Regulated by a Combined Material of Calcium Sulfate and Ferric Oxide. Toxics 2023, 11, 296. https://doi.org/10.3390/toxics11040296
Zhang C, Li J, Dai Y, Gustave W, Zhai W, Zhong Z, Chen J. Spatial and Temporal Variations of Heavy Metals’ Bioavailability in Soils Regulated by a Combined Material of Calcium Sulfate and Ferric Oxide. Toxics. 2023; 11(4):296. https://doi.org/10.3390/toxics11040296
Chicago/Turabian StyleZhang, Chi, Jie Li, Yuxia Dai, Williamson Gustave, Weiwei Zhai, Zhong Zhong, and Jianmeng Chen. 2023. "Spatial and Temporal Variations of Heavy Metals’ Bioavailability in Soils Regulated by a Combined Material of Calcium Sulfate and Ferric Oxide" Toxics 11, no. 4: 296. https://doi.org/10.3390/toxics11040296
APA StyleZhang, C., Li, J., Dai, Y., Gustave, W., Zhai, W., Zhong, Z., & Chen, J. (2023). Spatial and Temporal Variations of Heavy Metals’ Bioavailability in Soils Regulated by a Combined Material of Calcium Sulfate and Ferric Oxide. Toxics, 11(4), 296. https://doi.org/10.3390/toxics11040296
