Ammonia Toxicity in the Bighead Carp (Aristichthys nobilis): Hematology, Antioxidation, Immunity, Inflammation and Stress
Abstract
1. Introduction
2. Materials and Methods
2.1. Experimental Management
2.2. Determination of Semi-Lethal Concentrations (LC50)
2.3. Ammonia Exposure Experiment
2.4. Sampling
2.5. Hematology
2.6. Cytokines and Immunological Indicators
2.7. Antioxidant Reaction
2.8. Stress Response
2.9. Gene Expression
2.10. Statistical Analysis
2.11. Ethical Approval
3. Results
3.1. Semi-Lethal Concentrations of Bighead Carp Exposed to Ammonia
3.2. Effects of Ammonia Exposure on Blood Physiology
3.3. Effect of Ammonia Exposure on Plasma Composition
3.4. Effect of Ammonia Exposure on Nonspecific Immunity
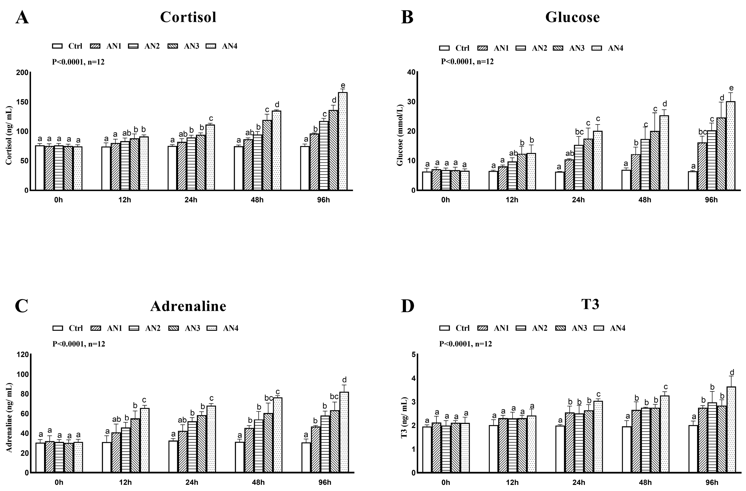
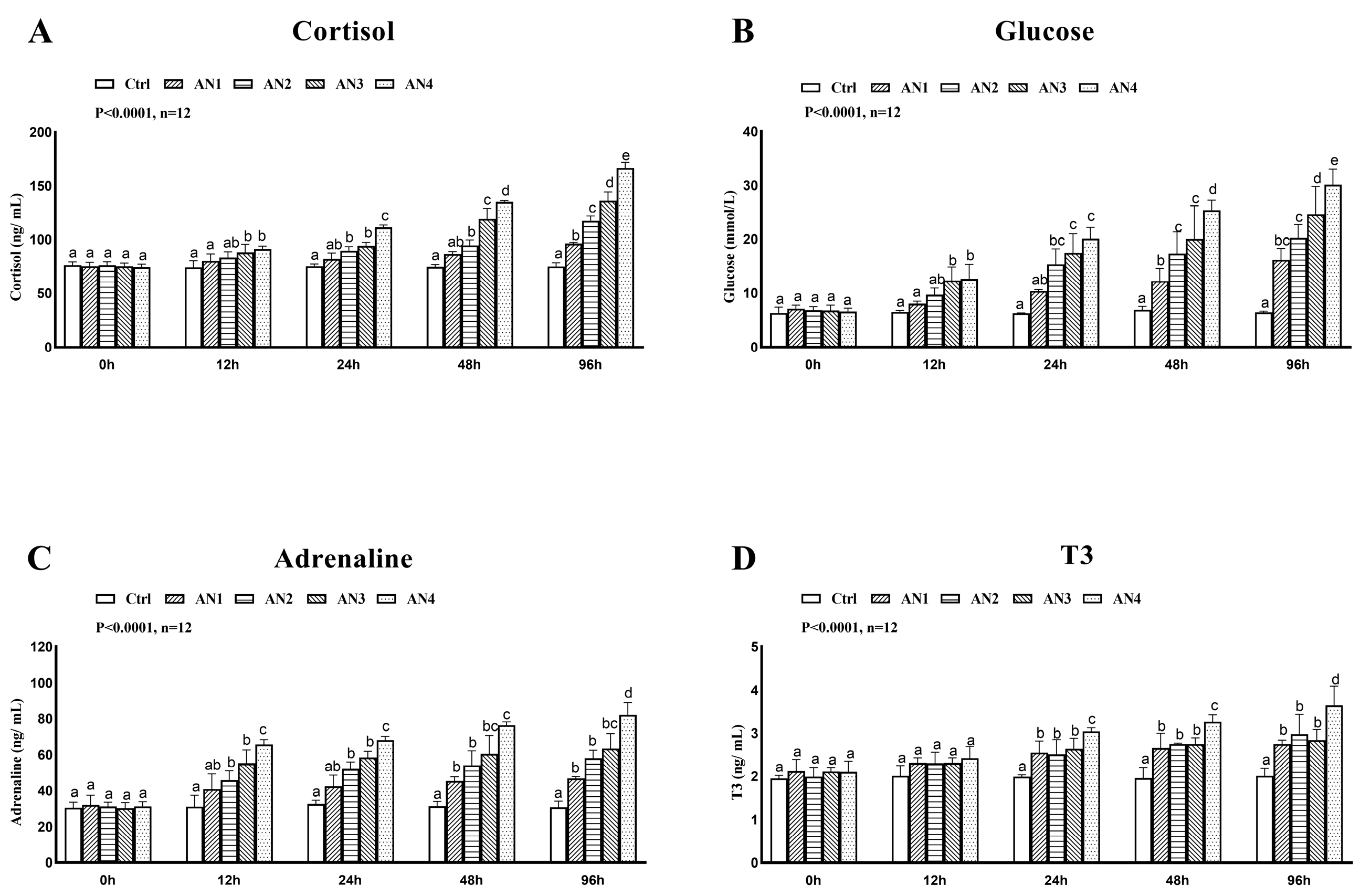
3.5. Effect of Nitrogen Stress on Stress Index of Bighead Carp
3.6. Antioxidant Responses
3.7. Effect of Ammonia Exposure on Cytokines
3.8. Effect of Ammonia Exposure on Gene Transcription
4. Discussion
5. Conclusions
Author Contributions
Funding
Institutional Review Board Statement
Informed Consent Statement
Data Availability Statement
Conflicts of Interest
References
- Liew, H.J.; Sinha, A.K.; Nawata, C.M.; Blust, R.; Wood, C.M.; De Boeck, G. Differential responses in ammonia excretion, sodium fluxes and gill permeability explain different sensitivities to acute high environmental ammonia in three freshwater teleosts. Aquat. Toxicol. 2013, 126, 63–76. [Google Scholar] [CrossRef]
- Badiola, M.; Basurko, O.; Piedrahita, R.; Hundley, P.; Mendiola, D. Energy use in recirculating aquaculture systems (RAS): A review. Aquac. Eng. 2018, 81, 57–70. [Google Scholar] [CrossRef]
- Eddy, F. Ammonia in estuaries and effects on fish. J. Fish Biol. 2005, 67, 1495–1513. [Google Scholar] [CrossRef]
- Zhang, M.; Li, M.; Wang, R.; Qian, Y. Effects of acute ammonia toxicity on oxidative stress, immune response and apoptosis of juvenile yellow catfish Pelteobagrus fulvidraco and the mitigation of exogenous taurine. Fish Shellfish Immunol. 2018, 79, 313–320. [Google Scholar] [CrossRef]
- Ip, Y.K.; Chew, S.F. Ammonia production, excretion, toxicity, and defense in fish: A review. Front. Physiol. 2010, 1, 134. [Google Scholar] [CrossRef]
- Jin, J.; Wang, Y.; Wu, Z.; Hergazy, A.; Lan, J.; Zhao, L.; Liu, X.; Chen, N.; Lin, L. Transcriptomic analysis of liver from grass carp (Ctenopharyngodon idellus) exposed to high environmental ammonia reveals the activation of antioxidant and apoptosis pathways. Fish Shellfish Immunol. 2017, 63, 444–451. [Google Scholar] [CrossRef] [PubMed]
- Cheng, C.-H.; Yang, F.-F.; Ling, R.-Z.; Liao, S.-A.; Miao, Y.-T.; Ye, C.-X.; Wang, A.-L. Effects of ammonia exposure on apoptosis, oxidative stress and immune response in pufferfish (Takifugu obscurus). Aquat. Toxicol. 2015, 164, 61–71. [Google Scholar] [CrossRef] [PubMed]
- Peyghan, R.; Takamy, G.A. Histopathological, serum enzyme, cholesterol and urea changes in experimental acute toxicity of ammonia in common carp Cyprinus carpio and use of natural zeolite for prevention. Aquac. Int. 2002, 10, 317–325. [Google Scholar] [CrossRef]
- Abu-Elala, N.M.; Abd-Elsalam, R.M.; Marouf, S.; Abdelaziz, M.; Moustafa, M. Eutrophication, ammonia intoxication, and infectious diseases: Interdisciplinary factors of mass mortalities in cultured Nile tilapia. J. Aquat. Anim. Health 2016, 28, 187–198. [Google Scholar] [CrossRef]
- Zhang, T.; Yan, Z.; Zheng, X.; Wang, S.; Fan, J.; Liu, Z. Effects of acute ammonia toxicity on oxidative stress, DNA damage and apoptosis in digestive gland and gill of Asian clam (Corbicula fluminea). Fish Shellfish Immunol. 2020, 99, 514–525. [Google Scholar] [CrossRef]
- Ip, Y.K.; Leong, M.W.; Sim, M.Y.; Goh, G.S.; Wong, W.P.; Chew, S.F. Chronic and acute ammonia toxicity in mudskippers, Periophthalmodon schlosseri and Boleophthalmus boddaerti: Brain ammonia and glutamine contents, and effects of methionine sulfoximine and MK801. J. Exp. Biol. 2005, 208, 1993–2004. [Google Scholar] [CrossRef]
- Zhang, W.; Sun, S.; Ge, X.; Xia, S.; Zhu, J.; Miao, L.; Lin, Y.; Liang, H.; Pan, W.; Su, Y. Acute effects of ammonia exposure on the plasma and haematological parameters and histological structure of the juvenile blunt snout bream, Megalobrama amblycephala, and post-exposure recovery. Aquac. Res. 2018, 49, 1008–1019. [Google Scholar] [CrossRef]
- Li, M.; Zhang, M.; Qian, Y.; Shi, G.; Wang, R. Ammonia toxicity in the yellow catfish (Pelteobagrus fulvidraco): The mechanistic insight from physiological detoxification to poisoning. Fish Shellfish Immunol. 2020, 102, 195–202. [Google Scholar] [CrossRef]
- Murthy, C.R.; Rama Rao, K.; Bai, G.; Norenberg, M.D. Ammonia-induced production of free radicals in primary cultures of rat astrocytes. J. Neurosci. Res. 2001, 66, 282–288. [Google Scholar] [CrossRef]
- Halliwell, B. Antioxidant defence mechanisms: From the beginning to the end (of the beginning). Free. Radic. Res. 1999, 31, 261–272. [Google Scholar] [CrossRef] [PubMed]
- Rama, S.; Manjabhat, S.N. Protective effect of shrimp carotenoids against ammonia stress in common carp, Cyprinus carpio. Ecotoxicol. Environ. Saf. 2014, 107, 207–213. [Google Scholar] [CrossRef] [PubMed]
- Li, Z.; Wang, W.; Hu, Y.; Lü, D.; Wu, H.; Luan, S.; Kong, J. Acute toxicity of ammonia nitrogen on turbot (Scophthalmus maximus). Mar. Sci. 2017, 41, 109–116. [Google Scholar]
- Shen, R.; Gu, X.; Chen, H.; Mao, Z.; Zeng, Q.; Jeppesen, E. Combining bivalve (Corbicula fluminea) and filter-feeding fish (Aristichthys nobilis) enhances the bioremediation effect of algae: An outdoor mesocosm study. Sci. Total Environ. 2020, 727, 138692. [Google Scholar] [CrossRef]
- Wang, H.-J.; Xiao, X.-C.; Wang, H.-Z.; Li, Y.; Yu, Q.; Liang, X.-M.; Feng, W.-S.; Shao, J.-C.; Rybicki, M.; Jungmann, D. Effects of high ammonia concentrations on three cyprinid fish: Acute and whole-ecosystem chronic tests. Sci. Total Environ. 2017, 598, 900–909. [Google Scholar] [CrossRef]
- Sun, H.; Wang, W.; Li, J.; Yang, Z. Growth, oxidative stress responses, and gene transcription of juvenile bighead carp (Hypophthalmichthys nobilis) under chronic-term exposure of ammonia. Environ. Toxicol. Chem. 2014, 33, 1726–1731. [Google Scholar] [CrossRef]
- Emerson, K.; Russo, R.C.; Lund, R.E.; Thurston, R.V. Aqueous ammonia equilibrium calculations: Effect of pH and temperature. J. Fish. Board Can. 1975, 32, 2379–2383. [Google Scholar] [CrossRef]
- Li, M.; Gong, S.; Li, Q.; Yuan, L.; Meng, F.; Wang, R. Ammonia toxicity induces glutamine accumulation, oxidative stress and immunosuppression in juvenile yellow catfish Pelteobagrus fulvidraco. Comp. Biochem. Physiol. Part C Toxicol. Pharmacol. 2016, 183, 1–6. [Google Scholar] [CrossRef]
- Kim, J.-H.; Cho, J.-H.; Kim, S.-R.; Hur, Y.B. Toxic effects of waterborne ammonia exposure on hematological parameters, oxidative stress and stress indicators of juvenile hybrid grouper, Epinephelus lanceolatus♂ × Epinephelus fuscoguttatus♀. Environ. Toxicol. Pharmacol. 2020, 80, 103453. [Google Scholar] [CrossRef] [PubMed]
- Yang, W.; Xiang, F.; Sun, H.; Chen, Y.; Minter, E.; Yang, Z. Changes in the selected hematological parameters and gill Na+/K+ ATPase activity of juvenile crucian carp Carassius auratus during elevated ammonia exposure and the post-exposure recovery. Biochem. Syst. Ecol. 2010, 38, 557–562. [Google Scholar] [CrossRef]
- Kim, J.-H.; Park, H.-J.; Hwang, I.-K.; Han, J.-M.; Kim, D.-H.; Oh, C.W.; Lee, J.S.; Kang, J.-C. Alterations of growth performance, hematological parameters, and plasma constituents in the sablefish, Anoplopoma fimbria depending on ammonia concentrations. Fish. Aquat. Sci. 2017, 20, 4. [Google Scholar] [CrossRef]
- Fernandes, M.N. Environmental pollution and fish gill morphology. In Fish Adaptions; Science Publishers: Rawalpindi, Pakistan, 2003; pp. 203–231. [Google Scholar]
- Jeney, G.; Nemcsok, J.; Jeney, Z.; Olah, J. Acute effect of sublethal ammonia concentrations on common carp (Cyprinus carpio L.). II. Effect of ammonia on blood plasma transaminases (GOT, GPT), G1DH enzyme activity, and ATP value. Aquaculture 1992, 104, 149–156. [Google Scholar] [CrossRef]
- Zeitoun, M.M.; El-Azrak, K.; Zaki, M.A.; Nemat-Allah, B.R.; Mehana, E.-S.E. Effects of ammonia toxicity on growth performance, cortisol, glucose and hematological response of Nile Tilapia (Oreochromis niloticus). Aceh J. Anim. Sci. 2016, 1, 21–28. [Google Scholar] [CrossRef]
- Xue, S.; Lin, J.; Zhou, Q.; Wang, H.; Han, Y. Effect of ammonia stress on transcriptome and endoplasmic reticulum stress pathway for common carp (Cyprinus carpio) hepatopancreas. Aquac. Rep. 2021, 20, 100694. [Google Scholar] [CrossRef]
- Xue, S.; Chen, S.; Ge, Y.; Guan, T.; Han, Y. Regulation of glutathione on growth performance, biochemical parameters, non-specific immunity, and related genes of common carp (Cyprinus carpio) exposed to ammonia. Aquaculture 2022, 546, 737241. [Google Scholar] [CrossRef]
- Tan, X.; Sun, Z.; Chen, S.; Chen, S.; Huang, Z.; Zhou, C.; Zou, C.; Liu, Q.; Ye, H.; Lin, H. Effects of dietary dandelion extracts on growth performance, body composition, plasma biochemical parameters, immune responses and disease resistance of juvenile golden pompano Trachinotus ovatus. Fish Shellfish Immunol. 2017, 66, 198–206. [Google Scholar] [CrossRef]
- Taheri Mirghaed, A.; Fayaz, S.; Hoseini, S.M. Dietary 1, 8-cinoele affects serum enzymatic activities and immunological characteristics in common carp (Cyprinus carpio) exposed to ambient ammonia. Aquac. Res. 2019, 50, 146–153. [Google Scholar] [CrossRef]
- Ozmen, M.; Güngördü, A.; Kucukbay, F.Z.; Güler, R.E. Monitoring the effects of water pollution on Cyprinus carpio in Karakaya Dam Lake, Turkey. Ecotoxicology 2006, 15, 157–169. [Google Scholar] [CrossRef]
- Lee, J.-W.; Kim, J.-E.; Shin, Y.-J.; Ryu, J.-S.; Eom, I.-C.; Lee, J.S.; Kim, Y.; Kim, P.-J.; Choi, K.-H.; Lee, B.-C. Serum and ultrastructure responses of common carp (Cyprinus carpio L.) during long-term exposure to zinc oxide nanoparticles. Ecotoxicol. Environ. Saf. 2014, 104, 9–17. [Google Scholar] [CrossRef]
- Kim, J.-H.; Kim, J.-Y.; Lim, L.-J.; Kim, S.K.; Choi, H.S.; Hur, Y.B. Effects of waterborne nitrite on hematological parameters and stress indicators in olive flounders, Paralichthys olivaceus, raised in bio-floc and seawater. Chemosphere 2018, 209, 28–34. [Google Scholar] [CrossRef] [PubMed]
- Gao, X.-Q.; Fei, F.; Huang, B.; Meng, X.S.; Zhang, T.; Zhao, K.-F.; Chen, H.-B.; Xing, R.; Liu, B.-L. Alterations in hematological and biochemical parameters, oxidative stress, and immune response in Takifugu rubripes under acute ammonia exposure. Comp. Biochem. Physiol. Part C Toxicol. Pharmacol. 2021, 243, 108978. [Google Scholar] [CrossRef]
- Xue, S.; Lin, J.; Han, Y.; Han, Y. Ammonia stress-induced apoptosis by p53–BAX/BCL-2 signal pathway in hepatopancreas of common carp (Cyprinus carpio). Aquac. Int. 2021, 29, 1895–1907. [Google Scholar] [CrossRef]
- Aliko, V.; Qirjo, M.; Sula, E.; Morina, V.; Faggio, C. Antioxidant defense system, immune response and erythron profile modulation in gold fish, Carassius auratus, after acute manganese treatment. Fish Shellfish Immunol. 2018, 76, 101–109. [Google Scholar] [CrossRef]
- De Marco, G.; Afsa, S.; Galati, M.; Guerriero, G.; Mauceri, A.; Ben Mansour, H.; Cappello, T. Time-and dose-dependent biological effects of a sub-chronic exposure to realistic doses of salicylic acid in the gills of mussel Mytilus galloprovincialis. Environ. Sci. Pollut. Res. 2022, 29, 88161–88171. [Google Scholar] [CrossRef]
- Dalmo, R.; Ingebrigtsen, K.; Bøgwald, J. Non-specific defence mechanisms in fish, with particular reference to the reticuloendothelial system (RES). J. Fish Dis. 1997, 20, 241–273. [Google Scholar] [CrossRef]
- Randall, D.J.; Tsui, T. Ammonia toxicity in fish. Mar. Pollut. Bull. 2002, 45, 17–23. [Google Scholar] [CrossRef]
- Wells, R.M.; Pankhurst, N.W. Evaluation of simple instruments for the measurement of blood glucose and lactate, and plasma protein as stress indicators in fish. J. World Aquac. Soc. 1999, 30, 276–284. [Google Scholar] [CrossRef]
- Sriwastava, U.; Srivastava, D. Effect of urea stress on fish. In Current Pollution Researches in India; Environmental Publication: Karad, India, 1985. [Google Scholar]
- Mommsen, T.P.; Vijayan, M.M.; Moon, T.W. Cortisol in teleosts: Dynamics, mechanisms of action, and metabolic regulation. Rev. Fish Biol. Fish. 1999, 9, 211. [Google Scholar] [CrossRef]
- Fevolden, S.; Røed, K. Cortisol and immune characteristics in rainbow trout (Oncorhynchus mykiss) selected for high or low tolerance to stress. J. Fish Biol. 1993, 43, 919–930. [Google Scholar] [CrossRef]
- Jiang, J.; Shi, Y.; Shan, Z.; Yang, L.; Wang, X.; Shi, L. Bioaccumulation, oxidative stress and HSP70 expression in Cyprinus carpio L. exposed to microcystin-LR under laboratory conditions. Comp. Biochem. Physiol. Part C Toxicol. Pharmacol. 2012, 155, 483–490. [Google Scholar] [CrossRef] [PubMed]
- Rajeshkumar, S.; Mini, J.; Munuswamy, N. Effects of heavy metals on antioxidants and expression of HSP70 in different tissues of Milk fish (Chanos chanos) of Kaattuppalli Island, Chennai, India. Ecotoxicol. Environ. Saf. 2013, 98, 8–18. [Google Scholar] [CrossRef] [PubMed]
- Bermejo-Nogales, A.; Nederlof, M.; Benedito-Palos, L.; Ballester-Lozano, G.F.; Folkedal, O.; Olsen, R.E.; Sitjà-Bobadilla, A.; Pérez-Sánchez, J. Metabolic and transcriptional responses of gilthead sea bream (Sparus aurata L.) to environmental stress: New insights in fish mitochondrial phenotyping. Gen. Comp. Endocrinol. 2014, 205, 305–315. [Google Scholar] [CrossRef]
- Xu, Y.; Zheng, G.; Dong, S.; Liu, G.; Yu, X. Molecular cloning, characterization and expression analysis of HSP60, HSP70 and HSP90 in the golden apple snail, Pomacea canaliculata. Fish Shellfish Immunol. 2014, 41, 643–653. [Google Scholar] [CrossRef]
- Liu, J.-D.; Liu, W.-B.; Zhang, D.-D.; Xu, C.-Y.; Zhang, C.-Y.; Zheng, X.-C.; Chi, C. Dietary reduced glutathione supplementation can improve growth, antioxidant capacity, and immunity on Chinese mitten crab, Eriocheir sinensis. Fish Shellfish Immunol. 2020, 100, 300–308. [Google Scholar] [CrossRef]
- Wang, L.; Wu, D.; Fan, Z.; Li, H.; Li, J.; Zhang, Y.; Xu, Q.; Wang, G.; Zhu, Z. Effect of Yucca schidigera extract on the growth performance, intestinal antioxidant status, immune response, and tight junctions of mirror carp (Cyprinus carpio). Fish Shellfish Immunol. 2020, 103, 211–219. [Google Scholar] [CrossRef]








| Ctrl | AN1 | AN2 | AN3 | AN4 | p Value | |
|---|---|---|---|---|---|---|
| Temperature (°C) | 22.62 ± 0.22 | 23.13 ± 0.32 | 22.55 ± 0.15 | 23.20 ± 0.16 | 23.14 ± 0.20 | 0.055 |
| Dissolved oxygen (mg/L) | 6.03 ± 0.11 | 6.11 ± 0.34 | 6.68 ± 0.36 | 6.29 ± 0.18 | 6.55 ± 0.08 | 0.062 |
| pH | 7.49 ± 0.14 | 7.52 ± 0.22 | 7.37 ± 0.05 | 7.49 ± 0.24 | 7.64 ± 0.20 | 0.231 |
| TAN (mg/L) | 0.68 ± 0.11 | 3.95 ± 0.21 | 7.91 ± 0.33 | 11.87 ± 0.15 | 15.82 ± 0.35 | 0.002 |
| NH3 (mg/L) | 0.04 ±0.01 | 0.21 ± 0.02 | 0.38 ± 0.01 | 0.62 ± 0.05 | 0.90 ± 0.07 | 0.021 |
| Nitrite (mg/L) | 0.050 ± 0.01 | 0.055 ± 0.01 | 0.051 ± 0.02 | 0.052 ± 0.01 | 0.053 ± 0.03 | 0.012 |
| Gene | Accession Number | Forward | Reverse |
|---|---|---|---|
| HSP70 | AF210640.1 | GGCCTGGACAAAGGCAAATC | CAGATGAGTGTCTCCAGCGG |
| HSP90 | L35586.1 | TTGAGGAAGGCGAGAAAGC | ATCCTCCCAGTCATTGCTTC |
| β-actin | AF301605 | TGGATCGGAGGTTCCATCCT | TGGTCCAGACTCGTCGTACT |
| TAN (mg/L) | NH3-N (mg/L) | |
|---|---|---|
| 24 h LC50 | 26.05 | 1.41 |
| 48 h LC50 | 21.01 | 1.13 |
| 72 h LC50 | 17.06 | 0.92 |
| 96 h LC50 | 15.82 | 0.85 |
Disclaimer/Publisher’s Note: The statements, opinions and data contained in all publications are solely those of the individual author(s) and contributor(s) and not of MDPI and/or the editor(s). MDPI and/or the editor(s) disclaim responsibility for any injury to people or property resulting from any ideas, methods, instructions or products referred to in the content. |
© 2023 by the authors. Licensee MDPI, Basel, Switzerland. This article is an open access article distributed under the terms and conditions of the Creative Commons Attribution (CC BY) license (https://creativecommons.org/licenses/by/4.0/).
Share and Cite
Zou, Y.; Chen, W.; Xia, B.; Xiang, Y.; Shen, Z.; Han, Y.; Xue, S. Ammonia Toxicity in the Bighead Carp (Aristichthys nobilis): Hematology, Antioxidation, Immunity, Inflammation and Stress. Toxics 2023, 11, 243. https://doi.org/10.3390/toxics11030243
Zou Y, Chen W, Xia B, Xiang Y, Shen Z, Han Y, Xue S. Ammonia Toxicity in the Bighead Carp (Aristichthys nobilis): Hematology, Antioxidation, Immunity, Inflammation and Stress. Toxics. 2023; 11(3):243. https://doi.org/10.3390/toxics11030243
Chicago/Turabian StyleZou, Yuning, Weixing Chen, Banghua Xia, Yifang Xiang, Zhentao Shen, Ying Han, and Shuqun Xue. 2023. "Ammonia Toxicity in the Bighead Carp (Aristichthys nobilis): Hematology, Antioxidation, Immunity, Inflammation and Stress" Toxics 11, no. 3: 243. https://doi.org/10.3390/toxics11030243
APA StyleZou, Y., Chen, W., Xia, B., Xiang, Y., Shen, Z., Han, Y., & Xue, S. (2023). Ammonia Toxicity in the Bighead Carp (Aristichthys nobilis): Hematology, Antioxidation, Immunity, Inflammation and Stress. Toxics, 11(3), 243. https://doi.org/10.3390/toxics11030243

