Short-Term Effect of Moderate Level Air Pollution on Outpatient Visits for Multiple Clinic Departments: A Time-Series Analysis in Xi’an China
Abstract
1. Introduction
2. Materials and Methods
2.1. Study Area and Population
2.2. Hospital Outpatient Visits Data
2.3. Air Pollution and Meteorological Data
2.4. Analysis Method
3. Results
3.1. Descriptive Analysis and Correlation Analysis
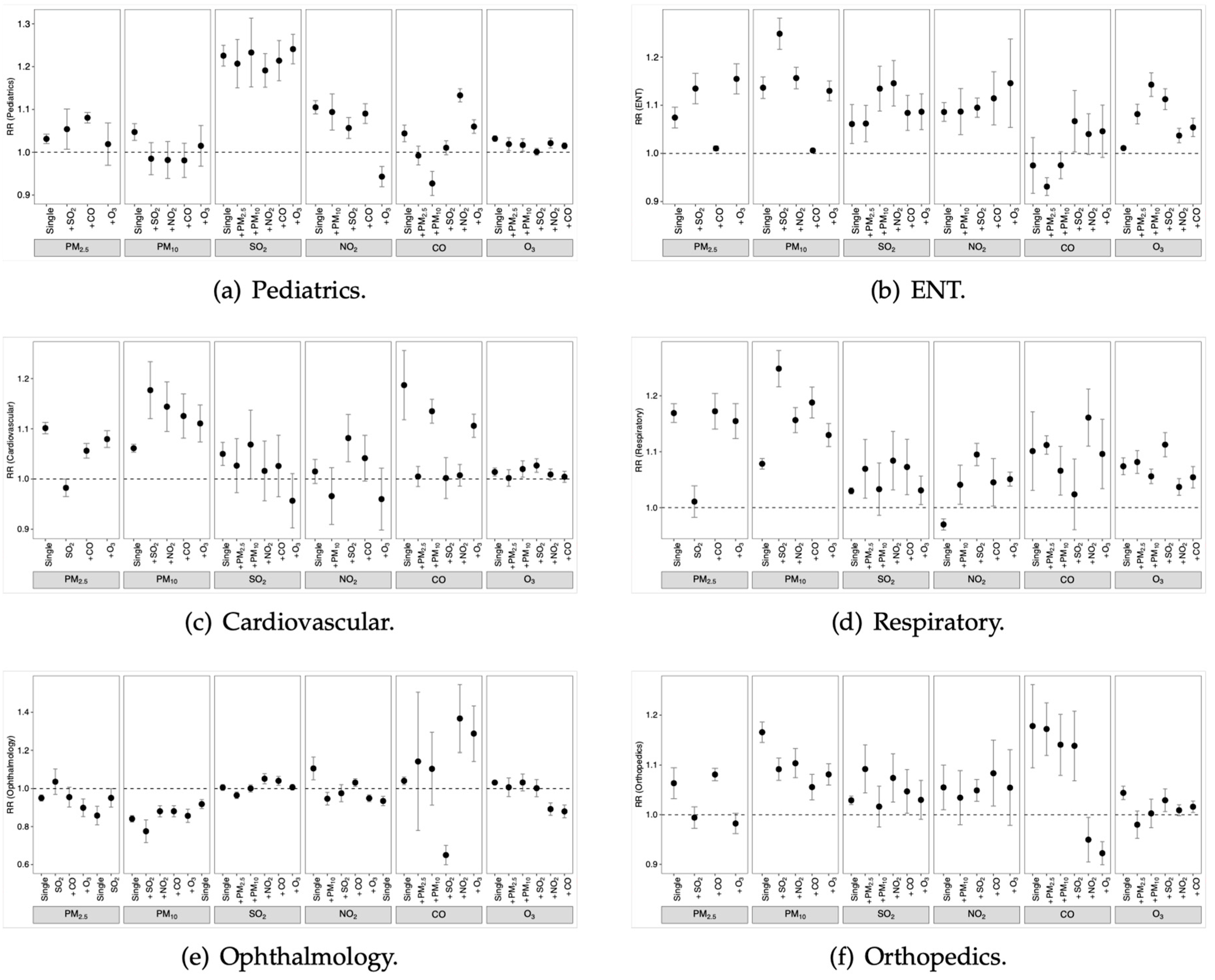
3.2. Exposure-Effect Analysis
4. Discussion
Supplementary Materials
Author Contributions
Funding
Institutional Review Board Statement
Informed Consent Statement
Data Availability Statement
Acknowledgments
Conflicts of Interest
References
- Tao, Y.; Mi, S.; Zhou, S.; Wang, S.; Xie, X. Air pollution and hospital admissions for respiratory diseases in Lanzhou, China. Environ. Pollut. 2014, 185, 196–201. [Google Scholar] [CrossRef] [PubMed]
- Jin, L.; Zhou, T.; Fang, S.; Zhou, X.; Bai, Y. Association of air pollutants and hospital admissions for respiratory diseases in Lanzhou, China, 2014–2019. Env. Geochem. Health 2022, 1–19. [Google Scholar] [CrossRef]
- Zhang, Z.; Chai, P.; Wang, J.; Ye, Z.; Shen, P.; Lu, H.; Jin, M.; Gu, M.; Li, D.; Lin, H.; et al. Association of particulate matter air pollution and hospital visits for respiratory diseases: A time-series study from China. Environ. Sci. Pollut. Res. 2019, 26, 12280–12287. [Google Scholar] [CrossRef]
- Dockery, D.W.; Pope, C.A., III; Xu, X.; Spengler, J.D.; Ware, J.H.; Fay, M.E.; Ferris, B.G., Jr.; Speizer, F.E. An Association between Air Pollution and Mortality in Six U.S. Cities. N. Engl. J. Med. 1993, 329, 1753–1759. [Google Scholar] [CrossRef]
- Murtas, R.; Russo, A.G. Effects of pollution, low temperature and influenza syndrome on the excess mortality risk in winter 2016–2017. BMC Public Health 2019, 19, 1445. [Google Scholar]
- Michikawa, T.; Ueda, K.; Takeuchi, A.; Kinoshita, M.; Hayashi, H.; Ichinose, T.; Nitta, H. Impact of short-term exposure to fine particulate matter on emergency ambulance dispatches in Japan. J. Epidemiology Community Health 2015, 69, 86–91. [Google Scholar] [CrossRef]
- Ai, S.; Wang, C.; Qian, Z.; Cui, Y.; Liu, Y.; Acharya, B.K.; Sun, X.; Hinyard, L.; Jansson, D.R.; Qin, L.; et al. Hourly associations between ambient air pollution and emergency ambulance calls in one central Chinese city: Implications for hourly air quality standards. Sci. Total. Environ. 2019, 696, 133956. [Google Scholar] [CrossRef]
- Yao, L.; Zhan, B.; Xian, A.; Sun, W.; Li, Q.; Chen, J. Contribution of transregional transport to particle pollution and health effects in Shanghai during 2013–2017. Sci. Total. Environ. 2019, 677, 564–570. [Google Scholar] [CrossRef] [PubMed]
- Wang, X.; Du, Y.; Sun, W.; Ju, Y.; Li, R.; He, M.; Zhu, J. The effects of air pollution and precipitation on outpatient visits for primary glaucoma: A multi-model time series analysis. Air Qual. Atmos. Health 2021, 15, 1011–1025. [Google Scholar] [CrossRef]
- Atkinson, R.W.; Ross Anderson, H.; Sunyer, J.; Ayres, J.; Baccini, M.; Vonk, J.M.; Boumghar, A.; Forastiere, F.; Forsberg, B.; Touloumi, G. Acute effects of particulate air pollution on respiratory admissions: Results from APHEA 2 project. Am. J. Respir. Crit. Care Med. 2001, 164, 1860–1866. [Google Scholar] [CrossRef] [PubMed]
- Cole, M.A.; Ozgen, C.; Strobl, E. Air Pollution Exposure and COVID-19 in Dutch Municipalities. Environ. Resour. Econ. 2020, 76, 581–610. [Google Scholar] [CrossRef]
- Chau, T.-T.; Wang, K.-Y. An association between air pollution and daily most frequently visits of eighteen outpatient diseases in an industrial city. Sci. Rep. 2020, 10, 2321. [Google Scholar] [CrossRef]
- Seposo, X.; Ueda, K.; Sugata, S.; Yoshino, A.; Takami, A. Short-term effects of air pollution on daily single- and co-morbidity cardiorespiratory outpatient visits. Sci. Total. Environ. 2020, 729, 138934. [Google Scholar] [CrossRef] [PubMed]
- Samoli, E.; Analitis, A.; Touloumi, G.; Schwartz, J.; Anderson, H.R.; Sunyer, J.; Bisanti, L.; Zmirou, D.; Vonk, J.M.; Pekkanen, J.; et al. Estimating the Exposure–Response Relationships between Particulate Matter and Mortality within the APHEA Multicity Project. Environ. Health Perspect. 2005, 113, 88–95. [Google Scholar] [CrossRef]
- Tian, Y.; Xiang, X.; Juan, J.; Sun, K.; Song, J.; Cao, Y.; Hu, Y. Fine particulate air pollution and hospital visits for asthma in Beijing, China. Environ. Pollut. 2017, 230, 227–233. [Google Scholar] [CrossRef] [PubMed]
- Liu, L.; Liu, C.; Chen, R.; Zhou, Y.; Meng, X.; Hong, J.; Cao, L.; Lu, Y.; Dong, X.; Xia, M.; et al. Associations of short-term exposure to air pollution and emergency department visits for pediatric asthma in Shanghai, China. Chemosphere 2021, 263, 127856. [Google Scholar] [CrossRef]
- Hsu, W.-H.; Hwang, S.-A.; Kinney, P.L.; Lin, S. Seasonal and temperature modifications of the association between fine particulate air pollution and cardiovascular hospitalization in New York state. Sci. Total. Environ. 2017, 578, 626–632. [Google Scholar] [CrossRef]
- Brauer, M.; Brook, J.R.; Christidis, T.; Chu, Y.; Crouse, D.L.; Erickson, A.; Hystad, P.; Li, C.; Martin, R.V.; Meng, J.; et al. Mortality–air pollution associations in low-exposure environments (MAPLE): Phase 1. Res. Rep. Health Eff. Inst. 2019, 2019, 203. [Google Scholar]
- Papadogeorgou, G.; Kioumourtzoglou, M.-A.; Braun, D.; Zanobetti, A. Low levels of air pollution and health: Effect estimates, methodological challenges, and future directions. Curr. Environ. Health Rep. 2019, 6, 105–115. [Google Scholar] [CrossRef]
- Anderson, H.R. Air pollution and mortality: A history. Atmos. Environ. 2009, 43, 142–152. [Google Scholar] [CrossRef]
- Zhao, P.; Li, S.; Liu, D. Unequable spatial accessibility to hospitals in developing megacities: New evidence from Beijing. Health Place 2020, 65, 102406. [Google Scholar] [CrossRef] [PubMed]
- Hu, J.; Ying, Q.; Wang, Y.; Zhang, H. Characterizing multi-pollutant air pollution in China: Comparison of three air quality indices. Environ. Int. 2015, 84, 17–25. [Google Scholar] [CrossRef] [PubMed]
- Gao, F. Evaluation of the Chinese New Air Quality Index (GB3095-2012): Based on Comparison with the US AQI System and the WHO AQGs. Bachelor’s Thesis, Novia University of Applied Sciences, Vaasa, Finland, 2013. [Google Scholar]
- Armstrong, B. Models for the Relationship between Ambient Temperature and Daily Mortality. Epidemiology 2006, 17, 624–631. [Google Scholar] [CrossRef] [PubMed]
- Peng, R.D.; Dominici, F.; Louis, T.A. Model choice in time series studies of air pollution and mortality. J. R. Stat. Soc. Ser. A (Stat. Soc.) 2006, 169, 179–203. [Google Scholar]
- Yin, P.; Chen, R.; Wang, L.; Meng, X.; Liu, C.; Niu, Y.; Lin, Z.; Liu, Y.; Liu, J.; Qi, J.; et al. Ambient Ozone Pollution and Daily Mortality: A Nationwide Study in 272 Chinese Cities. Environ. Health Perspect. 2017, 125, 117006. [Google Scholar] [CrossRef]
- Gasparrini, A. Distributed lag linear and non-linear models in R: The package dlnm. J. Stat. Softw. 2011, 43, 1. [Google Scholar]
- Wood, S.N. mgcv: GAMs and generalized ridge regression for R. R News 2001, 1, 20–25. [Google Scholar]
- Zhao, X.; Lu, M.; An, Z.; Li, J.; Li, H.; Zhao, Q.; Wu, Z.; Wu, W.; Liu, Y.; Song, J. Acute effects of ambient air pollution on hospital outpatients with chronic pharyngitis in Xinxiang, China. Int. J. Biometeorol. 2020, 64, 1923–1931. [Google Scholar] [CrossRef]
- Mo, Z.; Fu, Q.; Zhang, L.; Lyu, D.; Mao, G.; Wu, L.; Xu, P.; Wang, Z.; Pan, X.; Chen, Z.; et al. Acute effects of air pollution on respiratory disease mortalities and outpatients in Southeastern China. Sci. Rep. 2018, 8, 3461. [Google Scholar] [CrossRef]
- Goldizen, F.C.; Sly, P.D.; Knibbs, L.D. Respiratory effects of air pollution on children. Pediatr. Pulmonol. 2016, 51, 94–108. [Google Scholar] [CrossRef]
- Zhu, Y.; Xie, J.; Huang, F.; Cao, L. Association between short-term exposure to air pollution and COVID-19 infection: Evidence from China. Sci. Total Environ. 2020, 727, 138704. [Google Scholar] [CrossRef] [PubMed]
- Zhang, Y.; Fang, J.; Mao, F.; Ding, Z.; Xiang, Q.; Wang, W. Age- and season-specific effects of ambient particles (PM1, PM2.5, and PM10) on daily emergency department visits among two Chinese metropolitan populations. Chemosphere 2020, 246, 125723. [Google Scholar] [CrossRef] [PubMed]
- Samoli, E.; Atkinson, R.W.; Analitis, A.; Fuller, G.W.; Green, D.C.; Mudway, I.; Anderson, H.R.; Kelly, F.J. Associations of short-term exposure to traffic-related air pollution with cardiovascular and respiratory hospital admissions in London, UK. Occup. Environ. Med. 2016, 73, 300–307. [Google Scholar] [CrossRef]
- Liu, M.; Xue, X.; Zhou, B.; Zhang, Y.; Sun, B.; Chen, J.; Li, X. Population susceptibility differences and effects of air pollution on cardiovascular mortality: Epidemiological evidence from a time-series study. Environ. Sci. Pollut. Res. 2019, 26, 15943–15952. [Google Scholar] [CrossRef]
- Bourcier, T.; Viboud, C.; Cohen, J.-C.; Thomas, F.; Bury, T.; Cadiot, L.; Mestre, O.; Flahault, A.; Borderie, V.; Laroche, L. Effects of air pollution and climatic conditions on the frequency of ophthalmological emergency examinations. Br. J. Ophthalmol. 2003, 87, 809–811. [Google Scholar] [CrossRef]
- Fu, Q.; Mo, Z.; Lyu, D.; Zhang, L.; Qin, Z.; Tang, Q.; Yin, H.; Xu, P.; Wu, L.; Lou, X.; et al. Air pollution and outpatient visits for conjunctivitis: A case-crossover study in Hangzhou, China. Environ. Pollut. 2017, 231, 1344–1350. [Google Scholar] [CrossRef] [PubMed]




| Variable | Group | Mean ± SD | Min | Median | Max | IQR |
|---|---|---|---|---|---|---|
| Daily Outpatient Visits | ||||||
| Pediatrics | 322 ± 13.89 | 130 | 312 | 654 | 106.5 | |
| ENT | 241 ± 50.08 | 102 | 239 | 396 | 74 | |
| Cardiovascular | 269 ± 60.53 | 93 | 263 | 482 | 115 | |
| Respiratory | 246 ± 60.53 | 108 | 245 | 434 | 90.5 | |
| Ophthalmology | 195 ± 47 | 10 | 197 | 338 | 58.5 | |
| Orthopedics | 239 ± 62.19 | 100 | 242 | 443 | 75 | |
| ENT | Heating 1 | 236 ± 53 | 102 | 232 | 379 | 79 |
| Nonheating 1 | 241 ± 48.43 | 110 | 241 | 396 | 66 | |
| Cardiovascular | Heating | 275 ± 74.3 | 93 | 268 | 482 | 126 |
| Nonheating | 266 ± 73.76 | 102 | 260 | 464 | 109 | |
| Respiratory | Heating | 257 ± 60.63 | 108 | 257 | 434 | 87 |
| Nonheating | 238 ± 59.2 | 113 | 237 | 379 | 90 | |
| Ophthalmology | Heating | 157 ± 73.59 | 20 | 176 | 288 | 81 |
| Nonheating | 163 ± 83.26 | 10 | 186 | 338 | 105 | |
| Orthopedics | Heating | 238 ± 62.2 | 100 | 240 | 443 | 73 |
| Nonheating | 241 ± 64.42 | 100 | 240 | 443 | 74 | |
| Pediatrics | <6 | 224 ± 60 | 102 | 218 | 460 | 78 |
| ≥6 | 86 ± 34.99 | 22 | 78 | 225 | 47 | |
| ENT | <50 | 157 ± 44 | 10 | 160 | 259 | 42 |
| ≥50 | 73 ± 28.54 | 1 | 74 | 153 | 42 | |
| Cardiovascular | <60 | 144 ± 64.76 | 6 | 153 | 294 | 106 |
| ≥60 | 75 ± 51.95 | 13 | 61 | 219 | 89 | |
| Respiratory | <60 | 169 ± 67.46 | 8 | 188 | 278 | 71 |
| ≥60 | 54 ± 32.54 | 10 | 46 | 130 | 52 | |
| Ophthalmology | <60 | 126 ± 58.73 | 2 | 141 | 264 | 60 |
| ≥60 | 38 ± 26 | 1 | 34 | 142 | 39 | |
| Orthopedics | <50 | 126 ± 62.3 | 10 | 143 | 265 | 74 |
| ≥50 | 82 ± 43.57 | 6 | 91 | 206 | 65 | |
| Air pollutants | ||||||
| () | 68.22 ± 60.17 | 9 | 47 | 493 | 51 | |
| () | 125.9 ± 38.92 | 16 | 100 | 589 | 88 | |
| () | 17.58 ± 11.35 | 4 | 13 | 71 | 13 | |
| () | 54.97 ± 20.91 | 14 | 52 | 127 | 29 | |
| () | 1.48 ± 0.66 | 0.6 | 1.3 | 5.4 | 0.7 | |
| ( 8 h average) | 93.13 ± 57.26 | 6 | 80 | 280 | 89 | |
| Meteorological conditions | ||||||
| Temperature () | 15.66 ± 9.92 | −6 | 16.5 | 34 | 18 | |
| RH 2 (%) | 66.12 ± 17.03 | 18.25 | 64.67 | 100 | 25.46 | |
| All | ||||||
| Entire period | 1.088 (0.881, 1.277) | 1.035 (0.945, 1.126) | 1.381 (0.795, 1.966) | 1.137 (0.201, 2.047) | 1.114 (0.876, 1.352) | 1.152 (0.958, 1.345) |
| Heating | 1.047 (0.890, 1.204) | 1.077 (0.918, 1.236) | 1.219 (1.018, 1.421) | 0.930 (0.740, 1.119) | 1.156 (0.634, 1.678) | 1.018 (0.816, 0.816) |
| Nonheating | 0.996 (0.828, 1.164) | 0.992 (0.980, 1.004) | 1.250 (1.182, 1.318) | 0.784 (0.699, 0.868) | 1.202 (1.025, 1.379) | 0.954 (0.943, 0.965) |
| p-value | 0.002 | 0.401 | 0.583 | 0.188 | 0.014 | 0.046 |
| Pediatrics | ||||||
| Entire period | 1.032 (0.998, 1.064) | 1.047 (1.028, 1.067) | 1.236 (1.201, 1.250) | 1.105 (1.090, 1.121) | 1.044 (1.025, 1.064) | 1.032 (1.026, 1.039) |
| Heating | 1.067 (1.035, 1.098) | 1.009 (1.006, 1.013) | 1.266 (1.236, 1.296) | 1.006 (0.974, 1.038) | 1.139 (1.053, 1.224) | 1.098 (0.943, 1.253) |
| Nonheating | 1.008 (0.975, 1.040) | 0.959 (0.943, 0.975) | 0.995 (0.936, 1.055) | 1.130 (1.047, 1.214) | 0.843 (0.801, 0.886) | 0.979 (0.970, 0.988) |
| p-value | 0.134 | 0.001 | <0.001 | <0.001 | <0.001 | 0.856 |
| Age < 6 | 1.078 (0.972, 1.185) | 1.038 (1.014, 1.062) | 1.218 (1.049, 1.388) | 1.024 (0.76, 1.289) | 0.983 (0.833, 1.132) | 1.077 (0.902, 1.251) |
| Age ≥ 6 | 1.01 (1.002, 1.018) | 1.005 (0.978, 1.033) | 1.196 (0.903, 1.489) | 1.057 (1.006, 1.108) | 1.083 (0.867, 1.299) | 0.995 (0.861, 1.129) |
| p-value | 0.425 | 0.944 | 0.0002 | <0.01 | 0.0005 | 0.134 |
| ENT | ||||||
| Entire period | 1.074 (1.053, 1.096) | 1.136 (1.114, 1.159) | 1.061 (1.021, 1.102) | 1.086 (1.067, 1.106) | 0.975 (0.9170, 1.032) | 1.011 (1.007, 1.015) |
| Heating | 1.010 (0.993, 1.082) | 1.063 (1.034, 1.091) | 0.916 (0.890, 0.941) | 1.129 (1.094, 1.164) | 1.051 (1.014, 1.088) | 1.185 (1.144, 1.226) |
| Nonheating | 0.841 (0.709, 0.973) | 1.029 (1.001, 1.057) | 1.118 (0.949, 1.287) | 1.104 (0.898, 1.310) | 1.050 (0.815, 1.285) | 1.020 (0.999, 1.042) |
| p-value | <0.001 | 0.066 | 0.103 | 0.337 | 0.570 | <0.001 |
| Age < 50 | 1.085 (1.067, 1.102) | 1.006 (0.998, 1.014) | 1.105 (1.062, 1.148) | 1.02 (0.794, 1.245) | 0.916 (0.574, 1.259) | 1.036 (0.871, 1.201) |
| Age ≥ 50 | 1.003 (0.967, 1.04) | 1.162 (1.065, 1.259) | 0.927 (0.687, 1.166) | 1.011 (0.808, 1.213) | 0.989 (0.668, 1.309) | 0.963 (0.836, 1.090) |
| p-value | 0.274 | 0.003 | 0.007 | 0.031 | 0.121 | 0.133 |
| Cardiovascular | ||||||
| Entire period | 1.101 (1.090, 1.113) | 1.061 (1.053, 1.069) | 1.050 (1.027, 1.073) | 1.015 (0.974, 1.022) | 1.187 (1.139, 1.243) | 1.014 (1.006, 1.022) |
| Heating | 0.991 (0.977, 1.006) | 0.967 (0.946, 0.988) | 1.339 (1.289, 1.389) | 0.946 (0.905, 0.987) | 1.012 (0.999, 1.026) | 1.273 (1.189, 1.358) |
| Nonheating | 1.138 (0.888, 1.388) | 1.014 (1.006, 1.023) | 1.306 (1.097, 1.515) | 0.931 (0.879, 0.984) | 1.053 (0.487, 1.62) | 1.026 (1.020, 1.032) |
| p-value | 0.001 | <0.001 | 0.095 | 0.565 | 0.008 | <0.001 |
| Age < 60 | 1.134 (1.023, 1.245) | 1.046 (0.991, 1.101) | 1.027 (0.935, 1.119) | 1.068 (1.029, 1.107) | 1.111 (0.843, 1.379) | 1.051 (0.964, 1.137) |
| Age ≥ 60 | 1.126 (0.996, 1.256) | 1.149 (1.071, 1.229) | 1.184 (1.062, 1.307) | 1.023 (0.901, 1.144) | 0.971 (0.912, 1.029) | 1.017 (0.964, 1.071) |
| p-value | 0.062 | 0.342 | <0.001 | 0.07 | <0.001 | 0.003 |
| Respiratory | ||||||
| Entire period | 1.169 (1.152, 1.186) | 1.078 (1.069, 1.088) | 0.970 (0.961, 0.981) | 1.030 (1.024, 1.035) | 1.101 (1.031, 1.171) | 1.074 (1.059, 1.089) |
| Heating | 1.022 (1.007, 1.037) | 1.037 (1.018, 1.056) | 0.993 (0.966, 1.020) | 1.026 (1.011, 1.042) | 1.151 (1.044, 1.258) | 1.112 (0.942, 1.281) |
| Nonheating | 1.143 (1.085, 1.201) | 1.030 1.007, 1.054) | 0.992 (0.954, 1.041) | 1.081 (1.029, 1.133) | 1.078 (1.040, 1.116) | 1.015 (1.005, 1.024) |
| p-value | <0.001 | 0.488 | 0.087 | <0.001 | <0.001 | 0.604 |
| Age < 60 | 1.019 (0.789, 1.249) | 1.028 (0.862, 1.195) | 1.012 (1.001, 1.023) | 1.170 (1.161, 1.182) | 1.077 (1.028, 1.126) | 1.101 (0.962, 1.242) |
| Age ≥ 60 | 0.994 (0.949, 1.039) | 1.060 (0.995, 1.083) | 0.914 (0.724, 1.104) | 1.098 (1.087, 1.109) | 1.086 (0.979, 1.193) | 1.011 (1.003, 1.019) |
| p-value | 0.181 | 0.039 | 0.155 | <0.01 | 0.101 | 0.045 |
| Ophthalmology | ||||||
| Entire period | 1.023 (1.003, 1.044) | 1.098 (1.079, 1.117) | 1.006 (1.009, 1.013) | 1.034 (1.023, 1.046) | 1.078 (1.033, 1.123) | 0.973 (0.927, 1.018) |
| Heating | 1.014 (0.989, 1.041) | 1.074 (1.053, 1.096) | 1.068 (1.028, 1.107) | 1.148 (1.001, 1.296) | 1.064 (1.044, 1.085) | 1.227 (1.168, 1.285) |
| Nonheating | 1.080 (1.030, 1.130) | 1.024 (1.020, 1.028) | 0.918 (0.806, 1.029) | 1.042 (1.034, 1.050) | 0.906 (0.886, 0.925) | 0.930 (0.905, 0.956) |
| p-value | 0.019 | 0.453 | 0.275 | 0.045 | 0.038 | <0.001 |
| Age < 60 | 1.037 (0.995, 1.079) | 0.995 (0.949, 1.041) | 1.086 (1.023, 1.148) | 0.914 (0.724, 1.104) | 1.144 (1.104, 1.183) | 1.016 (1.008, 1.024) |
| Age ≥ 60 | 1.027 (1.018, 1.037) | 1.020 (0.790, 1.251) | 1.077 (0.933, 1.221) | 1.056 (1.015, 1.097) | 1.154 (1.093, 1.214) | 1.100 (0.961, 1.239) |
| p-value | 0.451 | 0.228 | <0.001 | 0.005 | 0.215 | <0.001 |
| Orthopedics | ||||||
| Entire period | 1.063 (1.032, 1.095) | 1.166 (0.989, 1.342) | 1.029 (0.976, 1.082) | 1.178 (1.092, 1.263) | 1.055 (0.969, 1.140) | 1.044 (0.958, 1.129) |
| Heating | 0.985 (0.976, 0.993) | 1.035 (1.006, 1.064) | 0.935 (0.902, 0.967) | 1.123 (1.029, 1.218) | 1.064 (1.044, 1.085) | 1.106 (1.009, 1.203) |
| Nonheating | 0.987 (0.828, 1.146) | 1.008 (0.995, 1.020) | 1.057 (1.030, 1.083) | 1.207 (1.076, 1.338) | 1.176 (0.818, 1.533) | 1.034 (1.020, 1.049) |
| p-value | 0.938 | 0.025 | <0.001 | 0.275 | 0.238 | 0.938 |
| Age < 60 | 1.056 (1.036, 1.076) | 1.122 (1.107, 1.137) | 0.996 (0.841, 1.150) | 1.039 (0.973, 1.104) | 0.990 (0.761, 1.219) | 0.974 (0.875, 1.073) |
| Age ≥ 60 | 1.038 (1.005, 1.070) | 1.096 (1.085, 1.107) | 1.012 (0.843, 1.180) | 1.112 (1.013, 1.212) | 1.142 (0.881, 1.405) | 1.001 (0.898, 1.104) |
| p-value | 0.286 | 0.779 | 0.051 | 0.009 | 0.689 | 0.764 |
Disclaimer/Publisher’s Note: The statements, opinions and data contained in all publications are solely those of the individual author(s) and contributor(s) and not of MDPI and/or the editor(s). MDPI and/or the editor(s) disclaim responsibility for any injury to people or property resulting from any ideas, methods, instructions or products referred to in the content. |
© 2023 by the authors. Licensee MDPI, Basel, Switzerland. This article is an open access article distributed under the terms and conditions of the Creative Commons Attribution (CC BY) license (https://creativecommons.org/licenses/by/4.0/).
Share and Cite
Wang, Q.; Chen, Z.; Huang, W.; Kou, B.; Li, J. Short-Term Effect of Moderate Level Air Pollution on Outpatient Visits for Multiple Clinic Departments: A Time-Series Analysis in Xi’an China. Toxics 2023, 11, 166. https://doi.org/10.3390/toxics11020166
Wang Q, Chen Z, Huang W, Kou B, Li J. Short-Term Effect of Moderate Level Air Pollution on Outpatient Visits for Multiple Clinic Departments: A Time-Series Analysis in Xi’an China. Toxics. 2023; 11(2):166. https://doi.org/10.3390/toxics11020166
Chicago/Turabian StyleWang, Qingnan, Zhuo Chen, Wei Huang, Bo Kou, and Jingwei Li. 2023. "Short-Term Effect of Moderate Level Air Pollution on Outpatient Visits for Multiple Clinic Departments: A Time-Series Analysis in Xi’an China" Toxics 11, no. 2: 166. https://doi.org/10.3390/toxics11020166
APA StyleWang, Q., Chen, Z., Huang, W., Kou, B., & Li, J. (2023). Short-Term Effect of Moderate Level Air Pollution on Outpatient Visits for Multiple Clinic Departments: A Time-Series Analysis in Xi’an China. Toxics, 11(2), 166. https://doi.org/10.3390/toxics11020166

