Persistent Halogenated Organic Pollutants in Deep-Water-Deposited Particulates from South China Sea
Abstract
:1. Introduction
2. Materials and Methods
2.1. The Collection of Vertically Deposited Particulate in Seawater
2.2. Extraction, Cleanup, and Chemical Analysis
2.3. Instrumental Analysis
2.4. Statistical Analysis
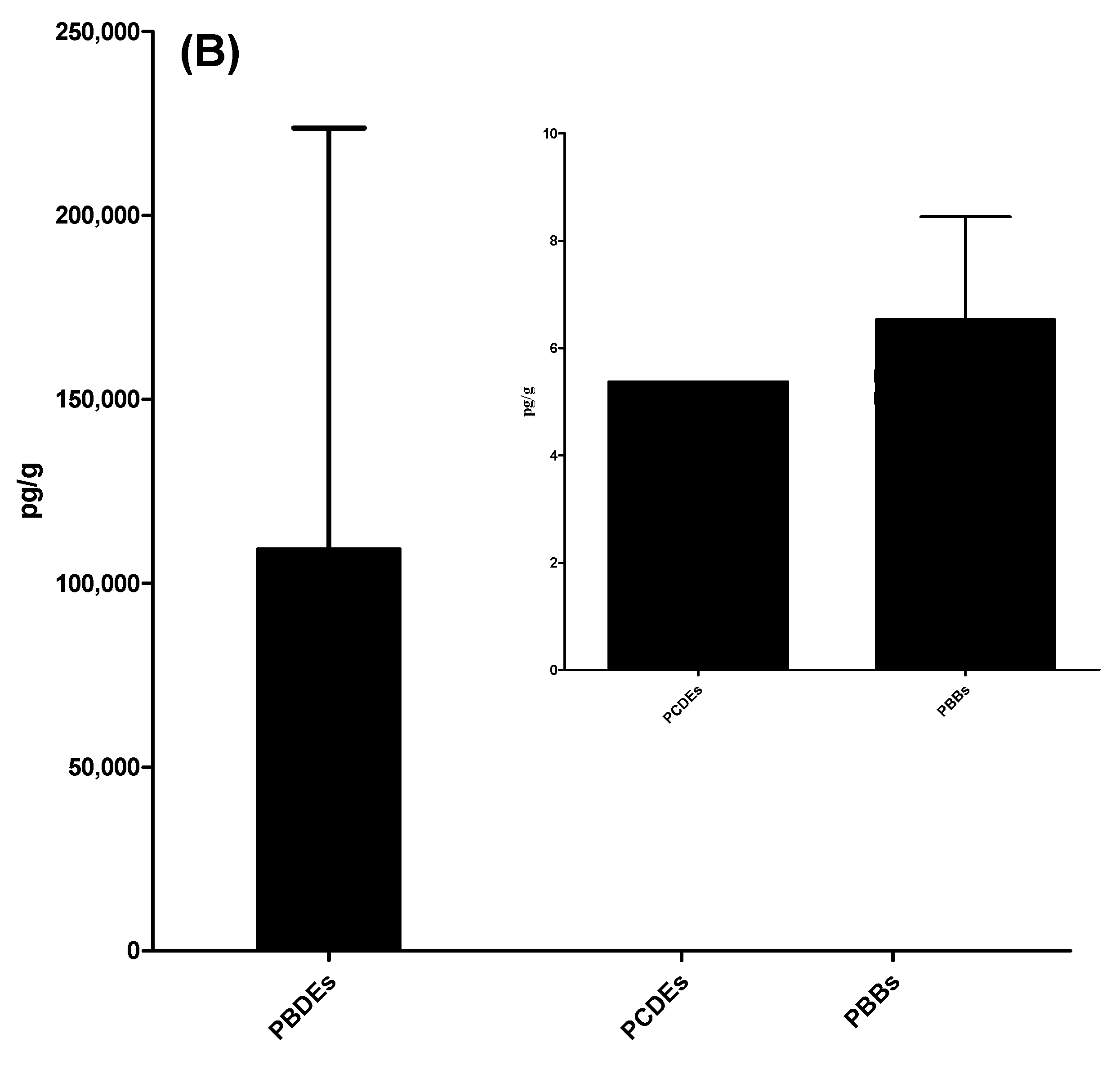
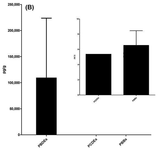
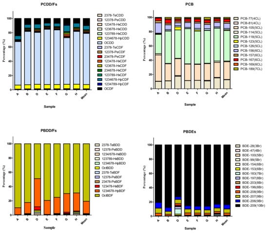
3. Results
4. Discussion
5. Conclusions
Supplementary Materials
Author Contributions
Funding
Institutional Review Board Statement
Informed Consent Statement
Data Availability Statement
Acknowledgments
Conflicts of Interest
References
- Li, Q.Q.; Loganath, A.; Chong, Y.S.; Tan, J.; Obbard, J.P. Persistent organic pollutants and adverse health effects in humans. J. Toxicol. Environ. Health Part A Curr. Issues 2006, 69, 1987–2005. [Google Scholar] [CrossRef]
- Chao, H.R.; Lin, D.Y.; Chen, K.Y.; Gou, Y.Y.; Chiou, T.H.; Lee, W.J.; Chen, S.J.; Wang, L.C. Atmospheric concentrations of persistent organic pollutants over the Pacific Ocean near southern Taiwan and the northern Philippines. Sci. Total Environ. 2014, 491–492, 51–59. [Google Scholar] [CrossRef] [PubMed]
- Koistinen, J.; Paasivirta, J.; Suonpera, M. Contamination of Pike and Sediment from the Kymijoki River by PCDEs, PCDDs, and PCDFs: Contents and Patterns Compared to Pike and Sediment from the Bothnian Bay and Seals from Lake Saimaa. Environ. Sci. Technol. 1995, 29, 2541–2547. [Google Scholar] [CrossRef] [PubMed]
- Shih, M.; Lee, W.S.; Chang-Chien, G.P.; Wang, L.C.; Hung, C.Y.; Lin, K.C. Dry deposition of polychlorinated dibenzo-p-dioxins and dibenzofurans (PCDD/Fs) in ambient air. Chemosphere 2006, 62, 411–416. [Google Scholar] [CrossRef] [PubMed]
- Eguchi, A.; Isobe, T.; Ramu, K.; Tue, N.M.; Sudaryanto, A.; Devanathan, G.; Viet, P.H.; Tana, R.S.; Takahashi, S.; Subramanian, A.; et al. Soil contamination by brominated flame retardants in open waste dumping sites in Asian developing countries. Chemosphere 2013, 90, 2365–2371. [Google Scholar] [CrossRef]
- Damstra, T.; Jurgelski, W.; Posner, H.S.; Vouk, V.B.; Bernheim, N.J.; Guthrie, J.; Luster, M.; Falk, H.L. Toxicity of Polybrominated Biphenyls (PBBS) in Domestic and Laboratory-Animals. Environ. Health Perspect. 1982, 44, 175–188. [Google Scholar] [CrossRef]
- Jacobs, L.W.; Chou, S.F.; Tiedje, J.M. Field concentrations and persistence of polybrominated biphenyls in soils and solubility of PBB in natural waters. Environ. Health Perspect. 1978, 23, 1–8. [Google Scholar] [CrossRef]
- Jin, M.; Fu, J.; Xue, B.; Zhou, S.; Zhang, L.; Li, A. Distribution and enantiomeric profiles of organochlorine pesticides in surface sediments from the Bering Sea, Chukchi Sea and adjacent Arctic areas. Environ. Pollut. 2017, 222, 109–117. [Google Scholar] [CrossRef]
- Froescheis, O.; Looser, R.; Cailliet, G.M.; Jarman, W.M.; Ballschmiter, K. The deep-sea as a final global sink of semivolatile persistent organic pollutants? Part I: PCBs in surface and deep-sea dwelling fish of the North and South Atlantic and the Monterey Bay Canyon (California). Chemosphere 2000, 40, 651–660. [Google Scholar] [CrossRef]
- Pozo, K.; Urrutia, R.; Mariottini, M.; Rudolph, A.; Banguera, J.; Pozo, K.; Parra, O.; Focardi, S. Levels of Persistent Organic Pollutants (POPs) in sediments from Lenga estuary, central Chile. Mar. Pollut. Bull. 2014, 79, 338–341. [Google Scholar] [CrossRef]
- Johansen, S.; Poste, A.; Allan, I.; Evenset, A.; Carlsson, P. Terrestrial inputs govern spatial distribution of polychlorinated biphenyls (PCBs) and hexachlorobenzene (HCB) in an Arctic fjord system (Isfjorden, Svalbard). Environ. Pollut 2021, 281, 116963. [Google Scholar] [CrossRef] [PubMed]
- Ballschmiter, K. Transport and Fate of Organic Compounds in the Global Environment. Angew. Chem. Int. Ed. 1992, 31, 487–515. [Google Scholar] [CrossRef]
- Patil, Y.; Rao, P. Applied Bioremediation: Active and Passive Approaches; BoD—Books on Demand: Norderstedt, Germany, 2013. [Google Scholar]
- Schecter, A.; Papke, O.; Ball, M.; Lis, A.; Brandtrauf, P. Dioxin concentrations in the blood of workers at municipal waste incinerators. Occup. Environ. Med. 1995, 52, 385–387. [Google Scholar] [CrossRef]
- Zhan, F.; Yu, X.; Zhang, X.; Chen, L.; Sun, X.; Yu, R.Q.; Wu, Y. Tissue distribution of organic contaminants in stranded pregnant sperm whale (Physeter microcephalus) from the Huizhou coast of the South China Sea. Mar. Pollut. Bull. 2019, 144, 181–188. [Google Scholar] [CrossRef] [PubMed]
- Kumagai, S.; Koda, S.; Miyakita, T.; Ueno, M. Polychlorinated dibenzo-p-dioxin and dibenzofuran concentrations in serum samples of workers at intermittently burning municipal waste incinerators in Japan. Occup. Environ. Med. 2002, 59, 362–368. [Google Scholar] [CrossRef]
- Kumagai, S.; Koda, S.; Miyakita, T.; Yamaguchi, H.; Katagi, K.; Yasuda, N. Polychlorinated dibenzo-p-dioxin and dibenzofuran concentrations in the serum samples of workers at continuously burning municipal waste incinerators in Japan. Occup. Environ. Med. 2000, 57, 204–210. [Google Scholar] [CrossRef]
- Chao, H.R.; Wang, S.L.; Su, P.H.; Yu, H.Y.; Yu, S.T.; Papke, O. Levels of polychlorinated dibenzo-p-dioxins and dibenzofurans in primipara breast milk from Taiwan: Estimation of dioxins and furans intake for breastfed infants. J. Hazard. Mater. 2005, 121, 1–10. [Google Scholar] [CrossRef]
- Schecter, A.; Colacino, J.; Sjodin, A.; Needham, L.; Birnbaum, L. Partitioning of polybrominated diphenyl ethers (PBDEs) in serum and milk from the same mothers. Chemosphere 2010, 78, 1279–1284. [Google Scholar] [CrossRef]
- Koistinen, J.; Vuorinen, P.J.; Paasivirta, J. Contents and origin of polychlorinated diphenyl ethers (PCDE) in salmon from the Baltic Sea, Lake Saimaa and the Tenojoki river in Finland. Chemosphere 1993, 27, 2365–2380. [Google Scholar] [CrossRef]
- Chao, H.R.; Wang, Y.F.; Lin, D.Y.; Cheng, Y.T.; Tsou, T.C. Fast Cleanup System Combined with a Dioxin-responsive Element-driven Luciferase Bioassay for Analysis of Polychlorinated Dibenzo-p-dioxins/furans in Sediments and Soils. Bull. Environ. Contam. Toxicol. 2011, 86, 278–282. [Google Scholar] [CrossRef]
- Qiu, Y.W.; Wang, D.X.; Zhang, G. Assessment of persistent organic pollutants (POPs) in sediments of the Eastern Indian Ocean. Sci. Total Environ. 2020, 710, 136335. [Google Scholar] [CrossRef] [PubMed]
- Sappington, E.N.; Balasubramani, A.; Rifai, H.S. Polychlorinated dibenzo-p-dioxins and polychlorinated dibenzofurans (PCDD/Fs) in municipal and industrial effluents. Chemosphere 2015, 133, 82–89. [Google Scholar] [CrossRef] [PubMed]
- Lustenhouwer, J.W.A.; Olie, K.; Hutzinger, O. Chlorinated dibenzo-p-dioxins and related compounds in incinerator effluents—A review of measurements and mechanisms of formation. Chemosphere 1980, 9, 501–522. [Google Scholar] [CrossRef]
- Vanness, G.F.; Solch, J.G.; Taylor, M.L.; Tiernan, T.O. Tetrachlorodibenzo-p-dioxins in chemical wastes, aqueous effluents and soils. Chemosphere 1980, 9, 553–563. [Google Scholar] [CrossRef]
- Baars, A.J.; Bakker, M.I.; Baumann, R.A.; Boon, P.E.; Freijer, J.I.; Hoogenboom, L.A.; Hoogerbrugge, R.; van Klaveren, J.D.; Liem, A.K.; Traag, W.A.; et al. Dioxins, dioxin-like PCBs and non-dioxin-like PCBs in foodstuffs: Occurrence and dietary intake in The Netherlands. Toxicol. Lett. 2004, 151, 51–61. [Google Scholar] [CrossRef] [PubMed]
- Ighalo, J.O.; Adeniyi, A.G.; Adelodun, A.A. Recent advances on the adsorption of herbicides and pesticides from polluted waters: Performance evaluation via physical attributes. J. Ind. Eng. Chem. 2021, 93, 117–137. [Google Scholar] [CrossRef]
- Tysklind, M.; Fangmark, I.; Marklund, S.; Lindskog, A.; Thaning, L.; Rappe, C. Atmospheric transport and transformation of polychlorinated dibenzo-p-dioxins and dibenzofurans. Environ. Sci. Technol. 1993, 27, 2190–2197. [Google Scholar] [CrossRef]
- White, S.S.; Birnbaum, L.S. An Overview of the Effects of Dioxins and Dioxin-Like Compounds on Vertebrates, as Documented in Human and Ecological Epidemiology. J. Environ. Sci. Health Part C Environ. Carcinog. Ecotoxicol. Rev. 2009, 27, 197–211. [Google Scholar] [CrossRef]
- Srogi, K. Levels and congener distributions of PCDDs, PCDFs and dioxin-like PCBs in environmental and human samples: A review. Environ. Chem. Lett. 2008, 6, 1–28. [Google Scholar] [CrossRef]
- Siddiqi, M.A.; Laessig, R.H.; Reed, K.D. Polybrominated diphenyl ethers (PBDEs): New pollutants–old diseases. Clin. Med. Res. 2003, 1, 281–290. [Google Scholar] [CrossRef]
- Chao, H.R.; Que, D.E.; Gou, Y.Y.; Chuang, C.Y.; Chang, T.Y.; Hsu, Y.C. Indoor and Outdoor Concentrations of Polybrominated Diphenyl Ethers on Respirable Particulate in Central and Southern Taiwan. Aerosol Air Qual. Res. 2016, 16, 3187–3197. [Google Scholar] [CrossRef]
- Gou, Y.Y.; Que, D.E.; Chuang, C.Y.; Chao, H.R.; Shy, C.G.; Hsu, Y.C.; Lin, C.W.; Chuang, K.P.; Tsai, C.C.; Tayo, L.L. Dust levels of polybrominated diphenyl ethers (PBDEs) and polybrominated dibenzo-p-dioxins/furans (PBDD/Fs) in the Taiwanese elementary school classrooms: Assessment of the risk to school-age children. Sci. Total Environ. 2016, 572, 734–741. [Google Scholar] [CrossRef] [PubMed]
- Hanari, N.; Kannan, K.; Miyake, Y.; Okazawa, T.; Kodavanti, P.R.S.; Aldous, K.M.; Yamashita, N. Occurrence of polybrominated biphenyls, polybrominated dibenzo-p-dioxins, and polybrominated dibenzofurans as impurities in commercial polybrominated diphenyl ether mixtures. Environ. Sci. Technol. 2006, 40, 4400–4405. [Google Scholar] [CrossRef] [PubMed]
- Chou, H.M.; Kao, C.C.; Chuang, K.P.; Lin, C.; Shy, C.G.; Chen, R.F.; Tsai, C.C.; Chuang, C.Y.; Cheng, Y.C.; Chen, C.C.; et al. Levels of Polybrominated Diphenyl Ethers in Air-Conditioner Filter Dust Used to Assess Health Risks in Clinic and Electronic Plant Employees. Aerosol Air Qual. Res. 2016, 16, 184–194. [Google Scholar] [CrossRef]
- Tue, N.M.; Suzuki, G.; Takahashi, S.; Isobe, T.; Trang, P.T.K.; Viet, P.H.; Tanabe, S. Evaluation of Dioxin-Like Activities in Settled House Dust from Vietnamese E-Waste Recycling Sites: Relevance of Polychlorinated/Brominated Dibenzo-p-Dioxin/Furans and Dioxin-Like PCBs. Environ. Sci. Technol. 2010, 44, 9195–9200. [Google Scholar] [CrossRef] [PubMed]
- Su, C.K.; Lu, J.H.; Chao, H.R.; Chang, W.H.; Tsai, M.H.; Wang, C.L.; Lu, I.C.; Chang, Y.T.; Chuang, H.C.; Mansor, W.N.W.; et al. Polybrominated Dibenzo-p-dioxins/Furans (PBDD/Fs) and Diphenyl Ethers (PBDEs) in the Indoor and Outdoor of Gymnasiums. Aerosol Air Qual. Res. 2022, 22, 220264. [Google Scholar] [CrossRef]
- Koistinen, J. Polychlorinated diphenyl ethers (PCDE). In Volume 3 Anthropogenic Compounds Part K; Springer: Berlin/Heidelberg, Germany, 2000; pp. 157–201. [Google Scholar]
- Domingo, J.L. Polychlorinated diphenyl ethers (PCDEs): Environmental levels, toxicity and human exposure: A review of the published literature. Environ. Int. 2006, 32, 121–127. [Google Scholar] [CrossRef]
- Yang, P.; Chen, J.W.; Chen, S.; Yuan, X.; Schramm, K.W.; Kettrup, A. QSPR models for physicochemical properties of polychlorinated diphenyl ethers. Sci. Total Environ. 2003, 305, 65–76. [Google Scholar] [CrossRef]
- De Boer, J.; Denneman, M. Polychlorinated diphenylethers: Origin, analysis, distribution, and toxicity in the marine environment. Rev. Environ. Contam. Toxicol. 1998, 131–144. [Google Scholar] [CrossRef]
- Becker, M.C. Toxicity of Polychlorinated Diphenyl Ethers in Hydra Attenuata and in Rat Whole Embryo Culture; Technical Report; Air Force Institute of Technology: Wright-Patterson AFB, OH, USA, 1991. [Google Scholar]
- Safe, S.; Hutzinger, O. Polychlorinated biphenyls (PCBs) and polybrominated biphenyls (PBBs): Biochemistry, toxicology, and mechanism of action. CRC Crit. Rev. Toxicol. 1984, 13, 319–395. [Google Scholar] [CrossRef]
- Rigét, F.; Bignert, A.; Braune, B.; Dam, M.; Dietz, R.; Evans, M.; Green, N.; Gunnlaugsdóttir, H.; Hoydal, K.S.; Kucklick, J.J. Temporal trends of persistent organic pollutants in Arctic marine and freshwater biota. Sci. Total Environ. 2019, 649, 99–110. [Google Scholar] [CrossRef]
- Vecchiato, M.; Argiriadis, E.; Zambon, S.; Barbante, C.; Toscano, G.; Gambaro, A.; Piazza, R. Persistent Organic Pollutants (POPs) in Antarctica: Occurrence in continental and coastal surface snow. Microchem. J. 2015, 119, 75–82. [Google Scholar] [CrossRef]
- Mwangi, J.K.; Lee, W.J.; Wang, L.C.; Sung, P.J.; Fang, L.S.; Lee, Y.Y.; Chang-Chien, G.P. Persistent organic pollutants in the Antarctic coastal environment and their bioaccumulation in penguins. Environ. Pollut. 2016, 216, 924–934. [Google Scholar] [CrossRef]
- Wang, D.; Ma, H.; Chen, Z.; Shi, G. Occurrences and possible sources of persistent organic pollutants (POPs) in ice-free area soils in East Antarctica. CATENA 2022, 212, 106083. [Google Scholar] [CrossRef]
- Ockenden, W.A.; Breivik, K.; Meijer, S.N.; Steinnes, E.; Sweetman, A.J.; Jones, K.C. The global re-cycling of persistent organic pollutants is strongly retarded by soils. Environ. Pollut. 2003, 121, 75–80. [Google Scholar] [CrossRef] [PubMed]
- Wang, X.; Gong, P.; Wang, C.; Ren, J.; Yao, T. A review of current knowledge and future prospects regarding persistent organic pollutants over the Tibetan Plateau. Sci. Total Environ. 2016, 573, 139–154. [Google Scholar] [CrossRef] [PubMed]
- Morales, L.; Dachs, J.; Gonzalez-Gaya, B.; Hernan, G.; Abalos, M.; Abad, E. Background Concentrations of Polychlorinated Dibenzo-p-Dioxins, Dibenzofurans, and Biphenyls in the Global Oceanic Atmosphere. Environ. Sci. Technol. 2014, 48, 10198–10207. [Google Scholar] [CrossRef] [PubMed]
- Lohmann, R.; Jurado, E.; Pilson, M.E.Q.; Dachs, J. Oceanic deep water formation as a sink of persistent organic pollutants. Geophys. Res. Lett. 2006, 33. [Google Scholar] [CrossRef]
- Ge, M.; Wang, X.; Yang, G.; Wang, Z.; Li, Z.; Zhang, X.; Xu, Q. Persistent organic pollutants (POPs) in deep-sea sediments of the tropical western Pacific Ocean. Chemosphere 2021, 277, 130267. [Google Scholar] [CrossRef]
- Pankow, J.F. An absorption model of gas/particle partitioning of organic compounds in the atmosphere. Atmos. Environ. 1994, 28, 185–188. [Google Scholar] [CrossRef]
- Pozo, K.; Urrutia, R.; Barra, R.; Mariottini, M.; Treutler, H.C.; Araneda, A.; Focardi, S. Records of polychlorinated biphenyls (PCBs) in sediments of four remote Chilean Andean Lakes. Chemosphere 2007, 66, 1911–1921. [Google Scholar] [CrossRef]
- Goerke, H.; Weber, K.; Bornemann, H.; Ramdohr, S.; Plotz, J. Increasing levels and biomagnification of persistent organic pollutants (POPs) in Antarctic biota. Mar. Pollut. Bull. 2004, 48, 295–302. [Google Scholar] [CrossRef]
- Wang, T.; Lu, Y.; Zhang, H.; Shi, Y. Contamination of persistent organic pollutants (POPs) and relevant management in China. Environ. Int. 2005, 31, 813–821. [Google Scholar] [CrossRef] [PubMed]
- Kobusińska, M.E.; Lewandowski, K.K.; Panasiuk, A.; Łęczyński, L.; Urbaniak, M.; Ossowski, T.; Niemirycz, E.J.C. Precursors of polychlorinated dibenzo-p-dioxins and dibenzofurans in Arctic and Antarctic marine sediments: Environmental concern in the face of climate change. Chemosphere 2020, 260, 127605. [Google Scholar] [CrossRef] [PubMed]
- Assefa, A.T.; Sobek, A.; Sundqvist, K.L.; Cato, I.; Jonsson, P.; Tysklind, M.; Wiberg, K. Temporal Trends of PCDD/Fs in Baltic Sea Sediment Cores Covering the 20th Century. Environ. Sci. Technol. 2014, 48, 947–953. [Google Scholar] [CrossRef] [PubMed]
- Ma, Y.X.; Halsall, C.J.; Crosse, J.D.; Graf, C.; Cai, M.H.; He, J.F.; Gao, G.P.; Jones, K. Persistent organic pollutants in ocean sediments from the North Pacific to the Arctic Ocean. J. Geophys. Res. Ocean. 2015, 120, 2723–2735. [Google Scholar] [CrossRef]
- Dasgupta, S.; Peng, X.; Chen, S.; Li, J.; Du, M.; Zhou, Y.; Zhong, G.; Xu, H.; Ta, K. Toxic anthropogenic pollutants reach the deepest ocean on Earth. Geochem. Perspect. Lett. 2018, 7, 22–26. [Google Scholar] [CrossRef]
- Cheng, Z.; Lin, T.; Xu, W.; Xu, Y.; Li, J.; Luo, C.; Zhang, G. A preliminary assessment of polychlorinated biphenyls and polybrominated diphenyl ethers in deep-sea sediments from the Indian Ocean. Mar. Pollut. Bull. 2015, 94, 323–328. [Google Scholar] [CrossRef]
- Lee, H.J.; Kim, G. An overview of polybrominated diphenyl ethers (PBDEs) in the marine environment. Ocean Sci. J. 2015, 50, 119–142. [Google Scholar] [CrossRef]
- de Wit, C.A.; Herzke, D.; Vorkamp, K. Brominated flame retardants in the Arctic environment—Trends and new candidates. Sci. Total Environ. 2010, 408, 2885–2918. [Google Scholar] [CrossRef]
- Koistinen, J.; Stenman, O.; Haahti, H.; Suonpera, M.; Paasivirta, J. Polychlorinated diphenyl ethers, dibenzo-p-dioxins, dibenzofurans and biphenyls in seals and sediment from the Gulf of Finland. Chemosphere 1997, 35, 1249–1269. [Google Scholar] [CrossRef] [PubMed]
- Terauchi, H.; Takahashi, S.; Lam, P.K.S.; Min, B.Y.; Tanabe, S. Polybrominated, polychlorinated and monobromo-polychlorinated dibenzo-p-dioxins/dibenzofurans and dioxin-like polychlorinated biphenyls in marine surface sediments from Hong Kong and Korea. Environ. Pollut. 2009, 157, 724–730. [Google Scholar] [CrossRef]
- Zhang, G.; Li, J.; Cheng, H.; Li, X.; Xu, W.; Jones, K.C. Distribution of organochlorine pesticides in the northern South China Sea: Implications for land outflow and air-sea exchange. Environ. Sci. Technol. 2007, 41, 3884–3890. [Google Scholar] [CrossRef]
- Sun, Y.X.; Hao, Q.; Xu, X.R.; Luo, X.J.; Wang, S.L.; Zhang, Z.W.; Mai, B.X. Persistent organic pollutants in marine fish from Yongxing Island, South China Sea: Levels, composition profiles and human dietary exposure assessment. Chemosphere 2014, 98, 84–90. [Google Scholar] [CrossRef]
- Li, Y.; Lin, T.; Chen, Y.; Hu, L.; Guo, Z.; Zhang, G. Polybrominated diphenyl ethers (PBDEs) in sediments of the coastal East China Sea: Occurrence, distribution and mass inventory. Environ. Pollut 2012, 171, 155–161. [Google Scholar] [CrossRef]
- Li, Q.; Xu, Y.; Li, J.; Pan, X.; Liu, X.; Zhang, G. Levels and spatial distribution of gaseous polychlorinated biphenyls and polychlorinated naphthalenes in the air over the northern South China Sea. Atmos. Environ. 2012, 56, 228–235. [Google Scholar] [CrossRef]
- Hao, Z.; Xu, H.; Feng, Z.; Zhang, C.; Zhou, X.; Wang, Z.; Zheng, J.; Zou, X. Spatial distribution, deposition flux, and environmental impact of typical persistent organic pollutants in surficial sediments in the Eastern China Marginal Seas (ECMSs). J. Hazard. Mater. 2021, 407, 124343. [Google Scholar] [CrossRef]
- Wang, M.S.; Chen, S.J.; Huang, K.L.; Lai, Y.C.; Chang-Chien, G.P.; Tsai, J.H.; Lin, W.Y.; Chang, K.C.; Lee, J.T. Determination of levels of persistent organic pollutants (PCDD/Fs, PBDD/Fs, PBDEs, PCBs, and PBBs) in atmosphere near a municipal solid waste incinerator. Chemosphere 2010, 80, 1220–1226. [Google Scholar] [CrossRef]
- Van den Berg, M.; Birnbaum, L.S.; Denison, M.; De Vito, M.; Farland, W.; Feeley, M.; Fiedler, H.; Hakansson, H.; Hanberg, A.; Haws, L.; et al. The 2005 World Health Organization reevaluation of human and mammalian toxic equivalency factors for dioxins and dioxin-like compounds. Toxicol. Sci. 2006, 93, 223–241. [Google Scholar] [CrossRef]
- van den Berg, M.; Denison, M.S.; Birnbaum, L.S.; Devito, M.J.; Fiedler, H.; Falandysz, J.; Rose, M.; Schrenk, D.; Safe, S.; Tohyama, C.; et al. Polybrominated dibenzo-p-dioxins, dibenzofurans, and biphenyls: Inclusion in the toxicity equivalency factor concept for dioxin-like compounds. Toxicol. Sci. 2013, 133, 197–208. [Google Scholar] [CrossRef]
- Zhang, Y.; Wang, W.L.; Song, J.M.; Ren, Z.M.; Yuan, H.M.; Yan, H.J.; Zhang, J.P.; Pei, Z.; He, Z.P. Environmental Characteristics of Polybrominated Diphenyl Ethers in Marine System, with Emphasis on Marine Organisms and Sediments. BioMed Res. Int. 2016, 1317232. [Google Scholar] [CrossRef]
- Liu, L.L.; Li, H.; Wang, Z.P.; Liu, R.H.; Zhang, Y.C.; Lin, K.F. Insights into spatially and temporally co-occurring polybrominated diphenyl ethers in sediments of the East China Sea. Chemosphere 2015, 123, 55–63. [Google Scholar] [CrossRef]
- Turner, A. PBDEs in the marine environment: Sources, pathways and the role of microplastics. Environ. Pollut. 2022, 301, 118943. [Google Scholar] [CrossRef] [PubMed]
- Mai, B.; Chen, S.; Chen, S.; Luo, X.; Chen, L.; Chen, L.; Yang, Q.; Sheng, G.; Peng, P.; Fu, J.; et al. Distribution of polybrominated diphenyl ethers in sediments of the Pearl River Delta and adjacent South China Sea. Environ. Sci. Technol. 2005, 39, 3521–3527. [Google Scholar] [CrossRef] [PubMed]
- Song, W.; Ford, J.C.; Li, A.; Mills, W.J.; Buckley, D.R.; Rockne, K.J. Polybrominated diphenyl ethers in the sediments of the Great Lakes. 1. Lake Superior. Environ. Sci. Technol. 2004, 38, 3286–3293. [Google Scholar] [CrossRef] [PubMed]
- La Guardia, M.J.; Hale, R.C.; Harvey, E. Detailed polybrominated diphenyl ether (PBDE) congener composition of the widely used penta-, octa-, and deca-PBDE technical flame-retardant mixtures. Environ. Sci. Technol. 2006, 40, 6247–6254. [Google Scholar] [CrossRef] [PubMed]
- Söderström, G.; Sellström, U.; de Wit, C.A.; Tysklind, M. Photolytic debromination of decabromodiphenyl ether (BDE 209). Environ. Sci. Technol. 2004, 38, 127–132. [Google Scholar] [CrossRef]
- Eljarrat, E.; De La Cal, A.; Raldua, D.; Duran, C.; Barcelo, D. Occurrence and bioavailability of polybrominated diphenyl ethers and hexabromocyclododecane in sediment and fish from the Cinca River, a tributary of the Ebro River (Spain). Environ. Sci. Technol. 2004, 38, 2603–2608. [Google Scholar] [CrossRef] [PubMed]
- Bezares-Cruz, J.; Jafvert, C.T.; Hua, I. Solar photodecomposition of decabromodiphenyl ether: Products and quantum yield. Environ. Sci. Technol. 2004, 38, 4149–4156. [Google Scholar] [CrossRef] [PubMed]
- Cai, Q.Y.; Mo, C.H.; Wu, Q.T.; Katsoyiannis, A.; Zeng, Q.Y. The status of soil contamination by semivolatile organic chemicals (SVOCs) in China: A review. Sci. Total Environ. 2008, 389, 209–224. [Google Scholar] [CrossRef]
- Xie, Z.; Möller, A.; Ahrens, L.; Sturm, R.; Ebinghaus, R. Brominated Flame Retardants in Seawater and Atmosphere of the Atlantic and the Southern Ocean. Environ. Sci. Technol. 2011, 45, 1820–1826. [Google Scholar] [CrossRef]
- Lohmann, R.; Klanova, J.; Kukucka, P.; Yonis, S.; Bollinger, K. Concentrations, Fluxes, and Residence Time of PBDEs Across the Tropical Atlantic Ocean. Environ. Sci. Technol. 2013, 47, 13967–13975. [Google Scholar] [CrossRef] [PubMed]
- Moller, A.; Xie, Z.Y.; Sturm, R.; Ebinghaus, R. Polybrominated diphenyl ethers (PBDEs) and alternative brominated flame retardants in air and seawater of the European Arctic. Environ. Pollut. 2011, 159, 1577–1583. [Google Scholar] [CrossRef] [PubMed]
- Minh, N.H.; Isobe, T.; Ueno, D.; Matsumoto, K.; Mine, M.; Kajiwara, N.; Takahashi, S.; Tanabe, S. Spatial distribution and vertical profile of polybrominated diphenyl ethers and hexabromocyclododecanes in sediment core from Tokyo Bay, Japan. Environ. Pollut. 2007, 148, 409–417. [Google Scholar] [CrossRef] [PubMed]
- Castro-Jimenez, J.; Eisenreich, S.J.; Ghiani, M.; Mariani, G.; Skejo, H.; Umlauf, G.; Wollgast, J.; Zaldivar, J.M.; Berrojalbiz, N.; Reuter, H.I.; et al. Atmospheric Occurrence and Deposition of Polychlorinated Dibenzo-p-Dioxins and Dibenzofurans (PCDD/Fs) in the Open Mediterranean Sea. Environ. Sci. Technol. 2010, 44, 5456–5463. [Google Scholar] [CrossRef] [PubMed]
- Cornelissen, G.; Wiberg, K.; Broman, D.; Arp, H.P.H.; Persson, Y.; Sundqvist, K.; Jonsson, P. Freely Dissolved Concentrations and Sediment-Water Activity Ratios of PCDD/Fs and PCBs in the Open Baltic Sea. Environ. Sci. Technol. 2008, 42, 8733–8739. [Google Scholar] [CrossRef] [PubMed]
- Jurado, E.; Jaward, F.M.; Lohmann, R.; Jones, K.C.; Simo, R.; Dachs, J. Atmospheric dry deposition of persistent organic pollutants to the Atlantic and inferences for the global oceans. Environ. Sci. Technol. 2004, 38, 5505–5513. [Google Scholar] [CrossRef] [PubMed]
- Korhonen, M.; Salo, S.; Kankaanpaa, H.; Kiviranta, H.; Ruokojarvi, P.; Verta, M. Sedimentation of PCDD/Fs and PCBs in the Gulf of Finland and the Gulf of Bothnia, the Baltic Sea. Chemosphere 2013, 93, 1541–1547. [Google Scholar] [CrossRef] [PubMed]
- Kannan, V.M.; Gopikrishna, V.G.; Saritha, V.K.; Krishnan, K.P.; Mohan, M. PCDD/Fs, dioxin-like, and non-dioxin like PCBs in the sediments of high Arctic fjords, Svalbard. Mar. Pollut. Bull. 2022, 174, 113277. [Google Scholar] [CrossRef]
- Metelkova, L.; Zhakovskaya, Z.; Kukhareva, G.; Rybalko, A.; Nikiforov, V. Occurrence of PCDD/PCDFs, dioxin-like PCBs, and PBDEs in surface sediments from the Neva River and the Eastern Gulf of Finland (Russia). Environ. Sci. Pollut. Res. Int. 2019, 26, 7375–7389. [Google Scholar] [CrossRef]
- Yun, S.H.; Addink, R.; McCabe, J.M.; Ostaszewski, A.; Mackenzie-Taylor, D.; Taylor, A.B.; Kannan, K. Polybrominated diphenyl ethers and polybrominated biphenyls in sediment and floodplain soils of the Saginaw River watershed, Michigan, USA. Arch. Environ. Contam. Toxicol. 2008, 55, 1–10. [Google Scholar] [CrossRef] [PubMed]
- Qin, W.; Yue, W.; Wang, C. Understanding integrated effects of humidity and interfacial transfer film formation on tribological behaviors of sintered polycrystalline diamond. RSC Adv. 2015, 5, 53484–53496. [Google Scholar] [CrossRef]
- Zhang, X.; Wang, T.; Gao, L.; Feng, M.; Qin, L.; Shi, J.; Cheng, D. Polychlorinated diphenyl ethers (PCDEs) in surface sediments, suspended particulate matter (SPM) and surface water of Chaohu Lake, China. Environ. Pollut. 2018, 241, 441–450. [Google Scholar] [CrossRef] [PubMed]
- Alford, M.H.; Peacock, T.; MacKinnon, J.A.; Nash, J.D.; Buijsman, M.C.; Centuroni, L.R.; Chao, S.Y.; Chang, M.H.; Farmer, D.M.; Fringer, O.B.; et al. The formation and fate of internal waves in the South China Sea. Nature 2015, 521, 65–69. [Google Scholar] [CrossRef] [PubMed]
- Li, D.; Chou, W.-C.; Shih, Y.-Y.; Chen, G.-Y.; Chang, Y.; Chow, C.H.; Lin, T.-Y.; Hung, C.-C. Elevated particulate organic carbon export flux induced by internal waves in the oligotrophic northern South China Sea. Sci. Rep. 2018, 8, 2042. [Google Scholar] [CrossRef]
- Morton, B.; Blackmore, G. South China Sea. Mar. Pollut. Bull. 2001, 42, 1236–1263. [Google Scholar] [CrossRef] [PubMed]
- Thuan, N.T.; Chi, K.H.; Wang, S.-H.; Chang, M.B.; Lin, N.-H.; Sheu, G.-R.; Peng, C.-M. Atmospheric PCDD/F measurement in Taiwan and Southeast Asia during Dongsha Experiment. Atmos. Environ. 2013, 78, 195–202. [Google Scholar] [CrossRef]
- Li, Q.; Li, J.; Liu, X.; Xu, W.; Zhang, G. Levels and Sources of Gaseous Polybrominated Diphenyl Ethers in Air over the Northern South China Sea. Environ. Sci. Technol. (Huan Jing Ke Xue) 2012, 33, 2533–2537. [Google Scholar]
- Hao, Q.; Sun, Y.X.; Xu, X.R.; Yao, Z.W.; Wang, Y.S.; Zhang, Z.W.; Luo, X.J.; Mai, B.X. Occurrence of persistent organic pollutants in marine fish from the Natuna Island, South China Sea. Mar. Pollut. Bull. 2014, 85, 274–279. [Google Scholar] [CrossRef]
- Ueno, D.; Watanabe, M.; Subramanian, A.L.; Tanaka, H.; Fillmann, G.; Lam, P.K.S.; Zheng, G.J.; Muchtar, M.; Razak, H.; Prudente, M.; et al. Global pollution monitoring of polychlorinated dibenzo-p-dioxins (PCDDs), furans (PCDFs) and coplanar polychlorinated biphenyls (coplanar PCBs) using skipjack tuna as bioindicator. Environ. Pollut. 2005, 136, 303–313. [Google Scholar] [CrossRef]
- Hao, Q.; Sun, Y.X.; Xu, X.R.; Yao, Z.W.; Wang, Y.S.; Zhang, Z.W.; Luo, X.J.; Mai, B.X. Geographical distribution and risk assessment of persistent organic pollutants in golden threads (Nemipterus virgatus) from the northern South China Sea. Ecotoxicology 2015, 24, 1593–1600. [Google Scholar] [CrossRef] [PubMed]
- Zhu, B.; Lai, N.L.; Wai, T.C.; Chan, L.L.; Lam, J.C.; Lam, P.K. Changes of accumulation profiles from PBDEs to brominated and chlorinated alternatives in marine mammals from the South China Sea. Environ. Int. 2014, 66, 65–70. [Google Scholar] [CrossRef] [PubMed]
- Combi, T.; Montone, R.C.; Corada-Fernandez, C.; Lara-Martin, P.A.; Gusmao, J.B.; de Oliveira Santos, M.C. Persistent organic pollutants and contaminants of emerging concern in spinner dolphins (Stenella longirostris) from the Western Atlantic Ocean. Mar. Pollut. Bull. 2022, 174, 113263. [Google Scholar] [CrossRef]
- Sun, Y.X.; Hu, Y.X.; Zhang, Z.W.; Xu, X.R.; Li, H.X.; Zuo, L.Z.; Zhong, Y.; Sun, H.; Mai, B.X. Halogenated organic pollutants in marine biota from the Xuande Atoll, South China Sea: Levels, biomagnification and dietary exposure. Mar. Pollut. Bull. 2017, 118, 413–419. [Google Scholar] [CrossRef] [PubMed]
- Zhang, K.; Wei, Y.-L.; Zeng, E.Y. A review of environmental and human exposure to persistent organic pollutants in the Pearl River Delta, South China. Sci. Total Environ. 2013, 463–464, 1093–1110. [Google Scholar] [CrossRef]
- Zhang, Z.; Dai, M.; Hong, H.; Zhou, J.L.; Yu, G. Dissolved insecticides and polychlorinated biphenyls in the Pearl River Estuary and South China Sea. J. Environ. Monit. 2002, 4, 922–928. [Google Scholar] [CrossRef]
- Zhu, T.; Zhu, Y.; Liu, Y.; Deng, C.; Qi, X.; Wang, J.; Shen, Z.; Yin, D.; Liu, Y.; Sun, R.; et al. Polybrominated diphenyl ethers in water, suspended particulate matter, and sediment of reservoirs and their tributaries in Shenzhen, a mega city in South China. Environ. Sci. Pollut. Res. Int. 2023, 30, 53524–53537. [Google Scholar] [CrossRef]
- Xiong, J.; Li, G.; An, T.; Zhang, C.; Wei, C. Emission patterns and risk assessment of polybrominated diphenyl ethers and bromophenols in water and sediments from the Beijiang River, South China. Environ. Pollut. 2016, 219, 596–603. [Google Scholar] [CrossRef]
- Guan, Y.-F.; Wang, J.-Z.; Ni, H.-G.; Zeng, E.Y. Riverine Inputs of Polybrominated Diphenyl Ethers from the Pearl River Delta (China) to the Coastal Ocean. Environ. Sci. Technol. 2007, 41, 6007–6013. [Google Scholar] [CrossRef]
- Wurl, O.; Lam, P.K.S.; Obbard, J.P. Occurrence and distribution of polybrominated diphenyl ethers (PBDEs) in the dissolved and suspended phases of the sea-surface microlayer and seawater in Hong Kong, China. Chemosphere 2006, 65, 1660–1666. [Google Scholar] [CrossRef]
- Liu, Y.; Peng, P.a.; Li, X.; Zhang, S.; Ren, M. Polychlorinated dibenzo-p-dioxins and dibenzofurans (PCDD/Fs) in water and suspended particulate matter from the Xijiang River, China. J. Hazard. Mater. 2008, 152, 40–47. [Google Scholar] [CrossRef] [PubMed]





| Deep-Ocean Site | Σ17PCDD/Fs (pg/g d.w.) | Σ17PCDD/Fs (pg WHO2005-TEQ/g d.w.) | Σ12DL-PCBs (pg/g d.w.) | Σ12PCBs (pg WHO2005-TEQ/g d.w.) | Σ6PCDEs (pg/g d.w.) | Σ12PBDD/Fs (pg/g d.w.) | Σ12PBDD/Fs (pg WHO2005-TEQ/g d.w.) | Σ5 PBBs (pg/g d.w.) | Σ14PBDEs (ng/g d.w.) |
|---|---|---|---|---|---|---|---|---|---|
| Location: SEAT 1 (17°59.685′ N, 116°00.1408′ E) | |||||||||
| Sailing Period 2013/09/20 ~ 2013/11/23) | |||||||||
| A (2000 m) | 476 | 3.39 | 494 | 0.471 | 5.37 a | 654 | 1.34 | 5.73 a | 313 |
| E (3500 m) | 285 | 3.03 | 70.0 | 0.134 | 5.37 a | 439 | 1.49 | 5.73 a | 236 |
| Sailing Period (2013/11/23 ~ 2014/01/02) | |||||||||
| B (2000 m) | 208 | 2.24 | 46.8 | 0.103 | 5.37 a | 205 | 0.890 | 11.2 | 157 |
| F (3500 m) | 230 | 2.48 | 54.0 | 0.129 | 5.37 a | 189 | 0.993 | 5.73 a | 66.4 |
| Sailing Period (2014/01/02 ~ 2014/03/23) | |||||||||
| C (2000 m) | 0.634 a | 0.100 a | 3.03 a | 0.000303 a | 5.37 a | 18.2 a | 0.536 a | 5.73 a | 0.291 a |
| G (3500 m) | 214 | 3.46 | 47.5 | 0.129 | 5.37 a | 164 | 1.23 | 6.54 | 60.7 |
| Location: SEAT 2 (18°06.3852′ N, 116°01.9695′ E) | |||||||||
| Sailing Period (2014/04/15 ~ 2014/10/24) | |||||||||
| D (2000 m) | 294 | 3.39 | 56.2 | 0.134 | 5.37 a | 57.8 | 1.00 | 5.73 a | 17.8 |
| H (3500 m) | 220 | 2.64 | 45.6 | 0.0947 | 5.37 a | 85.1 | 0.811 | 5.79 | 21.5 |
| 2000 m Mean ± SD | 245 ± 197 | 2.28 ± 1.55 | 150 ± 230 | 0.177 ± 0.204 | 5.37 a | 234 ± 291 | 0.94 ± 0.332 | 7.11 | 122 ± 145 |
| 3500 m Mean ± SD | 237 ± 32.5 | 2.90 ± 0.438 | 54.2 ± 11.1 | 0.122 ± 0.0181 | 5.37 a | 219 ± 153 | 1.13 ± 0.293 | 5.95 | 96.1 ± 95.3 |
| p-value b | 1.00 | 1.00 | 0.715 | 0.715 | - | 1.00 | 0.465 | 1.00 | 0.465 |
| p-value c | 1.00 | 0.686 | 1.00 | 0.886 | - | 0.886 | 0.686 | 0.886 | 0.886 |
| Depths of 2000 m | Depths of 3500 m | |||||||||
|---|---|---|---|---|---|---|---|---|---|---|
| A | B | C | D | Mean ± SD | E | F | G | H | Mean ± SD | |
| PCDD/Fs (pg/g d.w.) | ||||||||||
| 2,3,7,8-TeCDD | 0.171 | 0.170 | 0.0387 a | 0.150 | 0.132 ± 0.0632 | 0.220 | 0.169 | 0.154 | 0.135 | 0.170 ± 0.0364 |
| 1,2,3,7,8-PeCDD | 0.583 | 0.376 | 0.0339 a | 0.563 | 0.389 ± 0.254 | 0.599 | 0.472 | 0.511 | 0.454 | 0.509 ± 0.0645 |
| OCDD | 290 | 155 | 0.0418 a | 213 | 165 ± 123 | 221 | 176 | 140 | 163 | 175 ± 34.1 |
| PCBs (pg/g d.w.) | ||||||||||
| PCB-126 | 4.32 | 0.849 | 0.197 a | 1.12 | 1.62 ± 1.84 | 1.14 | 1.12 | 1.08 | 0.779 | 1.03 ± 0.169 |
| PBDD/Fs (pg/g d.w.) | ||||||||||
| 1,2,3,4,6,7,8-HpBDF | 64.1 | 31.7 | 0.917 a | 22.7 | 29.9 ± 26.2 | 85.9 | 42.8 | 42.8 | 21.5 | 48.3 ± 27.0 |
| OctBDF | 590 | 169 | 12.9 a | 28.2 | 200 ± 269 | 349 | 142 | 115 | 58.6 | 166 ± 127 |
| PBDEs | ||||||||||
| Tri-BDE (pg/g d.w.) | 5.50 | 5.23 | 1.91 a | 6.88 | 4.88 ± 2.11 | 5.58 | 2.13 | 3.35 | 4.87 | 3.98 ± 1.55 |
| Tetra-BDE (pg/g d.w.) | 63.4 | 55.1 | 12.8 a | 74.6 | 51.5 ± 27.0 | 63.2 | 51.8 | 39.2 | 46.6 | 50.2 ± 10.1 |
| Penta-BDE (pg/g d.w.) | 61.3 | 27.1 | 21.1 a | 70.1 | 44.9 ± 24.4 | 64.5 | 30.2 | 36.5 | 36.5 | 41.9 ± 15.3 |
| Hexa-BDEs (pg/g d.w.) | 85.2 | 94.0 | 8.38 a | 394 | 145 ± 170 | 297 | 131 | 119 | 144 | 173 ± 83.5 |
| Hepta-BDEs (pg/g d.w.) | 240 | 257 | 12.6 a | 1300 | 452 ± 576 | 1040 | 356 | 330 | 348 | 517 ± 345 |
| Octa-BDEs (pg/g d.w.) | 1470 | 635 | 16.1 a | 949 | 767 ± 608 | 1970 | 662 | 567 | 313 | 877 ± 740 |
| Nona-BDEs (ng/g d.w.) | 58.4 | 17.9 | 0.0526 a | 2.06 | 19.6 ± 27.1 | 30.9 | 8.10 | 7.42 | 2.72 | 12.3 ± 12.7 |
| Deca-BDE was (ng/g d.w.) | 253 | 138 | 0.166 a | 13.0 | 101 ± 119 | 202 | 57.1 | 52.2 | 17.9 | 82.2 ± 81.5 |
| Depths of 2000 m | Depths of 3500 m | |||||||||
|---|---|---|---|---|---|---|---|---|---|---|
| A | B | C | D | Mean ± SD | E | F | G | H | Mean ± SD | |
| Mass flux (mg/m2/day) | 102 | 189 | 0.8 | 73.3 | 91.3 ± 77.8 | 96.5 | 188 | 323 | 89.3 | 174 ± 109 |
| PCDD/Fs (pg/m2/day) | 48.5 | 39.2 | – | 21.5 | 36.4 ± 13.7 | 27.5 | 43.3 | 69.1 | 19.6 | 39.9 ± 21.8 |
| 2,3,7,8-TeCDD | 0.0174 | 0.0321 | – | 0.0110 | 0.0202 ± 0.0108 | 0.0212 | 0.0318 | 0.0497 | 0.0121 | 0.0287 ± 0.0162 |
| 1,2,3,7,8-PeCDD | 0.0594 | 0.0709 | – | 0.0123 | 0.0572 ± 0.0149 | 0.0578 | 0.0888 | 0.165 | 0.0405 | 0.0880 ± 0.0551 |
| OCDD PCDD/F-TEQs a | 29.5 0.345 | 29.2 0.422 | – – | 15.6 0.248 | 24.8 ± 7.96 0.339 ± 0.0872 | 21.3 0.292 | 33.1 0.467 | 45.2 1.12 | 14.6 0.236 | 28.6 ± 13.5 0.528 ± 0.405 |
| DL-PCBs (pg/m2/day) | 50.3 | 8.83 | - | 4.12 | 21.1 ± 25.4 | 6.75 | 10.2 | 15.3 | 4.07 | 9.08 ± 4.86 |
| PCB-126 PCB-TEQs a | 0.440 0.0480 | 0.160 0.0194 | – – | 0.0821 0.00982 | 0.227 ± 0.188 0.0257 ± 0.0199 | 0.110 0.0129 | 0.211 0.0243 | 0.349 0.0417 | 0.0696 0.00846 | 0.185 ± 0.124 0.0218 ± 0.0148 |
| PBDD/Fs (pg/m2/day) | 66.6 | 38.7 | – | 4.24 | 36.5 ± 31.3 | 42.4 | 35.6 | 53.0 | 7.60 | 34.6 ± 19.4 |
| 1,2,3,4,6,7,8-HpBDF | 6.53 | 5.98 | – | 1.66 | 4.72 ± 2.66 | 8.29 | 8.06 | 13.8 | 1.92 | 8.02 ± 4.86 |
| OctBDF PBDD/F-TEQs a | 60.1 0.137 | 31.9 0.168 | – – | 2.07 0.0734 | 31.4 ± 29.0 0.126 ± 0.0481 | 33.7 0.143 | 26.7 0.187 | 37.1 0.396 | 5.23 0.0724 | 25.7 ± 14.3 0.200 ± 0.139 |
| PBDEs (pg/m2/day) | 31,929 | 29,561 | – | 1305 | 20,932 ± 17,038 | 22,756 | 12,496 | 19,593 | 1920 | 14,191 ± 9237 |
| Tri-BDEs | 0.561 | 0.986 | – | 0.504 | 0.684 ± 0.264 | 0.538 | 0.400 | 1.083 | 0.435 | 0.614 ± 0.318 |
| Tetra-BDEs | 6.46 | 10.4 | – | 5.46 | 7.44 ± 2.60 | 6.10 | 9.75 | 12.6 | 4.16 | 8.16 ± 3.78 |
| Penta-BDEs | 6.25 | 5.12 | – | 5.14 | 5.51 ± 0.644 | 6.23 | 5.70 | 11.8 | 3.26 | 6.75 ± 3.61 |
| Hexa-BDEs | 8.69 | 17.7 | – | 28.9 | 18.5 ± 10.1 | 28.7 | 24.7 | 38.6 | 12.9 | 26.2 ± 10.6 |
| Hepta-BDEs | 24.5 | 48.5 | – | 95.0 | 56.0 ± 35.9 | 99.8 | 67.1 | 107 | 31.1 | 76.1 ± 34.7 |
| Octa-BDEs | 150 | 120 | – | 69.6 | 113 ± 40.5 | 190 | 125 | 183 | 27.9 | 131 ± 74.9 |
| Nona-BDEs | 5945 | 3375 | – | 151 | 3157 ± 2903 | 2981 | 1524 | 2395 | 243 | 1786 ± 1190 |
| Deca-BDEs | 25,787 | 25,984 | – | 950 | 17,574 ± 14,397 | 19,444 | 10,740 | 16,845 | 1598 | 12,156 ± 7928 |
Disclaimer/Publisher’s Note: The statements, opinions and data contained in all publications are solely those of the individual author(s) and contributor(s) and not of MDPI and/or the editor(s). MDPI and/or the editor(s) disclaim responsibility for any injury to people or property resulting from any ideas, methods, instructions or products referred to in the content. |
© 2023 by the authors. Licensee MDPI, Basel, Switzerland. This article is an open access article distributed under the terms and conditions of the Creative Commons Attribution (CC BY) license (https://creativecommons.org/licenses/by/4.0/).
Share and Cite
Lee, J.-D.; Chiou, T.-H.; Zhang, H.-J.; Chao, H.-R.; Chen, K.-Y.; Gou, Y.-Y.; Huang, C.-E.; Lin, S.-L.; Wang, L.-C. Persistent Halogenated Organic Pollutants in Deep-Water-Deposited Particulates from South China Sea. Toxics 2023, 11, 968. https://doi.org/10.3390/toxics11120968
Lee J-D, Chiou T-H, Zhang H-J, Chao H-R, Chen K-Y, Gou Y-Y, Huang C-E, Lin S-L, Wang L-C. Persistent Halogenated Organic Pollutants in Deep-Water-Deposited Particulates from South China Sea. Toxics. 2023; 11(12):968. https://doi.org/10.3390/toxics11120968
Chicago/Turabian StyleLee, Jia-De, Tsyr-Huei Chiou, Hong-Jie Zhang, How-Ran Chao, Kuang-Yu Chen, Yan-You Gou, Chien-Er Huang, Sheng-Lun Lin, and Lin-Chi Wang. 2023. "Persistent Halogenated Organic Pollutants in Deep-Water-Deposited Particulates from South China Sea" Toxics 11, no. 12: 968. https://doi.org/10.3390/toxics11120968
APA StyleLee, J.-D., Chiou, T.-H., Zhang, H.-J., Chao, H.-R., Chen, K.-Y., Gou, Y.-Y., Huang, C.-E., Lin, S.-L., & Wang, L.-C. (2023). Persistent Halogenated Organic Pollutants in Deep-Water-Deposited Particulates from South China Sea. Toxics, 11(12), 968. https://doi.org/10.3390/toxics11120968

