Trace Metal Accumulation in Rats Exposed to Mine Waters: A Case Study, Bor Area (Serbia)
Abstract
1. Introduction
2. Materials and Methods
2.1. Study Area
2.2. Study Animals
2.3. Chemical Analyses
2.4. Statistical Analyses
3. Results
3.1. Water TM Levels
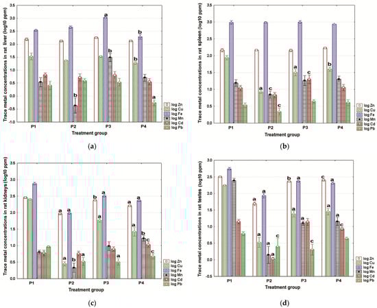
3.2. Effect of Drinking Water Sources on Intra-Organ TM Homeostasis
3.3. Intra-Organ TM Correlations
3.4. Water-to-Organ Linear Regressions
4. Discussion
4.1. Water TM Levels
4.2. Effect of Drinking Water Sources on Intra-Organ TM Homeostasis
4.3. Intra-Organ TM Correlations
4.4. Water-to-Organ Linear Regressions
4.5. Limitations, Strengths, and Future Research Directions
5. Conclusions
- -
- TM-contaminated water sources from the Bor mining area can alter endogeneous TM levels across a large number of rat organs. Such changes may serve as more sensitive endpoints for such exposure events than body weight or survival.
- -
- Perturbation of trace metal homeostasis is most evident in the brain, stomach, kidneys, and testes. The dynamics and magnitude of these imbalances depend on the target organ, trace metal analyzed, and water origin.
- -
- Cadmium may be more potent than lead in modulating the changes in intra-organ concentrations of essential trace metals (copper, zinc, iron, and manganese).
- -
- From an ecotoxicological point of view, the rat kidneys may serve as the most appropriate organ for manganese exposure assessment in the case of watercourses from the Bor mining area. Similar conclusions can be derived with respect to the use of the stomach and brain for monitoring changes in water lead.
Author Contributions
Funding
Institutional Review Board Statement
Informed Consent Statement
Data Availability Statement
Acknowledgments
Conflicts of Interest
References
- Li, Y.; Zhou, Q.; Ren, B.; Luo, J.; Yuan, J.; Ding, X.; Bian, H.; Yao, X. Trends and health risks of dissolved heavy metal pollution in global river and lake water from 1970 to 2017. Rev. Environ. Contam. Toxicol. 2020, 251, 1–24. [Google Scholar] [CrossRef]
- Su, Q.; Shahab, A.; Huang, L.; Ubaid Ali, M.; Cheng, Y.; Yang, J.; Xu, H.; Sun, Z.; Zou, Q.; Chen, Z.; et al. Heavy metals in surface sediment of Plateau Lakes in Tibet, China: Occurrence, risk assessment, and potential sources. Toxics 2023, 11, 804. [Google Scholar] [CrossRef]
- Filimon, M.N.; Caraba, I.V.; Popescu, R.; Dumitrescu, G.; Verdes, D.; Petculescu, C.; Sinitean, A. Potential ecological and human health risks of heavy metals in soils in selected copper mining areas-a case study: The Bor area. Int. J. Environ. Res. Public Health 2021, 18, 1516. [Google Scholar] [CrossRef]
- Filimon, M.N.; Dumitrescu, G.; Caraba, I.V.; Sinitean, A.; Verdes, D.; Mituletu, M.; Cornianu, M.; Popescu, R. Effects of mine waste water on rat: Bioaccumulation and histopathological evaluation. Environ. Sci. Pollut. Res. 2021, 28, 20222–20239. [Google Scholar] [CrossRef] [PubMed]
- Nica, D.V.; Draghici, G.A.; Andrica, F.M.; Popescu, S.; Coricovac, D.E.; Dehelean, C.A.; Gergen, I.I.; Kovatsi, L.; Coleman, M.D.; Tsatsakis, A. Short-term effects of very low dose cadmium feeding on copper, manganese and iron homeostasis: A gastropod perspective. Environ. Toxicol. Pharmacol. 2019, 65, 9–13. [Google Scholar] [CrossRef] [PubMed]
- Mononen, T.; Kivinen, S.; Kotilainen, J.M.; Leino, J. Social and Environmental Impacts of Mining Activities in the EU. European Parliament. 2022. Available online: www.europarl.europa.eu/RegData/etudes/STUD/2022/729156/IPOL_STU/2022/729156/IPOL_STU(2022)729156_EN.pdf (accessed on 1 October 2023).
- Adamovic, D.; Ishiyama, D.; Dordievski, S.; Ogawa, Y.; Stevanovic, Z.; Kawaraya, H.; Sato, H.; Obradovic, L.; Marinkovic, V.; Petrovic, J.; et al. Estimation and comparison of the environmental impacts of acid mine drainage-bearing river water in the Bor and Majdanpek porphyry copper mining areas in Eastern Serbia. Resour. Geol. 2021, 71, 123–143. [Google Scholar] [CrossRef]
- Filimon, M.N.; Popescu, R.; Horhat, F.G.; Voia, O.S. Environmental impact of mining activity in Bor area as indicated by the distribution of heavy metals and bacterial population dynamics in sediment. Knowl. Manag. Aquat. Ecosyst. 2016, 417, 30. [Google Scholar] [CrossRef]
- Petrović, J.V.; Alagić, S.Č.; Milić, S.M.; Tošić, S.B.; Bugarin, M.M. Chemometric characterization of heavy metals in soils and shoots of the two pioneer species sampled near the polluted water bodies in the close vicinity of the copper mining and metallurgical complex in Bor (Serbia): Phytoextraction and biomonitoring contexts. Chemosphere 2021, 262, 127808. [Google Scholar] [CrossRef] [PubMed]
- Milijašević-Joksimović, D.; Gavrilović, B.; Lović-Obradović, S. Application of the water quality index in the Timok River basin (Serbia). J. Geogr. Inst. Jovan Cvijic SASA 2018, 68, 333–344. [Google Scholar] [CrossRef]
- Serbula, S.; Stankovic, V.; Ivkovic, D.; Gorgievski, M.; Kalinovic, T. Characteristics of wastewater streams within the Bor copper mine and their influence on pollution of the Timok River, Serbia. Mine Water Environ. 2016, 35, 480–485. [Google Scholar] [CrossRef]
- Gardić, V.R.; Petrović, J.V.; Đurđevac-Ignjatovic, L.V.; Kolaković, S.R.; Vujović, S.R. Procena uticaja rudničkih drenažnih i komunalnih otpadnih voda na kvalitet površinskih voda u Boru i okolini. Hem. Ind. 2016, 69, 165–174. [Google Scholar] [CrossRef]
- Ishiyama, D.; Kawaraya, H.; Sato, H.; Obradovic, L.; Blagojević, B.; Petrovic, J.; Gardic, V.; Stevanovic, Z.; Shibayama, A.; Masuda, N.; et al. Geochemical characteristics of mine drainage water and river water in the Bor mining area, Serbia: Results of study in 2011. Sci. Tech. Rep. Grad. School Eng. Res. Sci. Akita Univ. 2012, 33, 41–49. [Google Scholar]
- Milijaševic, D.; Milanoviv, A.; Brankov, J.; Radovanovic, M. Water quality assessment of the Borska Reka River using the WPI (water pollution index) method. Arch. Biol. Sci. 2011, 63, 819–824. [Google Scholar] [CrossRef]
- Minamia, T.; Yamazaki, H.; Ohamab, N.; City, H.O. Accumulation of heavy metals in the organs of wild rodents. Ann. Rep. Inst. Sci. Technol. Kinday Univ. 2009, 1, 11–17. Available online: www.id.nii.ac.jp/1391/00011069/ (accessed on 4 October 2023).
- Desoky, A.E. Rodents as an indicator of environmental pollution. World J. Agric. Soil Sci. 2019, 2, 16–19. [Google Scholar] [CrossRef]
- Nordberg, G.F.; Costa, M. Handbook on the Toxicology of Metals: Volume I: General Considerations, 5th ed.; Academic Press: London, UK, 2021; pp. 38–152. [Google Scholar]
- Murillo-Tovar, M.A.; Saldarriaga-Noreña, H.; Saeid, A. Trace Metals in the Environment: New Approaches and Recent Advances; Intech Open Limited: London, UK, 2021; pp. 45–110. [Google Scholar]
- Nica, D.V.; Bordean, D.M.; Pet, I.; Pet, E.; Alda, S.; Gergen, I. A novel exploratory chemometric approach to environmental monitorring by combining block clustering with Partial Least Square (PLS) analysis. Chem. Cent. J. 2013, 7, 145. [Google Scholar] [CrossRef] [PubMed]
- Food and Nutrition Board, Institute of Medicine. Dietary Reference Intakes for Vitamin A, Vitamin K, Arsenic, Boron, Chromium, Copper, Iodine, Iron, Manganese, Molybdenum, Nickel, Silicon, Vanadium, and Zinc. Dietary Supplements; Report of the Panel on Micronutrients; Center for Food Safety and Applied Nutrition; National Academy Press: Washington, DC, USA, 2001. [Google Scholar]
- Janssen, M.P.M.; Ma, W.C.; Van Straalen, N.M. Biomagnification of metals in terrestrial ecosystems. Sci. Total Environ. 1993, 134, 511–524. [Google Scholar] [CrossRef]
- Li, Q.; Liu, H.; Alattar, M.; Jiang, S.; Han, J.; Ma, Y.; Jiang, C. The preferential accumulation of heavy metals in different tissues following frequent respiratory exposure to PM2.5 in rats. Sci. Rep. 2015, 5, 16936. [Google Scholar] [CrossRef]
- Filimon, M.N.; Nica, D.V.; Ostafe, V.; Bordean, D.M.; Borozan, A.B.; Vlad, D.C.; Popescu, R. Use of enzymatic tools for biomonitoring inorganic pollution in aquatic sediments: A case study (Bor, Serbia). Chem. Cent. J. 2013, 7, 59. [Google Scholar] [CrossRef]
- European Union. Directive 2010/63/EU of the European Parliament and of the Council of 22 September 2010 on the protection of animals used for scientific purposes. Off. J. Eur. Union 2010, 50, 33–79. [Google Scholar]
- World Health Organization (WHO). Chapter 6, Dietary Exposure Assessment of Chemicals in Food. 2009. Available online: www.inchem.org/documents/ehc/ehc/ehc240_chapter6.pdf (accessed on 5 October 2023).
- Meyers, L.S.; Gamst, G.; Guarino, A.J. Applied Multivariate Research: Design and Interpretation, 3rd ed.; Sage Publications: Thousand Oaks, CA, USA, 2016; pp. 24–40. [Google Scholar]
- World Health Organization (WHO). Health criteria and other supporting information. In Guidelines for Drinking-Water Quality, 2nd ed.; WHO: Geneva, Switzerland, 1993; Volume 2, pp. 281–299. [Google Scholar]
- United States Environmental Protection Agency (USEPA). Edition of the Drinking Water Standards and Health Advisories Tables; U.S. Government Printing Office: Washington, DC, USA, 2018; Mar. EPA 822-F-18-001. [Google Scholar]
- European Federation of National Associations of Water Services (EurEau). The Drinking Water Directive discussed in the ENVI Committee of the European Parliament. 26 June 2018. Available online: https://www.eureau.org/resources/news/246-eureau-newsletter-edition-26-june-2018 (accessed on 14 October 2023).
- Brankov, J.; Milijašević, D.; Milanović, A. The assessment of the surface water quality using the water pollution index: A case study of the Timok River (the Danube River basin), Serbia. Arch. Environ. Protect. 2012, 38, 49–61. [Google Scholar] [CrossRef]
- Nikolic, D.; Milošević, N.; Živković, Ž.; Mihajlović, I.; Kovačević, R.; Petrović, N. Multi-criteria analysis of soil pollution by heavy metals in the vicinity of the copper smelting plant in Bor (Serbia). J. Serbian Chem. Soc. 2012, 76, 625–641. [Google Scholar] [CrossRef]
- Kumari, D.; Nair, N.; Bedwal, R.S. Morphological changes in spleen after dietary zinc deficiency and supplementation in Wistar rats. Pharmacol. Rep. 2019, 71, 206–217. [Google Scholar] [CrossRef] [PubMed]
- Kopáni, M.; Miglierini, M.; Lančok, A.; Dekan, J.; Čaplovicová, M.; Jakubovský, J.; Boča, R.; Mrazova, H. Iron oxides in human spleen. Biometals 2015, 28, 913–928. [Google Scholar] [CrossRef] [PubMed]
- Nica, D.V.; Popescu, C.; Draghici, G.; Privistirescu, I.; Suciu, M.; Stöger, R. Effect of cadmium on cytosine hydroxymethylation in gastropod hepatopancreas. Environ. Sci. Pollut. Res. 2017, 24, 15187–15195. [Google Scholar] [CrossRef] [PubMed]
- Arroyo, V.S.; Flores, K.M.; Ortiz, L.B.; Gómez-Quiroz, L.; Gutiérrez-Ruiz, M.C. Liver and cadmium toxicity. J. Drug Metab. Toxicol. 2012, S5, 1–7. [Google Scholar] [CrossRef]
- Beard, J.L.; Erikson, K.M.; Jones, B.C. Neurobehavioral analysis of developmental iron deficiency in rats. Behav. Brain Res. 2002, 134, 517–524. [Google Scholar] [CrossRef]
- Gaasch, J.A.; Lockman, P.R.; Geldenhuys, W.J.; Allenm, D.D.; Van der Schyf, C.J. Brain iron toxicity: Differential responses of astrocytes, neurons, and endothelial cells. Neurochem. Res. 2007, 32, 1196–1208. [Google Scholar] [CrossRef]
- Choi, S.; Hong, D.K.; Choi, B.Y.; Suh, S.W. Zinc in the brain: Friend or foe? Int. J. Mol. Sci. 2020, 21, 8941. [Google Scholar] [CrossRef]
- Tamano, H.; Kan, F.; Kawamura, M.; Oku, N.; Takeda, A. Behavior in the forced swim test and neurochemical changes in the hippocampus in young rats after 2-week zinc deprivation. Neurochem. Int. 2009, 55, 536–541. [Google Scholar] [CrossRef]
- O’Neal, S.L.; Lee, J.W.; Zheng, W.; Cannon, J. Subacute manganese exposure in rats is a neurochemical model of early manganese toxicity. Neurotoxicology 2014, 44, 303–313. [Google Scholar] [CrossRef] [PubMed]
- Virgolini, M.B.; Aschner, M. Molecular mechanisms of lead neurotoxicity. In Advances in Neurotoxicology; Academic Press: London, UK, 2021; pp. 159–213. [Google Scholar]
- Landrigan, P.J. Lead and the heart: An ancient metal’s contribution to modern disease. Lancet Public Health 2018, 3, e156–e157. [Google Scholar] [CrossRef] [PubMed]
- Basha, D.C.; Basha, S.S.; Reddy, G.R. Lead-induced cardiac and hematological alterations in aging Wistar male rats: Alleviating effects of nutrient metal mixture. Biogerontology 2012, 13, 359–368. [Google Scholar] [CrossRef]
- Kodavanti, U.P.; Schladweiler, M.C.; Gilmour, P.S.; Wallenborn, J.G.; Mandavilli, B.S.; Ledbetter, A.D.; Christiani, D.C.; Runge, M.S.; Karoly, E.D.; Costa, D.L.; et al. The role of particulate matter-associated zinc in cardiac injury in rats. Environ. Health Perspect. 2008, 116, 13–20. [Google Scholar] [CrossRef] [PubMed]
- Knez, M.; Glibetic, M. Zinc as a biomarker of cardiovascular health. Front. Nutr. 2021, 8, 686078. [Google Scholar] [CrossRef] [PubMed]
- Liu, Y.; Miao, J. An emerging role of defective copper metabolism in heart disease. Nutrients 2022, 14, 700. [Google Scholar] [CrossRef] [PubMed]
- Khalil, A.A.; Soliman, A.N.; Moursi, M.M.S.; Taiser, W. Effect of chronic iron overloading on cardiovascular system in adult male albino rats. Al-Azhar Med. J. 2017, 46, 251–270. [Google Scholar] [CrossRef]
- Purves, D. Trace-Element Contamination of the Environment; Elsevier: New York, NY, USA, 2012; pp. 62–78. [Google Scholar]
- Liu, X.; Ali, M.K.; Dua, K.; Xu, R. The role of zinc in the pathogenesis of lung disease. Nutrients 2020, 14, 2115. [Google Scholar] [CrossRef]
- Yao, H.; Arunachalam, G.; Hwang, J.W.; Chung, S.; Sundar, I.K.; Kinnula, V.L.; Crapo, J.D.; Rahman, I. Extracellular superoxide dismutase protects against pulmonary emphysema by attenuating oxidative fragmentation of ECM. Proc. Natl. Acad. Sci. USA 2010, 107, 15571–15576. [Google Scholar] [CrossRef]
- U.S. Department of Health and Human Services, Agency for Toxic Substances and Disease Registry (ATSDR). Toxicological Profile for Copper. Draft of Public Comment. April 2022. Available online: www.atsdr.cdc.gov/toxprofiles/tp132.pdf (accessed on 3 October 2023).
- United States Environmental Protection Agency (USEPA). Provisional Peer Reviewed Toxicity Values for Iron and Compounds (CASRN 7439-89-6). Derivation of Subchronic and Chronic Oral RfDs. 2006 Nov. EPA/690/R-06/020F. Available online: www.cfpub.epa.gov/ncea/pprtv/documents/IronandCompounds.pdf (accessed on 1 October 2023).
- Lin, Y.; Wu, C.; Yan, W.; Guo, S.; Liu, B. Five serum trace elements associated with risk of cardia and noncardia gastric cancer in a matched case–control study. Cancer Manag. Res. 2020, 12, 4441–4451. [Google Scholar] [CrossRef]
- Lin, X.; Peng, L.; Xu, X.; Chen, Y.; Zhang, Y.; Huo, X. Connecting gastrointestinal cancer risk to cadmium and lead exposure in the Chaoshan population of Southeast China. Environ. Sci. Pollut. Res. 2018, 25, 17611–17619. [Google Scholar] [CrossRef] [PubMed]
- Howe, G.M. The geography of lung-bronchus cancer and stomach cancer in the United Kingdom. Scott. Geogr. Mag. 1971, 87, 202–220. [Google Scholar] [CrossRef]
- Khayyatzadeh, S.S.; Maghsoudi, Z.; Foroughi, M.; Askari, G.; Ghiasvand, R. Dietary intake of zinc, serum levels of zinc and risk of gastric cancer: A review of studies. Adv. Biomed. Res. 2015, 4, 118. [Google Scholar] [CrossRef]
- Prasnicka, A.; Lastuvkova, H.; Alaei, F.F.; Cermanova, J.; Hroch, M.; Mokry, A.; Dolezelova, E.; Pavek, P.; Zizalova, K.; Vitek, L.; et al. Iron overload reduces synthesis and elimination of bile acids in rat liver. Sci. Rep. 2019, 9, 1–12. [Google Scholar] [CrossRef]
- Lentini, P.; Zanoli, L.; Granata, A.; Signorelli, S.S.; Castellino, P.; Dell’Aquila, R. Kidney and heavy metals—The role of environmental exposure. Mol. Med. Rep. 2017, 15, 3413–3419. [Google Scholar] [CrossRef]
- Aigner, E.; Strasser, M.; Haufe, H.; Sonnweber, T.; Hohla, F.; Stadlmayr, A.; Solioz, M.; Tilg, H.; Patsch, W.; Gunter, W.; et al. A role for low hepatic copper concentrations in nonalcoholic fatty liver disease. Am. J. Gastroenterol. 2010, 105, 1978–1985. [Google Scholar] [CrossRef]
- Burkhead, J.L.; Lutsenko, S. The role of copper as a modifier of lipid metabolism. In Lipid Metabolism; Baez, R.V., Ed.; IntechOpen: Rijeka, Croatia, 2010; pp. 39–60. [Google Scholar]
- Caballero, B.; Trugo, L.; Finglas, P.M. Encyclopedia of Food Sciences and Nutrition, 2nd ed.; Academic Press: Lodon, UK, 2003; pp. 10–30. [Google Scholar]
- Prohaska, J.R.; Downing, S.W.; Lukasewycz, O.A. Chronic dietary copper deficiency alters biochemical and morphological properties of mouse lymphoid tissues. J. Nutr. 1983, 113, 1583–1590. [Google Scholar] [CrossRef]
- Djoko, K.Y.; Cheryl-Lynn, Y.O.; Walker, M.J.; McEwan, A.G. The role of copper and zinc toxicity in innate immune defense against bacterial pathogens. J. Biol. Chem. 2015, 290, 18954–18961. [Google Scholar] [CrossRef]
- Zhang, H.; Pan, S.; Zhang, K.; Michiels, J.; Zeng, Q.; Ding, X.; Wang, J.; Peng, H.; Bai, J.; Xuan, Y.; et al. Impact of dietary manganese on intestinal barrier and inflammatory response in broilers challenged with Salmonella typhimurium. Microorganisms 2020, 8, 757. [Google Scholar] [CrossRef] [PubMed]
- Zhang, X.; Liang, D.; Lian, X.; Chi, Z.H.; Wang, X.; Zhao, Y.; Ping, Z. Effect of zinc deficiency on mouse renal interstitial fibrosis in diabetic nephropathy. Mol. Med. Rep. 2016, 14, 5245–5252. [Google Scholar] [CrossRef] [PubMed]
- Fell, B.F.; Farquharson, C.; Riddoch, G.I. Kidney lesions in copper-deficient rats. J. Comp. Pathol. 1987, 97, 187–196. [Google Scholar] [CrossRef]
- Nankivell, B.J.; Harris, D.C. Iron depletion in the remnant kidney. Nephron 1995, 70, 340–347. [Google Scholar] [CrossRef]
- Kitada, M.; Xu, J.; Ogura, Y.; Monno, I.; Koya, D. Manganese superoxide dismutase dysfunction and the pathogenesis of kidney disease. Front. Physiol. 2020, 11, 755. [Google Scholar] [CrossRef]
- Kumari, D.; Nair, N.; Bedwal, R.S. Effect of dietary zinc deficiency on testes of Wistar rats: Morphometric and cell quantification studies. J. Trace Elem. Med. Biol. 2011, 25, 47–53. [Google Scholar] [CrossRef]
- Ogórek, M.; Gąsior, Ł.; Pierzchała, O.; Daszkiewicz, R.; Lenartowicz, M. Role of copper in the process of spermatogenesis. Postepy Hig. Med. Dosw. 2017, 71, 663–683. [Google Scholar] [CrossRef]
- Tsao, C.W.; Liao, Y.R.; Chang, T.C.; Liew, Y.F.; Liu, C.Y. Effects of iron supplementation on testicular function and spermatogenesis of iron-deficient rats. Nutrients 2022, 14, 2063. [Google Scholar] [CrossRef] [PubMed]
- Finley, J.W.; Davis, C.D. Manganese deficiency and toxicity: Are high or low dietary amounts of manganese cause for concern? Biofactors 1999, 10, 15–24. [Google Scholar] [CrossRef] [PubMed]
- Shahab, A.; Shihua, Q.; Rashid, A.; Hasan, F.U.; Sohail, M.T. Evaluation of water quality for drinking and agricultural suitability in the lower Indus plain in Sindh province, Pakistan. Pol. J. Environ. Stud. 2016, 25, 2563–2574. [Google Scholar] [CrossRef] [PubMed]
- Brzóska, M.M.; Moniuszko-Jakoniuk, J.; Jurczuk, M.; Gałażyn-Sidorczuk, M. Cadmium turnover and changes of zinc and copper body status of rats continuously exposed to cadmium and ethanol. Alcohol 2002, 37, 213–221. [Google Scholar] [CrossRef] [PubMed]
- Ionel, R.; Pitulice, L.; Vasiu, G.; Mischie, S.; Spiridon, O.B. Implementation of a GPRS based remote water quality analysis instrumentation. Measurement 2015, 65, 81–93. [Google Scholar] [CrossRef]
- Aydin, H.H.; Coker, C.; Ersöz, B. In vivo interaction between cadmium and essential trace elements copper and zinc in rats. Turk. J. Med. Sci. 2001, 31, 127–129. [Google Scholar]
- Ohta, H.; Ohba, K. Involvement of metal transporters in the intestinal uptake of cadmium. J. Toxicol. Sci. 2020, 45, 539–548. [Google Scholar] [CrossRef] [PubMed]
- Orct, T.; Jurasović, J.; Micek, V.; Karaica, D.; Sabolić, I. Macro-and microelements in the rat liver, kidneys, and brain tissues; sex differences and effect of blood removal by perfusion in vivo. J. Trace Elem. Med. Biol. 2012, 40, 104–111. [Google Scholar] [CrossRef]
- Rainbow, P.S. Trace Metals in the Environment and Living Organisms: The British Isles as a Case Study; Cambridge University Press: Cambridge, UK, 2018; pp. 547–550. [Google Scholar]
- Morris, D.R.; Levenson, C.W. Neurotoxicity of zinc. In Neurotoxicity of Metals; Ashenr, M., Costa, L.G., Eds.; Springer International Publishing: Cham, Switzerland, 2017; pp. 303–312. [Google Scholar]
- Marger, L.; Schubert, C.R.; Bertrand, D. Zinc: An underappreciated modulatory factor of brain function. Biochem. Pharmacol. 2014, 91, 426–435. [Google Scholar] [CrossRef]
- Kumar, M.V.; Kumari, B.N.; Yellamma, K. Zinc toxicity to aminergic neurotransmitters in rat brain. Toxicol. Int. 2007, 17, 52–58. [Google Scholar] [CrossRef][Green Version]
- Devirgiliis, C.; Zalewski, P.D.; Perozzi, G.; Murgia, C. Zinc fluxes and zinc transporter genes in chronic diseases. Mutat. Res. 2007, 622, 84–93. [Google Scholar] [CrossRef] [PubMed]
- Chen, L.; Min, J.; Wang, F. Copper homeostasis and cuproptosis in health and disease. Signal Transduct. Target. Ther. 2022, 7, 378. [Google Scholar] [CrossRef]
- Katsarou, A.; Pantopoulos, K. Basics and principles of cellular and systemic iron homeostasis. Mol. Asp. Med. 2020, 75, 100866. [Google Scholar] [CrossRef]
- Masison, J.; Mendes, P. Modeling the iron storage protein ferritin reveals how residual ferrihydrite iron determines initial ferritin iron sequestration kinetics. PLoS ONE 2023, 18, e0281401. [Google Scholar] [CrossRef]
- Leach, R.M., Jr. Metabolism and Function of Manganese. In Essential and Toxic Element: Trace Elements in Human Health and Disease; Prasad, A.S., Oberleas, D., Eds.; Academic Press: London, UK, 1997; pp. 235–244. [Google Scholar]
- Satarug, S. Dietary cadmium intake and its effects on kidneys. Toxics 2018, 6, 15. [Google Scholar] [CrossRef]
- Su, R.; Ou, Q.; Wang, H.; Dai, X.; Chen, Y.; Luo, Y.; Yao, H.; Ouyang, D.; Li, Z.; Wang, Z. Organic–inorganic composite modifiers enhance restoration potential of Nerium oleander L. to lead–zinc tailing: Application of phytoremediation. Environ. Sci. Pollut. Res. 2023, 30, 56569–56579. [Google Scholar] [CrossRef] [PubMed]
- He, L.; Su, R.; Chen, Y.; Zeng, P.; Du, L.; Cai, B.; Zhang, A.; Zhu, H. Integration of manganese accumulation, subcellular distribution, chemical forms, and physiological responses to understand manganese tolerance in Macleaya cordata. Environ. Sci. Pollut. Res. 2022, 29, 39017–39026. [Google Scholar] [CrossRef] [PubMed]



| Site | Zn (ppm) | Cu (ppm) | Fe (ppm) | Mn (ppm) | Cd (ppm) | Pb (ppm) |
|---|---|---|---|---|---|---|
| P1 | 0.05 (0.01) | nd | 1.26 (0.44) | 0.05 (0.03) | 0.01 (0.01) | 0.03 (0.02) |
| P2 | 0.08 (0.03) | 117.76 (12.21) | 305.76 (54.87) | 7.98 (4.45) | 0.03 (0.01) | 1.55 (0.43) |
| P3 | 0.15 (0.06) | 251.37 (32.77) | 439.58 (43.17) | 35.18 (7.13) | 0.01 (0.01) | 5.98 (1.02) |
| P4 | 0.21 (0.05) | 475.68 (27.34) | 511.77 (35.89) | 68.78 (10.29) | 0.11 (0.05) | 16.77 (3.25) |
| Zn-Cu | Zn-Fe | Zn-Mn | Zn-Cd | Zn-Pb | Cu-Fe | Cu-Mn | Cu-Cd | |
| Brain | −0.81 *** | 0.49 | 0.16 | 0.22 | 0.40 | −0.80 *** | 0.21 | 0.04 |
| Heart | 0.62 * | 0.69 * | 0.15 | 0.04 | 0.65 * | 0.86 *** | 0.15 | −0.033 |
| Lungs | 0.76 ** | −0.01 | 0.65 * | 0.66 ** | 0.08 | 0.45 | 0.61 * | 0.47 |
| Stomach | 0.95 *** | 0.44 | 0.76 ** | 0.78 ** | 0.66 * | 0.30 | 0.79 ** | 0.73 ** |
| Liver | 0.74 ** | 0.71 ** | 0.63 * | 0.50 | 0.33 | 0.58 * | 0.39 | 0.65 * |
| Spleen | −0.08 | −0.90 *** | 0.31 | −0.14 | 0.14 | −0.03 | 0.67 * | 0.49 |
| Kidneys | 0.98 *** | 0.95 *** | 0.54 | 0..05 | 0.55 | 0.98 *** | 0.55 | 0.09 |
| Testis | 0.90 *** | 0.88 *** | 0.83 ** | 0.96 *** | 0.42 | 0.97 *** | 0.96 *** | 0.84 ** |
| Cu−Pb | Fe−Mn | Fe−Cd | Fe−Pb | Mn−Cd | Mn−Pb | Cd−Pb | ||
| Brain | 0.02 | −0.63 * | −0.44 | −0.45 | 0.87 *** | 0.88 *** | 0.79 ** | |
| Heart | 0.08 | 0.18 | −0.45 | 0.06 | 0.22 | 0.15 | 0.55 | |
| Lungs | 0.49 | −0.25 | −0.08 | 0.36 | 0.23 | 0.31 | −0.23 | |
| Stomach | 0.80 ** | −0.07 | 0.49 | −0.08 | 0.46 | 0.80 ** | 0.49 | |
| Liver | 0.54 | 0.29 | 0.46 | 0.72 ** | 0.19 | −0.01 | 0.64 * | |
| Spleen | 0.53 | −0.20 | 0.24 | −0.11 | 0.68 ** | 0.78 ** | 0.77 ** | |
| Kidneys | 0.68 * | 0.45 | 0.01 | −0.72 ** | 0.76 ** | 0.21 | −0.04 | |
| Testis | 0.53 | 0.95 *** | 0.86 *** | 0.53 | 0.80 ** | 0.68 * | 0.34 |
| Site | Zn | Cu | Fe | Mn | Cd | Pb |
|---|---|---|---|---|---|---|
| Brain | 0.88 (0.64) *** | −0.30 | 0.12 | 0.73 ** | 0.74 ** | 0.88 (0.77) *** |
| Heart | 0.22 | 0.06 | 0.43 | −0.03 | 0.07 | −0.22 |
| Lungs | −0.01 | 0.01 | 0.47 | −0.37 | −0.35 | 0.30 |
| Stomach | 0.72 (0.52) ** | 0.79 (0.62) *** | 0.50 | 0.71 (0.50) ** | 0.34 | 0.88 (0.77) *** |
| Liver | −0.03 | −0.55 | 0.34 | 0.23 | −0.64 (0.41) ** | −0.74 (0.55) ** |
| Spleen | 0.35 | −0.35 | −0.11 | 0.58 (0.34) * | 0.47 | 0.46 |
| Kidneys | −0.18 | −0.63 (0.40) ** | −0.80 (0.64) *** | 0.87 (0.76) *** | 0.76 (0.58) ** | −0.28 |
| Testis | 0.17 | 0.06 | −0.79 (0.62) ** | −0.54 | −0.17 | −0.04 |
Disclaimer/Publisher’s Note: The statements, opinions and data contained in all publications are solely those of the individual author(s) and contributor(s) and not of MDPI and/or the editor(s). MDPI and/or the editor(s) disclaim responsibility for any injury to people or property resulting from any ideas, methods, instructions or products referred to in the content. |
© 2023 by the authors. Licensee MDPI, Basel, Switzerland. This article is an open access article distributed under the terms and conditions of the Creative Commons Attribution (CC BY) license (https://creativecommons.org/licenses/by/4.0/).
Share and Cite
Caraba, I.V.; Caraba, M.N.; Hutanu, D.; Sinitean, A.; Dumitrescu, G.; Popescu, R. Trace Metal Accumulation in Rats Exposed to Mine Waters: A Case Study, Bor Area (Serbia). Toxics 2023, 11, 960. https://doi.org/10.3390/toxics11120960
Caraba IV, Caraba MN, Hutanu D, Sinitean A, Dumitrescu G, Popescu R. Trace Metal Accumulation in Rats Exposed to Mine Waters: A Case Study, Bor Area (Serbia). Toxics. 2023; 11(12):960. https://doi.org/10.3390/toxics11120960
Chicago/Turabian StyleCaraba, Ion Valeriu, Marioara Nicoleta Caraba, Delia Hutanu, Adrian Sinitean, Gabi Dumitrescu, and Roxana Popescu. 2023. "Trace Metal Accumulation in Rats Exposed to Mine Waters: A Case Study, Bor Area (Serbia)" Toxics 11, no. 12: 960. https://doi.org/10.3390/toxics11120960
APA StyleCaraba, I. V., Caraba, M. N., Hutanu, D., Sinitean, A., Dumitrescu, G., & Popescu, R. (2023). Trace Metal Accumulation in Rats Exposed to Mine Waters: A Case Study, Bor Area (Serbia). Toxics, 11(12), 960. https://doi.org/10.3390/toxics11120960

