Short-Term Ambient Air Pollution and Urticaria in Guangzhou, China: Estimating the Association and Population Attributable Fraction
Abstract
:1. Introduction
2. Methods
2.1. Study Location and Data Collection
2.2. Air Pollution and Meteorological Data
2.3. Statistical Analysis
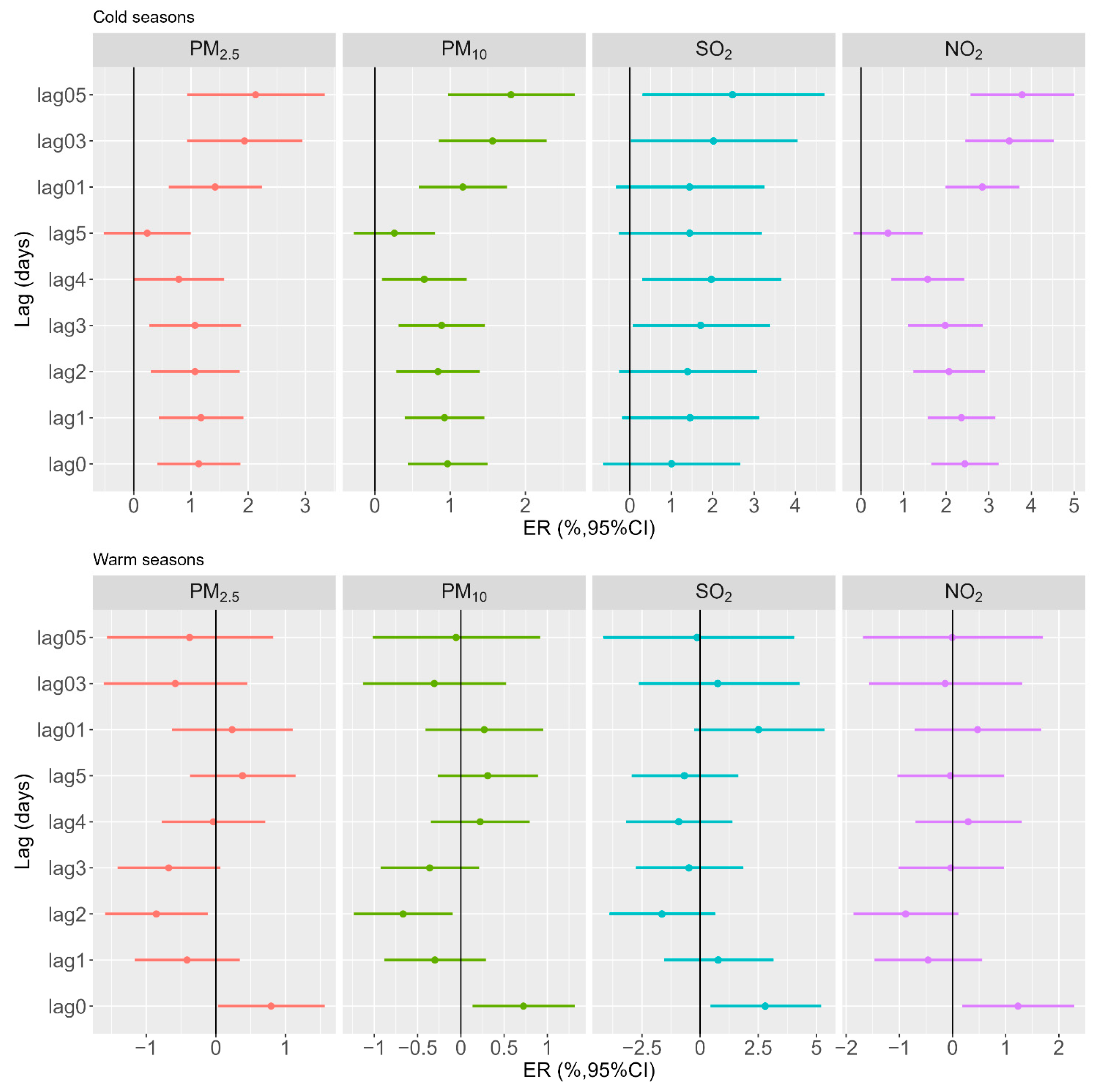
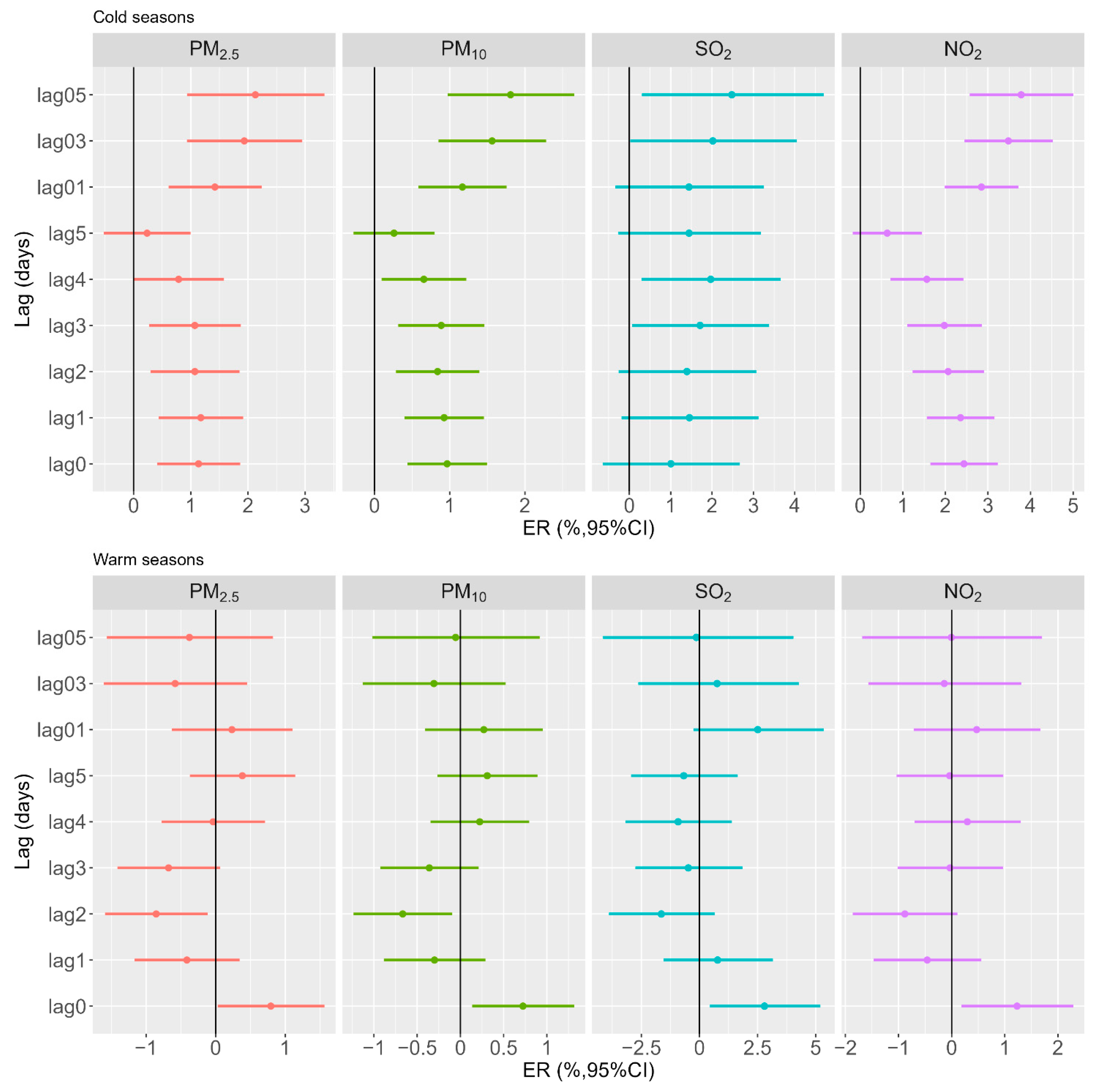
2.4. Stratified Analysis
2.5. Estimating Attributable Burden of Urticaria Due to Air Pollution
2.6. Sensitivity Analyses
3. Results
4. Discussion
5. Conclusions
Supplementary Materials
Author Contributions
Funding
Institutional Review Board Statement
Informed Consent Statement
Data Availability Statement
Acknowledgments
Conflicts of Interest
References
- Saini, S.; Shams, M.; Bernstein, J.A.; Maurer, M. Urticaria and Angioedema Across the Ages. J. Allergy Clin. Immunol. Pract. 2020, 8, 1866–1874. [Google Scholar] [CrossRef] [PubMed]
- Saini, S.S.; Kaplan, A.P. Chronic Spontaneous Urticaria: The Devil’s Itch. J. Allergy Clin. Immunol. Pract. 2018, 6, 1097–1106. [Google Scholar] [CrossRef] [PubMed]
- Li, J.; Song, G.; Mu, Z.; Lan, X.; Yang, F.; Li, L.; Han, X. The differential impact of air pollutants on acute urticaria and chronic urticaria: A time series analysis. Environ. Sci. Pollut. Res. Int. 2023, 3, 14656–14662. [Google Scholar] [CrossRef] [PubMed]
- Wang, X.; Guo, Y.; Cai, M.; Qian, Z.M.; Zhang, S.; Zhang, Z.; Yang, Y.; Vaughn, M.G.; Aaron, H.E.; Wu, F.; et al. Constituents of fine particulate matter and asthma in 6 low- and middle-income countries. J. Allergy Clin. Immunol. 2022, 150, 214–222.e215. [Google Scholar] [CrossRef] [PubMed]
- Cai, M.; Zhang, S.; Lin, X.; Qian, Z.; McMillin, S.E.; Yang, Y.; Zhang, Z.; Pan, J.; Lin, H. Association of Ambient Particulate Matter Pollution of Different Sizes With In-Hospital Case Fatality Among Stroke Patients in China. Neurology 2022, 98, e2474–e2486. [Google Scholar] [CrossRef] [PubMed]
- Wang, X.; Chen, L.; Cai, M.; Tian, F.; Zou, H.; Qian, Z.M.; Zhang, Z.; Li, H.; Wang, C.; Howard, S.W.; et al. Air pollution associated with incidence and progression trajectory of chronic lung diseases: A population-based cohort study. Thorax 2023, 78, 698–705. [Google Scholar] [CrossRef] [PubMed]
- Wang, X.; Ran, S.; Xia, H.; Shi, H.; Wu, G.; Zhang, Z.; Wang, C.; Cai, M.; Zhang, J.; Lin, H. Ambient air pollution associated with incident asthma, subsequent cardiovascular disease and death: A trajectory analysis of a national cohort. J. Hazard. Mater. 2023, 460, 132372. [Google Scholar] [CrossRef] [PubMed]
- Liu, T.; Zhou, Y.; Wei, J.; Chen, Q.; Xu, R.; Pan, J.; Lu, W.; Wang, Y.; Fan, Z.; Li, Y.; et al. Association between short-term exposure to ambient air pollution and dementia mortality in Chinese adults. Sci. Total Environ. 2022, 849, 157860. [Google Scholar] [CrossRef]
- Wang, X.; Wang, T.; Hua, J.; Cai, M.; Qian, Z.; Wang, C.; Li, H.; McMillin, S.E.; Aaron, H.E.; Xie, C.; et al. Histological types of lung cancer attributable to fine particulate, smoking, and genetic susceptibility. Sci. Total Environ. 2023, 858, 159890. [Google Scholar] [CrossRef]
- Cai, M.; Lin, X.; Wang, X.; Zhang, S.; Qian, Z.M.; McMillin, S.E.; Aaron, H.E.; Lin, H.; Wei, J.; Zhang, Z.; et al. Ambient particulate matter pollution of different sizes associated with recurrent stroke hospitalization in China: A cohort study of 1.07 million stroke patients. Sci. Total Environ. 2023, 856, 159104. [Google Scholar] [CrossRef]
- Zhang, L.; Jing, D.; Lu, Q.; Shen, S. NO2 exposure increases eczema outpatient visits in Guangzhou, China: An indication for hospital management. BMC Public Health 2021, 21, 506. [Google Scholar] [CrossRef]
- Dong, Y.M.; Liao, L.Y.; Li, L.; Yi, F.; Meng, H.; He, Y.F.; Guo, M.M. Skin inflammation induced by ambient particulate matter in China. Sci. Total Environ. 2019, 682, 364–373. [Google Scholar] [CrossRef] [PubMed]
- Guo, Q.; Liang, F.; Tian, L.; Schikowski, T.; Liu, W.; Pan, X. Ambient air pollution and the hospital outpatient visits for eczema and dermatitis in Beijing: A time-stratified case-crossover analysis. Env. Sci. Process Impacts 2019, 21, 163–173. [Google Scholar] [CrossRef] [PubMed]
- Wang, W.; Zhang, W.; Zhao, J.; Li, H.; Wu, J.; Deng, F.; Ma, Q.; Guo, X. Short-Term Exposure to Ambient Air Pollution and Increased Emergency Room Visits for Skin Diseases in Beijing, China. Toxics 2021, 9, 108. [Google Scholar] [CrossRef] [PubMed]
- Jadhav, R.; Alcala, E.; Sirota, S.; Capitman, J. Risk Factors for Acute Urticaria in Central California. Int. J. Environ. Res. Public Health 2021, 18, 3728. [Google Scholar] [CrossRef] [PubMed]
- Kousha, T.; Valacchi, G. The air quality health index and emergency department visits for urticaria in Windsor, Canada. J. Toxicol. Environ. Health A 2015, 78, 524–533. [Google Scholar] [CrossRef] [PubMed]
- Choo, K.J.L.; Ho, A.F.W.; Gui, H.; Tay, P.J.M.; Lee, H.Y.; Koh, M.S.; Earnest, A.; Pek, P.P.; Liu, N.; Chong, S.L.; et al. Relationship between local weather, air pollution and hospital attendances for urticaria in children: Time stratified analysis of 12,002 cases. Clin. Exp. Allergy 2022, 52, 180–182. [Google Scholar] [CrossRef] [PubMed]
- Wang, H.L.; Sun, J.; Qian, Z.M.; Gong, Y.Q.; Zhong, J.B.; Yang, R.D.; Wan, C.L.; Zhang, S.Q.; Ning, D.F.; Xian, H.; et al. Association between air pollution and atopic dermatitis in Guangzhou, China: Modification by age and season. Br. J. Dermatol. 2021, 184, 1068–1076. [Google Scholar] [CrossRef]
- Wang, X.; Tian, J.; Li, Z.; Lai, J.; Huang, X.; He, Y.; Ye, Z.; Li, G. Relationship between different particle size fractions and all-cause and cause-specific emergency ambulance dispatches. Environ. Health 2020, 19, 69. [Google Scholar] [CrossRef]
- Wang, X.; Leng, M.; Liu, Y.; Qian, Z.M.; Zhang, J.; Li, Z.; Sun, L.; Qin, L.; Wang, C.; Howard, S.W.; et al. Different sized particles associated with all-cause and cause-specific emergency ambulance calls: A multicity time-series analysis in China. Sci. Total Environ. 2021, 783, 147060. [Google Scholar] [CrossRef]
- Lin, H.; Liu, T.; Xiao, J.; Zeng, W.; Li, X.; Guo, L.; Zhang, Y.; Xu, Y.; Tao, J.; Xian, H. Mortality burden of ambient fine particulate air pollution in six Chinese cities: Results from the Pearl River Delta study. Environ. Int. 2016, 96, 91–97. [Google Scholar] [CrossRef] [PubMed]
- Ravindra, K.; Rattan, P.; Mor, S.; Aggarwal, A.N. Generalized additive models: Building evidence of air pollution, climate change and human health. Environ. Int. 2019, 132, 104987. [Google Scholar] [CrossRef] [PubMed]
- Liang, L.; Cai, Y.; Lyu, B.; Zhang, D.; Chu, S.; Jing, H.; Rahimi, K.; Tong, Z. Air pollution and hospitalization of patients with idiopathic pulmonary fibrosis in Beijing: A time-series study. Respir. Res. 2022, 23, 81. [Google Scholar] [CrossRef] [PubMed]
- Pérez Velasco, R.; Jarosińska, D. Update of the WHO global air quality guidelines: Systematic reviews—An introduction. Environ. Int. 2022, 170, 107556. [Google Scholar] [CrossRef]
- Aik, J.; Chua, R.; Jamali, N.; Chee, E. The burden of acute conjunctivitis attributable to ambient particulate matter pollution in Singapore and its exacerbation during South-East Asian haze episodes. Sci. Total Environ. 2020, 740, 140129. [Google Scholar] [CrossRef] [PubMed]
- Wu, Z.; Chen, X.; Li, G.; Tian, L.; Wang, Z.; Xiong, X.; Yang, C.; Zhou, Z.; Pan, X. Attributable risk and economic cost of hospital admissions for mental disorders due to PM(2.5) in Beijing. Sci. Total Environ. 2020, 718, 137274. [Google Scholar] [CrossRef] [PubMed]
- Zhang, J.; He, Y.; Shi, C. Short-term effects of multiple ozone metrics on outpatient visits for urticaria in Lanzhou, China. Stoch. Environ. Res. Risk Assess. 2022, 36, 1875–1883. [Google Scholar] [CrossRef]
- Qin, N.; Li, Y.; Wang, C.; Zhu, M.; Dai, J.; Hong, T.; Albanes, D.; Lam, S.; Tardon, A.; Chen, C.; et al. Comprehensive functional annotation of susceptibility variants identifies genetic heterogeneity between lung adenocarcinoma and squamous cell carcinoma. Front. Med. 2021, 15, 275–291. [Google Scholar] [CrossRef]


| Daily Mean (SD) | Quantiles | |||||
|---|---|---|---|---|---|---|
| Min | P25 | P50 | P75 | Max | ||
| Pollutants, μg/m3 | ||||||
| PM2.5 | 41.6 (23.2) | 6.5 | 24.2 | 35.8 | 53.1 | 156.4 |
| PM10 | 62.3 (29.9) | 10.8 | 39.6 | 55.1 | 78.2 | 208.7 |
| NO2 | 46.7 (19.3) | 4.4 | 33.2 | 42.4 | 56.0 | 155.4 |
| O3 | 52.9 (29.9) | 5.1 | 31.7 | 48.2 | 68.0 | 294.6 |
| SO2 | 15.6 (9.6) | 4.1 | 10.3 | 13.6 | 18.4 | 166.4 |
| Meteorological factors | ||||||
| Temperature (°C) | 22.0 (6.1) | 3.5 | 17.0 | 23.3 | 27.3 | 32.3 |
| Relative Humidity (%) | 80.2 (11.0) | 31.0 | 74.0 | 81.0 | 88.0 | 100.0 |
| Urticaria hospital visits, n | 119.8 (36.9) | 0.0 | 96.0 | 120.0 | 148.0 | 217.0 |
| PM2.5 | PM10 | O3 | SO2 | NO2 | Temperature | Relative Humidity | |
|---|---|---|---|---|---|---|---|
| PM2.5 | 1.00 | - | - | - | - | - | |
| PM10 | 0.94 | 1.00 | - | - | - | - | |
| O3 | 0.37 | 0.42 | 1.00 | - | - | - | |
| SO2 | 0.67 | 0.66 | 0.35 | 1.00 | - | - | |
| NO2 | 0.70 | 0.75 | 0.07 | 0.49 | 1.00 | - | |
| Temperature | −0.35 | −0.25 | 0.21 | −0.03 | −0.33 | 1.00 | |
| Relative Humidity | −0.26 | −0.30 | −0.47 | −0.20 | 0.05 | 0.19 | 1.00 |
| Pollutants | Attributable Fraction (%) | Attributable Number |
|---|---|---|
| PM2.5 | 3.77 (1.26, 6.38) | 8174 (2735, 13,825) |
| PM10 | 1.91 (0.60, 3.26) | 4130 (1290, 7066) |
| NO2 | 6.36 (4.38, 8.41) | 13,768 (9481, 18,214) |
| SO2 | 0.08 (0.03, 0.14) | 171 (54, 300) |
Disclaimer/Publisher’s Note: The statements, opinions and data contained in all publications are solely those of the individual author(s) and contributor(s) and not of MDPI and/or the editor(s). MDPI and/or the editor(s) disclaim responsibility for any injury to people or property resulting from any ideas, methods, instructions or products referred to in the content. |
© 2023 by the authors. Licensee MDPI, Basel, Switzerland. This article is an open access article distributed under the terms and conditions of the Creative Commons Attribution (CC BY) license (https://creativecommons.org/licenses/by/4.0/).
Share and Cite
Wang, H.; Matusik, M.; Wunderlich, R.; Hanson, S.E.; Babich, K.; Samad, L.; Qian, A.M.; McMillin, S.E.; Ye, X.; Zhang, S.; et al. Short-Term Ambient Air Pollution and Urticaria in Guangzhou, China: Estimating the Association and Population Attributable Fraction. Toxics 2023, 11, 949. https://doi.org/10.3390/toxics11120949
Wang H, Matusik M, Wunderlich R, Hanson SE, Babich K, Samad L, Qian AM, McMillin SE, Ye X, Zhang S, et al. Short-Term Ambient Air Pollution and Urticaria in Guangzhou, China: Estimating the Association and Population Attributable Fraction. Toxics. 2023; 11(12):949. https://doi.org/10.3390/toxics11120949
Chicago/Turabian StyleWang, Huanli, Morgan Matusik, Robert Wunderlich, Sarah E. Hanson, Kelly Babich, Lilianne Samad, Aaron M. Qian, Stephen Edward McMillin, Xingdong Ye, Sanquan Zhang, and et al. 2023. "Short-Term Ambient Air Pollution and Urticaria in Guangzhou, China: Estimating the Association and Population Attributable Fraction" Toxics 11, no. 12: 949. https://doi.org/10.3390/toxics11120949
APA StyleWang, H., Matusik, M., Wunderlich, R., Hanson, S. E., Babich, K., Samad, L., Qian, A. M., McMillin, S. E., Ye, X., Zhang, S., Liu, Y., Chen, X., Li, Z., Lin, H., Zhu, H., & Wang, X. (2023). Short-Term Ambient Air Pollution and Urticaria in Guangzhou, China: Estimating the Association and Population Attributable Fraction. Toxics, 11(12), 949. https://doi.org/10.3390/toxics11120949

