Ecotoxicity Study of Additives Composed of Zinc and Boron
Abstract
1. Introduction
2. Materials and Methods
2.1. Lemna Minor Growth Inhibition Test
2.2. Acute Toxicity Test
2.3. Data Analysis
3. Results and Discussion
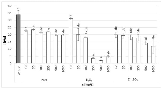
3.1. Lemna Minor Growth Inhibition Test
3.2. Acute Toxicity
4. Conclusions
Supplementary Materials
Author Contributions
Funding
Institutional Review Board Statement
Informed Consent Statement
Data Availability Statement
Conflicts of Interest
References
- Shen, K.K.; Kochesfahani, S.; Jouffret, F. Zinc borates as multifunctional polymer additives. Polym. Adv. Technol. 2008, 19, 469–474. [Google Scholar] [CrossRef]
- Ma, Y.; Wang, J.; Xu, Y.; Wang, C.; Chu, F. Effect of zinc oxide on properties of phenolic foams/halogen-free flame retardant system. J. Appl. Polym. Sci. 2015, 132. [Google Scholar] [CrossRef]
- Jonkers, N.; Krop, H.; van Ewijk, H.; Leonards, P.E.G. Life cycle assessment of flame retardants in an electronics application. Int. J. Life Cycle Assess. 2016, 21, 146–161. [Google Scholar] [CrossRef]
- Yasin, S.; Behary, N.; Perwuelz, A.; Guan, J. Life cycle assessment of flame retardant cotton textiles with optimized end-of-life phase. J. Clean. Prod. 2018, 172, 1080–1088. [Google Scholar] [CrossRef]
- Pavan, M.; Netzeva, T.I.; Worth, A.P. Validation of a qsar model for acute toxicity. SAR QSAR Environ. Res. 2006, 17, 147–171. [Google Scholar] [CrossRef]
- European Food Safety Authority. Review of current practices of environmental risk assessment within efsa. EFSA Support. Publ. 2011, 8, 116I. [Google Scholar] [CrossRef]
- Boethling, R.S.; Costanza, J. Domain of epi suite biotransformation models. SAR QSAR Environ. Res. 2010, 21, 415–443. [Google Scholar] [CrossRef]
- Reuschenbach, P.; Silvani, M.; Dammann, M.; Warnecke, D.; Knacker, T. Ecosar model performance with a large test set of industrial chemicals. Chemosphere 2008, 71, 1986–1995. [Google Scholar] [CrossRef]
- Stieger, G.; Scheringer, M.; Ng, C.A.; Hungerbühler, K. Assessing the persistence, bioaccumulation potential and toxicity of brominated flame retardants: Data availability and quality for 36 alternative brominated flame retardants. Chemosphere 2014, 116, 118–123. [Google Scholar] [CrossRef]
- Strempel, S.; Scheringer, M.; Ng, C.A.; Hungerbühler, K. Screening for pbt chemicals among the “existing” and “new” chemicals of the EU. Environ. Sci. Technol. 2012, 46, 5680–5687. [Google Scholar] [CrossRef]
- Tanaka, M.; Fujiwara, T. Physiological roles and transport mechanisms of boron: Perspectives from plants. Pflügers Arch.—Eur. J. Physiol. 2008, 456, 671–677. [Google Scholar] [CrossRef] [PubMed]
- Goldbach, H.; Amberger, A. Influence of boron nutrition on cell wall polysaccharides in cell cultures of Daucus carota L. J. Plant Physiol. 1986, 123, 263–269. [Google Scholar] [CrossRef]
- O’Neill, M.A.; Ishii, T.; Albersheim, P.; Darvill, A.G. Rhamnogalacturonan II: Structure and function of a borate cross-linked cell wall pectic polysaccharide. Annu. Rev. Plant Biol. 2004, 55, 109–139. [Google Scholar] [CrossRef] [PubMed]
- Princz, J.; Becker, L.; Scheffczyk, A.; Stephenson, G.; Scroggins, R.; Moser, T.; Römbke, J. Ecotoxicity of boric acid in standard laboratory tests with plants and soil organisms. Ecotoxicology 2017, 26, 471–481. [Google Scholar] [CrossRef]
- Dell, B.; Huang, L. Physiological response of plants to low boron. Plant Soil 1997, 193, 103–120. [Google Scholar] [CrossRef]
- Schoderboeck, L.; Mühlegger, S.; Losert, A.; Gausterer, C.; Hornek, R. Effects assessment: Boron compounds in the aquatic environment. Chemosphere 2011, 82, 483–487. [Google Scholar] [CrossRef] [PubMed]
- Camacho-Cristóbal, J.J.; Rexach, J.; González-Fontes, A. Boron in plants: Deficiency and toxicity. J. Integr. Plant Biol. 2008, 50, 1247–1255. [Google Scholar] [CrossRef]
- Davis, S.M.; Drake, K.D.; Maier, K.J. Toxicity of boron to the duckweed, Spirodella polyrrhiza. Chemosphere 2002, 48, 615–620. [Google Scholar] [CrossRef] [PubMed]
- Cakmak, I. Tansley review no. 111—Possible roles of zinc in protecting plant cells from damage by reactive oxygen species. New Phytol. 2000, 146, 185–205. [Google Scholar] [CrossRef]
- Landa, P. Positive effects of metallic nanoparticles on plants: Overview of involved mechanisms. Plant Physiol. Biochem. 2021, 161, 12–24. [Google Scholar] [CrossRef]
- Uruç Parlak, K.; Demirezen Yilmaz, D. Response of antioxidant defences to Zn stress in three duckweed species. Ecotoxicol. Environ. Saf. 2012, 85, 52–58. [Google Scholar] [CrossRef] [PubMed]
- Chen, X.L.; O’Halloran, J.; Jansen, M.A.K. The toxicity of zinc oxide nanoparticles to Lemna minor (L.) is predominantly caused by dissolved Zn. Aquat. Toxicol. 2016, 174, 46–53. [Google Scholar] [CrossRef] [PubMed]
- Franklin, N.M.; Rogers, N.J.; Apte, S.C.; Batley, G.E.; Gadd, G.E.; Casey, P.S. Comparative toxicity of nanoparticulate ZnO, bulk ZnO, and ZnCl2 to a freshwater microalga (Pseudokirchneriella subcapitata): The importance of particle solubility. Environ. Sci. Technol. 2007, 41, 8484–8490. [Google Scholar] [CrossRef]
- Heinlaan, M.; Ivask, A.; Blinova, I.; Dubourguier, H.-C.; Kahru, A. Toxicity of nanosized and bulk ZnO, CuO and TiO2 to bacteria Vibrio fischeri and Crustaceans Daphnia magna and Thamnocephalus platyurus. Chemosphere 2008, 71, 1308–1316. [Google Scholar] [CrossRef] [PubMed]
- Xiong, D.; Fang, T.; Yu, L.; Sima, X.; Zhu, W. Effects of nano-scale TiO2, ZnO and their bulk counterparts on zebrafish: Acute toxicity, oxidative stress and oxidative damage. Sci. Total Environ. 2011, 409, 1444–1452. [Google Scholar] [CrossRef] [PubMed]
- Talsness, C.E. Overview of toxicological aspects of polybrominated diphenyl ethers: A flame-retardant additive in several consumer products. Environ. Res. 2008, 108, 158–167. [Google Scholar] [CrossRef]
- OECD. Terrestrial Plant Test: Seedling Emergence and Seedling Growth Test; Test No. 208; OECD Publishing: Paris, France, 2006. [Google Scholar]
- OECD. Lemna sp. Growth Inhibition Test; Test No. 221; OECD Publishing: Paris, France, 2006. [Google Scholar]
- ISO 20079; Water Quality—Determination of Toxic Effect of Water Constituents and Waste Water to Duckweed (Lemna minor)—Duckweed GROWTH inhibition Test. ISO—International Organization for Standardization: Geneva, Switzerland, 2005.
- Lichtenthaler, H.K. [34] chlorophylls and carotenoids: Pigments of photosynthetic biomembranes. In Methods in Enzymology; Academic Press: Cambridge, MA, USA, 1987; Volume 148, pp. 350–382. [Google Scholar]
- Fargašová, A. Plants as models for chromium and nickel risk assessment. Ecotoxicology 2012, 21, 1476–1483. [Google Scholar] [CrossRef]
- Leitgib, L.; Kálmán, J.; Gruiz, K. Comparison of bioassays by testing whole soil and their water extract from contaminated sites. Chemosphere 2007, 66, 428–434. [Google Scholar] [CrossRef]
- Soudek, P.; Katrusakova, A.; Sedlacek, L.; Petrova, S.; Koci, V.; Marsik, P.; Griga, M.; Vanek, T. Effect of heavy metals on inhibition of root elongation in 23 cultivars of flax (Linum usitatissimum L.). Arch. Environ. Contam. Toxicol. 2010, 59, 194–203. [Google Scholar] [CrossRef]
- Mkandawire, M.; da Silva, J.A.T.; Dudel, E.G. The Lemna bioassay: Contemporary issues as the most standardized plant bioassay for aquatic ecotoxicology. Crit. Rev. Environ. Sci. Technol. 2014, 44, 154–197. [Google Scholar] [CrossRef]
- Bocuk, H.; Yakar, A.; Turker, O.C. Assessment of Lemna gibba L. (duckweed) as a potential ecological indicator for contaminated aquatic ecosystem by boron mine effluent. Ecol. Indic. 2013, 29, 538–548. [Google Scholar] [CrossRef]
- Frick, H. Boron tolerance and accumulation in the duckweed, Lemna-minor. J. Plant Nutr. 1985, 8, 1123–1129. [Google Scholar] [CrossRef]
- Marin, C.; Oron, G. Boron removal by the duckweed Lemna gibba: A potential method for the remediation of boron-polluted waters. Water Res. 2007, 41, 4579–4584. [Google Scholar] [CrossRef] [PubMed]
- Megateli, S.; Semsari, S.; Couderchet, M. Toxicity and removal of heavy metals (cadmium, copper, and zinc) by Lemna gibba. Ecotoxicol. Environ. Saf. 2009, 72, 1774–1780. [Google Scholar] [CrossRef]
- Sofo, A.; Moreira, I.; Gattullo, C.E.; Martins, L.L.; Mourato, M. Antioxidant responses of edible and model plant species subjected to subtoxic zinc concentrations. J. Trace Elem. Med. Biol. 2018, 49, 261–268. [Google Scholar] [CrossRef]
- Bochicchio, R.; Sofo, A.; Terzano, R.; Gattullo, C.E.; Amato, M.; Scopa, A. Root architecture and morphometric analysis of Arabidopsis thaliana grown in Cd/Cu/Zn-gradient agar dishes: A new screening technique for studying plant response to metals. Plant Physiol. Biochem. 2015, 91, 20–27. [Google Scholar] [CrossRef]
- Feigl, G.; Kolbert, Z.; Lehotai, N.; Molnár, Á.; Ördög, A.; Bordé, Á.; Laskay, G.; Erdei, L. Different zinc sensitivity of Brassica organs is accompanied by distinct responses in protein nitration level and pattern. Ecotoxicol. Environ. Saf. 2016, 125, 141–152. [Google Scholar] [CrossRef]
- Scherr, C.; Simon, M.; Spranger, J.; Baumgartner, S. Test system stability and natural variability of a Lemna gibba L. Bioassay. PLoS ONE 2008, 3, e3133. [Google Scholar] [CrossRef]
- Cedergreen, N.; Streibig, J.C. Can the choice of endpoint lead to contradictory results of mixture-toxicity experiments? Environ. Toxicol. Chem. 2005, 24, 1676–1683. [Google Scholar] [CrossRef]
- Ito, H.; Ohtsuka, T.; Tanaka, A. Conversion of chlorophyll b to chlorophyll a via 7-hydroxymethyl chlorophyll (∗). J. Biol. Chem. 1996, 271, 1475–1479. [Google Scholar] [CrossRef]
- Huang, J.-H.; Cai, Z.-J.; Wen, S.-X.; Guo, P.; Ye, X.; Lin, G.-Z.; Chen, L.-S. Effects of boron toxicity on root and leaf anatomy in two citrus species differing in boron tolerance. Trees 2014, 28, 1653–1666. [Google Scholar] [CrossRef]
- Kayıhan, D.S.; Kayıhan, C.; Çiftçi, Y.Ö. Excess boron responsive regulations of antioxidative mechanism at physio-biochemical and molecular levels in Arabidopsis thaliana. Plant Physiol. Biochem. 2016, 109, 337–345. [Google Scholar] [CrossRef] [PubMed]
- Antonopoulou, C.; Chatzissavvidis, C. Chapter 8—Impact of boron and its toxicity on photosynthetic capacity of plants. In Boron in Plants and Agriculture; Aftab, T., Landi, M., Papadakis, I.E., Araniti, F., Brown, P.H., Eds.; Academic Press: Cambridge, MA, USA, 2022; pp. 169–186. [Google Scholar]
- Radic, S.; Stipanicev, D.; Cvjetko, P.; Rajcic, M.M.; Sirac, S.; Pevalek-Kozlina, B.; Pavlica, M. Duckweed Lemna minor as a tool for testing toxicity and genotoxicity of surface waters. Ecotoxicol. Environ. Saf. 2011, 74, 182–187. [Google Scholar] [CrossRef] [PubMed]
- Türker, O.C.; Yakar, A.; Türe, C.; Saz, Ç. Boron (B) removal and bioelectricity captured from irrigation water using engineered duckweed-microbial fuel cell: Effect of plant species and vegetation structure. Environ. Sci. Pollut. Res. 2019, 26, 31522–31536. [Google Scholar] [CrossRef]
- Szopiński, M.; Sitko, K.; Gieroń, Ż.; Rusinowski, S.; Corso, M.; Hermans, C.; Verbruggen, N.; Małkowski, E. Toxic effects of Cd and Zn on the photosynthetic apparatus of the Arabidopsis halleri and Arabidopsis arenosa pseudo-metallophytes. Front. Plant Sci. 2019, 10. [Google Scholar] [CrossRef]
- Bechaieb, R.; Fredj, A.B.; Akacha, A.B.; Gérard, H. Interactions of copper (II) and zinc (II) with chlorophyll: Insights from density functional theory studies. N. J. Chem. 2016, 40, 4543–4549. [Google Scholar] [CrossRef]
- Nadeem, F.; Farooq, M. Application of micronutrients in rice-wheat cropping system of South Asia. Rice Sci. 2019, 26, 356–371. [Google Scholar] [CrossRef]
- Lin, D.; Xing, B. Phytotoxicity of nanoparticles: Inhibition of seed germination and root growth. Environ. Pollut. 2007, 150, 243–250. [Google Scholar] [CrossRef]
- Singh, J.P.; Dahiya, D.J.; Narwal, R.P. Boron uptake and toxicity in wheat in relation to zinc supply. Fertil. Res. 1990, 24, 105–110. [Google Scholar] [CrossRef]
- Güneş, A.; Alpaslan, M.; Çikili, Y.; Özcan, H. Effect of zinc on the alleviation of boron toxicity in tomato. J. Plant Nutr. 1999, 22, 1061–1068. [Google Scholar] [CrossRef]
- Arif, M.; Shehzad, M.A.; Bashir, F.; Tasneem, M.; Yasin, G.; Iqbal, M. Boron, zinc and microtone effects on growth, chlorophyll contents and yield attributes in rice (Oryza sativa L.) cultivar. Afr. J. Biotechnol. 2012, 11, 10851–10858. [Google Scholar]
- Hosseini, S.M.; Maftoun, M.; Karimian, N.; Ronaghi, A.; Emam, Y. Effect of zinc × boron interaction on plant growth and tissue nutrient concentration of corn. J. Plant Nutr. 2007, 30, 773–781. [Google Scholar] [CrossRef]
- Prasad, R.; Shivay, Y.; Kumar, D. Interactions of zinc with other nutrients in soils and plants—A review. Indian J. Fertil. 2016, 12, 16–26. [Google Scholar]
- Choi, E.; Kolesik, P.; Mcneill, A.; Collins, H.; Zhang, Q.; Huynh, B.; Graham, R.; Stangoulis, J. The mechanism of boron tolerance for maintenance of root growth in barley (Hordeum vulgare L.). Plant Cell Environ. 2007, 30, 984–993. [Google Scholar] [CrossRef] [PubMed]
- Aquea, F.; Federici, F.; Moscoso, C.; Vega, A.; Jullian, P.; Haseloff, J.I.M.; Arce-Johnson, P. A molecular framework for the inhibition of Arabidopsis root growth in response to boron toxicity. Plant Cell Environ. 2012, 35, 719–734. [Google Scholar] [CrossRef]
- Marschner, H. 2—Ion uptake mechanisms of individual cells and roots: Short-distance transport. In Mineral Nutrition of Higher Plants, 2nd ed.; Academic Press: London, UK, 1995; pp. 6–78. [Google Scholar]
- Sahin, S.; Kısa, D.; Göksu, F.; Geboloğlu, N. Effects of boron applications on the physiology and yield of lettuce. Annu. Res. Rev. Biol. 2017, 21, 1–7. [Google Scholar] [CrossRef]
- Reid, R.J.; Hayes, J.E.; Post, A.; Stangoulis, J.C.R.; Graham, R.D. A critical analysis of the causes of boron toxicity in plants. Plant Cell Environ. 2004, 27, 1405–1414. [Google Scholar] [CrossRef]




| Additive | ZnO | B2O3 | Zn3BO6 | |||||||||
|---|---|---|---|---|---|---|---|---|---|---|---|---|
| c [mg/L] | I NUM [%] | I AREA [%] | I NUM [%] | I AREA [%] | I NUM [%] | I AREA [%] | ||||||
| 10 | 32.5 | ± 6.57 a,b,c,d | 43.1 | ± 2.02 b | 11.5 | ± 3.68 a | 9.79 | ± 8.20 a | 45.2 | ± 7.15 c,d,e,f | 55.6 | ± 2.82 b,c,d,e |
| 50 | 43.7 | ± 4.51 c,d,e,f | 48.3 | ± 3.28 b,c,d | 20.1 | ± 1.31 a,b | 45.4 | ± 2.80 b,c | 39.7 | ± 5.51 b,c,d,e,f | 70.0 | ± 7.41 c,d,e,f |
| 100 | 48.8 | ± 4.85 c,d,e,f | 50.2 | ± 7.57 b,c,d | 30.4 | ± 7.40 a,b,c | 54.8 | ± 5.06 b,c,d,e | 41.4 | ± 5.13 b,c,d,e,f | 59.4 | ± 19.9 b,c,d,e |
| 250 | 36.4 | ± 8.78 b,c,d,e | 56.6 | ± 2.37 b,c,d,e | 85.8 | ± 3.24 g | 94.5 | ± 2.86 f,g,h | 59.0 | ± 2.99 f | 71.6 | ± 5.00 c,d,e,f |
| 500 | 37.0 | ± 6.70 b,c,d,e,f | 51.8 | ± 1.08 b,c,d,e | 92.7 | ± 5.22 g | 98.5 | ± 3.31 g,h | 53.4 | ± 2.12 d,e,f | 72.6 | ± 2.72 d,e,f,g |
| 1000 | 38.2 | ± 7.41 b,c,d,e,f | 50.5 | ± 10.2 b,c,d | 92.1 | ± 5.60 g | 101 | ± 8.55 h | 56.7 | ± 10.1 e,f | 76.8 | ± 4.36 e,f,g,h |
| Additive | ZnO | B2O3 | Zn3BO6 | |||||||||||||||
|---|---|---|---|---|---|---|---|---|---|---|---|---|---|---|---|---|---|---|
| c [mg/L] | I CHL a [%] | I CHL b [%] | I CAROT [%] | I CHL a [%] | I CHL b [%] | I CAROT [%] | I CHL a [%] | I CHL b [%] | I CAROT [%] | |||||||||
| 10 | 32.8 | ± 1.88 b | −7.50 | ± 2.43 a | 16.2 | ± 2.68 a,b | 7.58 | ± 2.79 A | 7.35 | ± 1.96 A,B | 6.49 | ± 2.93 A | 41.2 | ± 5.39 β,γ | 14.4 | ± 7.72 α,β | 26.0 | ± 8.54 α,β,γ,δ |
| 50 | 30.4 | ± 2.95 b | −10.7 | ± 7.98 a | 16.1 | ± 4.27 a,b | 40.7 | ± 12.4 B,C | 18.1 | ± 12.0 A,B | 40.2 | ± 12.9 C,D,E | 42.7 | ± 5.33 β,γ | 16.7 | ± 18.9 α,β | 29.9 | ± 4.48 β,γ,δ |
| 100 | 37.1 | ± 2.09 b | 4.40 | ± 4.95 a,b | 21.1 | ± 1.45 a,b,c | 47.4 | ± 8.83 B,C,D | 18.1 | ± 17.2 A,B | 46.1 | ± 8.31 D,E | 46.0 | ± 4.91 β,γ,δ | 30.8 | ± 20.1 α,β,γ | 29.6 | ± 2.06 β,γ,δ |
| 250 | 35.2 | ± 0.41 b | 5.33 | ± 6.39 a,b | 18.5 | ± 0.42 a,b,c | 89.4 | ± 1.06 F | 68.1 | ± 2.71 D | 84.5 | ± 0.88 G | 47.5 | ± 6.84 β,γ,δ | 14.9 | ± 15.8 α,β | 37.3 | ± 2.29 β,γ,δ,ε |
| 500 | 41.6 | ± 1.09 b,c | 15.2 | ± 4.95 a,b | 24.3 | ± 3.84 a,b,c,d | 93.7 | ± 0.71 F | 68.5 | ± 4.99 C,D | 91.2 | ± 2.93 G | 57.7 | ± 4.04 γ,δ | 32.3 | ± 2.35 α,β,γ | 46.0 | ± 4.75 δ,ε |
| 1000 | 41.8 | ± 1.44 b,c | 18.6 | ± 5.33 a,b | 24.3 | ± 3.36 a,b,c,d | 86.4 | ± 2.49 E,F | 50.0 | ± 12.2 A,B,C | 82.2 | ± 1.01 F,G | 64.6 | ± 15.4 δ,ε | 44.0 | ± 22.0 β,γ,δ | 55.9 | ± 17.0 ε,ζ |
| I [%] | ||||||
|---|---|---|---|---|---|---|
| c [mg/L] | S. alba | L. sativa | T. pratense | |||
| 10 | −52.6 | ± 3.83 a | 12.8 | ± 4.00 C | −0.317 | ± 4.36 α |
| 50 | −71.4 | ± 4.26 c | 39.4 | ± 1.66 A | −2.38 | ± 4.26 α |
| 100 | −96.5 | ± 5.33 b | 34.7 | ± 2.73 A | 21.1 | ± 8.36 β |
| 500 | −56.2 | ± 4.53 a | 51.0 | ± 1.66 B | 44.4 | ± 6.29 γ |
| 1000 | −20.1 | ± 1.28 d | 56.4 | ± 3.31 B | 35.0 | ± 6.42 β,γ |
| I [%] | ||||||
|---|---|---|---|---|---|---|
| c [mg/L] | S. alba | L. sativa | T. pratense | |||
| 10 | −55.9 | ± 8.70 a | 17.9 | ± 2.19 A | 1.27 | ± 3.44 α |
| 50 | −50.3 | ± 3.76 a | 18.4 | ± 2.73 A | −2.54 | ± 1.00 α |
| 100 | −53.2 | ± 1.30 a | 14.8 | ± 2.82 A | −13.9 | ± 2.35 β |
| 500 | 10.6 | ± 2.82 b | 39.8 | ± 6.26 B | 55.5 | ± 1.00 γ |
| 1000 | 36.3 | ± 4.10 c | 82.8 | ± 4.07 C | 66.9 | ± 2.62 δ |
| I [%] | ||||||
|---|---|---|---|---|---|---|
| c [mg/L] | S. alba | L. sativa | T. pratense | |||
| 10 | −86.2 | ± 8.34 b | 13.2 | ± 1.63 A | −13.3 | ± 2.35 γ |
| 50 | −107 | ± 4.17 a | 19.7 | ± 0.542 B | 10.3 | ± 3.34 α |
| 100 | −119 | ± 2.37 a | 31.5 | ± 1.25 C | 3.65 | ± 7.22 α |
| 500 | −105 | ± 7.78 a | 42.5 | ± 2.87 D | 35.7 | ± 3.24 β |
| 1000 | −28.2 | ± 6.40 c | 53.2 | ± 3.13 E | 44.4 | ± 2.65 β |
Publisher’s Note: MDPI stays neutral with regard to jurisdictional claims in published maps and institutional affiliations. |
© 2022 by the authors. Licensee MDPI, Basel, Switzerland. This article is an open access article distributed under the terms and conditions of the Creative Commons Attribution (CC BY) license (https://creativecommons.org/licenses/by/4.0/).
Share and Cite
Petrová, Š.; Soudek, P. Ecotoxicity Study of Additives Composed of Zinc and Boron. Toxics 2022, 10, 795. https://doi.org/10.3390/toxics10120795
Petrová Š, Soudek P. Ecotoxicity Study of Additives Composed of Zinc and Boron. Toxics. 2022; 10(12):795. https://doi.org/10.3390/toxics10120795
Chicago/Turabian StylePetrová, Šárka, and Petr Soudek. 2022. "Ecotoxicity Study of Additives Composed of Zinc and Boron" Toxics 10, no. 12: 795. https://doi.org/10.3390/toxics10120795
APA StylePetrová, Š., & Soudek, P. (2022). Ecotoxicity Study of Additives Composed of Zinc and Boron. Toxics, 10(12), 795. https://doi.org/10.3390/toxics10120795

