Ecotoxicological Assessment of “Glitter” Leachates in Aquatic Ecosystems: An Integrated Approach
Abstract
1. Introduction
2. Materials and Methods
2.1. Glitter Characterization
2.2. Leachate Preparation
2.3. Toxicity Tests
2.3.1. Test on Bacteria
2.3.2. Test on Algae
2.3.3. Test on Crustaceans
2.3.4. Test on Echinoderms
2.4. Quality Assurance and Quality Control
2.5. Statistical Analyses
2.6. Data Integration
3. Results
3.1. Ecotoxicological Responses
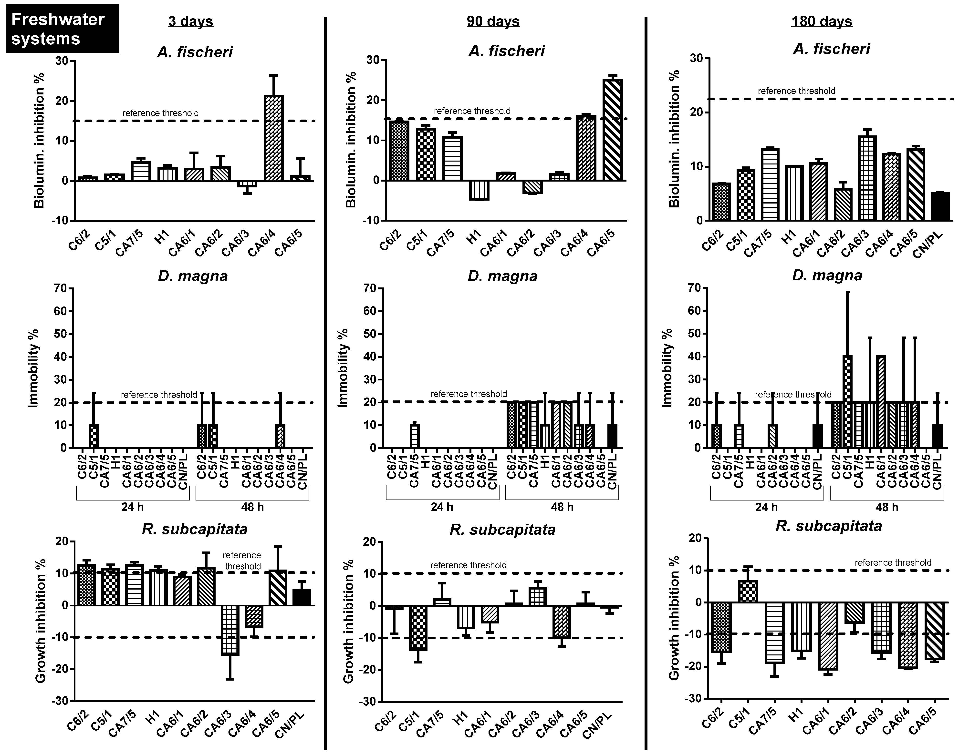
3.1.1. Impact on Freshwater System
3.1.2. Impact on Marine System
3.2. Species Sensitivity
3.3. Color Differences after the Soaking Time
3.4. Multivariate Analysis
4. Discussion
5. Conclusions
Supplementary Materials
Author Contributions
Funding
Informed Consent Statement
Data Availability Statement
Conflicts of Interest
References
- Plastics Europe. Plastics—The Facts 2021 an analysis of European Plastics Production, Demand and Waste Data; Plastics Europe: Brussels, Belgium, 2021. [Google Scholar]
- Haram, L.E.; Carlton, J.T.; Ruiz, G.M.; Maximenko, N.A. A Plasticene Lexicon. Mar. Pollut. Bull. 2020, 150, 110714. [Google Scholar] [CrossRef] [PubMed]
- Sridharan, S.; Kumar, M.; Saha, M.; Kirkham, M.B.; Singh, L.; Bolan, N.S. The polymers and their additives in particulate plastics: What makes them hazardous to the fauna? Sci. Total Environ. 2022, 824, 153828. [Google Scholar] [CrossRef] [PubMed]
- Jambeck, J.R.; Geyer, R.; Wilcox, C.; Siegler, T.R.; Perryman, M.; Andrady, A.; Narayan, R.; Law, K.L. Plastic waste inputs from land into the ocean. Science 2015, 347, 768–771. [Google Scholar] [CrossRef] [PubMed]
- Teuten, E.L.; Saquing, J.M.; Knappe, D.R.U.; Barlaz, M.A.; Jonsson, S.; Björn, A.; Rowland, S.J.; Thompson, R.C.; Galloway, T.S.; Yamashita, R.; et al. Transport and release of chemicals from plastics to the environment and to wildlife. Philos. Trans. R. Soc. B Biol. Sci. 2009, 364, 2027–2045. [Google Scholar] [CrossRef]
- Jones-williams, K.; Galloway, T.; Cole, M.; Stowasser, G.; Waluda, C.; Manno, C. Close Encounters—Microplastic availability to pelagic amphipods in sub-Antarctic and Antarctic surface waters. Environ. Int. 2020, 140, 105792. [Google Scholar] [CrossRef]
- Tan, F.; Yang, H.; Xu, X.; Fang, Z.; Xu, H.; Shi, Q.; Zhang, X.; Wang, G.; Lin, L.; Zhou, S.; et al. Microplastic pollution around remote uninhabited coral reefs of Nansha Islands, South China Sea. Sci. Total Environ. 2020, 725, 138383. [Google Scholar] [CrossRef]
- Moore, C.J.C.J.; Lattin, G.L.; Zellers, A.F. Quantity and type of plastic debris flowing from two urban rivers to coastal waters and beaches of Southern California. J. Integr. Coast. Z. Manag. 2011, 11, 65–73. [Google Scholar] [CrossRef]
- Suaria, G.; Avio, C.G.; Mineo, A.; Lattin, G.L.; Magaldi, M.G.; Belmonte, G.; Moore, C.J.; Regoli, F.; Aliani, S. The Mediterranean Plastic Soup: Synthetic polymers in Mediterranean surface waters. Sci. Rep. 2016, 6, 37551. [Google Scholar] [CrossRef]
- Reynolds, C.; Ryan, P.G. Micro-plastic ingestion by waterbirds from contaminated wetlands in South Africa. Mar. Pollut. Bull. 2018, 126, 330–333. [Google Scholar] [CrossRef]
- Watters, D.L.; Yoklavich, M.M.; Love, M.S.; Schroeder, D.M. Assessing marine debris in deep seafloor habitats off California. Mar. Pollut. Bull. 2010, 60, 131–138. [Google Scholar] [CrossRef]
- Woodall, L.C.; Sanchez-Vidal, A.; Canals, M.; Paterson, G.L.J.; Coppock, R.; Sleight, V.; Calafat, A.; Rogers, A.D.; Narayanaswamy, B.E.; Thompson, R.C. The deep sea is a major sink for microplastic debris. R. Soc. Open Sci. 2014, 1, 140317. [Google Scholar] [CrossRef] [PubMed]
- Van Cauwenberghe, L.; Devriese, L.; Galgani, F.; Robbens, J.; Janssen, C.R. Microplastics in sediments: A review of techniques, occurrence and effects. Mar. Environ. Res. 2015, 111, 5–17. [Google Scholar] [CrossRef] [PubMed]
- Blair, R.M.; Waldron, S.; Phoenix, V.; Gauchotte-Lindsay, C. Micro- and Nanoplastic Pollution of Freshwater and Wastewater Treatment Systems. Springer Sci. Rev. 2017, 5, 19–30. [Google Scholar] [CrossRef]
- Horton, A.A.; Walton, A.; Spurgeon, D.J.; Lahive, E.; Svendsen, C. Microplastics in freshwater and terrestrial environments: Evaluating the current understanding to identify the knowledge gaps and future research priorities. Sci. Total Environ. 2017, 586, 127–141. [Google Scholar] [CrossRef]
- Bellasi, A.; Binda, G.; Pozzi, A.; Galafassi, S.; Volta, P.; Bettinetti, R. Microplastic contamination in freshwater environments: A review, focusing on interactions with sediments and benthic organisms. Environments 2020, 7, 30. [Google Scholar] [CrossRef]
- Li, W.C.; Tse, H.F.; Fok, L. Plastic waste in the marine environment: A review of sources, occurrence and effects. Sci. Total Environ. 2016, 566–567, 333–349. [Google Scholar] [CrossRef]
- MSFD Technical Subgroup on Marine Litter. Guidance on Monitoring of Marine Litter in European Seas; European Union: Brussels, Belgium, 2013; ISBN 9789279327094. [Google Scholar]
- Bergmann, M.; Gutow, L.; Klages, M. Marine Anthropogenic Litter; Springer: Berlin/Heidelberg, Germany, 2015; pp. 1–447. [Google Scholar] [CrossRef]
- Koelmans, A.A.; Bakir, A.; Burton, G.A.; Janssen, C.R. Microplastic as a Vector for Chemicals in the Aquatic Environment: Critical Review and Model-Supported Reinterpretation of Empirical Studies. Environ. Sci. Technol. 2016, 50, 3315–3326. [Google Scholar] [CrossRef]
- Hildebrandt, L.; Nack, F.L.; Zimmermann, T. Journal of Hazardous Materials Letters Microplastics as a Trojan horse for trace metals. J. Hazard. Mater. 2021, 2, 100035. [Google Scholar] [CrossRef]
- Liu, W.; Zhao, Y.; Shi, Z.; Li, Z.; Liang, X. Ecotoxicoproteomic assessment of microplastics and plastic additives in aquatic organisms: A review. Comp. Biochem. Physiol.-Part D Genom. Proteom. 2020, 36, 100713. [Google Scholar] [CrossRef]
- Gunaalan, K.; Fabbri, E.; Capolupo, M. The hidden threat of plastic leachates: A critical review on their impacts on aquatic organisms. Water Res. 2020, 184, 116170. [Google Scholar] [CrossRef]
- González-Soto, N.; Hatfield, J.; Katsumiti, A.; Duroudier, N.; Lacave, J.M.; Bilbao, E.; Orbea, A.; Navarro, E.; Cajaraville, M.P. Impacts of dietary exposure to different sized polystyrene microplastics alone and with sorbed benzo[a]pyrene on biomarkers and whole organism responses in mussels Mytilus galloprovincialis. Sci. Total Environ. 2019, 684, 548–566. [Google Scholar] [CrossRef]
- Yurtsever, M. Tiny, shiny, and colorful microplastics: Are regular glitters a significant source of microplastics? Mar. Pollut. Bull. 2019, 146, 678–682. [Google Scholar] [CrossRef]
- Blackledge, R.D.; Jones, E.L. All that glitters is gold! In Forensic Analysis in the Cutting Edge: New Methods for Trace Evidence Analysis; J. Wiley & Sons: Hoboken, NJ, USA, 2007; pp. 1–32. [Google Scholar]
- Tagg, A.S.; Ivar do Sul, J.A. Is this your glitter? An overlooked but potentially environmentally-valuable microplastic. Mar. Pollut. Bull. 2019, 146, 50–53. [Google Scholar] [PubMed]
- Nithin, A.; Sundaramanickam, A.; Sathish, M. Seasonal distribution of microplastics in the surface water and sediments of the Vellar estuary, Parangipettai, southeast coast of India. Mar. Pollut. Bull. 2022, 174, 113248. [Google Scholar] [CrossRef] [PubMed]
- Ballent, A.; Corcoran, P.L.; Madden, O.; Helm, P.A.; Longstaffe, F.J. Sources and sinks of microplastics in Canadian Lake Ontario nearshore, tributary and beach sediments. Mar. Pollut. Bull. 2016, 110, 383–395. [Google Scholar] [CrossRef]
- Dehghani, S.; Moore, F.; Akhbarizadeh, R. Microplastic pollution in deposited urban dust, Tehran metropolis, Iran. Environ. Sci. Pollut. Res. 2017, 24, 20360–20371. [Google Scholar] [CrossRef] [PubMed]
- Abbasi, S.; Soltani, N.; Keshavarzi, B.; Moore, F.; Turner, A.; Hassanaghaei, M. Microplastics in different tissues of fish and prawn from the Musa Estuary, Persian Gulf. Chemosphere 2018, 205, 80–87. [Google Scholar] [CrossRef]
- Silva, A.B.; Bastos, A.S.; Justino, C.I.L.; da Costa, J.P.; Duarte, A.C.; Rocha-Santos, T.A.P. Microplastics in the environment: Challenges in analytical chemistry—A review. Anal. Chim. Acta 2018, 1017, 1–19. [Google Scholar] [CrossRef] [PubMed]
- Abbasi, S.; Keshavarzi, B.; Moore, F.; Turner, A.; Kelly, F.J.; Dominguez, A.O.; Jaafarzadeh, N. Distribution and potential health impacts of microplastics and microrubbers in air and street dusts from Asaluyeh County, Iran. Environ. Pollut. 2019, 244, 153–164. [Google Scholar] [CrossRef] [PubMed]
- Sun, J.; Dai, X.; Wang, Q.; van Loosdrecht, M.C.M.; Ni, B.J. Microplastics in wastewater treatment plants: Detection, occurrence and removal. Water Res. 2019, 152, 21–37. [Google Scholar] [CrossRef]
- Raju, S.; Carbery, M.; Kuttykattil, A.; Senthirajah, K.; Lundmark, A.; Rogers, Z.; SCB, S.; Evans, G.; Palanisami, T. Improved methodology to determine the fate and transport of microplastics in a secondary wastewater treatment plant. Water Res. 2020, 173, 115549. [Google Scholar] [CrossRef]
- Green, D.S.; Jefferson, M.; Boots, B.; Stone, L. All that glitters is litter? Ecological impacts of conventional versus biodegradable glitter in a freshwater habitat. J. Hazard. Mater. 2021, 402, 124070. [Google Scholar] [CrossRef]
- ISPRA. Batterie di Saggi Ecotossicologici per Sedimenti di Acque Salate e Salmastre; ISPRA: Italy, Rome, 2011; ISBN 9788844804985.
- Schiavo, S.; Oliviero, M.; Romano, V.; Dumontet, S.; Manzo, S. Ecotoxicological assessment of virgin plastic pellet leachates in freshwater matrices. J. Environ. Account. Manag. 2019, 6, 345–353. [Google Scholar] [CrossRef]
- OECD/OCDE. OECD Guidelines for the Testing of Chemicals—Revised Introduction to the Oecd Guidelines for Testing of Chemicals, Section 3; OECD Publishing: Paris, France, 2006; pp. 1–13. ISBN 9789264030213. [Google Scholar]
- Wegner, A.; Besseling, E.; Foekema, E.M.; Kamermans, P.; Koelmans, A.A. Effects of nanopolystyrene on the feeding behavior of the blue mussel (Mytilus edulis L.). Environ. Toxicol. Chem. 2012, 31, 2490–2497. [Google Scholar] [CrossRef]
- Yang, Y.; Guo, Y.; O’Brien, A.M.; Lins, T.F.; Rochman, C.M.; Sinton, D. Biological Responses to Climate Change and Nanoplastics Are Altered in Concert: Full-Factor Screening Reveals Effects of Multiple Stressors on Primary Producers. Environ. Sci. Technol. 2020, 54, 2401–2410. [Google Scholar] [CrossRef] [PubMed]
- Piccardo, M.; Provenza, F.; Grazioli, E.; Cavallo, A.; Terlizzi, A.; Renzi, M. PET microplastics toxicity on marine key species is influenced by pH, particle size and food variations. Sci. Total Environ. 2020, 715, 136947. [Google Scholar] [CrossRef] [PubMed]
- Liu, C.; Qiu, J.; Tang, Z.; Hu, H.; Meng, F.; Li, A. Effects of polystyrene microplastics on growth and toxin production of alexandrium pacificum. Toxins 2021, 13, 293. [Google Scholar] [CrossRef]
- ISPRA. Saggio di Fecondazione e Saggio di Sviluppo Embrionale Con il Riccio di Mare Paracentrotus Lividus (Lamarck) (Echinodermata: Echinoidea); ISPRA: Italy, Rome, 2011; ISBN 9788578110796.
- D. M. 173/2016; Regolamento Recante Modalità e Criteri Tecnici Per L’autorizzazione All’immersione in Mare dei Materiali di Escavo di Fondali Marini. ISPRA: Italy, Rome, 2016; pp. 23–35.
- Clarke, K.R.; Warwick, R.M. A taxonomic distinctness index and its statistical properties. J. Appl. Ecol. 1999, 35, 523–531. [Google Scholar] [CrossRef]
- Chae, Y.; Hong, S.H.; An, Y.J. Photosynthesis enhancement in four marine microalgal species exposed to expanded polystyrene leachate. Ecotoxicol. Environ. Saf. 2020, 189, 109936. [Google Scholar] [CrossRef]
- Lithner, D.; Nordensvan, I.; Dave, G. Comparative acute toxicity of leachates from plastic products made of polypropylene, polyethylene, PVC, acrylonitrile-butadiene-styrene, and epoxy to Daphnia magna. Environ. Sci. Pollut. Res. 2012, 19, 1763–1772. [Google Scholar] [CrossRef]
- Piccardo, M.; Provenza, F.; Grazioli, E.; Anselmi, S.; Terlizzi, A.; Renzi, M. Impacts of Plastic-Made Packaging on Marine Key Species: Effects Following Water Acidification and Ecological Implications. J. Mar. Sci. Eng. 2021, 9, 432. [Google Scholar] [CrossRef]
- Schiavo, S.; Oliviero, M.; Chiavarini, S.; Dumontet, S.; Manzo, S. Polyethylene, Polystyrene, and Polypropylene leachate impact upon marine microalgae Dunaliella tertiolecta. J. Toxicol. Environ. Health-Part A Curr. Issues 2021, 84, 249–260. [Google Scholar] [CrossRef]
- Wadhia, K.; Thompson, K.C. Low-cost ecotoxicity testing of environmental samples using microbiotests for potential implementation of the Water Framework Directive. Trends Anal. Chem. 2007, 26, 300–307. [Google Scholar] [CrossRef]
- Keddy, C.J.; Greene, J.C.; Bonnell, M.A. Review of Whole-Organism Bioassays: Soil, Freshwater Sediment, and Freshwater Assessment in Canada. Ecotoxicol. Environ. Saf. 1995, 30, 221–251. [Google Scholar] [CrossRef]
- van den Berg, S.J.P.; Maltby, L.; Sinclair, T.; Liang, R.; van den Brink, P.J. Cross-species extrapolation of chemical sensitivity. Sci. Total Environ. 2021, 753, 141800. [Google Scholar] [CrossRef] [PubMed]
- Barrick, A.; Champeau, O.; Chatel, A.; Manier, N.; Northcott, G.; Tremblay, L.A. Plastic additives: Challenges in ecotox hazard assessment. PeerJ 2021, 9, e11300. [Google Scholar] [CrossRef] [PubMed]
- Gao, Z.; Yu, H.; Li, M.; Li, X.; Lei, J.; He, D.; Wu, G.; Fu, Y.; Chen, Q.; Shi, H. A battery of baseline toxicity bioassays directed evaluation of plastic leachates—Towards the establishment of bioanalytical monitoring tools for plastics. Sci. Total Environ. 2022, 828, 154387. [Google Scholar] [CrossRef] [PubMed]
- Brack, W.; Ait-Aissa, S.; Burgess, R.M.; Busch, W.; Creusot, N.; Di Paolo, C.; Escher, B.I.; Mark Hewitt, L.; Hilscherova, K.; Hollender, J.; et al. Effect-directed analysis supporting monitoring of aquatic environments—An in-depth overview. Sci. Total Environ. 2016, 544, 1073–1118. [Google Scholar] [CrossRef] [PubMed]
- Venâncio, C.; Ferreira, I.; Martins, M.A.; Soares, A.M.V.M.; Lopes, I.; Oliveira, M. The effects of nanoplastics on marine plankton: A case study with polymethylmethacrylate. Ecotoxicol. Environ. Saf. 2019, 184, 109632. [Google Scholar] [CrossRef] [PubMed]
- Brandts, I.; Barría, C.; Martins, M.A.; Franco-Martínez, L.; Barreto, A.; Tvarijonaviciute, A.; Tort, L.; Oliveira, M.; Teles, M. Waterborne exposure of gilthead seabream (Sparus aurata) to polymethylmethacrylate nanoplastics causes effects at cellular and molecular levels. J. Hazard. Mater. 2021, 403, 123590. [Google Scholar] [CrossRef]
- Thomas, P.J.; Oral, R.; Pagano, G.; Tez, S.; Toscanesi, M.; Ranieri, P.; Trifuoggi, M.; Lyons, D.M. Mild toxicity of polystyrene and polymethylmethacrylate microplastics in Paracentrotus lividus early life stages. Mar. Environ. Res. 2020, 161, 105132. [Google Scholar] [CrossRef]
- Piccardo, M.; Anselmi, S.; Renzi, M. Journey into the local market in search of “glitter ” microparticles: Mini product investigation and relative chemical-physical characterization. Environments 2022, 9, 119. [Google Scholar] [CrossRef]
- Hansen, E.; Nilsson, N.; Lithner, D.; Lassen, C. Hazardous Substances in Plastic Materials. 2013. Available online: https://doi.org/2/publikasjoner/3017/ta3017.pdf (accessed on 8 September 2022).
- Andrady, A.L.; Rajapakse, N. Additives and Chemicals in Plastics Ankley. In Hazardous Chemicals Associated with Plastics in the Marine Environment; Springer: Berlin/Heidelberg, Germany, 2019; pp. 1–17. [Google Scholar]
- Tetu, S.G.; Sarker, I.; Schrameyer, V.; Pickford, R.; Elbourne, L.D.H.; Moore, L.R.; Paulsen, I.T. Plastic leachates impair growth and oxygen production in Prochlorococcus, the ocean’s most abundant photosynthetic bacteria. Commun. Biol. 2019, 2, 184. [Google Scholar] [CrossRef]
- Capolupo, M.; Sørensen, L.; Jayasena, K.D.R.; Booth, A.M.; Fabbri, E. Chemical composition and ecotoxicity of plastic and car tire rubber leachates to aquatic organisms. Water Res. 2020, 169, 115270. [Google Scholar] [CrossRef]



| Sample Code | Precursor | Photo | Color | Shape | Mean Max Length (µm ± SD) | Mean Area for Face (µm2 ± SD) | n.Particles/L Tested | Mean Area Face A+B (µm2 ± SD) | Total Surface Exposed to Water (cm2/L ± SD) | Chemical Composition of the Outer Layer |
|---|---|---|---|---|---|---|---|---|---|---|
| CA6/1 | purpurine for decorative arts | ![]() | green | hexagonal | 221.64 ± 13.48 | 3.94 × 104 ± 3.44 × 103 | 3.81 × 104 | 78,800 | 30.00 | PMMA |
| CA6/2 | purple | hexagonal | 3.81 × 104 | 78,800 | 30.00 | PMMA | ||||
| CA6/3 | orange | hexagonal | 3.81 × 104 | 78,800 | 30.00 | PMMA | ||||
| CA6/4 | pink | hexagonal | 3.81 × 104 | 78,800 | 30.00 | PMMA | ||||
| CA6/5 | yellow | hexagonal | 3.81 × 104 | 78,800 | 30.00 | PMMA | ||||
| H1 | glitter for paint | ![]() | silver | hexagonal | 244.66 ± 34.39 | 4.12 × 104 ± 7.84 × 103 | 4.48 × 104 | 82,400 | 36.87 | PE |
| C5/1 | glitter for hair gel | ![]() | silver | hexagonal | 954.09 ± 315.24 | 6.26 × 105± 3.29 × 105 | 5.65 × 102 | 1,252,000 | 7.08 | PMMA |
| C6/2 | glitter for hair gel | ![]() | silver | star | 3047.83 ± 63.08 | 3.91 × 106 ± 1.44 × 105 | 3.41 × 102 | 7,820,000 | 26.70 | PA |
| CA7/5 | purpurine for decorative arts | ![]() | silver | rectangle | 2504.22 ± 616.51 | 8.13 × 105 ± 2.23 × 105 | 1.92 × 103 | 1,626,000 | 31.22 | PE |
| 3 Days | 90 Days | 180 Days | ||||
|---|---|---|---|---|---|---|
| %R | Ecotoxicological Risk | %R | Ecotoxicological Risk | %R | Ecotoxicological Risk | |
| C6/2 | 4.1 | absent | 4.9 | absent | −2.8 | absent |
| C5/1 | 4.2 | absent | 2.1 | absent | 3.1 | absent |
| CA7/5 | 4.7 | absent | 3.6 | absent | −1.9 | absent |
| H1 | 3.6 | absent | −1.9 | absent | −1.7 | absent |
| CA6/1 | 2.9 | absent | 0.2 | absent | −4.2 | absent |
| CA6/2 | −0.4 | absent | −0.6 | absent | 0.0 | absent |
| CA6/3 | −2.6 | absent | 1.8 | absent | 0.0 | absent |
| CA6/4 | 6.0 | moderate | 3.9 | absent | −2.6 | absent |
| CA6/5 | 0.0 | absent | 8.5 | moderate | −1.5 | absent |
| absent | moderate | high | very high | |||
| ≤5% | 5–20% | 20–50% | >50% | |||
| 3 Days | 90 Days | 180 Days | ||||
|---|---|---|---|---|---|---|
| %R | Ecotoxicological Risk | %R | Ecotoxicological Risk | %R | Ecotoxicological Risk | |
| C6/2 | −0.7 | absent | 0.0 | absent | 0.0 | absent |
| C5/1 | −11.5 | absent | 7.7 | moderate | 0.0 | absent |
| CA7/5 | 5.0 | moderate | −1.7 | absent | 15.8 | moderate |
| H1 | −1.0 | absent | 0.0 | absent | −8.6 | absent |
| CA6/1 | 10.0 | moderate | −6.1 | absent | 0.0 | absent |
| CA6/2 | 21.3 | high | 1.6 | absent | 0.0 | absent |
| CA6/3 | 5.1 | moderate | 3.3 | absent | 7.3 | moderate |
| CA6/4 | 2.0 | absent | 0.0 | absent | 18.4 | moderate |
| CA6/5 | 3.6 | absent | 5.6 | moderate | −10.6 | absent |
| absent | moderate | high | Very high | |||
| ≤5% | 5%–20% | 20%–50% | >50% | |||
| A. fischeri | R. subcapitata | D. magna | A. fischeri | P. tricornutum | P. lividus | |
|---|---|---|---|---|---|---|
| C6/2 | + | |||||
| C5/1 | + | + | + | |||
| CA7/5 | + | + | ||||
| H1 | + | + | + | |||
| CA6/1 | + | + | ||||
| CA6/2 | + | |||||
| CA6/3 | + | + | ||||
| CA6/4 | + | + | ||||
| CA6/5 | + | + |
| TIME 1 | TIME 3 | |||||||
|---|---|---|---|---|---|---|---|---|
| Samples | ∆E | ∆L | ∆a | ∆b | ∆E | ∆L | ∆a | ∆b |
| CA6/1 | 36.3 | −8.3 | 7.2 | −34.6 | 16.9 | −8.8 | −4.1 | −13.9 |
| CA6/2 | 42.4 | 7.2 | −41.7 | 1.7 | 30.9 | −5.9 | −29.7 | −6.3 |
| CA6/3 | 7.5 | −1.7 | 3.8 | 6.2 | 15.9 | −5.1 | 8.9 | 12.2 |
| CA6/4 | 16.6 | 1.4 | 13.3 | 9.9 | 14.5 | 5.7 | −1.4 | 13.2 |
| CA6/5 | 22.0 | 3.2 | 4.5 | 21.3 | 12.8 | −1.5 | 11.5 | 5.5 |
| C6/2 | 3.3 | 3.0 | −0.8 | −1.2 | 2.9 | 2.1 | 1.3 | 1.5 |
| C5/1 | 8.9 | 5.6 | −4.7 | −5.1 | 5.7 | 5.1 | 1.9 | 1.5 |
| CA7/5 | 10.6 | 10.6 | −0.5 | −1.0 | 15.8 | 15.7 | −0.8 | 0.7 |
| H1 | 2.6 | 2.5 | −0.4 | −0.6 | 17.0 | −7.6 | 0.5 | −15.2 |
Publisher’s Note: MDPI stays neutral with regard to jurisdictional claims in published maps and institutional affiliations. |
© 2022 by the authors. Licensee MDPI, Basel, Switzerland. This article is an open access article distributed under the terms and conditions of the Creative Commons Attribution (CC BY) license (https://creativecommons.org/licenses/by/4.0/).
Share and Cite
Piccardo, M.; Provenza, F.; Anselmi, S.; Renzi, M. Ecotoxicological Assessment of “Glitter” Leachates in Aquatic Ecosystems: An Integrated Approach. Toxics 2022, 10, 677. https://doi.org/10.3390/toxics10110677
Piccardo M, Provenza F, Anselmi S, Renzi M. Ecotoxicological Assessment of “Glitter” Leachates in Aquatic Ecosystems: An Integrated Approach. Toxics. 2022; 10(11):677. https://doi.org/10.3390/toxics10110677
Chicago/Turabian StylePiccardo, Manuela, Francesca Provenza, Serena Anselmi, and Monia Renzi. 2022. "Ecotoxicological Assessment of “Glitter” Leachates in Aquatic Ecosystems: An Integrated Approach" Toxics 10, no. 11: 677. https://doi.org/10.3390/toxics10110677
APA StylePiccardo, M., Provenza, F., Anselmi, S., & Renzi, M. (2022). Ecotoxicological Assessment of “Glitter” Leachates in Aquatic Ecosystems: An Integrated Approach. Toxics, 10(11), 677. https://doi.org/10.3390/toxics10110677






