Active Cardboard Box with Smart Internal Lining Based on Encapsulated Essential Oils for Enhancing the Shelf Life of Fresh Mandarins
Abstract
1. Introduction
2. Materials and Methods
2.1. Materials
2.2. Preparation of the EOs-βCD Inclusion Complex and Application to Packages
2.3. Design of the Pilot Plant Experiment and Industrial Validation Experiment: Packaging Treatments and Storage Conditions
2.3.1. Experiment 1: Pilot Plant Scale
- Small tray (ST): Tray (230 × 120 × 25 mm; length × width × height) of microcorrugated paperboard with flow-pack of macroperforated (45 holes (8 mm Ø each) per m2) film of polylactic acid (PLA). Each ST contained 0.7–0.8 kg of fruit.
- Small box (SB): Box with lid (190 × 150 × 75 mm) of macrocorrugated paperboard. Each lateral side of the box had 2 holes (10 mm Ø each) and the lid 4 holes (10 mm Ø each). Each SB contained 0.7–0.8 kg of fruit.
- Large tray (LT): Tray (300 × 200 × 90 mm) of macrocorrugated paperboard with a cover of the macroperforated PLA film. Each LT contained 2.3–2.4 kg of fruit.
- Large tray+alveoli (LT+): LT with alveoli (also known as pulp tray) of microcorrugated paperboard. Each LT+ contained 8 mandarins.
- Large box (LB): Box (600 × 400 × 180 mm) of macrocorrugated paperboard with a cover of the macroperforated PLA film. Each LB contained ≈10 kg of fruit.
2.3.2. Experiment 2: Industrial Validation
2.4. Weight Loss
2.5. Soluble Solids Content and Titratable Acidity
2.6. Colour
2.7. Firmness
2.8. Microbial Analyses and Decay Incidence
2.9. Sensory Analyses
2.10. Statistical Analyses
3. Results
3.1. Experiment 1: Selection of Active Package (Pilot Plant Scale)
3.1.1. Weight Loss
3.1.2. Soluble Solids, and Titratable Acidity
3.1.3. Firmness
3.1.4. Colour
3.1.5. Sensory Analyses
3.1.6. Microbiology and Decay Incidence
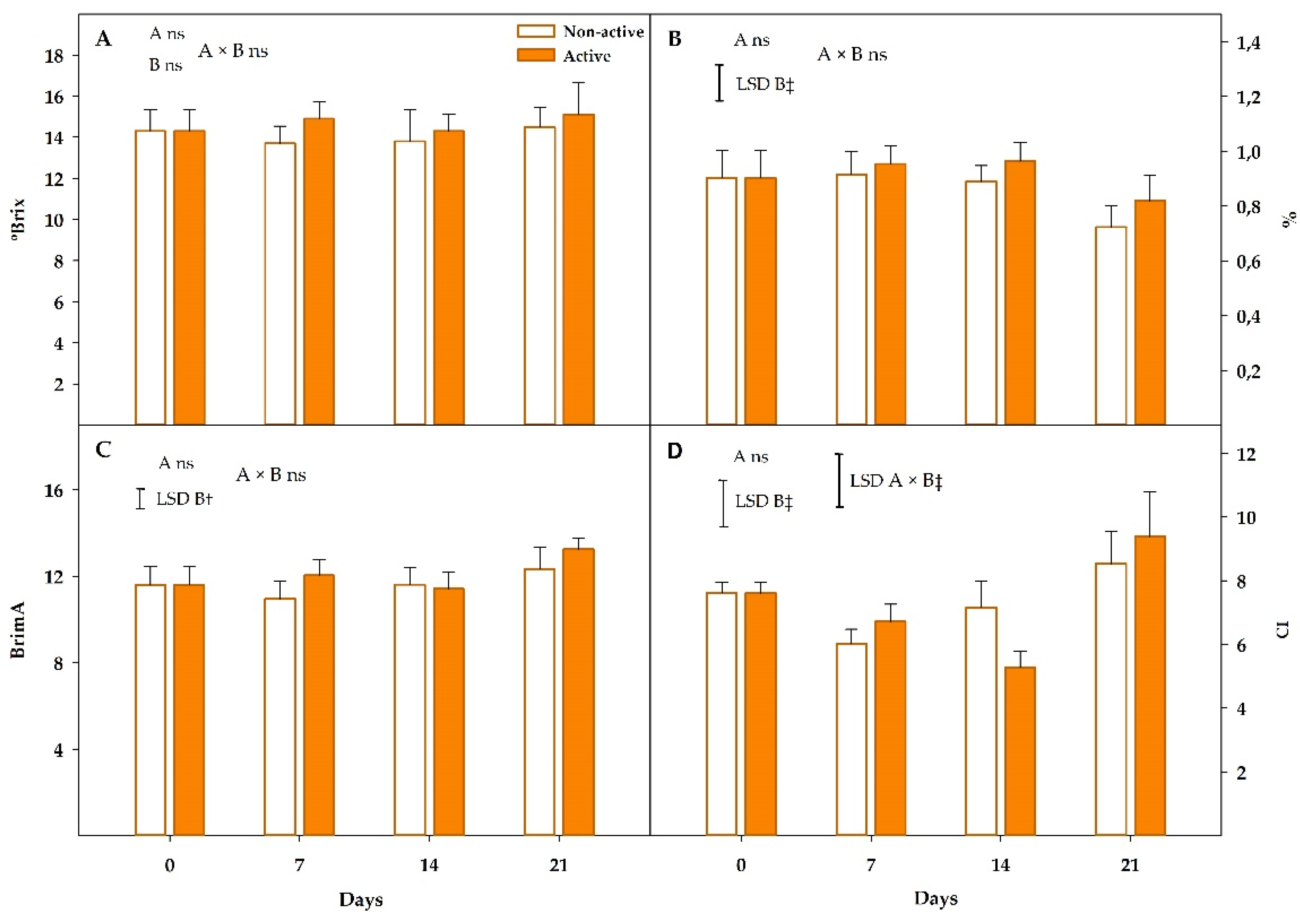
3.2. Experiment 2: Industrial Validation of the Selected Active Packaging
3.2.1. Weight Loss
3.2.2. Soluble Solids Content, Titratable Acidity and Firmness
3.2.3. Colour
3.2.4. Sensory Analyses
3.2.5. Microbiology and Decay Incidence
4. Conclusions
Supplementary Materials
Author Contributions
Funding
Acknowledgments
Conflicts of Interest
References
- FAOSTAT. Available online: http://www.fao.org/faostat/en/#data (accessed on 17 October 2018).
- Palou, L.; Valencia-Chamorro, S.; Pérez-Gago, M. Antifungal edible coatings for fresh citrus fruit: A review. Coatings 2015, 5, 962–986. [Google Scholar] [CrossRef]
- Lee, S.K.; Kader, A.A. Preharvest and postharvest factors influencing vitamin C content of horticultural crops. Postharvest Biol. Technol. 2000, 20, 207–220. [Google Scholar] [CrossRef]
- Campbell, B.L.; Nelson, R.G.; Ebel, R.C.; Dozier, W.A. Mandarin attributes preferred by consumers in grocery stores. HortScience 2006, 41, 664–670. [Google Scholar] [CrossRef]
- Jordan, R.B.; Seelye, R.J.; McGlone, V.A. A sensory-based alternative to brix/acid ratio. Food Technol. 2001, 55, 36–44. [Google Scholar]
- Obenland, D.; Collin, S.; Mackey, B.; Sievert, J.; Fjeld, K.; Arpaia, M.L. Determinants of flavor acceptability during the maturation of navel oranges. Postharvest Biol. Technol. 2009, 52, 156–163. [Google Scholar] [CrossRef]
- Rodrigo, M.J.; Marcos, J.F.; Zacarías, L. Biochemical and molecular analysis of carotenoid biosynthesis in flavedo of orange (Citrus sinensis L.) during fruit development and maturation. J. Agric. Food Chem. 2004, 52, 6724–6731. [Google Scholar] [CrossRef]
- Campbell, B.L.; Nelson, R.G.; Ebel, R.C.; Dozier, W.A.; Adrian, J.L.; Hockema, B.R. Fruit quality characteristics that affect consumer preferences for satsuma mandarins. HortScience 2004, 39, 1664–1669. [Google Scholar] [CrossRef]
- Stewart, I.; Wheaton, T.A. Effects of Ethylene and Temperature on Carotenoid Pigmentation of Citrus Peel; Food and Agriculture Organization: Rome, Italy, 1971. [Google Scholar]
- Harding, P.L.; Sunday, M.B. Seasonal changes in Florida temple oranges. Usda Tech. Bull. 1953, 1072, 1–61. [Google Scholar]
- Jiménez-Cuesta, M.; Cuquerella, J.; Martínez-Jávega, J.M. Determination of a color index for citrus fruit degreening. In Proceedings of the International Society of Citriculture, Tokyo, Japan, 9–12 November 1981; Volume 2, pp. 750–753. [Google Scholar]
- Muramatsu, N.; Takahara, T.; Kojima, K. Relationship between texture and cell wall polysaccharides of fruit flesh in various species of citrus. HortScience 1996, 31, 114–116. [Google Scholar] [CrossRef]
- Kader, A.A.; Arpaia, M.L. Postharvest handling systems: Subtropical fruits. In Postharvest Technology of Horticultural Crops; Kader, A.A., Ed.; University of California, Division of Agriculture and Natural Resources: San Diego, CA, USA, 2002; pp. 375–384. [Google Scholar]
- Dorman, H.J.D.; Deans, S.G. Antimicrobial agents from plants: Antibacterial activity of plant volatile oils. J. Appl. Microbiol. 2000, 88, 308–316. [Google Scholar] [CrossRef]
- Buendía-Moreno, L.; Soto-Jover, S.; Ros-Chumillas, M.; Antolinos-López, V.; Navarro-Segura, L.; Sánchez-Martínez, M.J.; Martínez-Hernández, G.B.; López-Gómez, A. An innovative active cardboard box for bulk packaging of fresh bell pepper. Postharvest Biol. Technol. 2020, 164, 111171. [Google Scholar] [CrossRef]
- López-Gómez, A.; Boluda-Aguilar, M.; Soto-Jover, S. The use of refrigerated storage, pretreatment with vapors of essential oils, and active flow-packing, improves the shelf life and safety of fresh dill. In Proceedings of the 24th IIR International Congress of Refrigeration, Yokohama, Japan, 16–22 August 2015; pp. 4554–4560. [Google Scholar]
- Zaika, L.L. Spices and herbs: Their antimicrobial activity and its determination. J. Food Saf. 2007, 9, 97–118. [Google Scholar] [CrossRef]
- Burt, S. Essential oils: Their antibacterial properties and potential applications in foods—A review. Int. J. Food Microbiol. 2004, 94, 223–253. [Google Scholar] [CrossRef] [PubMed]
- Rao, J.; Chen, B.; McClements, D.J. Improving the efficacy of essential oils as antimicrobials in foods: Mechanisms of action. Annu. Rev. Food Sci. Technol. 2019, 10, 365–387. [Google Scholar] [CrossRef]
- Buendía-Moreno, L.; Ros-Chumillas, M.; Navarro-Segura, L.; Sánchez-Martínez, M.J.; Soto-Jover, S.; Antolinos, V.; Martínez-Hernández, G.B.; López-Gómez, A. Effects of an active cardboard box using encapsulated essential oils on the tomato shelf life. Food Bioprocess Technol. 2019, 12, 1548–1558. [Google Scholar] [CrossRef]
- Kfoury, M.; Landy, D.; Fourmentin, S. Characterization of cyclodextrin/volatile inclusion complexes: A review. Molecules 2018, 23, 1204. [Google Scholar] [CrossRef]
- Mortensen, A.; Aguilar, F.; Crebelli, R.; Di Domenico, A.; Dusemund, B.; Frutos, M.J.; Galtier, P.; Gott, D.; Gundert-Remy, U.; Leblanc, J.; et al. Re-evaluation of β-cyclodextrin (E 459) as a food additive. EFSA J. 2016, 14, e04628. [Google Scholar]
- Khaneghah, A.M.; Hashemi, S.M.B.; Limbo, S. Antimicrobial agents and packaging systems in antimicrobial active food packaging: An overview of approaches and interactions. Food Bioprod. Process. 2018, 111, 1–19. [Google Scholar] [CrossRef]
- Buendía-Moreno, L.; Soto-Jover, S.; Ros-Chumillas, M.; Antolinos, V.; Navarro-Segura, L.; Sánchez-Martínez, M.J.; Martínez-Hernández, G.B.; López-Gómez, A. Innovative cardboard active packaging with a coating including encapsulated essential oils to extend cherry tomato shelf life. LWT 2019, 116, 108584. [Google Scholar] [CrossRef]
- Buendía-Moreno, L.; Sánchez-Martínez, M.J.; Antolinos, V.; Ros-Chumillas, M.; Navarro-Segura, L.; Soto-Jover, S.; Martínez-Hernández, G.B.; López-Gómez, A. Active cardboard box with a coating including essential oils entrapped within cyclodextrins and/or halloysite nanotubes. A case study for fresh tomato storage. Food Control 2020, 107, 106763. [Google Scholar] [CrossRef]
- Kotronia, M.; Kavetsou, E.; Loupassaki, S.; Kikionis, S.; Vouyiouka, S.; Detsi, A. Encapsulation of oregano (Origanum onites L.) essential oil in β-Cyclodextrin (β-CD): Synthesis and characterization of the inclusion complexes. Bioengineering 2017, 4, 74. [Google Scholar] [CrossRef] [PubMed]
- The European Commission. Commission Regulation Regulation (EU) No 1935/2004 of 14 January 2011 on materials and articles intended to come into contact with food and repealing Directives 80/590/EEC and 89/109/EEC. Off. J. Eur. Union 2004, 338, 4–17.
- López-Gómez, A.; Ros-Chumillas, M.; Antolinos, V.; Buendía-Moreno, L.; Navarro-Segura, L.; Sánchez-Martínez, M.J.; Martínez-Hernández, G.B.; Soto-Jover, S. Fresh culinary herbs decontamination with essential oil vapours applied under vacuum conditions. Postharvest Biol. Technol. 2019, 156, 110942. [Google Scholar] [CrossRef]
- Manolikar, M.; Sawant, M. Study of solubility of isoproturon by its complexation with β-cyclodextrin. Chemosphere 2003, 51, 811–816. [Google Scholar] [CrossRef]
- Pathare, P.B.; Opara, U.L.; Al-Said, F.A.-J. Colour measurement and analysis in fresh and processed foods: A review. Food Bioprocess Technol. 2013, 6, 36–60. [Google Scholar] [CrossRef]
- ASTM. Physical Requirement Guidelines for Sensory Evaluation Laboratories; Eggert, J., Zook, K., Eds.; ASTM International: Philadelphia, PA, USA, 1986; ISBN 0803109245. [Google Scholar]
- ISO. ISO 8589:2007: Sensory Analysis—General Guidance for the Design of Test Rooms; ISO: Geneva, Switzerland, 2007. [Google Scholar]
- D’hallewin, G.; Arras, G.; Castia, T.; Piga, A. Reducing decay of avana mandarin fruit by the use of uv, heat and thiabendazole treatments. Acta Hortic. 1994, 368, 387–394. [Google Scholar] [CrossRef]
- Thompson, J.; Mitchell, F.G.; Kasmire, R.F. Cooling horticultural commodities. In Postharvest Technology of Horticultural Crops; University of California, Agriculture and Natural Resources: San Diego, CA, USA, 2002; pp. 111–130. ISBN 9781879906518. [Google Scholar]
- Zhang, K.; Deng, Y.; Fu, H.; Weng, Q. Effects of Co-60 gamma-irradiation and refrigerated storage on the quality of Shatang mandarin. Food Sci. Hum. Wellness 2014, 3, 9–15. [Google Scholar] [CrossRef]
- Pérez-Gago, M.B.; Rojas, C.; Del Río, M.A. Effect of hydroxypropyl methylcellulose-beeswax edible composite coatings on postharvest quality of “fortune” mandarins. In Proceedings of the Acta Horticulturae, International Society for Horticultural Science, Leuven, Belgium, 28 February 2003; Volume 599, pp. 583–587. [Google Scholar]
- Ben-Yehoshua, S.; Burg, S.P.; Young, R. Resistance of citrus fruit to mass transport of water vapor and other gases. Plant Physiol. 1985, 79, 1048–1053. [Google Scholar] [CrossRef]
- Leide, J.; Hildebrandt, U.; Reussing, K.; Riederer, M.; Vogg, G. The developmental pattern of tomato fruit wax accumulation and its impact on cuticular transpiration barrier properties: Effects of a deficiency in a β-ketoacyl-coenzyme a synthase (LeCER6). Plant Physiol. 2007, 144, 1667. [Google Scholar] [CrossRef]
- Choi, W.S.; Singh, S.; Lee, Y.S. Characterization of edible film containing essential oils in hydroxypropyl methylcellulose and its effect on quality attributes of “Formosa” plum (Prunus salicina L.). LWT Food Sci. Technol. 2016, 70, 213–222. [Google Scholar] [CrossRef]
- Rapisarda, P.; Bianco, M.L.; Pannuzzo, P.; Timpanaro, N. Effect of cold storage on vitamin C, phenolics and antioxidant activity of five orange genotypes [Citrus sinensis (L.) Osbeck]. Postharvest Biol. Technol. 2008, 49, 348–354. [Google Scholar] [CrossRef]
- Katz, E.; Lagunes, P.; Riov, J.; Weiss, D.; Goldschmidt, E.E. Molecular and physiological evidence suggests the existence of a system II-like pathway of ethylene production in non-climacteric Citrus fruit. Planta 2004, 219, 243–252. [Google Scholar] [CrossRef] [PubMed]
- Kusunose, H.; Sawamura, M. Ethylene production and respiration of postharvest acid citrus fruits and Wase satsuma mandarin fruit. Agric. Biol. Chem. 1980, 44, 1917–1922. [Google Scholar] [CrossRef][Green Version]
- Rabbany, A.B.M.G.; Mizutani, F. Effect of essential oils on ethylene production and ACC content in apple fruit and peach seed tissues. Engei Gakkai Zasshi 1996, 65, 7–13. [Google Scholar] [CrossRef]
- Zapata, P.J.; Castillo, S.; Valero, D.; Guillén, F.; Serrano, M.; Díaz-Mula, H.M. The use of alginate as edible coating alone or in combination with essential oils maintained postharvest quality of tomato. Acta Hortic. 2010, 877, 1529–1534. [Google Scholar] [CrossRef]
- Pérez-Alfonso, C.O.; Martínez-Romero, D.; Zapata, P.J.; Serrano, M.; Valero, D.; Castillo, S. The effects of essential oils carvacrol and thymol on growth of Penicillium digitatum and P. italicum involved in lemon decay. Int. J. Food Microbiol. 2012, 158, 101–106. [Google Scholar] [CrossRef] [PubMed]
- Alhassan, N.; Golding, J.B.; Wills, R.B.H.; Bowyer, M.C.; Pristijono, P. Long term exposure to low ethylene and storage temperatures delays calyx senescence and maintains ‘Afourer’ mandarins and navel oranges quality. Foods 2019, 8, 19. [Google Scholar] [CrossRef]
- Valverde, J.M.; Guillén, F.; Martínez-Romero, D.; Castillo, S.; Serrano, M.; Valero, D. Improvement of table grapes quality and safety by the combination of modified atmosphere packaging (MAP) and eugenol, menthol, or thymol. J. Agric. Food Chem. 2005, 53, 7458–7464. [Google Scholar] [CrossRef]
- Martínez-Romero, D.; Guillén, F.; Valverde, J.M.; Bailén, G.; Zapata, P.; Serrano, M.; Castillo, S.; Valero, D. Influence of carvacrol on survival of Botrytis cinerea inoculated in table grapes. Int. J. Food Microbiol. 2007, 115, 144–148. [Google Scholar] [CrossRef]
- Chen, X.; Ren, L.; Li, M.; Qian, J.; Fan, J.; Du, B. Effects of clove essential oil and eugenol on quality and browning control of fresh-cut lettuce. Food Chem. 2017, 214, 432–439. [Google Scholar] [CrossRef]
- Echeverria, E.; Ismail, M. Changes in sugar and acids of citrus fruits during storage. Proc. Fla. State Hortic. Soc. 1987, 100, 50–52. [Google Scholar]
- Obenland, D.; Collin, S.; Mackey, B.; Sievert, J.; Arpaia, M.L. Storage temperature and time influences sensory quality of mandarins by altering soluble solids, acidity and aroma volatile composition. Postharvest Biol. Technol. 2011, 59, 187–193. [Google Scholar] [CrossRef]
- Campbell, B.L.; Nelson, R.G.; Ebel, R.C.; Dozier, W.A.; Campbell, J.H.; Woods, F.M. Mandarin market segments based on consumer sensory evaluations. J. Food Distrib. Res. 2008, 39, 43–55. [Google Scholar]
- Jaya, S.; Das, H. Sensory evaluation of mango drinks using fuzzy logic. J. Sens. Stud. 2003, 18, 163–176. [Google Scholar] [CrossRef]
- Alquézar, B.; Rodrigo, M.J.; Zacarías, L. Carotenoid biosynthesis and its regulation in citrus fruits. Tree Sci. Biotechnol. 2008, 2, 23–35. [Google Scholar]
- Reid, M.S. Ethylene in postharvest technology. In Postharvest Technology of Horticultural Crops; Kader, A.A., Ed.; University of California, Agriculture and Natural Resources: San Diego, CA, USA, 2002; p. 149. ISBN 9781879906518. [Google Scholar]
- Tournas, V.H.; Katsoudas, E. Mould and yeast flora in fresh berries, grapes and citrus fruits. Int. J. Food Microbiol. 2005, 105, 11–17. [Google Scholar] [CrossRef]
- Ren, X.; Yue, S.; Xiang, H.; Xie, M. Inclusion complexes of eucalyptus essential oil with β-cyclodextrin: Preparation, characterization and controlled release. J. Porous Mater. 2018, 25, 1577–1586. [Google Scholar] [CrossRef]
- Boskovic, M.; Glisic, M.; Djordjevic, J.; Starcevic, M.; Glamoclija, N.; Djordjevic, V.; Baltic, M.Z. Antioxidative activity of thyme (Thymus vulgaris) and oregano (Origanum vulgare) essential oils and their effect on oxidative stability of minced pork packaged under vacuum and modified atmosphere. J. Food Sci. 2019, 84, 2467–2474. [Google Scholar] [CrossRef]
- Zhu, P.; Xu, L.; Zhang, C.; Toyoda, H.; Gan, S.-S. Ethylene produced by Botrytis cinerea can affect early fungal development and can be used as a marker for infection during storage of grapes. Postharvest Biol. Technol. 2012, 66, 23–29. [Google Scholar] [CrossRef]







| Package | Activity | Weight Loss | SSC | TA | BrimA | Firmness | Colour | |
|---|---|---|---|---|---|---|---|---|
| Day 0 | - | 15.1 ± 0.4 | 1.23 ± 0.12 | 11.4 ± 0.2 | 19.3 ± 1.5 | 7.8 ± 0.5 | ||
| CS | ST | CT | 0.3 ± 0.1 | 12.5 ± 0.5 | 1.58 ± 0.12 | 7.8 ± 0.2 | 16.5 ± 1.0 | 7.6 ± 1.0 |
| Active | 0.3 ± 0.1 | 14.4 ± 1.4 | 1.48 ± 0.10 | 9.9 ± 1.3 | 17.6 ± 2.5 | 8.3 ± 0.3 | ||
| SB | CT | 1.5 ± 0.5 | 13.4 ± 0.9 | 1.67 ± 0.13 | 8.4 ± 1.2 | 19.4 ± 2.0 | 7.7 ± 1.0 | |
| Active | 1.1 ± 0.2 | 12.9 ± 0.8 | 1.63 ± 0.03 | 8.0 ± 0.7 | 19.9 ± 2.8 | 7.9 ± 0.3 | ||
| LT | CT | 0.8 ± 0.2 | 12.5 ± 0.5 | 1.62 ± 0.21 | 7.7 ± 0.7 | 20.4 ± 1.9 | 8.6 ± 0.6 | |
| Active | 0.7 ± 0.2 | 13.0 ± 0.8 | 1.52 ± 0.11 | 8.5 ± 0.6 | 20.0 ± 3.4 | 8.3 ± 0.8 | ||
| LT+ | CT | 0.9 ± 0.2 | 13.6 ± 0.5 | 1.59 ± 0.11 | 8.8 ± 0.6 | 20.7 ± 2.8 | 8.2 ± 0.6 | |
| Active | 1.3 ± 0.3 | 13.4 ± 0.7 | 1.48 ± 0.19 | 9.0 ± 1.1 | 18.8 ± 1.6 | 8.2 ± 0.7 | ||
| LB | CT | 0.1 ± 0.0 | 13.9 ± 1.7 | 1.45 ± 0.09 | 9.5 ± 1.8 | 19.9 ± 3.3 | 8.1 ± 0.8 | |
| Active | 0.1 ± 0.0 | 12.7 ± 1.1 | 1.67 ± 0.10 | 7.7 ± 1.0 | 19.7 ± 2.1 | 8.3 ± 0.8 | ||
| CS+1 wk | ST | CT | 1.7 ± 0.2 | 13.2 ± 1.2 | 0.97 ± 0.12 | 10.3 ± 1.4 | 19.1 ± 1.9 | 6.9 ± 0.8 |
| Active | 1.8 ± 0.3 | 13.0 ± 0.8 | 1.11 ± 0.15 | 9.7 ± 0.5 | 18.9 ± 1.0 | 7.2 ± 0.5 | ||
| SB | CT | 5.7 ± 0.5 | 13.4 ± 1.3 | 1.10 ± 0.09 | 10.1 ± 1.3 | 18.4 ± 1.8 | 7.1 ± 0.9 | |
| Active | 4.5 ± 0.3 | 13.3 ± 1.1 | 1.11 ± 0.15 | 10.0 ± 1.1 | 18.4 ± 2.9 | 7.8 ± 0.7 | ||
| LT | CT | 2.9 ± 0.4 | 13.5 ± 0.8 | 1.15 ± 0.08 | 10.0 ± 0.7 | 19.6 ± 3.1 | 6.8 ± 0.7 | |
| Active | 3.1 ± 0.4 | 13.0 ± 0.6 | 1.04 ± 0.15 | 9.9 ± 0.8 | 18.1 ± 1.9 | 6.8 ± 0.7 | ||
| LT+ | CT | 4.0 ± 0.5 | 13.4 ± 1.2 | 1.00 ± 0.18 | 10.4 ± 0.9 | 20.5 ± 2.8 | 7.2 ± 0.8 | |
| Active | 4.6 ± 0.5 | 13.2 ± 1.0 | 1.02 ± 0.10 | 10.1 ± 0.8 | 18.5 ± 1.5 | 7.4 ± 0.4 | ||
| LB | CT | 2.60.4 | 14.3 ± 1.0 | 1.06 ± 0.13 | 11.1 ± 0.8 | 18.0 ± 2.5 | 7.5 ± 1.0 | |
| Active | 1.6 ± 0.1 | 14.6 ± 1.0 | 1.02 ± 0.15 | 11.5 ± 1.0 | 18.6 ± 1.5 | 7.3 ± 0.9 | ||
| CS+2 wk | ST | CT | 4.5 ± 0.9 | 11.5 ± 1.1 | 0.84 ± 0.09 | 9.0 ± 0.9 | 15.7 ± 1.7 | 8.0 ± 0.6 |
| Active | 5.1 ± 0.7 | 14.4 ± 0.8 | 1.08 ± 0.15 | 11.2 ± 0.9 | 16.7 ± 1.3 | 8.1 ± 0.6 | ||
| SB | CT | 11.4 ± 0.8 | 14.6 ± 0.4 | 0.85 ± 0.10 | 12.0 ± 0.5 | 14.2 ± 1.1 | 8.8 ± 0.7 | |
| Active | 10.2 ± 0.2 | 12.9 ± 1.1 | 1.06 ± 0.09 | 9.7 ± 1.3 | 15.0 ± 1.4 | 8.4 ± 0.4 | ||
| LT | CT | 11.7 ± 1.2 | 13.5 ± 0.5 | 1.24 ± 0.13 | 9.8 ± 0.7 | 17.5 ± 1.5 | 8.6 ± 1.0 | |
| Active | 7.4 ± 1.1 | 14.1 ± 0.8 | 1.18 ± 0.07 | 10.5 ± 0.8 | 17.2 ± 1.6 | 8.3 ± 1.1 | ||
| LT+ | CT | 8.1 ± 0.3 | 13.3 ± 0.6 | 0.93 ± 0.08 | 10.5 ± 0.7 | 17.3 ± 1.0 | 8.2 ± 0.3 | |
| Active | 8.5 ± 0.4 | 13.8 ± 0.8 | 0.98 ± 0.08 | 10.9 ± 0.8 | 14.8 ± 1.2 | 8.1 ± 0.5 | ||
| LB | CT | 8.7 ± 1.3 | 14.5 ± 1.1 | 1.15 ± 0.15 | 11.0 ± 1.1 | 16.4 ± 1.4 | 8.6 ± 0.9 | |
| Active | 5.9 ± 0.5 | 13.9 ± 1.0 | 1.22 ± 0.15 | 10.2 ± 0.8 | 17.1 ± 1.4 | 8.7 ± 1.0 | ||
| CS+3 wk | ST | CT | 11.0 ± 1.5 | 14.5 ± 0.5 | 0.93 ± 0.07 | 11.7 ± 0.6 | 16.7 ± 1.7 | 8.1 ± 0.5 |
| Active | 8.2 ± 0.1 | 13.7 ± 1.0 | 0.96 ± 0.07 | 10.8 ± 0.9 | 17.6 ± 1.5 | 8.2 ± 0.3 | ||
| SB | CT | 14.0 ± 0.9 | 16.0 ± 1.2 | 1.01 ± 0.07 | 13.0 ± 1.3 | 14.8 ± 1.0 | 8.7 ± 0.7 | |
| Active | 12.9 ± 0.3 | 13.9 ± 0.4 | 0.87 ± 0.05 | 11.4 ± 0.5 | 14.8 ± 1.4 | 8.8 ± 1.0 | ||
| LT | CT | 15.9 ± 0.7 | 14.4 ± 0.4 | 0.90 ± 0.05 | 11.7 ± 0.4 | 17.5 ± 1.5 | 8.7 ± 0.8 | |
| Active | 9.9 ± 1.2 | 14.1 ± 0.4 | 0.90 ± 0.11 | 11.4 ± 0.2 | 14.8 ± 1.0 | 8.2 ± 0.7 | ||
| LT+ | CT | 10.2 ± 0.9 | 15.7 ± 0.4 | 0.93 ± 0.08 | 12.9 ± 0.3 | 15.4 ± 1.6 | 8.3 ± 0.7 | |
| Active | 10.9 ± 0.7 | 15.5 ± 0.4 | 1.04 ± 0.09 | 12.4 ± 1.2 | 15.0 ± 1.4 | 8.2 ± 1.0 | ||
| LB | CT | 14.2 ± 1.2 | 15.2 ± 1.5 | 1.12 ± 0.11 | 11.8 ± 1.3 | 15.8 ± 1.5 | 8.6 ± 0.6 | |
| Active | 9.0 ± 0.5 | 13.5 ± 0.9 | 0.85 ± 0.09 | 10.9 ± 1.0 | 15.9 ± 1.3 | 8.7 ± 1.0 | ||
| Packaging type (A) | (0.7) ‡ | (0.5) † | (0.05) * | (0.4) * | (0.7) † | (0.2) * | ||
| Package activity (B) | (0.4) ‡ | ns | ns | ns | ns | ns | ||
| Storage time (C) | (0.6) ‡ | (0.6) ‡ | (0.08) ‡ | (0.6) ‡ | (0.9) ‡ | (0.3) ‡ | ||
| A × B | (1.2) ‡ | (0.8) ‡ | ns | (0.8) ‡ | (1.2) ‡ | ns | ||
| A × C | (1.4) ‡ | (1.0) † | (0.18) ‡ | (1.0) † | (1.9) ‡ | (0.4) * | ||
| B × C | (0.9) ‡ | (0.6) † | (0.01) * | (0.5) * | ns | ns | ||
| A × B × C | (2.0) ‡ | (1.4) † | (0.25) ‡ | (1.9) ‡ | ns | ns | ||
| Storage | Package | Activity | Mesophiles | Psychrophiles | Enterobacteria | Yeast | Moulds |
|---|---|---|---|---|---|---|---|
| Day 0 | 1.3 ± 0.1 | 1.0 ± 0.1 | <0.5 | 2.3 ± 0.5 | 2.2 ± 0.3 | ||
| CS | ST | CT | 1.9 ± 0.1 | 1.0 ± 0.7 | 0.5 ± 0.2 | 2.3 ± 0.4 | 1.9 ± 0.4 |
| Active | 1.6 ± 0.2 | 0.6 ± 0.8 | 0.5 ± 0.3 | 2.3 ± 0.1 | 1.5 ± 0.3 | ||
| SB | CT | 2.3 ± 0.1 | 1.9 ± 0.2 | 1.2 ± 0.1 | 2.0 ± 0.2 | 2.3 ± 0.1 | |
| Active | 1.8 ± 0.2 | 1.1 ± 0.2 | <0.5 | 1.9 ± 0.3 | 1.8 ± 0.1 | ||
| LT | CT | 2.5 ± 0.3 | 2.5 ± 0.3 | 1.6 ± 0.2 | 2.4 ± 0.1 | 2.3 ± 0.2 | |
| Active | 1.9 ± 0.2 | 0.8 ± 0.2 | <0.5 | 1.9 ± 0.3 | 2.1 ± 0.2 | ||
| LT+ | CT | 2.3 ± 0.4 | 1.1 ± 0.4 | 0.5 ± 0.2 | 2.0 ± 0.2 | 2.0 ± 0.1 | |
| Active | 1.7 ± 0.3 | 0.5 ± 0.4 | <0.5 | 1.5 ± 0.5 | 2.1 ± 0.1 | ||
| LB | CT | 1.9 ± 0.4 | 2.1 ± 0.8 | <0.5 | 2.2 ± 0.1 | 1.8 ± 0.2 | |
| Active | 1.2 ± 0.2 | 1.4 ± 0.2 | <0.5 | 1.7 ± 0.4 | 1.7 ± 0.2 | ||
| CS+1 wk | ST | CT | 2.4 ± 0.3 | 2.0 ± 0.4 | 0.8 ± 0.1 | 2.4 ± 0.2 | 2.7 ± 0.1 |
| Active | 2.0 ± 0.4 | 1.6 ± 0.2 | 0.5 ± 0.4 | 1.7 ± 0.3 | 2.4 ± 0.1 | ||
| SB | CT | 2.6 ± 0.2 | 2.0 ± 0.6 | 1.5 ± 0.1 | 1.9 ± 0.3 | 2.7 ± 0.2 | |
| Active | 2.1 ± 0.4 | 1.3 ± 0.2 | <0.5 | 1.7 ± 0.4 | 2.4 ± 0.2 | ||
| LT | CT | 2.5 ± 0.2 | 2.3 ± 0.5 | 1.7 ± 0.1 | 2.0 ± 0.3 | 2.6 ± 0.2 | |
| Active | 1.7 ± 0.3 | 1.7 ± 0.2 | 0.5 ± 0.1 | 2.0 ± 0.1 | 2.6 ± 0.1 | ||
| LT+ | CT | 2.4 ± 0.2 | 1.2 ± 0.1 | 1.1 ± 0.4 | 2.3 ± 0.1 | 1.9 ± 0.2 | |
| Active | 2.0 ± 0.2 | 0.2 ± 0.1 | <0.5 | 1.7 ± 0.1 | 1.8 ± 0.2 | ||
| LB | CT | 2.3 ± 0.1 | 1.6 ± 0.6 | 0.8 ± 0.2 | 2.3 ± 0.1 | 2.5 ± 0.3 | |
| Active | 1.3 ± 0.3 | 0.6 ± 0.3 | <0.5 | 2.0 ± 0.2 | 2.0 ± 0.2 | ||
| CS+2 wk | ST | CT | 2.5 ± 0.1 | 1.2 ± 0.1 | 1.3 ± 0.3 | 2.2 ± 0.1 | 3.0 ± 0.3 |
| Active | 1.9 ± 0.1 | 1.1 ± 0.4 | <0.5 | 1.9 ± 0.2 | 3.0 ± 0.2 | ||
| SB | CT | 2.7 ± 0.3 | 2.1 ± 0.2 | 1.2 ± 0.2 | 2.0 ± 0.2 | 2.6 ± 0.2 | |
| Active | 1.9 ± 0.3 | 1.4 ± 0.2 | 0.5 ± 0.2 | 1.6 ± 0.4 | 2.2 ± 0.1 | ||
| LT | CT | 2.3 ± 0.3 | 1.4 ± 0.2 | 1.2 ± 0.3 | 1.5 ± 0.5 | 2.5 ± 0.1 | |
| Active | 2.1 ± 0.3 | 1.5 ± 0.9 | <0.5 | 1.5 ± 0.3 | 2.1 ± 0.2 | ||
| LT+ | CT | 2.1 ± 0.2 | 2.1 ± 0.5 | 1.2 ± 0.2 | 2.0 ± 0.2 | 2.7 ± 0.3 | |
| Active | 1.3 ± 0.4 | 1.4 ± 0.2 | <0.5 | 1.3 ± 0.2 | 2.0 ± 0.3 | ||
| LB | CT | 2.6 ± 0.3 | 1.6 ± 0.2 | 0.5 ± 0.4 | 2.3 ± 0.2 | 2.6 ± 0.1 | |
| Active | 1.6 ± 0.1 | 1.8 ± 0.2 | 0.6 ± 0.4 | 1.2 ± 0.1 | 2.2 ± 0.1 | ||
| CS+3 wk | ST | CT | 2.8 ± 0.3 | 2.2 ± 0.4 | 1.1 ± 0.2 | 2.2 ± 0.2 | 3.1 ± 0.2 |
| Active | 1.9 ± 0.2 | 2.1 ± 0.3 | 0.9 ± 0.2 | 2.1 ± 0.1 | 2.3 ± 0.2 | ||
| SB | CT | 2.3 ± 0.1 | 2.5 ± 0.2 | 1.6 ± 0.4 | 1.7 ± 0.2 | 2.0 ± 0.1 | |
| Active | 1.8 ± 0.2 | 1.5 ± 0.3 | <0.5 | 1.2 ± 0.1 | 1.9 ± 0.1 | ||
| LT | CT | 2.6 ± 0.3 | 2.6 ± 0.5 | 0.9 ± 0.2 | 2.0 ± 0.4 | 3.4 ± 0.2 | |
| Active | 1.8 ± 0.2 | 1.7 ± 0.1 | <0.5 | 1.3 ± 0.2 | 2.4 ± 0.3 | ||
| LT+ | CT | 2.3 ± 0.2 | 1.9 ± 0.3 | 1.0 ± 0.1 | 1.8 ± 0.2 | 2.5 ± 0.2 | |
| Active | 1.7 ± 0.2 | 1.0 ± 0.1 | <0.5 | 1.2 ± 0.1 | 1.9 ± 0.3 | ||
| LB | CT | 2.6 ± 0.2 | 1.8 ± 0.4 | <0.5 | 2.4 ± 0.2 | 3.5 ± 0.2 | |
| Active | 1.9 ± 0.2 | 1.3 ± 0.2 | 0.5 ± 0.3 | 2.0 ± 0.4 | 3.0 ± 0.3 | ||
| Packaging type (A) | (0.2) ‡ | (0.4) ‡ | (0.2) ‡ | (0.3) ‡ | (0.2) ‡ | ||
| Package activity (B) | (0.1) ‡ | (0.2) ‡ | (0.1) ‡ | (0.2) ‡ | (0.1) ‡ | ||
| Storage time (C) | (0.2) ‡ | (0.4) ‡ | (0.2) ‡ | (0.3) ‡ | (0.2) ‡ | ||
| A×B | ns | ns | (0.2) ‡ | ns | ns | ||
| A×C | (0.5) ‡ | (0.8) ‡ | (0.4) ‡ | (0.6) ‡ | (0.4) ‡ | ||
| B×C | (0.3) ‡ | (0.5) ‡ | (0.2) ‡ | (0.4) ‡ | (0.3) ‡ | ||
| A×B×C | ns | ns | (0.5) ‡ | ns | (0.6) ‡ | ||
© 2020 by the authors. Licensee MDPI, Basel, Switzerland. This article is an open access article distributed under the terms and conditions of the Creative Commons Attribution (CC BY) license (http://creativecommons.org/licenses/by/4.0/).
Share and Cite
López-Gómez, A.; Ros-Chumillas, M.; Buendía-Moreno, L.; Navarro-Segura, L.; Martínez-Hernández, G.B. Active Cardboard Box with Smart Internal Lining Based on Encapsulated Essential Oils for Enhancing the Shelf Life of Fresh Mandarins. Foods 2020, 9, 590. https://doi.org/10.3390/foods9050590
López-Gómez A, Ros-Chumillas M, Buendía-Moreno L, Navarro-Segura L, Martínez-Hernández GB. Active Cardboard Box with Smart Internal Lining Based on Encapsulated Essential Oils for Enhancing the Shelf Life of Fresh Mandarins. Foods. 2020; 9(5):590. https://doi.org/10.3390/foods9050590
Chicago/Turabian StyleLópez-Gómez, Antonio, María Ros-Chumillas, Laura Buendía-Moreno, Laura Navarro-Segura, and Ginés Benito Martínez-Hernández. 2020. "Active Cardboard Box with Smart Internal Lining Based on Encapsulated Essential Oils for Enhancing the Shelf Life of Fresh Mandarins" Foods 9, no. 5: 590. https://doi.org/10.3390/foods9050590
APA StyleLópez-Gómez, A., Ros-Chumillas, M., Buendía-Moreno, L., Navarro-Segura, L., & Martínez-Hernández, G. B. (2020). Active Cardboard Box with Smart Internal Lining Based on Encapsulated Essential Oils for Enhancing the Shelf Life of Fresh Mandarins. Foods, 9(5), 590. https://doi.org/10.3390/foods9050590

