Formation of Acrylamide and other Heat-Induced Compounds during Panela Production
Abstract
1. Introduction
2. Material and Methods
2.1. Chemicals and Reagents
2.2. Samples
2.3. Basic Analyses
2.4. Determination of Reducing Sugars
2.5. Determination of Asparagine
2.6. LC-ESI-MS-MS Determination of Acrylamide
2.7. Determination of HMF and Furfural
2.8. Determination of Browning
2.9. Sample Extraction for Measurement of Antioxidant Activity (ABTS (2,2’-azino-bis(3-ethylbenzothiazoli-ne-6-sulfonic acid) Assay and Total Phenolic Content)
2.9.1. Total Phenolic Content (TPC)
2.9.2. ABTS Assay
2.10. Statistical Analysis
3. Results and Discussion
3.1. Acrylamide
3.2. HMF, Furfural and Browning
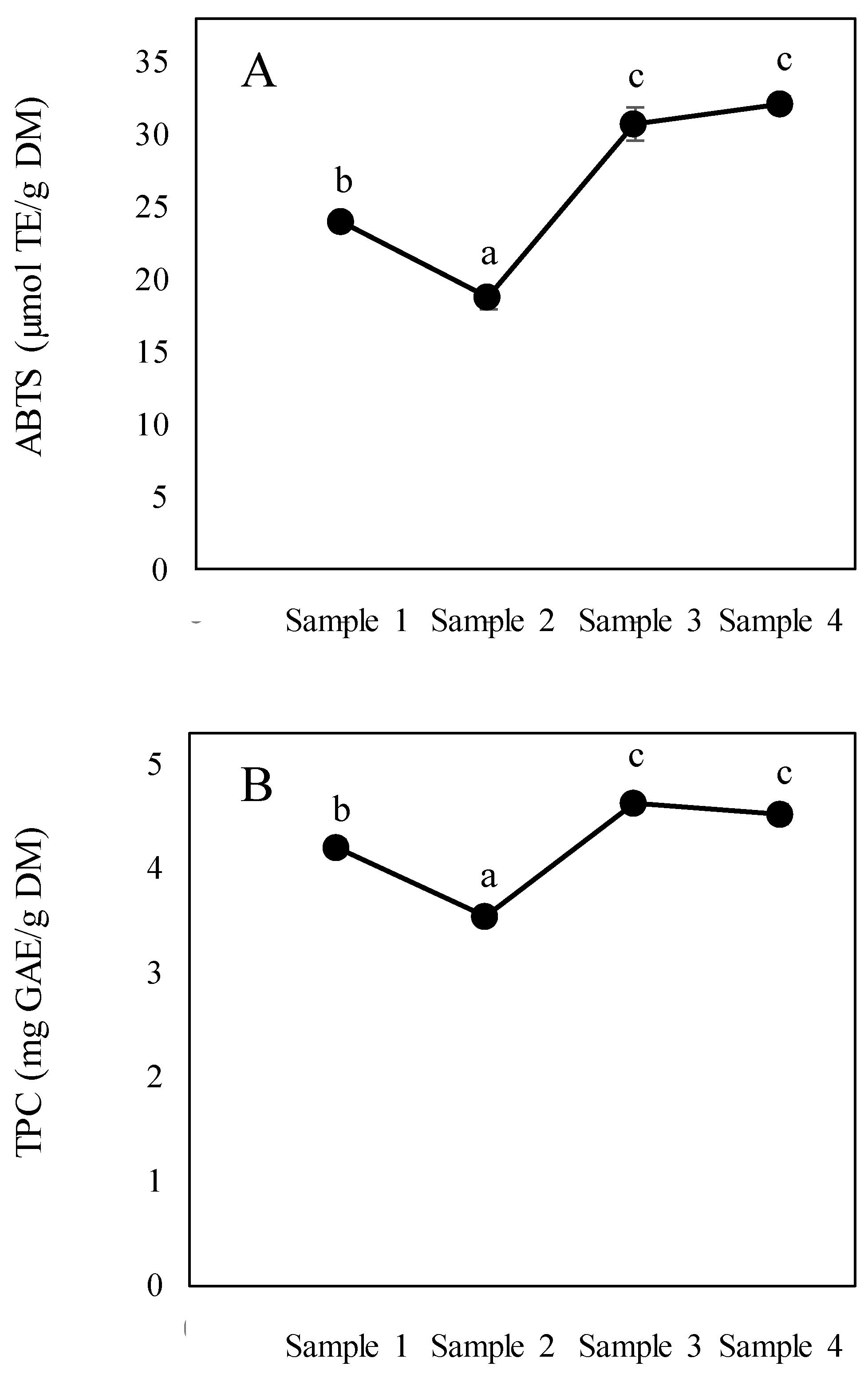
3.3. Antioxidant Activity
4. Conclusions
Author Contributions
Funding
Acknowledgments
Conflicts of Interest
References
- Vargas Lasso, J.J.; Talero Pérez, Y.V.; Trujillo Suárez, F.A.; Caballero, L.R. Determinación de acrilamida en el procesamiento de la panela por cromatografía líquida Acrylamide Determintion in the Sugar Cane Juice Process by the Liquid Chromatography Technique. Rev. Cienc. en Desarro. 2014, 5, 99–105. [Google Scholar]
- Osorio-Cadavid, G. Manual Técnico: Buenas Prácticas Agrícolas -BPA- y Buenas Pácticas de Manufactura -BPM- en la Produccion de Caña y Panela; FAO: Medellín, Colombia, 2007. [Google Scholar]
- Food and Agriculture Organization Commodity Balances—Crops Primary Equivalent. Available online: http://www.fao.org/faostat/en/#data/BC/metadata (accessed on 21 March 2020).
- De María, G. Panela: The natural nutritionalsweetener. Agro Food Ind. Hi-Tech 2013, 24, 44–48. [Google Scholar]
- Jaffé, W. Health Effects of Non-Centrifugal Sugar (NCS): A Review. Sugar Tech. 2012, 14, 87–94. [Google Scholar] [CrossRef]
- Durán-Castro, N. Reingeniería Panelera, 1st ed.; Buhos Editores: Tunja, Colombia, 2010; Available online: https://www.editorialprodumedios.com/agricola/269-reingenieria-panelera.html (accessed on 15 February 2020).
- Kroh, L.W. Caramelisation in food and beverages. Food Chem. 1994, 51, 373–379. [Google Scholar] [CrossRef]
- Park, J.; Kamendulis, L.; Friedman, M.; Klaunig, L. Acrylamide-Induced Cellular Transformation. Toxicol. Sci. 2002, 65, 177–183. [Google Scholar] [CrossRef]
- Rice, J.M. The carcinogenicity of acrylamide. Mutat. Res. Genet. Toxicol. Environ. Mutagen. 2005, 580, 3–20. [Google Scholar] [CrossRef]
- Friedman, M. Food browning and its prevention: An overview. J. Agric. Food Chem. 1996, 44, 631–653. [Google Scholar] [CrossRef]
- Shapla, U.M.; Solayman, M.; Alam, N.; Khalil, M.I.; Gan, S.H. 5-Hydroxymethylfurfural (HMF) levels in honey and other food products: Effects on bees and human health. Chem. Cent. J. 2018, 12, 1–18. [Google Scholar] [CrossRef]
- EFSA (European Food Safety Authority). Opinion of the scientific panel on food additives, flavourings, processing aids and materials in contact with food (AFC) on a request from the commission related to flavouring group evaluation 13: Furfuryl and furan derivatives with and without additional. EFSA J. 2005, 215, 1–73. [Google Scholar]
- AOAC. Official Method of Analysis of AOAC Intl, 17th ed.; Association of Official Analytical Chemists: Gaithersburg, MD, USA, 2003. [Google Scholar]
- Ministerio de Salud Panela Manual de Análisis. Available online: https://www.minsalud.gov.co/sites/rid/Lists/BibliotecaDigital/RIDE/IA/INS/Manual para el análisis de Panela.pdf (accessed on 22 March 2020).
- Ayvaz, H. Rapid Assessment of Acrylamide and Its Precursors in Potato Tubers and Snacks by Infrared Spectroscopy. Ph.D. Thesis, The Ohio State University, Columbus, OH, USA, 2014. [Google Scholar]
- Farkas, T.; Toulouee, J. Asparagine analysis in food products. LC GC Eur. 2003, 21, 14–16. [Google Scholar]
- Mesias, M.; Delgado-Andrade, C.; Holgado, C.; Morales, F.J. Acrylamide content in French fries prepared in households: A pilot study in Spanish homes. Food Chem. 2018, 260, 44–52. [Google Scholar] [CrossRef] [PubMed]
- Mesías, M.; Morales, F.J. Acrylamide in commercial potato crisps from Spanish market: Trends from 2004 to 2014 and assessment of the dietary exposure. Food Chem. Toxicol. 2015, 81, 104–110. [Google Scholar] [CrossRef] [PubMed]
- Mesías, M.; Holgado, F.; Márquez-Ruíz, G.; Morales, F.J. Effect of sodium replacement in cookies on the formation of process contaminants and lipid oxidation. LWT Food Sci. Technol. 2015, 62, 633–639. [Google Scholar] [CrossRef]
- Pérez-Jiménez, J.; Saura-Calixto, F. Literature Data May Underestimate the Actual Antioxidant Capacity of Cereals. J. Agric. Food Chem. 2005, 53, 5036–5040. [Google Scholar] [CrossRef] [PubMed]
- Marfil, R.; Giménez, R.; Martínez, O.; Bouzas, P.R.; Rufián-Henares, J.A.; Mesías, M.; Cabrera-Vique, C. Determination of polyphenols, tocopherols, and antioxidant capacity in virgin argan oil (Argania spinosa, Skeels). Eur. J. Lipid Sci. Technol. 2011, 113, 886–893. [Google Scholar] [CrossRef]
- Rufián-Henares, J.A.; Delgado-Andrade, C. Effect of digestive process on Maillard reaction indexes and antioxidant properties of breakfast cereals. Food Res. Int. 2009, 42, 394–400. [Google Scholar] [CrossRef]
- Hoenicke, K.; Gatermann, R. Studies on the Stability of acrylamide in food during storage. J. AOAC Int. 2005, 88, 268–273. [Google Scholar] [CrossRef]
- Gómez-Narváez, F.; Mesías, M.; Delgado-Andrade, C.; Contreras-Calderón, J.; Ubillús, F.; Cruz, G.; Morales, F.J. Occurrence of acrylamide and other heat-induced compounds in panela: Relationship with physicochemical and antioxidant parameters. Food Chem. 2019, 301, 125256. [Google Scholar] [CrossRef]
- Knerr, T.; Lerche, H.; Pischetsrieder, M.; Severin, T. Formation of a novel colored product during the maillard reaction of d-glucose. J. Agric. Food Chem. 2001, 49, 1966–1970. [Google Scholar] [CrossRef]
- Jaffé, W.R. Nutritional and functional components of non centrifugal cane sugar: A compilation of the data from the analytical literature. J. Food Compos. Anal. 2015, 43, 194–202. [Google Scholar] [CrossRef]
- Lee, J.S.; Ramalingam, S.; Jo, I.G.; Kwon, Y.S.; Bahuguna, A.; Oh, Y.S.; Kim, M. Comparative study of the physicochemical, nutritional, and antioxidant properties of some commercial refined and non-centrifugal sugars. Food Res. Int. 2018, 109, 614–625. [Google Scholar] [CrossRef] [PubMed]
- Contreras-Calderón, J.; Guerra-Hernández, E.; García-Villanova, B. Indicators of non-enzymatic browning in the evaluation of heat damage of ingredient proteins used in manufactured infant formulas. Eur. Food Res. Technol. 2008, 227, 117–124. [Google Scholar] [CrossRef]
- Gómez-Narváez, F.; Medina-Pineda, Y.; Contreras-Calderón, J. Evaluation of the heat damage of whey and whey proteins using multivariate analysis. Food Res. Int. 2017, 102, 768–775. [Google Scholar] [CrossRef] [PubMed]
- Contreras-Calderón, J.; Mejía-Díaz, D.; Martínez-Castaño, M.; Bedoya-Ramírez, D.; López-Rojas, N.; Gómez-Narváez, F.; Vega-Castro, O. Evaluation of antioxidant capacity in coffees marketed in Colombia: Relationship with the extent of non-enzymatic browning. Food Chem. 2016, 209, 162–170. [Google Scholar] [CrossRef]
- Theobald, A.; Müller, A.; Anklam, E. Determination of 5-hydrox-ymethylfurfural in vinegar samples by HPLC. J. Agric. Food Chem. 1998, 46, 1850–1854. [Google Scholar] [CrossRef]
- Wen, C.; Shi, X.; Wang, Z.; Gao, W.; Jiang, L.; Xiao, Q.; Deng, F. Effects of metal ions on formation of acrylamide and 5-hydroxymethylfurfural in asparagine-glucose model system. Int. J. Food Sci. Technol. 2016, 51, 279–285. [Google Scholar] [CrossRef]
- Delgado-Andrade, C.; Morales, F.J.; Seiquer, I.; Navarro, M.P. Maillard reaction products profile and intake from Spanish typical dishes. Food Res. Int. 2016, 43, 1304–1311. [Google Scholar] [CrossRef]
- Payet, B.; Sing, A.S.C.; Smadja, J. Assessment of antioxidant activity of cane brown sugars by ABTS and DPPH radical scavenging assays: Determination of their polyphenolic and volatile constituents. J. Agric. Food Chem. 2005, 53, 10074–10079. [Google Scholar] [CrossRef]
- Asikin, Y.; Hirose, N.; Tamaki, H.; Ito, S.; Oku, H.; Wada, K. Effects of different drying-solidification processes on physical properties, volatile fraction, and antioxidant activity of non-centrifugal cane brown sugar. LWT Food Sci. Technol. 2016, 66, 340–347. [Google Scholar] [CrossRef]




| Sample 1 | Sample 2 | Sample 3 | Sample 4 | |
|---|---|---|---|---|
| Moisture (%) | 78.8 c | 81.5 | 32.5 | 7.60 |
| Soluble solids (° Brix) | 21.2 | 18.5 | 67.5 | 92.4 |
| pH | 5.40 | 5.50 | 5.70 | 6.00 |
| Reducing sugars (g/100 g) | 3.20 b (3.18–3.22) | 2.65 a (2.53–2.78) | 4.01 c (3.89–4.12) | 6.02 d (6.02–6.03) |
| Asparagine (mg/100 g) | 16.2 a (15.5–17.0) | 12.7 a (12.4–12.9) | 80.5 c (68.7–92.3) | 39.7 b (38.4–41.0) |
| Sample 1 | Sample 2 | Sample 3 | Sample 4 | |
|---|---|---|---|---|
| Acrylamide (µg/kg) | <LOQ | <LOQ | 298 ± 31 a | 890 ± 15 b |
| HMF (mg/kg) | <LOQ | <LOQ | <LOQ | 2.37 ± 0.16 |
| Furfural (mg/kg) | <LOQ | <LOQ | <LOQ | 4.50 ± 0.75 |
| Browning (AU/g) | 0.51 a (0.50–0.53) | 0.41 a (0.40–0.41) | 1.70 b (1.69–1.70) | 3.60 c (3.53–3.67) |
| ABTS (µmol TE/g) | 5.08 ± 0.13 b | 3.47 ± 0.15 a | 20.68 ± 0.78 c | 29.70 ± 0.41 d |
| TPC (mg GAE/g) | 0.89 ± 0.02 b | 0.66 ± 0.01 a | 3.12 ± 0.04 c | 4.18 ± 0.08 d |
© 2020 by the authors. Licensee MDPI, Basel, Switzerland. This article is an open access article distributed under the terms and conditions of the Creative Commons Attribution (CC BY) license (http://creativecommons.org/licenses/by/4.0/).
Share and Cite
Mesias, M.; Delgado-Andrade, C.; Gómez-Narváez, F.; Contreras-Calderón, J.; Morales, F.J. Formation of Acrylamide and other Heat-Induced Compounds during Panela Production. Foods 2020, 9, 531. https://doi.org/10.3390/foods9040531
Mesias M, Delgado-Andrade C, Gómez-Narváez F, Contreras-Calderón J, Morales FJ. Formation of Acrylamide and other Heat-Induced Compounds during Panela Production. Foods. 2020; 9(4):531. https://doi.org/10.3390/foods9040531
Chicago/Turabian StyleMesias, Marta, Cristina Delgado-Andrade, Faver Gómez-Narváez, José Contreras-Calderón, and Francisco J. Morales. 2020. "Formation of Acrylamide and other Heat-Induced Compounds during Panela Production" Foods 9, no. 4: 531. https://doi.org/10.3390/foods9040531
APA StyleMesias, M., Delgado-Andrade, C., Gómez-Narváez, F., Contreras-Calderón, J., & Morales, F. J. (2020). Formation of Acrylamide and other Heat-Induced Compounds during Panela Production. Foods, 9(4), 531. https://doi.org/10.3390/foods9040531
