Changes in Physicochemical Properties and Volatiles of Kiwifruit Pulp Beverage Treated with High Hydrostatic Pressure
Abstract
1. Introduction
2. Materials and methods
2.1. Materials and Reagents
2.2. Preparation of Kiwifruit Pulp Beverage
2.3. HHP and Heat Treatments of Kiwifruit Pulp Beverage
2.4. Storage Conditions
2.5. Determination of pH and Soluble Solids Content (SSC)
2.6. Assessment of Vitamin C (VC) Content
2.7. Color Assay
2.8. Analysis of Volatiles
2.9. Statistical Analysis
3. Results and Discussion
3.1. Changes in Soluble Solids Content (SSC) and pH of HHP-Treated Kiwifruit Pulp Beverage
3.2. Effect of HHP on Vitamin C Content in Kiwifruit Pulp Beverage
3.3. Changes in Color of HHP-Treated Kiwifruit Pulp Beverage
3.4. Volatiles Analysis
3.4.1. Changes of Volatiles in Kiwifruit Pulp Beverage after HHP
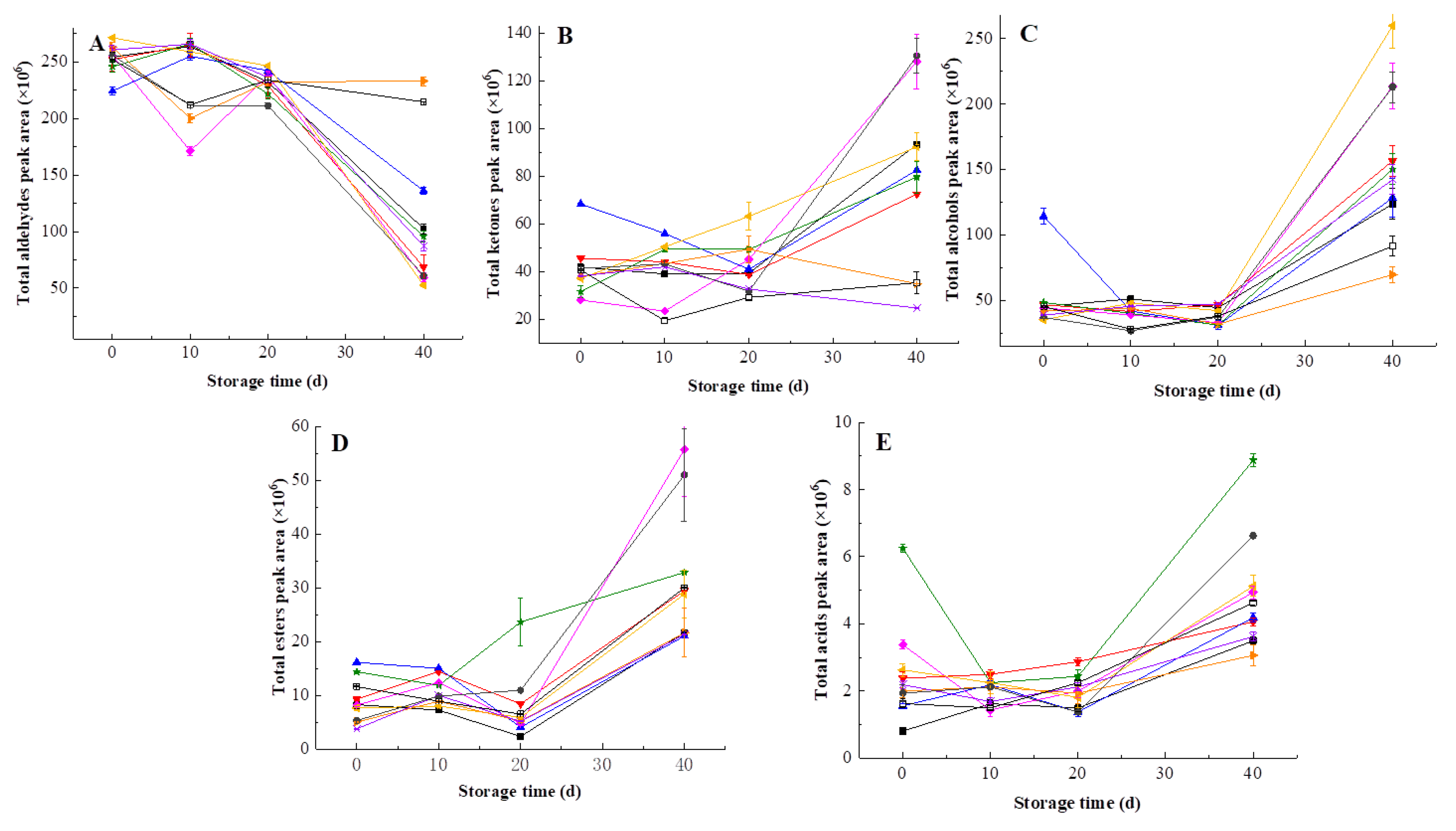
3.4.2. Changes in Volatiles of HHP-Treated Kiwifruit Pulp Beverage during 40-Day Storage
4. Conclusions
Supplementary Materials
Author Contributions
Funding
Conflicts of Interest
References
- Liu, Y.; Qi, Y.-W.; Chen, X.; He, H.; Liu, Z.; Zhang, Z.; Ren, Y.; Ren, X. Phenolic compounds and antioxidant activity in red- and in green-fleshed kiwifruits. Food Res. Int. 2019, 116, 291–301. [Google Scholar] [CrossRef] [PubMed]
- Mworia, E.G.; Yoshikawa, T.; Yokotani, N.; Fukuda, T.; Suezawa, K.; Ushijima, K.; Nakano, R.; Kubo, Y. Characterization of ethylene biosynthesis and its regulation during fruit ripening in kiwifruit, Actinidia chinensis ‘Sanuki Gold’. Postharvest Boil. Technol. 2010, 55, 108–113. [Google Scholar] [CrossRef]
- Cassano, A.; Donato, L.; Conidi, C.; Drioli, E. Recovery of bioactive compounds in kiwifruit juice by ultrafiltration. Innov. Food Sci. Emerg. Technol. 2008, 9, 556–562. [Google Scholar] [CrossRef]
- Hettihewa, S.K.; Hemar, Y.; Rupasinghe, H.P.V. Flavonoid-Rich Extract of Actinidia macrosperma (A Wild Kiwifruit) Inhibits Angiotensin-Converting Enzyme In Vitro. Foods 2018, 7, 146. [Google Scholar] [CrossRef] [PubMed]
- Motohashi, N.; Shirataki, Y.; Kawase, M.; Tani, S.; Sakagami, H.; Satoh, K.; Kurihara, T.; Nakashima, H.; Mucsi, I.; Varga, A.; et al. Cancer prevention and therapy with kiwifruit in Chinese folklore medicine: A study of kiwifruit extracts. J. Ethnopharmacol. 2002, 81, 357–364. [Google Scholar] [CrossRef]
- Xu, F.; Liu, S.; Liu, Y.; Xu, J.; Liu, T.; Dong, S. Effectiveness of lysozyme coatings and 1-MCP treatments on storage and preservation of kiwifruit. Food Chem. 2019, 288, 201–207. [Google Scholar] [CrossRef]
- Hur, J.-S.; Oh, S.-O.; Lim, K.-M.; Jung, J.S.; Kim, J.-W.; Koh, Y.J. Novel effects of TiO2 photocatalytic ozonation on control of postharvest fungal spoilage of kiwifruit. Postharvest Boil. Technol. 2005, 35, 109–113. [Google Scholar] [CrossRef]
- Wang, J.; Wang, J.; Raghavan, V. High-intensity ultrasound processing of kiwifruit juice: Effects on the ascorbic acid, total phenolics, flavonoids and antioxidant capacity. LWT 2019, 107, 299–307. [Google Scholar] [CrossRef]
- Barboni, T.; Cannac, M.; Chiaramonti, N. Effect of cold storage and ozone treatment on physicochemical parameters, soluble sugars and organic acids in Actinidia deliciosa. Food Chem. 2010, 121, 946–951. [Google Scholar] [CrossRef]
- Keenan, D.F.; Brunton, N.; Mitchell, M.; Gormley, R.; Butler, F. Flavour profiling of fresh and processed fruit smoothies by instrumental and sensory analysis. Food Res. Int. 2012, 45, 17–25. [Google Scholar] [CrossRef]
- Patras, A.; Brunton, N.; Da Pieve, S.; Butler, F.; Downey, G. Effect of thermal and high pressure processing on antioxidant activity and instrumental colour of tomato and carrot purées. Innov. Food Sci. Emerg. Technol. 2009, 10, 16–22. [Google Scholar] [CrossRef]
- Gao, G.; Ren, P.; Cao, X.; Yan, B.; Liao, X.; Sun, Z.; Wang, Y. Comparing quality changes of cupped strawberry treated by high hydrostatic pressure and thermal processing during storage. Food Bioprod. Process. 2016, 100, 221–229. [Google Scholar] [CrossRef]
- Chen, N.; Pang, X.; Zhao, J.; Gao, L.; Liao, X.; Wu, J.; Li, Q. Comparing the effects of high hydrostatic pressure and high temperature short time on papaya beverage. Innov. Food Sci. Emerg. Technol. 2015, 32, 16–28. [Google Scholar] [CrossRef]
- Yuan, B.; Danao, M.-G.C.; Lü, M.; Weier, S.A.; Stratton, J.E.; Weller, C.L. High pressure processing (HPP) of aronia berry puree: Pilot scale processing and a shelf-life study. Innov. Food Sci. Emerg. Technol. 2018, 47, 241–248. [Google Scholar] [CrossRef]
- Edwin, B.; Gerardo, M.; Bernadette, C.; Dolores, R.; Antonio, L. High Pressure Treatment in Foods. Foods 2014, 3, 476–490. [Google Scholar]
- Wang, R.; Xu, Q.; Yao, J.; Zhang, Y.; Liao, X.; Hu, X.; Wu, J.; Zhang, Y. Post-effects of high hydrostatic pressure on green color retention and related properties of spinach puree during storage. Innov. Food Sci. Emerg. Technol. 2013, 17, 63–71. [Google Scholar] [CrossRef]
- Jayachandran, L.E.; Chakraborty, S.; Rao, P.S. Effect of high pressure processing on physicochemical properties and bioactive compounds in litchi based mixed fruit beverage. Innov. Food Sci. Emerg. Technol. 2015, 28, 1–9. [Google Scholar] [CrossRef]
- Garcia, A.F.; Butz, P.; Tauscher, B. Effects of High-pressure Processing on Carotenoid Extractability, Antioxidant Activity, Glucose Diffusion, and Water Binding of Tomato Puree (Lycopersicon esculentum Mill.). J. Food Sci. 2001, 66, 1033–1038. [Google Scholar] [CrossRef]
- Krebbers, B.; Matser, A.M.; Koets, M.; Bartels, P.; Berg, R.V.D. High Pressure-Temperature Processing as an Alternative for Preserving Basil. High Press. Res. 2002, 22, 711–714. [Google Scholar] [CrossRef]
- Friel, E.N.; Wang, M.Y.; Taylor, A.; Macrae, E.A. In Vitroandin VivoRelease of Aroma Compounds from Yellow-Fleshed Kiwifruit. J. Agric. Food Chem. 2007, 55, 6664–6673. [Google Scholar] [CrossRef]
- Garcia, C.V.; Quek, S.Y.; Stevenson, R.J.; Winz, R.A. Characterisation of bound volatile compounds of a low flavour kiwifruit species: Actinidia eriantha. Food Chem. 2012, 134, 655–661. [Google Scholar] [CrossRef] [PubMed]
- Komthong, P.; Igura, N.; Shimoda, M. Effect of ascorbic acid on the odours of cloudy apple juice. Food Chem. 2007, 100, 1342–1349. [Google Scholar] [CrossRef]
- Wan, X.; Stevenson, R.J.; Chen, X.D.; Melton, L.D. Application of headspace solid-phase microextraction to volatile flavour profile development during storage and ripening of kiwifruit. Food Res. Int. 1999, 32, 175–183. [Google Scholar] [CrossRef]
- Garcia, C.V.; Stevenson, R.J.; Atkinson, R.G.; Winz, R.A.; Quek, S.Y. Changes in the bound aroma profiles of ‘Hayward’ and ‘Hort16A’ kiwifruit (Actinidia spp.) during ripening and GC-olfactometry analysis. Food Chem. 2013, 137, 45–54. [Google Scholar] [CrossRef] [PubMed]
- Zheng, H.; Zhang, Q.; Quan, J.; Zheng, Q.; Xi, W. Determination of sugars, organic acids, aroma components, and carotenoids in grapefruit pulps. Food Chem. 2016, 205, 112–121. [Google Scholar] [CrossRef] [PubMed]
- Zhang, Y.; Liu, X.; Wang, Y.; Zhao, F.; Sun, Z.; Liao, X. Quality comparison of carrot juices processed by high-pressure processing and high-temperature short-time processing. Innov. Food Sci. Emerg. Technol. 2016, 33, 135–144. [Google Scholar] [CrossRef]
- Chen, N.; Xi, H.; Guo, X.; Qin, Z.; Pang, X.; Hu, X.; Liao, X.; Wu, J. Comparative study of quality of cloudy pomegranate juice treated by high hydrostatic pressure and high temperature short time. Innov. Food Sci. Emerg. Technol. 2013, 19, 85–94. [Google Scholar] [CrossRef]
- Cortés, C.; Esteve, M.J.; Frígola, A. Color of orange juice treated by High Intensity Pulsed Electric Fields during refrigerated storage and comparison with pasteurized juice. Food Control. 2008, 19, 151–158. [Google Scholar] [CrossRef]
- Alighourchi, H.; Barzegar, M. Some physicochemical characteristics and degradation kinetic of anthocyanin of reconstituted pomegranate juice during storage. J. Food Eng. 2009, 90, 179–185. [Google Scholar] [CrossRef]
- Bull, M.; Zerdin, K.; Howe, E.; Goicoechea, D.; Paramanandhan, P.; Stockman, R.; Sellahewa, J.; Szabo, E.A.; Johnson, R.L.; Stewart, C.M. The effect of high pressure processing on the microbial, physical and chemical properties of Valencia and Navel orange juice. Innov. Food Sci. Emerg. Technol. 2004, 5, 135–149. [Google Scholar] [CrossRef]
- Barba, F.J.; Esteve, M.J.; Frígola, A. Ascorbic Acid Is the Only Bioactive That Is Better Preserved by High Hydrostatic Pressure than by Thermal Treatment of a Vegetable Beverage. J. Agric. Food Chem. 2010, 58, 10070–10075. [Google Scholar] [CrossRef] [PubMed]
- Polydera, A.; Stoforos, N.; Taoukis, P. Comparative shelf life study and vitamin C loss kinetics in pasteurised and high pressure processed reconstituted orange juice. J. Food Eng. 2003, 60, 21–29. [Google Scholar] [CrossRef]
- Castro, S.M.; Saraiva, J.A.; Da Silva, J.L.; Delgadillo, I.; Van Loey, A.; Smout, C.; Hendrickx, M. Effect of thermal blanching and of high pressure treatments on sweet green and red bell pepper fruits (Capsicum annuum L.). Food Chem. 2008, 107, 1436–1449. [Google Scholar] [CrossRef]
- Xu, X.; Deng, J.; Luo, D.; Bao, Y.; Liao, X.; Gao, H.; Wu, J. Comparative study of high hydrostatic pressure and high temperature short time processing on quality of clear and cloudy Se-enriched kiwifruit juices. Innov. Food Sci. Emerg. Technol. 2018, 49, 1–12. [Google Scholar] [CrossRef]
- Thammawong, M.; Kasai, E.; Syukri, D.; Nakano, K. Effect of a low oxygen storage condition on betacyanin and vitamin C retention in red amaranth leaves. Sci. Hortic. 2019, 246, 765–768. [Google Scholar] [CrossRef]
- Landl, A.; Abadias, M.; Sárraga, C.; Viñas, I.; Picouet, P. Effect of high pressure processing on the quality of acidified Granny Smith apple purée product. Innov. Food Sci. Emerg. Technol. 2010, 11, 557–564. [Google Scholar] [CrossRef]
- Xu, Z.; Lin, T.; Wang, Y.; Liao, X. Quality assurance in pepper and orange juice blend treated by high pressure processing and high temperature short time. Innov. Food Sci. Emerg. Technol. 2015, 31, 28–36. [Google Scholar] [CrossRef]
- Huang, W.; Bi, X.; Zhang, X.; Liao, X.; Hu, X.; Wu, J. Comparative study of enzymes, phenolics, carotenoids and color of apricot nectars treated by high hydrostatic pressure and high temperature short time. Innov. Food Sci. Emerg. Technol. 2013, 18, 74–82. [Google Scholar] [CrossRef]
- Liu, F.; Wang, Y.; Li, R.; Bi, X.; Liao, X. Effects of high hydrostatic pressure and high temperature short time on antioxidant activity, antioxidant compounds and color of mango nectars. Innov. Food Sci. Emerg. Technol. 2014, 21, 35–43. [Google Scholar] [CrossRef]
- Liu, F.; Zhang, X.; Zhao, L.; Wang, Y.; Liao, X. Potential of high-pressure processing and high-temperature/short-time thermal processing on microbial, physicochemical and sensory assurance of clear cucumber juice. Innov. Food Sci. Emerg. Technol. 2016, 34, 51–58. [Google Scholar] [CrossRef]
- Wang, Y.; Liu, F.; Cao, X.; Chen, F.; Hu, X.; Liao, X. Comparison of high hydrostatic pressure and high temperature short time processing on quality of purple sweet potato nectar. Innov. Food Sci. Emerg. Technol. 2012, 16, 326–334. [Google Scholar] [CrossRef]
- Patras, A.; Brunton, N.; Da Pieve, S.; Butler, F. Impact of high pressure processing on total antioxidant activity, phenolic, ascorbic acid, anthocyanin content and colour of strawberry and blackberry purées. Innov. Food Sci. Emerg. Technol. 2009, 10, 308–313. [Google Scholar] [CrossRef]
- Oey, I.; Lille, M.; Van Loey, A.; Hendrickx, M. Effect of high-pressure processing on colour, texture and flavour of fruit- and vegetable-based food products: A review. Trends Food Sci. Technol. 2008, 19, 320–328. [Google Scholar] [CrossRef]
- Pérez-Cacho, P.R.; Rouseff, R. Processing and Storage Effects on Orange Juice Aroma: A Review. J. Agric. Food Chem. 2008, 56, 9785–9796. [Google Scholar] [CrossRef] [PubMed]
- Lambadarios, E.; Zabetakis, I. Does High Hydrostatic Pressure Affect Fruit Esters? LWT-Food Sci. Technol. 2002, 35, 362–366. [Google Scholar] [CrossRef]
- Yi, J.; Kebede, B.; Dang, D.N.H.; Buvé, C.; Grauwet, T.; Van Loey, A.; Hu, X.; Hendrickx, M. Quality change during high pressure processing and thermal processing of cloudy apple juice. LWT 2017, 75, 85–92. [Google Scholar] [CrossRef]
- Baldwin, E.; Scott, J.; Einstein, M.; Malundo, T.; Carr, B.T.; Shewfelt, R.; Tandon, K. Relationship between Sensory and Instrumental Analysis for Tomato Flavor. J. Am. Soc. Hortic. Sci. 1998, 123, 906–915. [Google Scholar] [CrossRef]
- Xia, Q.; Mei, J.; Yu, W.; Li, Y. High hydrostatic pressure treatments enhance volatile components of pre-germinated brown rice revealed by aromatic fingerprinting based on HS-SPME/GC–MS and chemometric methods. Food Res. Int. 2017, 91, 103–114. [Google Scholar] [CrossRef]
- Porretta, S.; Birzi, A.; Ghizzoni, C.; Vicini, E. Effects of ultra-high hydrostatic pressure treatments on the quality of tomato juice. Food Chem. 1995, 52, 35–41. [Google Scholar] [CrossRef]
- González-Cebrino, F.; Parra, J.G.; Ramirez, R. Aroma profile of a red plum purée processed by high hydrostatic pressure and analysed by SPME–GC/MS. Innov. Food Sci. Emerg. Technol. 2016, 33, 108–114. [Google Scholar] [CrossRef]
- Sumitani, H.; Suekane, S.; Nakatani, A.; Tatsuka, K. Changes In Composition of Volatile Compounds in High Pressure Treated Peach. J. Agric. Food Chem. 1994, 42, 785–790. [Google Scholar] [CrossRef]
- Cerdán-Calero, M.; Izquierdo, L.; Sentandreu, E. Valencia Late orange juice preserved by pulp reduction and high pressure homogenization: Sensory quality and gas chromatography–mass spectrometry analysis of volatiles. LWT 2013, 51, 476–483. [Google Scholar] [CrossRef]
- Viljanen, K.; Lille, M.; Heiniö, R.-L.; Buchert, J. Effect of high-pressure processing on volatile composition and odour of cherry tomato purée. Food Chem. 2011, 129, 1759–1765. [Google Scholar] [CrossRef]
- Yi, J.; Kebede, B.T.; Grauwet, T.; Van Loey, A.; Hu, X.; Hendrickx, M. A multivariate approach into physicochemical, biochemical and aromatic quality changes of purée based on Hayward kiwifruit during the final phase of ripening. Postharvest Boil. Technol. 2016, 117, 206–216. [Google Scholar] [CrossRef]
- Navarro, M.; Verret, C.; Pardon, P.; El Moueffak, A. Changes in Volatile Aromatic Compounds of Strawberry Puree Treated by High-pressure During Storage. High Press. Res. 2002, 22, 693–696. [Google Scholar] [CrossRef]
- Yen, G.; Lin, H.-T. Changes in volatile flavor components of guava juice with high-pressure treatment and heat processing and during storage. J. Agric. Food Chem. 1999, 47, 2082–2087. [Google Scholar] [CrossRef] [PubMed]








| Treatments | Storage Time (Day) | ||||
|---|---|---|---|---|---|
| 0 | 10 | 20 | 40 | ||
| Control | 3.03 ± 0.02 b | 3.28 ± 0.01 a | 3.29 ± 0.01 a | 3.29 ± 0.02 a | |
| HT | 3.02 ± 0.02 b | 3.28 ± 0.01 a | 3.28 ± 0.01 a | 3.28 ± 0.00 a | |
| 400 MPa | 5 min | 3.01 ± 0.02 b | 3.29 ± 0.01 a | 3.28 ± 0.00 a | 3.28 ± 0.01 a |
| 10 min | 3.02 ± 0.02 b | 3.28 ± 0.00 a | 3.27 ± 0.00 a | 3.29 ± 0.01 a | |
| 15 min | 3.00 ± 0.03 b | 3.27 ± 0.02 a | 3.28 ± 0.00 a | 3.27 ± 0.02 a | |
| 500 MPa | 5 min | 2.99 ± 0.02 b | 3.29 ± 0.00 a | 3.29 ± 0.02 a | 3.28 ± 0.03 a |
| 10 min | 3.01 ± 0.02 b | 3.28 ± 0.01 a | 3.29 ± 0.00 a | 3.27 ± 0.01 a | |
| 15 min | 3.02 ± 0.01 b | 3.28 ± 0.00 a | 3.28 ± 0.01 a | 3.29 ± 0.03 a | |
| 600 MPa | 5 min | 2.98 ± 0.02 b | 3.28 ± 0.02 a | 3.27 ± 0.02 a | 3.28 ± 0.01 a |
| 10 min | 3.00 ± 0.01 b | 3.28 ± 0.01 a | 3.28 ± 0.02 a | 3.28 ± 0.02 a | |
| 15 min | 3.03 ± 0.02 b | 3.28 ± 0.01 a | 3.29 ± 0.01 a | 3.29 ± 0.02 a | |
| Treatments | L* | a* | b* | ||
|---|---|---|---|---|---|
| Control | 75.05 ± 3.93 | 0.83 ± 0.19 a | 12.23 ± 2.25 | — | |
| HT | 79.34 ± 0.82 | −0.04 ± 0.02 b | 8.93 ± 0.86 | 5.48 | |
| 400 MPa | 5 min | 75.21 ± 4.70 | 0.67 ± 0.24 a | 11.24 ± 3.78 | 1.02 |
| 10 min | 73.23 ± 9.01 | 0.81 ± 0.22 a | 12.04 ± 4.30 | 1.83 | |
| 15 min | 75.21 ± 0.44 | 0.93 ± 0.12 a | 12.26 ± 0.44 | 0.19 | |
| 500 MPa | 5 min | 75.08 ± 4.60 | 0.65 ± 0.23 a | 10.86 ± 2.53 | 1.38 |
| 10 min | 78.32 ± 2.56 | 0.67 ± 0.33 a | 9.35 ± 3.06 | 4.36 | |
| 15 min | 73.69 ± 8.52 | 0.88 ± 0.20 a | 11.44 ± 3.68 | 1.57 | |
| 600 MPa | 5 min | 77.65 ± 0.82 | 0.54 ± 0.11 a | 10.99 ± 0.50 | 2.90 |
| 10 min | 78.70 ± 0.75 | −0.10 ± 0.01 b | 9.09 ± 1.88 | 4.90 | |
| 15 min | 79.92 ± 2.15 | 0.23 ± 0.02 a | 8.39 ± 1.80 | 5.41 | |
| Volatiles | Peak Area (×106) | ||||||||||
|---|---|---|---|---|---|---|---|---|---|---|---|
| Control | HT | 400 MPa | 500 MPa | 600 MPa | |||||||
| 5 min | 10 min | 15 min | 5 min | 10 min | 15 min | 5 min | 10 min | 15 min | |||
| Aldehydes | |||||||||||
| 3-Hexenal | -- | 0.98 ± 0.12 a | -- | -- | -- | 0.67 ± 0.18 b | -- | -- | 0.74 ± 0.12 b | -- | 0.67 ± 0.25 b |
| Hexanal | 58.68 ± 1.81 e | 104.92 ± 2.06 b | 124.79 ± 6.87 a | 81.67 ± 14.62 d | 101.42 ± 7.75 bc | 102.73 ± 8.31 b | 118.67 ± 10.06 a | 104.11 ± 3.8 b | 94.98 ± 5.25 bc | 90.30 ± 5.94 cd | 94.73 ± 3.94 bc |
| (E)-2-Hexenal | 32.92 ± 1.81 g | 106.87 ± 2.37 ab | 102.50 ± 5.37 b | 110.74 ± 1.00 a | 92.82 ± 6.62 c | 82.64 ± 6.87 e | 91.13 ± 7.56 cd | 83.38 ± 3.00 de | 78.33 ± 4.56 e | 78.45 ± 4.75 e | 48.53 ± 2.25 f |
| Nonanal | 1.38 ± 0.19 d | 5.31 ± 1.88 abc | 5.13 ± 1.31 abc | 4.25 ± 0.69 c | 4.50 ± 1.38 bc | 6.31 ± 1.88 abc | 7.06 ± 0.81 ab | 7.19 ± 0.94 a | 7.00 ± 1.94 ab | 6.88 ± 2.06 abc | 7.50 ± 2.56 a |
| 2-Propenal | -- | -- | -- | -- | -- | -- | -- | -- | -- | 1.56 ± 0.13 a | 1.19 ± 0.06 b |
| Butanal | -- | 1.13 ± 0.25 a | 1.00 ± 0.13 ab | 1.00 ± 0.19 ab | 0.75 ± 0.13 bc | 0.75 ± 0.19 bc | 0.75 ± 0.13 bc | 0.63 ± 0.19 c | 0.75 ± 0.19 bc | 0.69 ± 0.13 c | 0.63 ± 0.13 c |
| 2-Butenal | 0.63 ± 0.13 e | 7.06 ± 0.75 bc | 8.06 ± 1.69 b | 9.81 ± 1.75 a | 6.75 ± 0.81 bc | 7.94 ± 1.25 b | 5.63 ± 0.81 c | 6.06 ± 0.88 c | 6.69 ± 0.63 bc | 6.06 ± 0.81 c | 6.81 ± 0.69 bc |
| Pentanal | -- | 8.00 ± 1.25 ab | 9.19 ± 2.69 a | 4.06 ± 0.94 d | 6.88 ± 1.44 bc | 7.19 ± 0.94 abc | 7.69 ± 1.25 abc | 6.00 ± 0.94 bcd | 6.63 ± 0.81 bc | 5.75 ± 0.75 cd | 5.63 ± 0.75 cd |
| 3-methyl-Butanal | 0.94 ± 0.31 e | 2.13 ± 0.44 a | 1.88 ± 0.25 ab | 1.94 ± 0.19 ab | 1.94 ± 0.04 ab | -- | 1.56 ± 0.19 bcd | 1.25 ± 0.25 de | 1.69 ± 0.19 bc | 1.56 ± 0.19 bcd | 1.44 ± 0.06 cd |
| (E)-2-decenal | -- | 0.44 ± 0.06 de | 0.38 ± 0.06 e | -- | -- | 0.63 ± 0.19 cd | 0.63 ± 0.13 cd | 1.26 ± 0.21 a | 0.81 ± 0.13 bc | 1.00 ± 0.25 b | 1.00 ± 0.13 b |
| Octanal | -- | 2.22 ± 0.37 bcd | 2.03 ± 0.23 cde | 1.70 ± 0.15 e | 1.90 ± 0.20 de | 2.49 ± 0.34 ab | 2.91 ± 0.25 a | 2.55 ± 0.25 ab | 2.64 ± 0.22 ab | 2.27 ± 0.27 bcd | 2.40 ± 0.20 bc |
| (E,E)-2,4-Heptadien-al | -- | 1.25 ± 0.21 c | 1.64 ± 0.24 bc | 3.64 ± 0.70 a | 1.70 ± 0.23 bc | 1.92 ± 0.33 b | 1.35 ± 0.20 c | 1.38 ± 0.19 c | 1.54 ± 0.25 bc | 1.23 ± 0.18 c | 1.56 ± 0.26 bc |
| 2-decenal | 0.60 ± 0.03 de | 4.04 ± 1.05 c | 2.75 ± 0.77 cd | 3.89 ± 0.98 c | 4.47 ± 1.37 bc | 4.58 ± 1.46 bc | 5.01 ± 1.78 bc | -- | 6.68 ± 1.74 ab | 7.48 ± 2.01 a | 8.42 ± 2.05 a |
| 2-Undecenal | 0.81 ± 0.13 d | 4.69 ± 0.31 c | 3.44 ± 1.31 c | 4.56 ± 0.25 c | 5.44 ± 0.21 b | 4.81 ± 0.25 c | -- | 8.38 ± 2.06 a | 8.38 ± 1.88 a | 9.81 ± 1.56 a | 10.25 ± 1.94 a |
| Alcohols | |||||||||||
| Ethanol | -- | 2.81 ± 0.38 b | 3.19 ± 0.09 a | 1.69 ± 0.31 c | 1.38 ± 0.19 c | 0.44 ± 0.13 d | 0.44 ± 0.19 d | 0.31 ± 0.06 de | 0.38 ± 0.06 d | 0.25 ± 0.19 de | 0.25 ± 0.06 de |
| 1-Pentanol | -- | -- | -- | 2.44 ± 0.07 a | 0.25 ± 0.02 c | 0.31 ± 0.06 b | -- | -- | -- | -- | -- |
| 1-Hexanol | 94.19 ± 6.00 a | 16.25 ± 0.31 cd | 16.38 ± 0.81 c | 55.13 ± 2.48 b | 14.56 ± 1.00 cd | 14.00 ± 1.19 cd | 13.81 ± 1.06 cd | 12.81 ± 0.44 d | 14.88 ± 0.81 cd | 13.13 ± 0.81 cd | 14.13 ± 0.63 cd |
| 1-Nonanol | -- | -- | -- | -- | -- | -- | -- | -- | -- | -- | 0.19 ± 0.00 |
| 1-Octen-3-ol | -- | 14.13 ± 0.25 bcd | 14.13 ± 0.75 bcd | 20.88 ± 3.06 a | 16.69 ± 1.06 ab | 16.94 ± 1.44 ab | 10.31 ± 0.13 d | 14.81 ± 0.56 bcd | 11.81 ± 0.63 cd | 13.69 ± 0.88 bcd | 15.31 ± 0.69 bc |
| 1-Octanol | 19.31 ± 3.50 a | 3.63 ± 0.44 c | 3.75 ± 0.19 c | 11.50 ± 0.31 b | 3.31 ± 0.25 c | 3.25 ± 0.56 c | -- | 3.19 ± 0.38 c | -- | -- | 2.63 ± 0.44 c |
| 2-Octanol | 2.94 ± 0.25 | -- | -- | -- | -- | -- | -- | -- | -- | -- | -- |
| Phenylethyl Alcohol | 7.56 ± 2.06 a | -- | -- | -- | 3.38 ± 0.13 b | 1.31 ± 0.06 c | -- | -- | -- | -- | -- |
| Glycidol | 8.06 ± 1.38 | -- | -- | -- | -- | -- | -- | -- | -- | -- | -- |
| 1-penten-3-ol | -- | 1.44 ± 0.19 b | -- | 2.25 ± 0.25 a | -- | -- | 1.31 ± 0.13 b | -- | -- | -- | 1.13 ± 0.06 c |
| 3-methyl-1-Butanol | 52.88 ± 7.63 | -- | -- | -- | -- | -- | -- | -- | -- | -- | -- |
| (E)-2-Hexen-1-ol | -- | 9.31 ± 0.56 b | 8.56 ± 1.81 bc | 20.38 ± 1.38 a | 8.06 ± 0.25 bcd | 7.00 ± 0.13 d | 7.50 ± 0.36 cd | 6.94 ± 0.19 d | 8.06 ± 0.31 bcd | 6.94 ± 0.36 d | 8.00 ± 0.38 cd |
| Ketones | |||||||||||
| 3-Hexanone | 0.19 ± 0.06 c | 0.25 ± 0.13 bc | 0.50 ± 0.10 a | -- | 0.50 ± 0.19 a | 0.38 ± 0.13 ab | 0.44 ± 0.06 a | -- | 0.44 ± 0.13 a | 0.38 ± 0.00 ab | 0.50 ± 0.06 a |
| 2-Hexanone | 0.56 ± 0.06 cd | 1.06 ± 0.13bc | 2.31 ± 0.25 a | -- | 2.25 ± 1.88 a | 1.63 ± 0.13 ab | 1.88 ± 0.19 ab | -- | -- | 1.50 ± 0.13 abc | 2.19 ± 0.19 a |
| 2-Pentanone | -- | -- | -- | -- | -- | 0.19 ± 0.02 b | 0.31 ± 0.06 a | -- | 0.25 ± 0.13 ab | -- | -- |
| 1-Penten-3-one | 0.56 ± 0.09 e | 10.13 ± 0.19 b | 13.19 ± 0.69 a | 5.06 ± 0.81 d | -- | -- | -- | 6.44 ± 0.25 cd | 7.88 ± 0.44 bc | 6.63 ± 0.38 cd | 8.13 ± 0.31 bc |
| 1-Octen-3-one | 9.88 ± 2.91 h | 26.00 ± 0.56 bc | 24.44 ± 1.56 cde | 30.75 ± 4.94 a | 20.25 ± 1.44 g | 21.44 ± 1.88 efg | 29.31 ± 2.63 ab | 24.19 ± 0.88 cdef | 20.63 ± 1.13 fg | 25.19 ± 1.56 cd | 22.19 ± 1.00 defg |
| 2,5-Hexanedione | -- | 1.31 ± 0.25 a | -- | -- | -- | -- | -- | 1.13 ± 0.19 b | -- | 0.19 ± 0.01 c | 0.19 ± 0.02 c |
| 3-Octanone | 11.25 ± 1.13 b | -- | -- | 15.63 ± 1.69 a | 0.31 ± 0.06 d | -- | 2.38 ± 0.19 c | -- | 0.25 ± 0.06 d | 0.25 ± 0.13 d | 0.31 ± 0.06 d |
| 3-Pentanone | 2.63 ± 0.31 b | -- | -- | 13.31 ± 2.00 a | -- | -- | -- | -- | -- | -- | -- |
| 3-Heptanone | 2.88 ± 0.38 b | 1.75 ± 0.13 c | 3.50 ± 0.25 a | -- | 3.44 ± 0.31 a | 2.63 ± 0.19 b | -- | 1.13 ± 0.13 d | -- | -- | 3.31 ± 0.31 a |
| 2-Heptanone | 4.75 ± 0.63 a | 1.13 ± 0.06 de | 1.75 ± 0.19 bc | 1.75 ± 0.31 bc | 1.50 ± 0.13 bcd | 1.31 ± 0.13 de | 1.44 ± 0.13cd | 0.94 ± 0.06 e | 1.50 ± 0.19 b | 1.44 ± 0.13 cd | 1.88 ± 0.25 b |
| Esters | |||||||||||
| Ethyl Acetate | 5.20 ± 0.50 | 4.88 ± 0.38 | 4.94 ± 0.29 | 4.81 ± 0.56 | 5.00 ± 0.38 | 5.13 ± 0.25 | 5.38 ± 0.25 | 4.88 ± 0.25 | 4.81 ± 0.31 | 4.94 ± 0.13 | 5.00 ± 0.19 |
| Acetic acid, pentyl ester | 2.75 ± 0.81 | -- | -- | -- | -- | -- | -- | -- | -- | -- | -- |
| Butyl Acetate | 4.38 ± 1.31 a | 1.88 ± 0.02 b | 2.00 ± 0.06 b | -- | -- | -- | -- | -- | -- | -- | -- |
| Acetic acid, hexyl ester | 3.56 ± 1.19 | -- | -- | -- | -- | -- | -- | -- | -- | -- | -- |
| n-Propyl acetate | -- | 0.64 ± 0.08 abcde | 0.88 ± 0.21 ab | 0.61 ± 0.18 bcde | 0.91 ± 0.20 a | 0.59 ± 0.17 cde | 0.71 ± 0.23 abcd | 0.41 ± 0.11 e | 0.53 ± 0.15 cde | 0.49 ± 0.14 de | 0.80 ± 0.20 abc |
| Decanoic acid, ethyl ester | 1.19 ± 0.31 a | 0.44 ± 0.13 cd | 0.44 ± 0.19 cd | 0.31 ± 0.13 d | 0.63 ± 0.13 bc | 0.31 ± 0.06 d | 0.81 ± 0.13 b | -- | -- | -- | -- |
| Octanoic acid, ethyl ester | 1.44 ± 0.38 bc | 0.50 ± 0.06 ef | 0.56 ± 0.13 ef | -- | 0.89 ± 0.22 cde | 2.56 ± 0.75 a | 1.94 ± 0.75 ab | 1.25 ± 0.50 cd | 1.13 ± 0.19 cde | 0.94 ± 0.13 cde | 0.75 ± 0.13 de |
| Acids | |||||||||||
| 2-ethyl-Hexaoic acid | 0.38 ± 0.13 ef | 0.31 ± 0.06 f | 0.75 ± 0.19 b | 0.56 ± 0.06 cd | 0.94 ± 0.19 a | 0.69 ± 0.19 bc | 0.81 ± 0.13 ab | 0.50 ± 0.06 de | 0.75 ± 0.13 b | 0.75 ± 0.25 b | 0.81 ± 0.10 ab |
| Octanoic acid | 2.19 ± 1.22 b | 0.25 ± 0.00 e | 0.44 ± 0.00 de | 1.00 ± 0.11 cd | 4.19 ± 0.31 a | 1.94 ± 0.06 b | 1.13 ± 0.06 c | 0.88 ± 0.06 cde | 0.81 ± 0.06 cde | 0.63 ± 0.06 cde | 0.50 ± 0.00 cde |
| Nonanoic acid | 0.25 ± 0.01 | 0.25 ± 0.13 | 0.38 ± 0.19 | -- | 0.31 ± 0.03 | 0.38 ± 0.06 | 0.44 ± 0.19 | 0.44 ± 0.25 | 0.44 ± 0.13 | 0.38 ± 0.00 | 0.31 ± 0.13 |
| Dodecanoic acid | 0.56 ± 0.13 | -- | -- | -- | -- | -- | -- | -- | -- | -- | -- |
| n-Decanoic acid | 1.50 ± 0.31 b | -- | -- | -- | 0.81 ± 0.25 c | 0.38 ± 0.13 d | 2.00 ± 0.07 a | 0.19 ± 0.06 de | 0.19 ± 0.00 de | 0.19 ± 0.01 de | -- |
© 2020 by the authors. Licensee MDPI, Basel, Switzerland. This article is an open access article distributed under the terms and conditions of the Creative Commons Attribution (CC BY) license (http://creativecommons.org/licenses/by/4.0/).
Share and Cite
Chen, Y.; Feng, X.; Ren, H.; Yang, H.; Liu, Y.; Gao, Z.; Long, F. Changes in Physicochemical Properties and Volatiles of Kiwifruit Pulp Beverage Treated with High Hydrostatic Pressure. Foods 2020, 9, 485. https://doi.org/10.3390/foods9040485
Chen Y, Feng X, Ren H, Yang H, Liu Y, Gao Z, Long F. Changes in Physicochemical Properties and Volatiles of Kiwifruit Pulp Beverage Treated with High Hydrostatic Pressure. Foods. 2020; 9(4):485. https://doi.org/10.3390/foods9040485
Chicago/Turabian StyleChen, Yajing, Xiaoping Feng, Hong Ren, Hongkai Yang, Ye Liu, Zhenpeng Gao, and Fangyu Long. 2020. "Changes in Physicochemical Properties and Volatiles of Kiwifruit Pulp Beverage Treated with High Hydrostatic Pressure" Foods 9, no. 4: 485. https://doi.org/10.3390/foods9040485
APA StyleChen, Y., Feng, X., Ren, H., Yang, H., Liu, Y., Gao, Z., & Long, F. (2020). Changes in Physicochemical Properties and Volatiles of Kiwifruit Pulp Beverage Treated with High Hydrostatic Pressure. Foods, 9(4), 485. https://doi.org/10.3390/foods9040485
