Novel Ingredients Based on Grapefruit Freeze-Dried Formulations: Nutritional and Bioactive Value
Abstract
1. Introduction
2. Materials and Methods
2.1. Sample Preparation and Treatments
2.2. Freeze-Drying Kinetics: Mathematical Modeling
- MR (moisture ratio) = where,
- M: Water mass fraction of the sample at each drying time (g water/g product);
- Me: Water mass fraction of at the end of the FD process (g water/g product);
- M0: Water mass fraction of sample before the FD process (g water/g product).
- a, b, c and k: Drying constants;
- n: Drying exponent;
- t: Freeze-drying time (h);
2.3. Analytical Determinations: Physicochemical Parameters
2.3.1. Water Content
2.3.2. Water Activity
2.3.3. Soluble Solid Content
2.3.4. Porosity
2.3.5. Color Measurement
2.4. Analytical Determinations: Nutritional Components
2.4.1. Organic Acids
2.4.2. Ascorbic Acid and Vitamin C
2.4.3. Vitamin A and E
2.4.4. Flavonoids Determination
2.4.5. Total, Soluble, and Insoluble Dietary Fiber
2.4.6. Ash Content and Mineral Composition
2.5. Functional Properties
Antioxidant Capacity
2.6. Statistical Analysis
- RSSg: Residual square sum of the function fitted to a group of series;
- RSSi: Residual square sum of the function fitted to an individual series;
- DFDR: Difference between freedom degrees of the residuals of the function fitted to a group of series and the sum of freedom degrees of the residuals of the individual fittings of the series involved in the groups;
- FDRg: Freedom degrees of the residuals of the function fitted to a group of series;
- FDRi: Freedom degrees of the residuals of the function fitted to an individual series.
- SFDRi: Sum of freedom degrees of the residuals of the function fitted to an individual series.
3. Results and Discussion
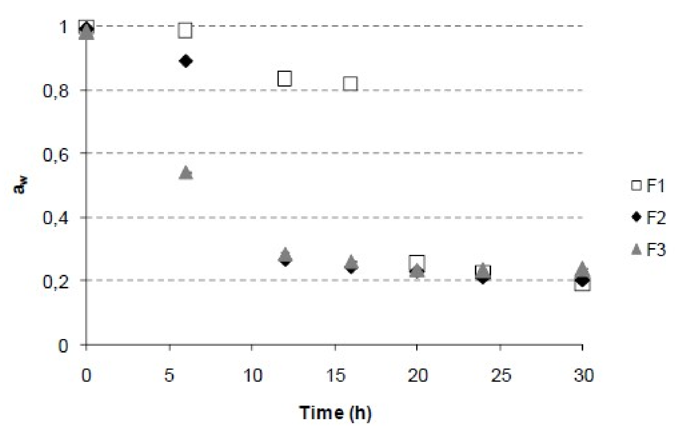
3.1. Freeze-Drying Kinetics of Grapefruit Formulations
3.2. Physicochemical Properties of Freeze-Dried Formulations
3.3. Composition of Freeze-Dried Formulations
3.4. Antioxidant Capacity of Freeze-Dried Formulations
4. Conclusions
Author Contributions
Funding
Conflicts of Interest
References
- Rechkemmer, G. Funktionelle Lebensmittel-Zukunft der Ernahrung oder Marketing-Strategie? Molk Zeit Welt Milch 2001, 55, S-332. [Google Scholar]
- Cebadera-Miranda, L.; Morales, P.; Cámara, M. Bioactive compounds in oranges from the Mediterranean climate area. In The Mediterranean Diet: An Evidence-Based Approach, 2nd ed.; Elservier: Amsterdam, The Netherlands, 2019. [Google Scholar]
- Xu, G.; Liu, D.; Chen, J.; Ye, X.; Ma, Y.; Shi, J. Juice components and antioxidant capacity of citrus varieties cultivated in China. Food Chem. 2008, 106, 545–551. [Google Scholar] [CrossRef]
- Igual, M.; García-Martínez, E.; Camacho, M.M.; Martínez-Navarrete, N. Effect of thermal treatment and storage on the stability of organic acids and the functional value of grapefruit juice. Food Chem. 2010, 118, 291–299. [Google Scholar] [CrossRef]
- Cebadera-Miranda, L.; Domínguez, L.; Dias, M.I.; Barros, L.; Ferreira, I.C.F.R.; Igual, M.; Martínez-Navarrete, N.; Fernández-Ruiz, V.; Morales, P.; Cámara, M. Sanguinello and Tarocco (Citrus Sinensis [L.] Osbeck): Bioactive compounds and color appearance of blood oranges. Food Chem. 2019, 270, 395–402. [Google Scholar] [CrossRef] [PubMed]
- Ratti, C. Hot air and freeze-drying of high-value foods: A review. J. Food Eng. 2001, 49, 311–319. [Google Scholar] [CrossRef]
- George, J.P.; Datta, A.K. Development and validation of heat and mass transfer models for freeze-drying of vegetable slices. J. Food Eng. 2002, 52, 89–93. [Google Scholar] [CrossRef]
- Moraga, G.; Igual, M.; García-Martínez, E.; Mosquera, L.H.; Martínez-Navarrete, N. Effect of relative humidity and storage time on the bioactive compounds and functional properties of grapefruit powder. J. Food Eng. 2012, 112, 191–199. [Google Scholar] [CrossRef]
- Adhikari, B.; Howes, T.; Bhandari, B.R.; Truong, V. In situ characterization of stickiness of sugar-rich foods using a linear actuator driven stickiness testing device. J. Food Eng. 2003, 58, 11–22. [Google Scholar] [CrossRef]
- Gabas, A.L.; Telis, V.R.N.; Sobral, P.J.A.; Telis-Romero, J. Effect of maltodextrin and arabic gum in water vapor sorption thermodynamic properties of vacuum dried pineapple pulp powder. J. Food Eng. 2007, 82, 246–252. [Google Scholar] [CrossRef]
- Liu, Y.; Zhao, Y.; Feng, X. Energy analysis for a freeze-drying process. Appl. Therm. Eng. 2008, 28, 675–690. [Google Scholar] [CrossRef]
- Zhang, M.; Tang, J.; Mujumdarc, A.S.; Wang, S. Trends in microwave related drying of fruits and vegetables. Trends Food Sci. Technol. 2006, 17, 524–534. [Google Scholar] [CrossRef]
- Bondaruk, J.; Markowski, M.; Błaszczak, W. Effect of drying conditions on the quality of vacuum-microwave dried potato cubes. J. Food Eng. 2007, 81, 306–312. [Google Scholar] [CrossRef]
- Fahloul, D.; Lahbari, M.; Benmoussa, H.; Mezdour, S. Effect of osmotic dehydration on the freeze drying kinetics of apricots. J. Food Agric. Environ. 2009, 7, 117–121. [Google Scholar]
- Benlloch-Tinoco, M.; Moraga, G.; Camacho, M.M.; Martínez-Navarrete, N. Drying technology combination for high quality kiwifruit powder production. Food Bioprocess Technol. 2013, 6, 3544–3553. [Google Scholar] [CrossRef]
- Paengkanya, S.; Soponronnarit, S.; Nathakaranakule, A. Application of microwaves for drying of durianchips. Food Bioprod. Process. 2015, 96, 1–11. [Google Scholar] [CrossRef]
- Agudelo, C.; Marchirant, E.; Martínez-Lahuerta, J.J.; Igual, M.; Martínez-Navarrete, N. Optimization of Grapefruit Pulp Formulation for Freeze-Drying. In Proceedings of the 28th EFFoST International Conference/7th International Food Factory for the Future Conference. Innovations in Attractive and Sustainable Food for Health, Uppsala, Sweden, 25–28 November 2014. P1.041. [Google Scholar]
- Agudelo, C.; Igual, M.; Camacho, M.M.; Martínez-Navarrete, N. Effect of process technology on the nutritional, functional, and physical quality of grapefruit powder. Food Sci. Technol. Int. 2017, 23, 61–74. [Google Scholar] [CrossRef]
- González, F.; Igual, M.; Camacho, M.M.; Martínez-Navarrete, N. Impact of temperature, gum Arabic and carboxymethyl cellulose on some physical properties of spray-dried grapefruit. Int. J. Food Eng. 2018, 14, 1–11. [Google Scholar] [CrossRef]
- Cen, H.; Bao, Y.; He, Y.; Sun, D.W. Visible and near infrared spectroscopy for rapid detection of citric and tartaric acids in orange juice. J. Food Eng. 2007, 82, 253–260. [Google Scholar] [CrossRef]
- Munzuroglu, O.; Karatas, F.; Geckil, H. The vitamin and selenium contents of apricot fruit of different varieties cultivated in different geographical regions. Food Chem. 2003, 83, 205–212. [Google Scholar] [CrossRef]
- Igual, M.; García-Martínez, E.; Camacho, M.M.; Martínez-Navarrete, N. Stability of micronutrients and phytochemicals of grapefruit jam as affected by the obtention process. Food Sci. Technol. Int. 2016, 22, 203–212. [Google Scholar] [CrossRef]
- Horwitz, W.; Latimer, G.W. Official Methods of Analysis. AOAC International, 18th ed.; Association of Analytical Communities International: Rockville, MD, USA, 2005. [Google Scholar]
- Cámara, M.; Fernández-Ruiz, V.; Morales, P.; Sánchez-Mata, M.C. Fiber compounds and human health. Curr. Pharm. Des. 2017, 23, 2835–2849. [Google Scholar] [CrossRef]
- Fernández-Ruiz, V.; Galiana, L.; Sánchez-Mata, M.C.; Chaya, C.; Roselló, S.; Cámara, M.; Torija, M.E.; Nuez, F. Internal quality characterization of fresh tomato fruits. HortScience 2004, 39, 339–345. [Google Scholar] [CrossRef]
- Sánchez-Moreno, C.; Plaza, L.; De Ancos, B.; Cano, M.P. Quantitative bioactive compounds assessment and their relative contribution to the antioxidant capacity of commercial orange juices. J. Sci. Food Agric. 2003, 83, 430–439. [Google Scholar] [CrossRef]
- Moraga, G.; Martínez-Navarrete, N.; Chiralt, A. Water sorption isotherms and glass transition in strawberries: Influence of pretreatment. J. Food Eng. 2004, 62, 315–321. [Google Scholar] [CrossRef]
- Igual, M.; García-Martínez, E.; Camacho, M.M.; Martínez-Navarrete, N. Physicochemical and sensorial properties of grapefruit jams as affected by processing. Food Bioprocess Technol. 2013, 6, 177–185. [Google Scholar] [CrossRef]
- Contreras, C.; Martín-Esparza, M.E.; Chiralt, A.; Martínez-Navarrete, N. Influence of microwave application on convective drying: Effects on drying kinetics, and optical and mechanical properties of apple and strawberry. J. Food Eng. 2008, 88, 55–64. [Google Scholar] [CrossRef]
- Simal, S.; Femenia, A.; Garau, M.C.; Roselló, C. Use of exponential, Page’s and diffusional models to simulate the drying kinetics of kiwi fruit. J. Food Eng. 2005, 66, 323–328. [Google Scholar] [CrossRef]
- Azzouz, S.; Guizani, A.; Jomaa, W.; Belghith, A. Moisture diffusivity and drying kinetic equation of convective drying of grapes. J. Food Eng. 2002, 55, 323–330. [Google Scholar] [CrossRef]
- Bodart, M.; Peñaranda, R.; Deneyerc, A.; Flamant, G. Photometry and colorimetry characterization of materials in daylighting evaluation tools. Build. Environ. 2008, 43, 2046–2058. [Google Scholar] [CrossRef]
- Klimczak, I.; Malecka, M.; Szlachta, M.; Gliszcynska, A. Effect of storage on the content of polyphenols, vitamin C and the antioxidant activity of orange juices. J. Food Compos. Anal. 2007, 20, 313–322. [Google Scholar] [CrossRef]
- Igual, M.; Ramires, S.; Mosquera, L.H.; Martínez-Navarrete, N. Optimization of spray drying conditions for lulo (Solanum quitoense L.) pulp. Powder Technol. 2014, 256, 233–238. [Google Scholar] [CrossRef]
- Gorinstein, S.; Huang, D.; Leontowicz, H.; Leontowicz, M.; Yamamoto, K.; Soliva-Fortuny, R.; Martin-Belloso, O.; Martinez-Ayala, A.L.; Trakhtenberg, S. Determination of Naringin and Hesperidin in citrus fruit by HPLC. The antioxidant potential of citrus fruit. Acta Chrom. 2006, 17, 108–124. [Google Scholar]
- Peterson, J.; Beecher, G.R.; Bhagwat, S.A.; Dwyer, J.T.; Gebhardt, S.E.; Haytowitz, D.B.; Holden, J.M. Flavanones in grapefruit, lemons and limes: A compilation and review of the data from the analytical literature. J. Food Compos. Anal. 2006, 19, 74–80. [Google Scholar] [CrossRef]
- Vanamala, J.; Reddivari, L.; Yoo, K.S.; Pike, L.M.; Patil, B.S. Variation in the content of bioactive flavonoid in different brands of orange and grapefruit juices. J. Food Compos. Anal. 2006, 157–166. [Google Scholar] [CrossRef]
- Igual, M.; García-Martínez, E.; Camacho, M.M.; Martínez-Navarrete, N. Changes in flavonoid content of grapefruit juice caused by thermal treatment and storage. Innov. Food Sci. Emerg. Technol. 2011, 12, 153–162. [Google Scholar] [CrossRef]
- Pérez-Alonso, C.; Beristain, C.I.; Lobato-Calleros, C.; Rodríguez-Huezo, M.E.; Vernon-Carter, E.J. Thermodynamic analysis of the sorption isotherms of pure and blended carbohydrate polymers. J. Food Eng. 2006, 77, 753–760. [Google Scholar] [CrossRef]
- Czech, A.; Zarycka, E.; Yanovych, D.; Zasadna, Z.; Grzegorczyk, I.; Kłys, S. Mineral Content of the Pulp and Peel of Various Citrus Fruit Cultivars. Bio. Trace Elem. Res. 2019, 1–9. [Google Scholar] [CrossRef]
- Pohl, H.R.; Wheeler, J.S.; Murray, H.E. Sodium and potassium in health and disease. In Interrelations between Essential Metal Ions and Human Diseases; Sigel, A., Sigel, H., Sigel, R.K.O., Eds.; Springer: Dordrecht, The Netherlands, 2013; pp. 29–47. [Google Scholar] [CrossRef]
- Turner, T.; Burry, B.J. Potential Nutritional Benefits of Current Citrus Consumption. Agriculture 2013, 3, 170–187. [Google Scholar] [CrossRef]
- Latham, M.C. Minerales. In Nutrición Humana en el Mundo en Desarrollo; FAO: New York, NY, USA, 2002; Chapter 10. [Google Scholar]
- Abbaspour, N.; Hurrell, R.; Kelishadi, R. Review on iron and its importance for human health. J. Res. Med. Sci. 2014, 19, 3–11. [Google Scholar]
- De Baaij, J.H.F.; Hoenderop, J.G.J.; Bindels, R.J.M. Magnesium in man: Implications for health and disease. Physiol. Rev. 2015, 95, 1–46. [Google Scholar] [CrossRef]
- Bahorun, T.; Luximon-Ramma, A.; Crozier, A.; Aruoma, O. Total phenol, flavonoid, proanthocyanidin and vitamin C levels and antioxidant activities of Mauritian vegetables. J. Sci. Food Agric. 2004, 84, 1553–1561. [Google Scholar] [CrossRef]
- Tavirini, S.; D’Innocenti, E.; Remorini, D.; Massai, R.; Guidi, L. Antioxidant capacity, ascorbic acid, total phenols and carotenoids changes during harvest and after storage of Hayward kiwifruit. Food Chem. 2008, 107, 282–288. [Google Scholar] [CrossRef]



| Formulation | Fruit Puree (g) | Gum Arabic (g/100 gfresh fruit) | Bamboo Fiber (g/100 gfresh fruit) | xw gw/100 gF |
|---|---|---|---|---|
| F1 | 100 | 0.73 | 0 | 94 |
| F2 | 100 | 2.6 | 0.32 | 80 |
| F3 | 100 | 3.8 | 0.47 | 71 |
| Sample Code | Model | |||
|---|---|---|---|---|
| Page | Logarithmic | Midilli-Kucuk | ||
| F1 | Model constants | k: 0.0070 n: 1.9515 | a: 1.3825 k: 0.0533 c: −0.3251 | a: 1.0092 k: 0.0069 n: 1.9757 b: 0.0006 |
| Adj. R2 | 97.33 | 91.61 | 95.67 | |
| RMSE | 0.0427 | 0.0774 | 0.0040 | |
| F2 | Model constants | k: 0.1027 n: 1.2363 | a: 0.9906 k: 0.1788 c: 0.1672 | a: 1.0000 k: 0.0550 n: 1.5989 b: 0.0019 |
| Adj. R2 | 99.08 | 98.74 | 99.89 | |
| RMSE | 0.0245 | 0.0244 | 0.0062 | |
| F3 | Model constants | k: 1.2000 n: 0.2813 | a: 0.9387 k: 0.4015 c: 0.0612 | a: 1.0000 k: 0.8671 n: 0.4670 b: 0.0014 |
| Adj. R2 | 99.92 | 99.93 | 99.98 | |
| RMSE | 0.0059 | 0.0044 | 0.0025 | |
| Page Model | Midilli-Kucuk Model | |
|---|---|---|
| F1 | x | x |
| F2 | x | x |
| F3 | x | x |
| SCRG | 0.33 | 0.33 |
| SCRi | 0.0276 | 0.0211 |
| GLRG | 19 | 17 |
| DGLR | 4 | 8 |
| SGLR | 15 | 9 |
| E | 41.612 * | 16.506 * |
| F (95%) | 3.056 | 3.230 |
| Parameter | G | F1 | F2 | F3 |
|---|---|---|---|---|
| Water content (g/100 g) | 4.4 (0.2) a | 4.7 (0.2) a | 4.9 (0.5) a | 4.9 (0.3) a |
| Water activity | 0.266 (0.003) c | 0.286 (0.003) b | 0.293 (0.003) a | 0.294 (0.003) a |
| Porosity | 0.672 (0.006) b | 0.6975 (0.0019) a | 0.684 (0.004) ab | 0.690 (0.004) a |
| L* | 70.89 (0.1700) c | 70.7 (0.4) c | 72.9 (0.5) b | 75.48 (0.12) a |
| a* | 15.397 (0.018) a | 14.2 (0.2) c | 14.54 (0.072) b | 12.2 (0.08) d |
| b* | 33.12 (0.0200) a | 30.3 (0.4) b | 30.170 (0.104) b | 24.72 (0.16) c |
| h* | 65.07 (0.0200) a | 64.95 (0.07) a | 64.27 (0.08) b | 63.9 (0.2) c |
| C* | 36.53 (0.0300) a | 33.5 (0.5) b | 33.49 (0.12) b | 27.53 (0.13) c |
| E* | - | 3.1 (0.5) c | 3.72 (0.15) b | 10.12 (0.15) a |
| Compound | G | F1 | F2 | F3 |
|---|---|---|---|---|
| Total fiber | 25.5 (0.7) b | 19.8 (0.2) c | 36.5 (0.8) a | 36.7 (0.3) a |
| Tartaric acid | 1645 (54) a | 1419 (156) ab | 1304 (23) b | 1535 (23) ab |
| Malic acid | 2310 (16) a | 1727 (31) b | 1623 (39) c | 1788 (39) b |
| Citric acid | 2943 (8) a | 1964 (70) b | 2228 (163) b | 2805 (78) a |
| Vitamin C | 356 (8) a | 323 (8) b | 313 (11) b | 291 (3) c |
| Vitamin A | 7.7 (0.3) a | 4.8 (0.4) c | 6.0 (0.3) b | 3.8 (0.5) c |
| Vitamin E | 1.7 (0.2) a | 0.58 (0.05) c | 1.20 (0.08) b | 0.38 (0.07) c |
| Flavonoid | G | F1 | F2 | F3 |
|---|---|---|---|---|
| NAT | 285 (9) a | 259 (6) b | 255 (5) b | 249 (6) b |
| NAR | 1516 (58) a | 1414 (42) b | 1410 (41) b | 1260 (59) c |
| HES | 26 (3) a | 22.4 (1.0) b | 21 (3) bc | 18.6 (1.1) c |
| NEOH | 5.6 (0.4) a | 4.0 (0.5) b | 5.6 (0.5) a | 5.4 (0.4) a |
| DID | 13.9 (1.4) b | 14.3 (1.2) ab | 13.6 (0.3) b | 16.0 (0.6) a |
| PON | 16.9 (0.5) a | 15.5 (0.7) b | 13.6 (0.7) c | 12.8 (0.4) c |
| NAG | 51.5 (1.3) b | 60 (3) a | 51 (5) b | 54 (4) ab |
| QUER | 1.09 (0.15) a | 1.20 (0.08) a | 0.341 (0.014) c | 0.67 (0.07) b |
| Total Flavonoids | 1916 (62) a | 1791 (46) b | 1771 (37) b | 1618 (67) c |
© 2019 by the authors. Licensee MDPI, Basel, Switzerland. This article is an open access article distributed under the terms and conditions of the Creative Commons Attribution (CC BY) license (http://creativecommons.org/licenses/by/4.0/).
Share and Cite
Igual, M.; Cebadera, L.; Cámara, R.M.; Agudelo, C.; Martínez-Navarrete, N.; Cámara, M. Novel Ingredients Based on Grapefruit Freeze-Dried Formulations: Nutritional and Bioactive Value. Foods 2019, 8, 506. https://doi.org/10.3390/foods8100506
Igual M, Cebadera L, Cámara RM, Agudelo C, Martínez-Navarrete N, Cámara M. Novel Ingredients Based on Grapefruit Freeze-Dried Formulations: Nutritional and Bioactive Value. Foods. 2019; 8(10):506. https://doi.org/10.3390/foods8100506
Chicago/Turabian StyleIgual, Marta, Laura Cebadera, Rosa Mᵃ Cámara, Claudia Agudelo, Nuria Martínez-Navarrete, and Montaña Cámara. 2019. "Novel Ingredients Based on Grapefruit Freeze-Dried Formulations: Nutritional and Bioactive Value" Foods 8, no. 10: 506. https://doi.org/10.3390/foods8100506
APA StyleIgual, M., Cebadera, L., Cámara, R. M., Agudelo, C., Martínez-Navarrete, N., & Cámara, M. (2019). Novel Ingredients Based on Grapefruit Freeze-Dried Formulations: Nutritional and Bioactive Value. Foods, 8(10), 506. https://doi.org/10.3390/foods8100506

