Application of a Surimi-Based Coating to Improve the Quality Attributes of Shrimp during Refrigerated Storage
Abstract
:1. Introduction
2. Materials and Methods
2.1. Materials
2.2. Preparation of Surimi Protein Solution
2.3. Shrimp Coating
2.4. Instrumental Color
2.5. pH Value
2.6. Texture Properties
2.7. TBARS Value
2.8. Aerobic Plate Counts
2.9. Melanosis
2.10. Sensory Analysis
2.11. Statistical Analysis
3. Results
3.1. Instrumental Color
3.2. pH Value
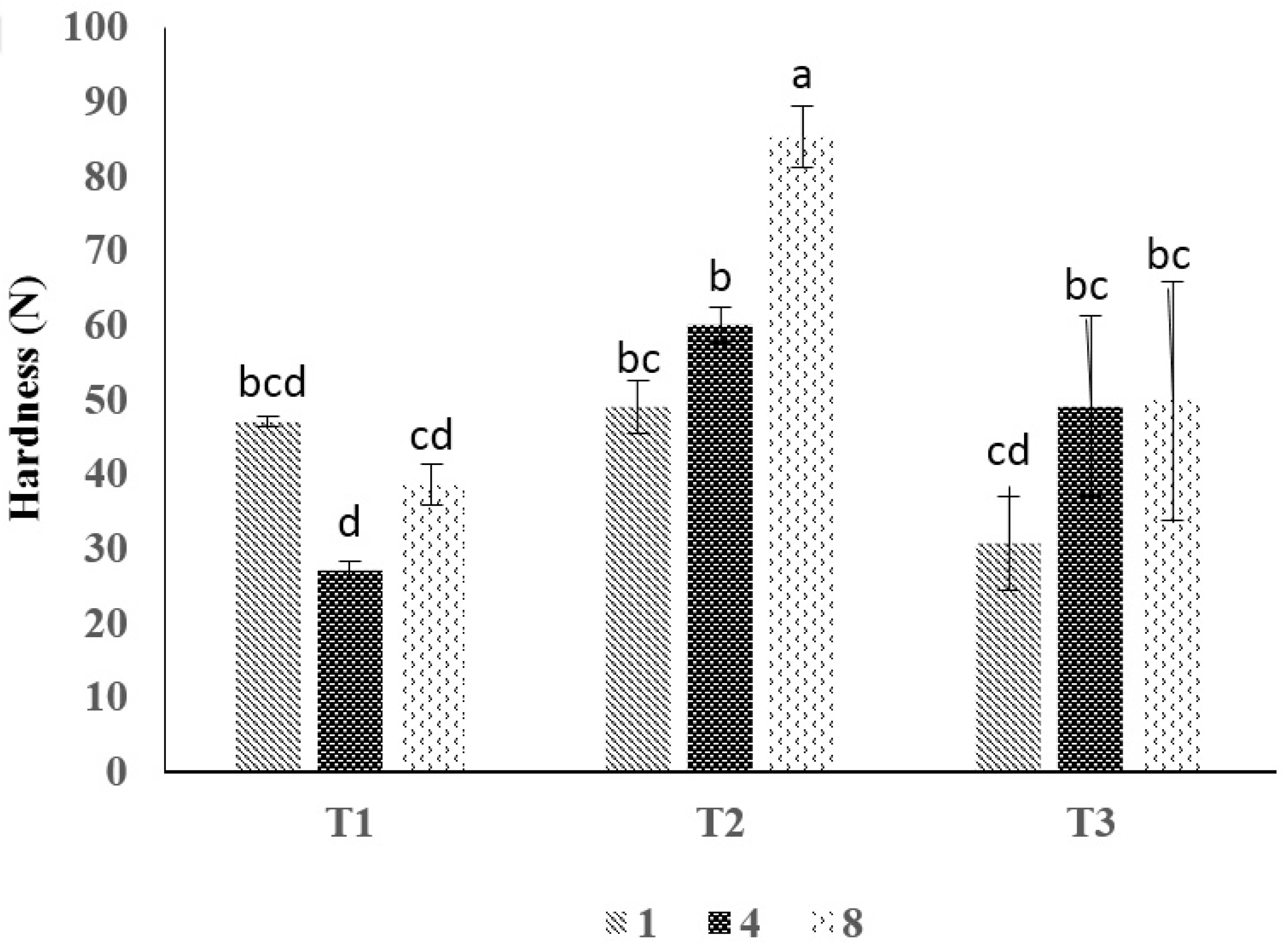
3.3. Texture Properties
3.4. TBARS Value
3.5. Aerobic Plate Counts
3.6. Melanosis
3.7. Sensory Analysis
4. Discussion
4.1. Instrumental Color
4.2. pH Value
4.3. Texture Properties
4.4. TBARS Value
4.5. Aerobic Plate Counts
4.6. Melanosis
4.7. Sensory Analysis
5. Conclusions
Acknowledgments
Author Contributions
Conflicts of Interest
References
- Norhana, M.W.; Poole, S.E.; Deeth, H.C.; Dykes, G.A. Prevalence, persistence and control of Salmonella and Listeria in shrimp and shrimp products: A review. Food Control 2010, 21, 343–361. [Google Scholar] [CrossRef]
- Sriket, P.; Benjakul, S.; Visessanguan, W.; Kijroongrojana, K. Comparative studies on chemical composition and thermal properties of black tiger shrimp (Penaeus monodon) and white shrimp (Penaeus vannamei) meats. Food Chem. 2007, 103, 1199–1207. [Google Scholar] [CrossRef]
- Yassoralipour, A.; Bakar, J.; Rahman, R.A.; Bakar, F.A.; Golkhandan, E. Effect of different temperatures on the free amino acids, physico-chemical and microbial changes during storage of Barramundi (Lates calcarifer) fillets. Adv. J. Food Sci. Technol. 2013, 5, 822–828. [Google Scholar]
- Montville, T.J.; Matthews, K.R.; Kniel, K.E. Food Microbiology: An Introduction, 3rd ed.; ASM Press: Washington, DC, USA, 2012. [Google Scholar]
- Bak, L.S.; Andersen, A.B.; Andersen, E.M.; Bertelsen, G. Effect of modified atmosphere packaging on oxidative changes in frozen stored cold water shrimp (Pandalus borealis). Food Chem. 1999, 64, 169–175. [Google Scholar] [CrossRef]
- Dursun, S.; Erkan, N. The effect of edible coating on the quality of smoked fish. Ital. J. Food Sci. 2014, 26, 370. [Google Scholar]
- Krochta, J.M. Proteins as raw materials for films and coatings: Definitions, current status, and opportunities. In Protein-Based Films and Coatings; CRC Press: Boca Raton, FL, USA, 2002; pp. 1–41. [Google Scholar]
- Sorrentino, A.; Gorrasi, G.; Vittoria, V. Potential perspectives of bio-nanocomposites for food packaging applications. Trends Food Sci. Technol. 2007, 18, 84–95. [Google Scholar] [CrossRef]
- Magana, S.M.; Quintana, P.; Aguilar, D.H.; Toledo, J.A.; Angeles-Chavez, C.; Cortes, M.A.; Sánchez, R.T. Antibacterial activity of montmorillonites modified with silver. J. Mol. Catal. A 2008, 281, 192–199. [Google Scholar] [CrossRef]
- Wu, T.; Xie, A.G.; Tan, S.Z.; Cai, X. Antimicrobial effects of quaternary phosphonium salt intercalated clay minerals on Escherichia coli and Staphylococci aureus. Colloids Surf. B 2011, 86, 232–236. [Google Scholar] [CrossRef] [PubMed]
- Anton, R.; Barlow, S.; Boskou, D.; Castle, L.; Crebelli, R.; Dekant, W.; Engel, K.-H.; Forsythe, S.; Grunow, W.; Heinonen, M.; et al. Scientific Opinion of the Panel on Food Additives, Flavorings, Processing Aids and Food Contact Materials. EFSA J. 2008, 754, 1. [Google Scholar]
- Pizato, S.; Borges, J.A.; Martins, V.G.; Prentice, C.; Cortez-Vega, W.R. Whitemouth croaker (Micropogonias furnieri) protein isolate and organoclay nanocomposite coatings on shelf life and quality of fresh-cut pear. Int. Food Res. J. 2015, 22, 163–170. [Google Scholar]
- Cortez-Vega, W.R.; Pizato, S.; de Souza, J.T.A.; Prentice, C. Using edible coatings from Whitemouth croaker (Micropogonias furnieri) protein isolate and organo-clay nanocomposite for improve the conservation properties of fresh-cut ‘Formosa’papaya. Innov. Food Sci. Emerg. Technol. 2014, 22, 197–202. [Google Scholar] [CrossRef]
- Alakhrash, F.; Anyanwu, U.; Tahergorabi, R. Physicochemical properties of Alaska pollock (Theragra chalcograma) surimi gels with oat bran. LWT Food Sci. Technol. 2016, 66, 41–47. [Google Scholar] [CrossRef]
- Shiku, Y.; Hamaguchi, P.Y.; Tanaka, M. Effect of pH on the preparation of edible films based on fish myofibrillar proteins. Fish. Sci. 2003, 69, 1026–1032. [Google Scholar] [CrossRef]
- Shiku, Y.; Hamaguchi, P.Y.; Benjakul, S.; Visessanguan, W.; Tanaka, M. Effect of surimi quality on properties of edible films based on Alaska pollack. Food Chem. 2004, 86, 493–499. [Google Scholar] [CrossRef]
- Chinabhark, K.; Benjakul, S.; Prodpran, T. Effect of pH on the properties of protein-based film from bigeye snapper (Priacanthus tayenus) surimi. Bioresour. Technol. 2007, 98, 221–225. [Google Scholar] [CrossRef] [PubMed]
- Gonçalves, A.A.; Junior, C.S.G.G. The effect of glaze uptake on storage quality of frozen shrimp. J. Food Eng. 2009, 90, 285–290. [Google Scholar] [CrossRef]
- Nirmal, N.P.; Benjakul, S. Melanosis and quality changes of Pacific white shrimp (Litopenaeus vannamei) treated with catechin during iced storage. J. Agric. Food Chem. 2009, 57, 3578–3586. [Google Scholar] [CrossRef] [PubMed]
- Tahergorabi, R.; Beamer, S.K.; Matak, K.E.; Jaczynski, J. Salt substitution in surimi seafood and its effects on instrumental quality attributes. LWT Food Sci. Technol. 2012, 48, 175–181. [Google Scholar] [CrossRef]
- Tahergorabi, R.; Beamer, S.K.; Matak, K.E.; Jaczynski, J. Chemical properties of ω-3 fortified gels made of protein isolate recovered with isoelectric solubilisation/precipitation from whole fish. Food Chem. 2013, 139, 777–785. [Google Scholar] [CrossRef] [PubMed]
- Caballero, O.; Alles, S.; Le, Q.N.; Mozola, M.; Rice, J. Validation of the NeoFilm for Yeast and Mold Method for Enumeration of Yeasts and Molds in Select Foods. J. AOAC Int. 2015, 98, 798–805. [Google Scholar] [CrossRef] [PubMed]
- Tsironi, T.; Dermesonlouoglou, E.; Giannakourou, M.; Taoukis, P. Shelf life modelling of frozen shrimp at variable temperature conditions. LWT Food Sci. Technol. 2009, 42, 664–671. [Google Scholar] [CrossRef]
- Bourtoom, T.; Chinnan, M.S. Preparation and properties of rice starch–chitosan blend biodegradable film. LWT Food Sci. Technol. 2008, 41, 1633–1641. [Google Scholar] [CrossRef]
- Sathivel, S. Chitosan and protein coatings affect yield, moisture loss, and lipid oxidation of pink salmon (Oncorhynchus gorbuscha) fillets during frozen storage. J. Food Sci. 2005, 70, e455–e459. [Google Scholar] [CrossRef]
- Mendes, R.; Gonçalves, A.; Pestana, J.; Pestana, C. Indole production and deepwater pink shrimp (Parapenaeus longirostris) decomposition. Eur. Food Res. Technol. 2005, 221, 320–328. [Google Scholar] [CrossRef]
- FDA—US Food and Drug Administration, Center of Food Safety and Applied Nutrition. Approximate pH of Foods and Food Products. April 2007. Available online: http://vm.cfsan.fda.gov/~comm/lacf-phs.html (accessed on 25 June 2016).
- Lu, F.; Liu, D.H.; Ye, X.Q. Alginate-calcium coating incorporating nisin and EDTA maintains the quality of fresh northern snakehead (Channa argus) fillets stored at 4 °C. J. Sci. Food Agric. 2009, 89, 848–854. [Google Scholar] [CrossRef]
- Manju, S.; Jose, L.; Srinivasa Gopal, T.K. Effects of sodium acetate dip treatment and vacuum-packaging on chemical, microbiological, textural and sensory changes of pearl spot (Etroplus suratensis) during chill storage. Food Chem. 2007, 102, 27–35. [Google Scholar] [CrossRef]
- Jeon, Y.J.; Kamil, J.Y.V.A.; Shahidi, F. Chitosan as edible invisible film for quality preservation of herring and Atlantic cod. J. Agric. Food Chem. 2002, 50, 5167–5178. [Google Scholar] [CrossRef] [PubMed]
- International Commission on Microbiological Specifications for Foods. Sampling plans for fish and shellfish. In Microorganisms in Foods 2. Sampling for Microbiological Analysis. Principles and Specific Applications, 2nd ed.; Roberts, T.A., Ed.; University of Toronto Press: Toronto, ON, Canada, 1986; pp. 181–197. [Google Scholar]
- Artharn, A.; Benjakul, S.; Prodpran, T.; Tanaka, M. Properties of a protein-based film from round scad (Decapterus maruadsi) as affected by muscle types and washing. Food Chem. 2007, 103, 867–874. [Google Scholar] [CrossRef]
- Rostamzad, H.; Paighambari, S.Y.; Shabanpour, B.; Ojagh, S.M.; Mousavi, S.M. Improvement of fish protein film with nanoclay and transglutaminase for food packaging. Food Packag. Shelf Life 2016, 7, 1–7. [Google Scholar] [CrossRef]
- Aşik, E.; Candoğan, K. Effects of chitosan coatings incorporated with garlic oil on quality characteristics of shrimp. J. Food Qual. 2014, 37, 237–246. [Google Scholar] [CrossRef]
- Diaz-Tenorio, L.M.; Garcia-Carreno, F.L.; Pacheco-Aguilar, R.A.M.Ó.N. Comparison of freezing and thawing treatments on muscle properties of whiteleg shrimp (Litopenaeus vannamei). J. Food Biochem. 2007, 31, 563–576. [Google Scholar] [CrossRef]
- Huidobro, A.; Mendes, R.; Nunes, M. Slaughtering of gilthead seabream (Sparus aurata) in liquid ice: influence on fish quality. Eur. Food Res. Technol. 2001, 213, 267–272. [Google Scholar] [CrossRef]
- Huang, J.; Chen, Q.; Qiu, M.; Li, S. Chitosan-based edible coatings for quality preservation of postharvest Whiteleg shrimp (Litopenaeus vannamei). J. Food Sci. 2012, 77, C491–C496. [Google Scholar] [CrossRef] [PubMed]
- Shewan, J.M. The bacteriology of fresh and spoiling fish and some related chemical changes. Recent Adv. Food Sci. 1962, 1, 167–193. [Google Scholar]
- Gokoglu, N.; Yerlikaya, P. Inhibition effects of grape seed extracts on melanosis formation in shrimp (Parapenaeus longirostris). Int. J. Food Sci. Technol. 2008, 43, 1004–1008. [Google Scholar] [CrossRef]




| Treatments | |||
|---|---|---|---|
| Days | T1 | T2 | T3 |
| L* | |||
| 1 | 41.71 ± 0.65 b,c,d | 44.63 ± 0.59 a,b,c | 48.91 ± 2.16 a |
| 4 | 40.92 ± 2.29 c,d | 46.11 ± 2.13 a | 44.98 ± 2.48 a,b,c |
| 8 | 39.78 ± 1.00 c | 47.89 ± 1.02 a | 46.08 ± 0.39 a,b |
| a* | |||
| 1 | −1.21 ± 0.72 c | 1.16 ± 0.36 a,b,c | 0.83 ± 0.13 b,c |
| 4 | 0.79 ± 0.33 b,c | 3.08 ± 2.36 a,b | 2.29 ± 1.92 a,b,c |
| 8 | 1.62 ± 0.97 a,b,c | 4.93 ± 2.10 a | 1.75 ± 0.65 a,b,c |
| b* | |||
| 1 | −0.93 ± 2.50 d | 5.46 ± 0.82 a | 1.37 ± 0.45 b,c,d |
| 4 | 1.06 ± 0.88 c,d | 2.7 ± 1.27 a,b,c,d | 3.74 ± 2.38 a,b,c |
| 8 | 6.26 ± 1.49 a | 4.32 ± 0.15 a,b,c | 5.22 ± 0.93 a,b |
| Treatments | |||
|---|---|---|---|
| Day | T1 | T2 | T3 |
| Resilience | |||
| 1 | 0.3 ± 0.01 a | 0.22 ± 0.02 a,b | 0.16 ± 0.02 b |
| 4 | 0.21 ± 0.04 a,b | 0.25 ± 0.02 a,b | 0.19 ± 0.03 a,b |
| 8 | 0.2 ± 0.04 a,b | 0.27 ± 0.08 a,b | 0.19 ± 0.04 a,b |
| Cohesiveness | |||
| 1 | 0.38 ± 0.07 a,b | 0.38 ± 0.03 a,b | 0.3 ± 0.02 b |
| 4 | 0.34 ± 0.01 a,b | 0.43 ± 0.03 a | 0.36 ± 0.05 a,b |
| 8 | 0.34 ± 0.05 a,b | 0.38 ± 0.02 a,b | 0.35 ± 0.07 a,b |
| Springiness | |||
| 1 | 0.51 ± 0.05 a | 0.61 ± 0.12 a | 0.48 ± 0.04 a |
| 4 | 0.55 ± 0.09 a | 0.58 ± 0.09 a | 0.59 ± 0.02 a |
| 8 | 0.47 ± 0.01 a | 0.64 ± 0.03 a | 0.57 ± 0.05 a |
| Gumminess | |||
| 1 | 16.44 ± 5.54 b,c | 18.78 ± 2.84 b,c | 9.15 ± 1.37 c |
| 4 | 17.84 ± 1.20 b,c | 26.04 ± 2.30 a,b | 18.05 ± 6.56 b,c |
| 8 | 14.5 ± 0.50 b,c | 36.01 ± 0.56 a | 18.07 ± 8.89 b,c |
| Chewiness | |||
| 1 | 6.47 ± 0.85 b | 11.48 ± 2.78 a,b | 4.94 ± 1.41 b |
| 4 | 8.02 ± 3.16 b | 14.93 ± 1.80 a,b | 10.7 ± 4.14 a,b |
| 8 | 6.63 ± 0.21 b | 25.42 ± 16.17 a | 13.92 ± 4.25 a,b |
| Treatments | |||
|---|---|---|---|
| Days | T1 | T2 | T3 |
| 1 | 0.0 ± 0.0 b | 0.0 ± 0.0 b | 0.0 ± 0.0 b |
| 8 | 2.0 ± 0.0 a | 0.0 ± 0.0 b | 0.0 ± 0.0 b |
| Treatments | |||
|---|---|---|---|
| Days | T1 | T2 | T3 |
| Appearance | |||
| 1 | 7.0 ± 0 a | 7.0 ± 0 a | 7.4 ± 0.68 a |
| 8 | 4.67 ± 0.12 b | 6.73 ± 0.25 a | 7.0 ± 0 a |
| Odor | |||
| 1 | 7.0 ± 0 a,b | 7.0 ± 0 a,b | 7.3 ± 0.26 a |
| 8 | 5.83 ± 0.29 c | 6.5 ± 0.5 bc | 7.0 ± 0 a,b |
| Texture | |||
| 1 | 7.0 ± 0 a,b | 7.0 ± 0 a,b | 7.12 ± 0.11 a |
| 8 | 5.67 ± 0.29 c | 6.73 ± 0.25 b | 7.0 ± 0 a,b |
© 2017 by the authors. Licensee MDPI, Basel, Switzerland. This article is an open access article distributed under the terms and conditions of the Creative Commons Attribution (CC BY) license (http://creativecommons.org/licenses/by/4.0/).
Share and Cite
Sharaf Eddin, A.; Tahergorabi, R. Application of a Surimi-Based Coating to Improve the Quality Attributes of Shrimp during Refrigerated Storage. Foods 2017, 6, 76. https://doi.org/10.3390/foods6090076
Sharaf Eddin A, Tahergorabi R. Application of a Surimi-Based Coating to Improve the Quality Attributes of Shrimp during Refrigerated Storage. Foods. 2017; 6(9):76. https://doi.org/10.3390/foods6090076
Chicago/Turabian StyleSharaf Eddin, Abdulhakim, and Reza Tahergorabi. 2017. "Application of a Surimi-Based Coating to Improve the Quality Attributes of Shrimp during Refrigerated Storage" Foods 6, no. 9: 76. https://doi.org/10.3390/foods6090076
APA StyleSharaf Eddin, A., & Tahergorabi, R. (2017). Application of a Surimi-Based Coating to Improve the Quality Attributes of Shrimp during Refrigerated Storage. Foods, 6(9), 76. https://doi.org/10.3390/foods6090076

