Emulsifier-Modulated Microstructure of Soy Protein–Arabinoxylan Oleogels Improves Astaxanthin Bioaccessibility and In Vivo Antioxidant Activity
Abstract
1. Introduction
2. Materials and Methods
2.1. Materials
2.2. Preparation of the Oleogel Precursor Emulsion and Oleogel
2.3. Measurement of Zeta Potential and Particle Size
2.4. Microstructure Observation
2.5. Oil Binding Capacity (OBC)
2.6. Thermal Properties
2.7. Fourier Transform Infrared Spectroscopy (FTIR)
2.8. Rheological Properties
2.9. AST Encapsulation Efficiency Analysis
2.10. Oxidative Stability Analysis
2.11. Antioxidant Capacity Assay
2.12. In Vitro Simulated Gastrointestinal Digestion
2.12.1. FFA Release Kinetics
2.12.2. AST Release Kinetics and Bioavailability
2.13. In Vivo Antioxidant Activity Study
2.13.1. Cultivation and Inoculation of E. coli OP50
2.13.2. C. elegans Recovery
2.13.3. C. elegans Culture and Passage
2.13.4. C. elegans Culture
2.13.5. Determination of Lipofuscin Levels in C. elegans
2.13.6. Acute Heat Stress Test in C. elegans
2.13.7. Determination of Reactive Oxygen Species Content
2.13.8. Determination of MDA Content and Antioxidant Enzyme Activity
2.13.9. Blinding of Outcome Assessment
2.14. Statistical Analyses
3. Results and Discussion
3.1. Particle Size and Zeta Potential
3.2. Microstructure of Oleogels
3.3. Thermal Properties of Oleogels
3.4. FTIR Analysis of Oleogels
3.5. Rheological Behavior
3.6. Encapsulation Efficiency (EE) of AST in Oleogels
3.7. Oxidation Stability and Antioxidant Capacity
3.8. FFA and AST Release and AST Bioavailability During In Vitro Simulated Digestion of Oleogels
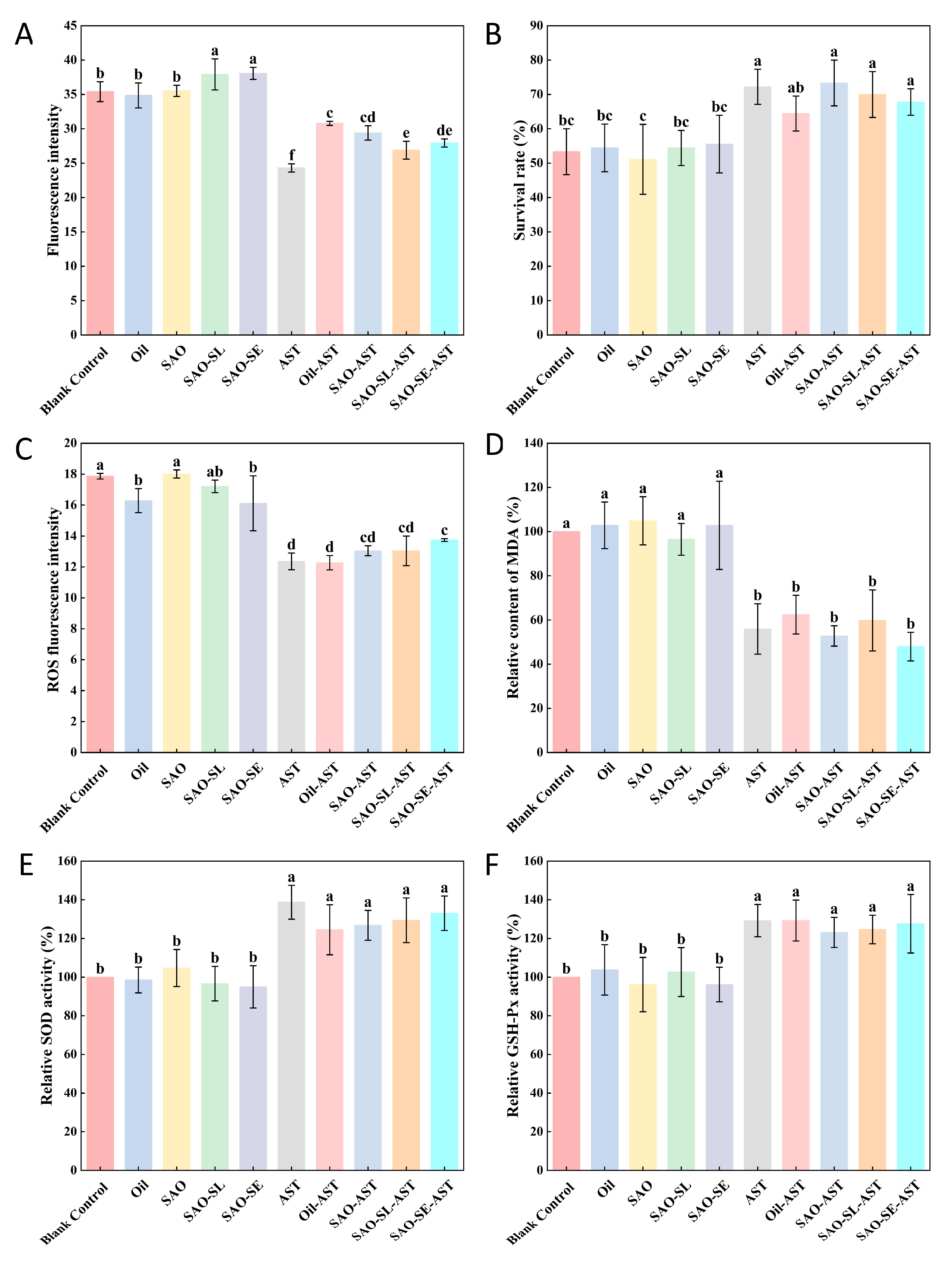
3.9. In Vivo Antioxidant Analysis of AST-Loaded Oleogels
4. Conclusions
Supplementary Materials
Author Contributions
Funding
Institutional Review Board Statement
Informed Consent Statement
Data Availability Statement
Conflicts of Interest
References
- Sun, J.; Wei, Z.; Xue, C. Recent research advances in astaxanthin delivery systems: Fabrication technologies, comparisons and applications. Crit. Rev. Food Sci. Nutr. 2023, 63, 3497–3518. [Google Scholar] [CrossRef] [PubMed]
- Wan, X.; Zhou, X.R.; Moncalian, G.; Su, L.; Chen, W.C.; Zhu, H.Z.; Chen, D.; Gong, Y.M.; Huang, F.H.; Deng, Q.C. Reprogramming microorganisms for the biosynthesis of astaxanthin via metabolic engineering. Prog. Lipid Res. 2021, 81, 101083. [Google Scholar] [CrossRef] [PubMed]
- Zhou, X.; Zhang, J.; Li, Y.; Cui, L.; Wu, K.; Luo, H. Astaxanthin inhibits microglia M1 activation against inflammatory injury triggered by lipopolysaccharide through down-regulating miR-31-5p. Life Sci. 2021, 267, 118943. [Google Scholar] [CrossRef] [PubMed]
- Galasso, C.; Orefice, I.; Pellone, P.; Cirino, P.; Miele, R.; Ianora, A.; Brunet, C.; Sansone, C. On the Neuroprotective Role of Astaxanthin: New Perspectives? Mar. Drugs 2018, 16, 247. [Google Scholar] [CrossRef]
- Cao, Y.; Yang, L.; Qiao, X.; Xue, C.; Xu, J. Dietary astaxanthin: An excellent carotenoid with multiple health benefits. Crit. Rev. Food Sci. Nutr. 2023, 63, 3019–3045. [Google Scholar] [CrossRef]
- Yang, L.; Qiao, X.; Gu, J.; Li, X.; Cao, Y.; Xu, J.; Xue, C. Influence of molecular structure of astaxanthin esters on their stability and bioavailability. Food Chem. 2021, 343, 128497. [Google Scholar] [CrossRef]
- Chaves, K.F.; Barrera-Arellano, D.; Ribeiro, A.P.B. Potential application of lipid organogels for food industry. Food Res. Int. 2018, 105, 863–872. [Google Scholar] [CrossRef]
- Patel, A.R.; Dewettinck, K. Edible oil structuring: An overview and recent updates. Food Funct. 2016, 7, 20–29. [Google Scholar] [CrossRef]
- Zhao, W.; Wei, Z.; Xue, C. Recent advances on food-grade oleogels: Fabrication, application and research trends. Crit. Rev. Food Sci. Nutr. 2022, 62, 7659–7676. [Google Scholar] [CrossRef]
- Chuesiang, P.; Zhang, J.; Choi, E.; Yoon, I.-S.; Kim, J.T.; Shin, G.H. Observation of curcumin-loaded hydroxypropyl methylcellulose (HPMC) oleogels under in vitro lipid digestion and in situ intestinal absorption in rats. Int. J. Biol. Macromol. 2022, 208, 520–529. [Google Scholar] [CrossRef]
- Shuai, X.; Julian McClements, D.; Dai, T.; Geng, Q.; Wei, C.; Wang, W.; Chen, J.; Zhang, M.; Du, L. Effect of different oleogelators on physicochemical properties, oxidative stability and astaxanthin delivery of macadamia oil-based oleogels. Food Res. Int. 2024, 196, 115131. [Google Scholar] [CrossRef] [PubMed]
- Zhang, L.; Wahlgren, M.; Oscarsson, E.; Bergenståhl, B. Ethylcellulose oleogel as a prolonged release delivery system for probiotics. Development and validation of a cold-mixing method. Food Hydrocoll. 2025, 166, 111339. [Google Scholar] [CrossRef]
- Wan, Y.; Wang, R.; Feng, W.; Chen, Z.; Wang, T. High internal phase Pickering emulsions stabilized by co-assembled rice proteins and carboxymethyl cellulose for food-grade 3D printing. Carbohydr. Polym. 2021, 273, 118586. [Google Scholar] [CrossRef] [PubMed]
- Zhang, F.; Cai, X.; Ding, L.; Wang, S. Effect of pH, ionic strength, chitosan deacetylation on the stability and rheological properties of O/W emulsions formulated with chitosan/casein complexes. Food Hydrocoll. 2021, 111, 106211. [Google Scholar] [CrossRef]
- Wu, L.; Shen, X.; Hu, W.; Li, J.; Zhao, X.; Yang, X.; Yang, Q. Tailoring glycosylated soy protein-carbohydrate complexes for high-performance oleogels with enhanced freeze-thaw stability. LWT 2025, 231, 118360. [Google Scholar] [CrossRef]
- Zou, Y.; Xi, Y.; Pan, J.; Ijaz Ahmad, M.; Zhang, A.; Zhang, C.; Li, Y.; Zhang, H. Soy oil and SPI based-oleogels structuring with glycerol monolaurate by emulsion-templated approach: Preparation, characterization and potential application. Food Chem. 2022, 397, 133767. [Google Scholar] [CrossRef]
- He, W.; Tian, L.; Zhang, S.; Pan, S. A novel method to prepare protein-polysaccharide conjugates with high grafting and low browning: Application in encapsulating curcumin. LWT 2021, 145, 111349. [Google Scholar] [CrossRef]
- Chen, X.; Zhu, J.; Tian, D.; Li, Z. Preparation of soybean protein isolate–ester emulsifier oleogels and comparative study of their structure and properties. Food Chem. 2024, 461, 140927. [Google Scholar] [CrossRef]
- Huang, Z.; Guo, B.; Pan, J.; Gong, D.; Zhang, G. Design of oleogel-based co-delivery systems for proanthocyanidins and curcumin: Focusing on the modulation of interfacial and oleogel structures by emulsifiers. Food Chem. 2025, 484, 144354. [Google Scholar] [CrossRef]
- Xu, Y.; Sun, H.; Lv, J.; Wang, Y.; Zhang, Y.; Wang, F. Effects of polysaccharide thickening agent on the preparation of walnut oil oleogels based on methylcellulose: Characterization and delivery of curcumin. Int. J. Biol. Macromol. 2023, 232, 123291. [Google Scholar] [CrossRef]
- Wang, C.; Wang, H.; Abd El-Aty, A.M.; Su, W.; Tan, M. Preparation of bilayer nano-oleogel by whey protein isolate and soy lecithin for fish oil encapsulation and its application in cookies. Food Hydrocoll. 2024, 146, 109280. [Google Scholar] [CrossRef]
- Zhao, C.; Wang, F.; Yang, X.; Mao, Y.; Qi, Q.; Zheng, M.; Xu, X.; Cao, Y.; Wu, Y.; Liu, J. Synergistic influence of ultrasound and dietary fiber addition on transglutaminase-induced peanut protein gel and its application for encapsulation of lutein. Food Hydrocoll. 2023, 137, 108374. [Google Scholar] [CrossRef]
- Liu, L.; Abdullah; Tian, W.; Chen, Μ.; Huang, Y.; Xiao, J. Oral sensation and gastrointestinal digestive profiles of bigels tuned by the mass ratio of konjac glucomannan to gelatin in the binary hydrogel matrix. Carbohydr. Polym. 2023, 312, 120765. [Google Scholar] [CrossRef] [PubMed]
- Tao, X.; Chen, C.; Li, Y.; Qin, X.; Zhang, H.; Hu, Y.; Liu, Z.; Guo, X.; Liu, G. Improving the physicochemical stability of Pickering emulsion stabilized by glycosylated whey protein isolate/cyanidin-3-glucoside to deliver curcumin. Int. J. Biol. Macromol. 2023, 229, 1–10. [Google Scholar] [CrossRef]
- Sun, M.; Wang, C.; Wang, H.; Tan, M. Fish oil-based bigels with outstanding sensory and antioxidant properties: Application in low-fat mayonnaise. Food Hydrocoll. 2025, 159, 110673. [Google Scholar] [CrossRef]
- Tao, F.; Xiao, C.; Chen, W.; Zhang, Y.; Pan, J.; Jia, Z. Covalent modification of β-lactoglobulin by (−)-epigallocatechin-3-gallate results in a novel antioxidant molecule. Int. J. Biol. Macromol. 2019, 126, 1186–1191. [Google Scholar] [CrossRef]
- Wu, L.; Xue, W.; Shen, X.; Hu, W.; Zhao, X.; Yang, X.; Yang, Q. Effects of microwave-assisted enzymatic treatment on the quality characteristics of sunflower seed oil: A comprehensive investigation based on Lipidomics and volatile flavor compound profiling. Food Chem. 2025, 491, 145217. [Google Scholar] [CrossRef]
- Minekus, M.; Alminger, M.; Alvito, P.; Ballance, S.; Bohn, T.; Bourlieu, C.; Carrière, F.; Boutrou, R.; Corredig, M.; Dupont, D.; et al. A standardised static in vitro digestion method suitable for food–an international consensus. Food Funct. 2014, 5, 1113–1124. [Google Scholar] [CrossRef]
- Farooq, S.; Ijaz Ahmad, M.; Zhang, Y.; Chen, M.; Zhang, H. Fabrication, characterization and in vitro digestion of camellia oil body emulsion gels cross-linked by polyphenols. Food Chem. 2022, 394, 133469. [Google Scholar] [CrossRef]
- Wu, L.; Shen, X.; Xue, W.; Chen, Q.; Hu, W.; Yang, Q.; Pang, H. Impact of microwave pretreatment on yield, quality and lipid composition of Acer truncatum Bunge seed oil. Ind. Crops Prod. 2024, 222, 120086. [Google Scholar] [CrossRef]
- Farooq, S.; Ahmad, M.I.; Ali, U.; Zhang, H. Fabrication of curcumin-loaded oleogels using camellia oil bodies and gum arabic/chitosan coatings for controlled release applications. Int. J. Biol. Macromol. 2024, 254, 127758. [Google Scholar] [CrossRef] [PubMed]
- Ai, M.; Zhang, Z.; Fan, H.; Cao, Y.; Jiang, A. High-intensity ultrasound together with heat treatment improves the oil-in-water emulsion stability of egg white protein peptides. Food Hydrocoll. 2021, 111, 106256. [Google Scholar] [CrossRef]
- Sarkar, A.; Kamaruddin, H.; Bentley, A.; Wang, S. Emulsion stabilization by tomato seed protein isolate: Influence of pH, ionic strength and thermal treatment. Food Hydrocoll. 2016, 57, 160–168. [Google Scholar] [CrossRef]
- Gao, Z.; Zhang, C.; Li, Y.; Wu, Y.; Deng, Q.; Ni, X. Edible Oleogels Fabricated by Dispersing Cellulose Particles in Oil Phase: Effects from the Water Addition. Food Hydrocoll. 2023, 134, 108040. [Google Scholar] [CrossRef]
- Wang, Q.; Zhang, F.; Wang, S.; Chen, W.; Li, X.; Hao, J.; Alouk, I.; Wang, Y.; Xu, D.; Sun, B. The fabrication, microstructure, rheological properties and interactions of soft solid oleogels of hazelnut oil body. Food Hydrocoll. 2025, 159, 110711. [Google Scholar] [CrossRef]
- Mert, B.; Vilgis, T.A. Hydrocolloid coated oleosomes for development of oleogels. Food Hydrocoll. 2021, 119, 106832. [Google Scholar] [CrossRef]
- Zhang, Y.; Tan, C.; Zhang, X.; Xia, S.; Jia, C.; Eric, K.; Abbas, S.; Feng, B.; Zhong, F. Effects of maltodextrin glycosylation following limited enzymatic hydrolysis on the functional and conformational properties of soybean protein isolate. Eur. Food Res. Technol. 2014, 238, 957–968. [Google Scholar] [CrossRef]
- Shen, Y.; Li, Y. Acylation modification and/or guar gum conjugation enhanced functional properties of pea protein isolate. Food Hydrocoll. 2021, 117, 106686. [Google Scholar] [CrossRef]
- Arslan, F.N.; Çağlar, F. Attenuated Total Reflectance–Fourier Transform Infrared (ATR–FTIR) Spectroscopy Combined with Chemometrics for Rapid Determination of Cold-Pressed Wheat Germ Oil Adulteration. Food Anal. Methods 2019, 12, 355–370. [Google Scholar] [CrossRef]
- Liu, F.; Sun, C.; Yang, W.; Yuan, F.; Gao, Y. Structural characterization and functional evaluation of lactoferrin–polyphenol conjugates formed by free-radical graft copolymerization. RSC Adv. 2015, 5, 15641–15651. [Google Scholar] [CrossRef]
- Sow, L.C.; Peh, Y.R.; Pekerti, B.N.; Fu, C.; Bansal, N.; Yang, H. Nanostructural analysis and textural modification of tilapia fish gelatin affected by gellan and calcium chloride addition. LWT 2017, 85, 137–145. [Google Scholar] [CrossRef]
- Sun, H.; Xu, J.; Lu, X.; Xu, Y.; Regenstein, J.M.; Zhang, Y.; Wang, F. Development and characterization of monoglyceride oleogels prepared with crude and refined walnut oil. LWT 2022, 154, 112769. [Google Scholar] [CrossRef]
- Zhu, Q.; Gao, J.; Han, L.; Han, K.; Wei, W.; Wu, T.; Li, J.; Zhang, M. Development and characterization of novel bigels based on monoglyceride-beeswax oleogel and high acyl gellan gum hydrogel for lycopene delivery. Food Chem. 2021, 365, 130419. [Google Scholar] [CrossRef] [PubMed]
- Jiang, Q.; Yu, Z.; Meng, Z. Double network oleogels co-stabilized by hydroxypropyl methylcellulose and monoglyceride crystals: Baking applications. Int. J. Biol. Macromol. 2022, 209, 180–187. [Google Scholar] [CrossRef]
- Gao, P.; Liu, Y.; Wang, S.; Huang, C.; Zhong, W.; Yin, J.; Hu, C.; He, D.; Wang, X. Effects of different oleogelators on the structural properties and composition of iron walnut-oil oleogels. Ultrason. Sonochem. 2024, 102, 106729. [Google Scholar] [CrossRef] [PubMed]
- Wang, Q.; Rao, Z.; Chen, Y.; Lei, X.; Zhao, J.; Li, F.; Lei, L.; Zeng, K.; Ming, J. Characterization of responsive zein-based oleogels with tunable properties fabricated from emulsion-templated approach. Food Hydrocoll. 2022, 133, 107972. [Google Scholar] [CrossRef]
- Abou-Elsoud, M.; Salama, M.; Li, Z.; Wang, S.; Cai, Z.; Ahn, D.U.; Huang, X. Structuring low-density lipoprotein-based oleogels with pectin via an emulsion-templated approach: Formation and characterization. J. Food Eng. 2025, 387, 112340. [Google Scholar] [CrossRef]
- Wang, G.-S.; Chen, H.-Y.; Zhang, L.-Y.; Guo, J.; Wan, Z.-L.; Yang, X.-Q. Facile formation of capillary whey protein oleogels with tunable mechanical and aesthetic properties and their applications as margarine alternatives. Food Hydrocoll. 2024, 154, 110073. [Google Scholar] [CrossRef]
- Tao, X.; Hu, Y.; Liu, Z.; Jiang, K.; Liang, Y.; Li, J.; Guo, X.; Zhu, B. Marine sulfated polysaccharide affects the characteristics of astaxanthin-loaded oleogels prepared from gelatin emulsions. Food Hydrocoll. 2025, 160, 110805. [Google Scholar] [CrossRef]
- Meng, Z.; Qi, K.; Guo, Y.; Wang, Y.; Liu, Y. Effects of thickening agents on the formation and properties of edible oleogels based on hydroxypropyl methyl cellulose. Food Chem. 2018, 246, 137–149. [Google Scholar] [CrossRef]
- Garcia-Cruz, M.R.; Postma, A.; Frith, J.E.; Meagher, L. Printability and bio-functionality of a shear thinning methacrylated xanthan-gelatin composite bioink. Biofabrication 2021, 13, 035023. [Google Scholar] [CrossRef] [PubMed]
- Sinthusamran, S.; Benjakul, S.; Swedlund, P.J.; Hemar, Y. Physical and rheological properties of fish gelatin gel as influenced by κ-carrageenan. Food Biosci. 2017, 20, 88–95. [Google Scholar] [CrossRef]
- Yan, Y.; Chen, S.; Deng, L.; Duan, Y.; Huang, Z.; Gong, D.; Zhang, G. Construction and characterization of egg white protein-gallic acid-xanthan gum-based emulsion and oleogel. Food Hydrocoll. 2024, 150, 109720. [Google Scholar] [CrossRef]
- Chen, H.; Lu, Y.; Yuan, F.; Gao, Y.; Mao, L. Effect of interfacial compositions on the physical properties of alginate-based emulsion gels and chemical stability of co-encapsulated bioactives. Food Hydrocoll. 2021, 111, 106389. [Google Scholar] [CrossRef]
- Yu, J.; Wang, Q.; Zhang, H.; Qin, X.; Chen, H.; Corke, H.; Hu, Z.; Liu, G. Increased stability of curcumin-loaded pickering emulsions based on glycated proteins and chitooligosaccharides for functional food application. LWT 2021, 148, 111742. [Google Scholar] [CrossRef]
- Wang, C.; Su, K.; Sun, W.; Huang, T.; Lou, Q.; Zhan, S. Comparative investigations of various modification methods on the gelling, rheological properties and mechanism of fish gelatin. Food Chem. 2023, 426, 136632. [Google Scholar] [CrossRef]
- Ashkar, A.; Laufer, S.; Rosen-Kligvasser, J.; Lesmes, U.; Davidovich-Pinhas, M. Impact of different oil gelators and oleogelation mechanisms on digestive lipolysis of canola oil oleogels. Food Hydrocoll. 2019, 97, 105218. [Google Scholar] [CrossRef]
- Shuai, X.; McClements, D.J.; Geng, Q.; Dai, T.; Ruan, R.; Du, L.; Liu, Y.; Chen, J. Macadamia oil-based oleogels as cocoa butter alternatives: Physical properties, oxidative stability, lipolysis, and application. Food Res. Int. 2023, 172, 113098. [Google Scholar] [CrossRef]
- Buamard, N.; Aluko, R.E.; Benjakul, S. Stability of tuna trypsin-loaded alginate-chitosan beads in acidic stomach fluid and the release of active enzyme in a simulated intestinal tract environment. J. Food Biochem. 2020, 44, e13455. [Google Scholar] [CrossRef]
- Salvia-Trujillo, L.; Verkempinck, S.H.E.; Zhang, X.; Van Loey, A.M.; Grauwet, T.; Hendrickx, M.E. Comparative study on lipid digestion and carotenoid bioaccessibility of emulsions, nanoemulsions and vegetable-based in situ emulsions. Food Hydrocoll. 2019, 87, 119–128. [Google Scholar] [CrossRef]
- Li, W.; Bi, D.; Yi, J.; Yao, L.; Cao, J.; Yang, P.; Li, M.; Wu, Y.; Xu, H.; Hu, Z.; et al. Soy protein isolate-polyguluronate nanoparticles loaded with resveratrol for effective treatment of colitis. Food Chem. 2023, 410, 135418. [Google Scholar] [CrossRef]
- Alemu, T.W.; Pandey, H.O.; Salilew Wondim, D.; Gebremedhn, S.; Neuhof, C.; Tholen, E.; Holker, M.; Schellander, K.; Tesfaye, D. Oxidative and endoplasmic reticulum stress defense mechanisms of bovine granulosa cells exposed to heat stress. Theriogenology 2018, 110, 130–141. [Google Scholar] [CrossRef]
- Esterbauer, H.; Cheeseman, K.H. Determination of aldehydic lipid peroxidation products: Malonaldehyde and 4-hydroxynonenal. In Methods in Enzymology; Academic Press: Cambridge, MA, USA, 1990; Volume 186, pp. 407–421. [Google Scholar] [CrossRef]
- Feng, S.; Cheng, H.; Xu, Z.; Yuan, M.; Huang, Y.; Liao, J.; Yang, R.; Zhou, L.; Ding, C. Panax notoginseng polysaccharide increases stress resistance and extends lifespan in Caenorhabditis elegans. J. Funct. Foods 2018, 45, 15–23. [Google Scholar] [CrossRef]







Disclaimer/Publisher’s Note: The statements, opinions and data contained in all publications are solely those of the individual author(s) and contributor(s) and not of MDPI and/or the editor(s). MDPI and/or the editor(s) disclaim responsibility for any injury to people or property resulting from any ideas, methods, instructions or products referred to in the content. |
© 2026 by the authors. Licensee MDPI, Basel, Switzerland. This article is an open access article distributed under the terms and conditions of the Creative Commons Attribution (CC BY) license.
Share and Cite
Shen, X.; Hu, W.; Meng, W.; Sheng, T.; Zhao, X.; Li, J.; Yang, Q.; Wu, L. Emulsifier-Modulated Microstructure of Soy Protein–Arabinoxylan Oleogels Improves Astaxanthin Bioaccessibility and In Vivo Antioxidant Activity. Foods 2026, 15, 1315. https://doi.org/10.3390/foods15081315
Shen X, Hu W, Meng W, Sheng T, Zhao X, Li J, Yang Q, Wu L. Emulsifier-Modulated Microstructure of Soy Protein–Arabinoxylan Oleogels Improves Astaxanthin Bioaccessibility and In Vivo Antioxidant Activity. Foods. 2026; 15(8):1315. https://doi.org/10.3390/foods15081315
Chicago/Turabian StyleShen, Xiaolong, Wenhao Hu, Wenrong Meng, Tiancheng Sheng, Xiuhong Zhao, Jiaxin Li, Qingyu Yang, and Longkun Wu. 2026. "Emulsifier-Modulated Microstructure of Soy Protein–Arabinoxylan Oleogels Improves Astaxanthin Bioaccessibility and In Vivo Antioxidant Activity" Foods 15, no. 8: 1315. https://doi.org/10.3390/foods15081315
APA StyleShen, X., Hu, W., Meng, W., Sheng, T., Zhao, X., Li, J., Yang, Q., & Wu, L. (2026). Emulsifier-Modulated Microstructure of Soy Protein–Arabinoxylan Oleogels Improves Astaxanthin Bioaccessibility and In Vivo Antioxidant Activity. Foods, 15(8), 1315. https://doi.org/10.3390/foods15081315
