Strategic Characterization of Functional and Nutritional Traits in Yellow, Pink, and Black Oxalis tuberosa for Next-Generation Agricultural and Industrial Applications
Abstract
1. Introduction
2. Materials and Methods
2.1. Study Location
2.2. Plant Materials and Experimental Design
Germplasm Source and Varietal Identification
2.3. Growth and Yield Parameters
2.4. Tuber Characteristics
2.5. Functional Properties
2.6. Nutritional Composition
2.7. Soil Properties
Replication and Sampling Scheme (Biological and Analytical Replicates)
2.8. Statistical Analysis
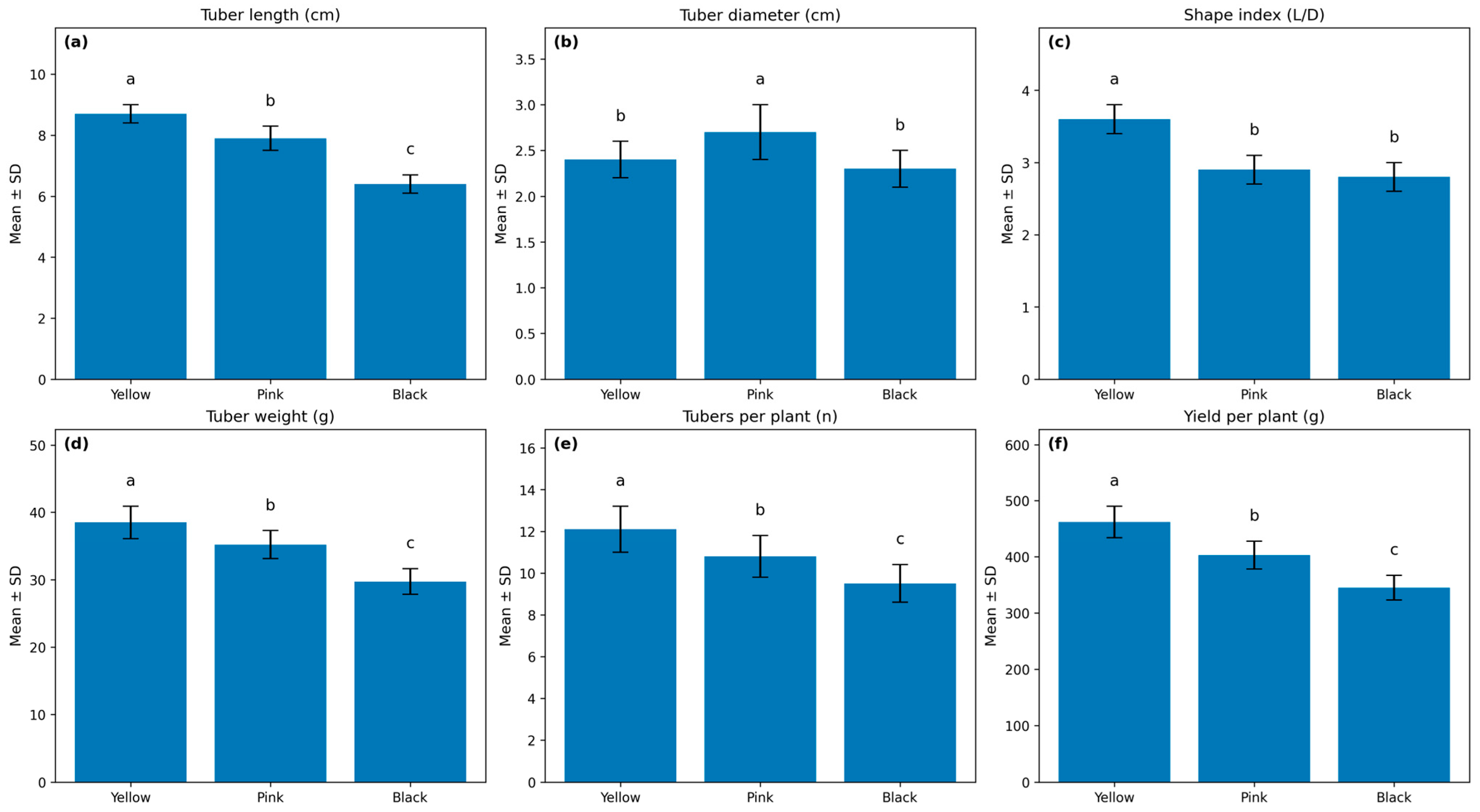
3. Result
Functional Properties in Relation to Chemical Composition
4. Discussion
4.1. Physiological and Agronomic Basis of Varietal Differences
4.2. Functional Properties and Starch-Related Mechanisms
4.3. Nutritional Composition and Trait Interrelationships
4.4. Antioxidant Capacity and Pigmentation-Related Mechanisms
4.5. Color Attributes and Their Relationship with Antioxidant Properties
4.6. Soil–Variety Interactions and System-Level Implications
4.7. Limitations and Future Research Directions
5. Conclusions
Author Contributions
Funding
Institutional Review Board Statement
Informed Consent Statement
Data Availability Statement
Acknowledgments
Conflicts of Interest
References
- Singh, L.; Upadhyay, A.; Dhawan, A.K. Taxonomy, anatomy, physiology and nutritional aspects. Trop. Roots Tubers Prod. Process. Technol. 2016, 34–137. [Google Scholar] [CrossRef]
- Andrade, N.J.P.; Condori, B.; Sørensen, M. Traditional uses, processes, and markets: The case of oca (Oxalis tuberosa Molina). In Traditional Starch Food Products; Academic Press: New York, NY, USA, 2025; pp. 365–372. [Google Scholar]
- Moscoe, L.J.; Emshwiller, E. Farmer perspectives on OCA (Oxalis tuberosa; Oxalidaceae) diversity conservation: Values and threats. J. Ethnobiol. 2016, 36, 235–256. [Google Scholar] [CrossRef]
- Velasquez Barreto, F.F.; Bello-Pérez, L.A. Chemical, structural, technological properties and applications of Andean tuber starches: A review. Food Rev. Int. 2023, 39, 1293–1308. [Google Scholar] [CrossRef]
- Remans, R.; Flynn, D.F.; De Clerck, F.; Diru, W.; Fanzo, J.; Gaynor, K.; Palm, C.A. Exploring new metrics: Nutritional diversity of cropping systems. In Sustainable Diets and Biodiversity: Directions and Solutions for Policy, Research and Action; FAO: Rome, Italy, 2012; pp. 134–149. [Google Scholar]
- Stockdale, E.A.; Lampkin, N.H.; Hovi, M.; Keatinge, R.; Lennartsson, E.K.M.; Macdonald, D.W.; Padel, S.; Tattersall, F.; Wolfe, M.; Watson, C.A. Agronomic and environmental implications of organic farming systems. Adv. Agron. 2001, 70, 261–262. [Google Scholar]
- King, S.R.; Gershoff, S.N. Nutritional evaluation of three underexploited Andean tubers: Oxalis tuberosa (Oxalidaceae), Ullucus tuberosus (Basellaceae), and Tropaeolum tuberosum (Tropaeolaceae). Econ. Bot. 1987, 41, 503–511. [Google Scholar] [CrossRef]
- Emmambux, M.N.; Taylor, J.R. Morphology, physical, chemical, and functional properties of starches from cereals, legumes, and tubers cultivated in Africa: A review. Starch-Stärke 2013, 65, 715–729. [Google Scholar] [CrossRef]
- Hoover, R. Composition, molecular structure, and physicochemical properties of tuber and root starches: A review. Carbohydr. Polym. 2001, 45, 253–267. [Google Scholar] [CrossRef]
- Zhu, F.; Cui, R. Comparison of physicochemical properties of oca (Oxalis tuberosa), potato, and maize starches. Int. J. Biol. Macromol. 2020, 148, 601–607. [Google Scholar] [CrossRef]
- Puelles-Román, J.; Barroso, N.G.; Cruz-Tirado, J.P.; Tapia-Blácido, D.R.; Angelats-Silva, L.; Barraza-Jáuregui, G.; Siche, R. Annealing process improves the physical, functional, thermal, and rheological properties of Andean oca (Oxalis tuberosa) starch. J. Food Process Eng. 2021, 44, e13702. [Google Scholar] [CrossRef]
- Valcárcel-Yamani, B.; Rondán-Sanabria, G.G.; Finardi-Filho, F. The physical, chemical and functional characterization of starches from Andean tubers: Oca (Oxalis tuberosa Molina), olluco (Ullucus tuberosus Caldas) and mashua (Tropaeolum tuberosum Ruiz & Pavón). Braz. J. Pharm. Sci. 2013, 49, 453–464. [Google Scholar] [CrossRef]
- Luziatelli, G.; Alandia, G.; Rodríguez, J.P.; Manrique, I.; Jacobsen, S.E.; Sørensen, M. Ethnobotany of Andean minor tuber crops: Tradition and innovation—Oca (Oxalis tuberosa Molina—Oxalidaceae), Mashua (Tropaeolum tuberosum Ruíz & Pav.—Tropaeoleaceae) and Ulluco (Ullucus tuberosus Caldas—Basellaceae). Var. Landraces Cult. Pract. Tradit. Uses 2023, 2, 79–100. [Google Scholar]
- Nguyen, H.V.H. Oxalate and Antioxidant Concentrations of Locally Grown and Imported Fruit in New Zealand. Ph.D. Thesis, Lincoln University, Lincoln, New Zealand, 2012. [Google Scholar]
- Mafakheri, M.; Bakhshipour, M.; Omrani, M.; Gholizadeh, H.; Rahimi, N.; Mobaraki, A.; Rahimi, M. The impact of environmental and climatic variables on genetic diversity and plant functional traits of the endangered tuberous orchid (Orchis mascula L.). Sci. Rep. 2022, 12, 19765. [Google Scholar] [CrossRef]
- Punia, S.; Kumar, M. (Eds.) Functionality and Application of Colored Cereals: Nutritional, Bioactive, and Health Aspects; Elsevier: Amsterdam, The Netherlands, 2022. [Google Scholar]
- Lavinsky, A.O.; Magalhães, P.C.; Ávila, R.G.; Diniz, M.M.; de Souza, T.C. Partitioning between primary and secondary metabolism of carbon allocated to roots in four maize genotypes under water deficit and its effects on productivity. Crop J. 2015, 3, 379–386. [Google Scholar] [CrossRef]
- De Vega, J.J.; Peel, N.; Purdy, S.J.; Hawkins, S.; Donnison, L.; Dyer, S.; Farrar, K. Differential expression of starch and sucrose metabolic genes linked to varying biomass yield in Miscanthus hybrids. Biotechnol. Biofuels 2021, 14, 98. [Google Scholar] [CrossRef]
- Gomez, K.A.; Gomez, A.A. Statistical Procedures for Agricultural Research; John Wiley & Sons: Hoboken, NJ, USA, 1984. [Google Scholar]
- Condori, B.; Mamani, P.; Botello, R.; Patiño, F.; Devaux, A.; Ledent, J.F. Agrophysiological characterisation and parametrisation of Andean tubers: Potato (Solanum sp.), oca (Oxalis tuberosa), isaño (Tropaeolum tuberosum) and papalisa (Ullucus tuberosus). Eur. J. Agron. 2008, 28, 526–540. [Google Scholar] [CrossRef]
- Donald, C.M.; Hamblin, J. The biological yield and harvest index of cereals as agronomic and plant breeding criteria. Adv. Agron. 1976, 28, 361–405. [Google Scholar]
- van Eck, H.J. Genetics of morphological and tuber traits. In Potato Biology and Biotechnology; Elsevier Science BV: Amsterdam, The Netherlands, 2007; pp. 91–115. [Google Scholar]
- Leach, H.W. Structure of starch granule I. Swelling and solubility patterns of various starches. J. Cereal Chem. 1959, 36, 534–544. [Google Scholar]
- Singh, N.; Singh, J.; Kaur, L.; Sodhi, N.S.; Gill, B.S. Morphological, thermal and rheological properties of starches from different botanical sources. Food Chem. 2003, 81, 219–231. [Google Scholar] [CrossRef]
- AOAC. Official Methods of Analysis of AOAC International, 21st ed.; AOAC International: Gaithersburg, MD, USA, 2019. [Google Scholar]
- Blake, G.R.; Hartge, K.H. Bulk density. In Methods of Soil Analysis: Part 1 Physical and Mineralogical Methods; John Wiley & Sons: Hoboken, NJ, USA, 1986; Volume 5, pp. 363–375. [Google Scholar]
- Bengough, A.G.; McKenzie, B.M.; Hallett, P.D.; Valentine, T.A. Root elongation, water stress, and mechanical impedance: A review of limiting stresses and beneficial root tip traits. J. Exp. Bot. 2011, 62, 59–68. [Google Scholar] [CrossRef]
- Shaheb, M.R.; Venkatesh, R.; Shearer, S.A. A review on the effect of soil compaction and its management for sustainable crop production. J. Biosyst. Eng. 2021, 46, 417–439. [Google Scholar] [CrossRef]
- USEPA. Method 3052: Microwave Assisted Acid Digestion of Siliceous and Organically Based Matrices; U.S. Environmental Protection Agency: Washington, DC, USA, 1996.
- Hou, X.; Jones, B.T. Inductively coupled plasma/optical emission spectrometry. Encycl. Anal. Chem. 2000, 2000, 9468–9485. [Google Scholar]
- Tukey, J.W. Comparing individual means in the analysis of variance. Biometrics 1949, 5, 99–114. [Google Scholar] [CrossRef]
- R Core Team. R: A Language and Environment for Statistical Computing; R Foundation for Statistical Computing: Vienna, Austria, 2021; Available online: https://www.r-project.org/ (accessed on 25 January 2026).
- Cheng, S.; Liu, Y.; Su, L.; Liu, X.; Chu, Q.; He, Z.; Zhou, X.; Lu, W.; Jiang, C.; Zheng, W. Physiological, anatomical and quality indexes of root tuber formation and development in chayote (Sechium edule). BMC Plant Biol. 2023, 23, 413. [Google Scholar] [CrossRef]
- Adjei-Nsiah, S.; Asumugha, G.; Njukwe, E.; Akoroda, M. The root and tuber crop farming system: Diversity, complexity and productivity potential. In Farming Systems and Food Security in Africa; Routledge: Oxfordshire, UK, 2019; pp. 182–213. [Google Scholar]
- Campoverde Caicedo, A.; Meneses Quelal, O. Challenges and Opportunities of Oxalis tuberosa Molina Cultivation, from an Andean Agroecological and Biocultural Perspective. Sustainability 2025, 17, 6470. [Google Scholar] [CrossRef]
- Bonnave, M.; Bleeckx, T.; Terrazas, F.; Bertin, P. Effect of the management of seed flows and mode of propagation on the genetic diversity in an Andean farming system: The case of oca (Oxalis tuberosa Mol.). Agric. Hum. Values 2016, 33, 673–688. [Google Scholar] [CrossRef]
- Hall, A.J.; Richards, R.A. Prognosis for genetic improvement of yield potential and water-limited yield of major grain crops. Field Crops Res. 2013, 143, 18–33. [Google Scholar] [CrossRef]
- Santacruz, S. Characterisation of Starches Isolated from Arracacha xanthorriza, Canna edulis and Oxalis tuberosa and Extracted from Potato Leaf (No. 486); Swedish University of Agricultural Sciences: Uppsala, Sweden, 2004. [Google Scholar]
- Khoo, P.S.; Ilyas, R.A.; Uda, M.N.A.; Hassan, S.A.; Nordin, A.H.; Norfarhana, A.; Ab Hamid, N.H.; Rani, M.S.A.; Abral, H.; Norrrahim, M.N.F.; et al. Starch-based polymer materials as advanced adsorbents for sustainable water treatment: Current status, challenges, and future perspectives. Polymers 2023, 15, 3114. [Google Scholar] [CrossRef]
- Ajayi-Banji, I.O. The Impact of Environmental and Storage Conditions on the Quality of Immature Soybeans and Estimated Allowable Storage Time of Mature Soybeans Based on Temperature and Moisture Content. Doctoral Dissertation, North Dakota State University, Fargo, ND, USA, 2023. [Google Scholar]
- Chauhan, V.B.S.; Mallick, S.N.; Pati, K.; Arutselvan, R.; Nedunchezhiyan, M. Status and importance of underexploited tuber crops in relation to nutritional security and economic prosperity. In Compendium for Winter School on Unexpected Vegetables: Unexplored Treasure Trove for Food, Nutritional and Economic Security; ICAR-Indian Institute of Vegetable Research: Varanas, India, 2022; Volumes 246–264. [Google Scholar]
- Chirinos, R.; Betalleluz-Pallardel, I.; Huamán, A.; Arbizu, C.; Pedreschi, R.; Campos, D. HPLC-DAD characterisation of phenolic compounds from Andean oca (Oxalis tuberosa Mol.) tubers and their contribution to the antioxidant capacity. Food Chem. 2009, 113, 1243–1251. [Google Scholar] [CrossRef]
- Güemes-Vera, N.; Dimas-López, D.J.; Piloni-Martini, J.; Soto-Simental, S.; Bernardino-Nicanor, A.; González-Cruz, L.; Quintero-Lir, A. Antioxidant Activity of Oxalis tuberosa peel extracts. Boletín Cienc. Agropecu. ICAP 2019, 5, 1–3. [Google Scholar] [CrossRef]
- Aurora-Vigo, E.F.; Paucar-Menacho, L.M.; Anaya-Esparza, L.M.; Schmiele, M. Oca (Oxalis tuberosa Mol.): An Andean Tuber With Promising Physicochemical, Technological and Nutritional Properties for Potential Industrial Applications. Plant Foods Hum. Nutr. 2025, 80, 179. [Google Scholar] [CrossRef] [PubMed]
- Srivastava, A.K.; Wu, Q.S.; Mousavi, S.M.; Hota, D. Integrated soil fertility management in fruit crops: An overview. Int. J. Fruit Sci. 2021, 21, 413–439. [Google Scholar] [CrossRef]
- Islam, Z. Yield and Tuber Quality of Potato Varieties as Influenced by Organic Manure and Mulch Material. Doctoral Dissertation, Department of Agronomy, Faculty of Agriculture, Sher-e-Bangla Agricultural University, Dhaka, Bangladesh, 2018. [Google Scholar]
- Das, S.; Mitra, B.; Luthra, S.K.; Saha, A.; Hassan, M.M.; Hossain, A. Study on morphological, physiological characteristics and yields of twenty-one potato (Solanum tuberosum L.) cultivars grown in eastern sub-himalayan plains of India. Agronomy 2021, 11, 335. [Google Scholar] [CrossRef]





| Variety | Starch Content (g/100 g DW) |
|---|---|
| Yellow | 68.4 ± 2.1 a |
| Pink | 63.7 ± 1.8 b |
| Black | 59.2 ± 2.0 c |
| Parameter | Yellow | Pink | Black |
|---|---|---|---|
| Bulk density (g cm−3) | 0.72 ± 0.01 a | 0.68 ± 0.02 b | 0.65 ± 0.01 c |
| Hardness (N) | 5.3 ± 0.2 a | 5.0 ± 0.3 ab | 4.4 ± 0.3 b |
| Cohesiveness | 0.62 ± 0.03 a | 0.59 ± 0.04 ab | 0.57 ± 0.03 b |
| Chewiness (N·mm) | 3.5 ± 0.2 a | 3.1 ± 0.2 b | 2.9 ± 0.2 c |
| Calcium (mg kg−1) | 41.2 ± 2.1 a | 38.4 ± 1.9 b | 35.6 ± 2.0 c |
| Iron (mg kg−1) | 1.2 ± 0.1 b | 1.4 ± 0.1 a | 1.1 ± 0.1 b |
| Potassium (mg kg−1) | 330 ± 5 a | 312 ± 6 b | 305 ± 6 b |
| Phosphorus (mg kg−1) | 68.3 ± 2.0 a | 66.1 ± 1.8 ab | 64.4 ± 1.7 b |
| Magnesium (mg kg−1) | 28.6 ± 0.9 a | 27.2 ± 1.0 b | 26.5 ± 0.8 b |
| Parameter | DPPH (%) | Total Phenolics | Flavonoids |
|---|---|---|---|
| L* (lightness) | −0.91 * | −0.94 * | −0.89 * |
| a* (redness) | 0.93 * | 0.96 ** | 0.92 * |
| b* (yellowness) | 0.88 * | 0.90 * | 0.86 * |
| Parameter | Yellow Variety | Pink Variety | Black Variety |
|---|---|---|---|
| DPPH scavenging (%) | 34.8 ± 1.2 c | 41.5 ± 1.0 b | 46.2 ± 1.3 a |
| Total phenolics (mg GAE/g DW) | 3.8 ± 0.2 c | 5.1 ± 0.2 b | 5.9 ± 0.3 a |
| Flavonoids (mg QE/g DW) | 1.5 ± 0.1 c | 1.9 ± 0.1 b | 2.3 ± 0.1 a |
Disclaimer/Publisher’s Note: The statements, opinions and data contained in all publications are solely those of the individual author(s) and contributor(s) and not of MDPI and/or the editor(s). MDPI and/or the editor(s) disclaim responsibility for any injury to people or property resulting from any ideas, methods, instructions or products referred to in the content. |
© 2026 by the authors. Licensee MDPI, Basel, Switzerland. This article is an open access article distributed under the terms and conditions of the Creative Commons Attribution (CC BY) license.
Share and Cite
Oré Areche, F.; Luque Vilca, O.M.; Bautista Vargas, M.; Yapias, R.J.M.; Ruiz Rodríguez, A.; Sanchez Onofre, A.; Huaquipaco Encinas, S.; Dominguez, J.A.J.; Guarnizo, A.V.S.; Rivera, T.J.C.; et al. Strategic Characterization of Functional and Nutritional Traits in Yellow, Pink, and Black Oxalis tuberosa for Next-Generation Agricultural and Industrial Applications. Foods 2026, 15, 1004. https://doi.org/10.3390/foods15061004
Oré Areche F, Luque Vilca OM, Bautista Vargas M, Yapias RJM, Ruiz Rodríguez A, Sanchez Onofre A, Huaquipaco Encinas S, Dominguez JAJ, Guarnizo AVS, Rivera TJC, et al. Strategic Characterization of Functional and Nutritional Traits in Yellow, Pink, and Black Oxalis tuberosa for Next-Generation Agricultural and Industrial Applications. Foods. 2026; 15(6):1004. https://doi.org/10.3390/foods15061004
Chicago/Turabian StyleOré Areche, Franklin, Olivia Magaly Luque Vilca, Marino Bautista Vargas, Rafael Julian Malpartida Yapias, Alfonso Ruiz Rodríguez, Arcadio Sanchez Onofre, Severo Huaquipaco Encinas, Juan Alberto Julcahuanga Dominguez, Anyela Viviana Silva Guarnizo, Tania Jakeline Choque Rivera, and et al. 2026. "Strategic Characterization of Functional and Nutritional Traits in Yellow, Pink, and Black Oxalis tuberosa for Next-Generation Agricultural and Industrial Applications" Foods 15, no. 6: 1004. https://doi.org/10.3390/foods15061004
APA StyleOré Areche, F., Luque Vilca, O. M., Bautista Vargas, M., Yapias, R. J. M., Ruiz Rodríguez, A., Sanchez Onofre, A., Huaquipaco Encinas, S., Dominguez, J. A. J., Guarnizo, A. V. S., Rivera, T. J. C., & Marcía Fuentes, J. (2026). Strategic Characterization of Functional and Nutritional Traits in Yellow, Pink, and Black Oxalis tuberosa for Next-Generation Agricultural and Industrial Applications. Foods, 15(6), 1004. https://doi.org/10.3390/foods15061004

