Honey Botanical Origin Authentication Using HS-SPME-GC-MS Volatile Profiling and Advanced Machine Learning Models (Random Forest, XGBoost, and Neural Network)
Abstract
1. Introduction
2. Materials and Methods
2.1. Honey Sample Preparation
2.2. HS-SPME Extraction
2.3. GC-MS Analysis
2.4. Chemometric Analysis
3. Results
3.1. VOC Fingerprinting
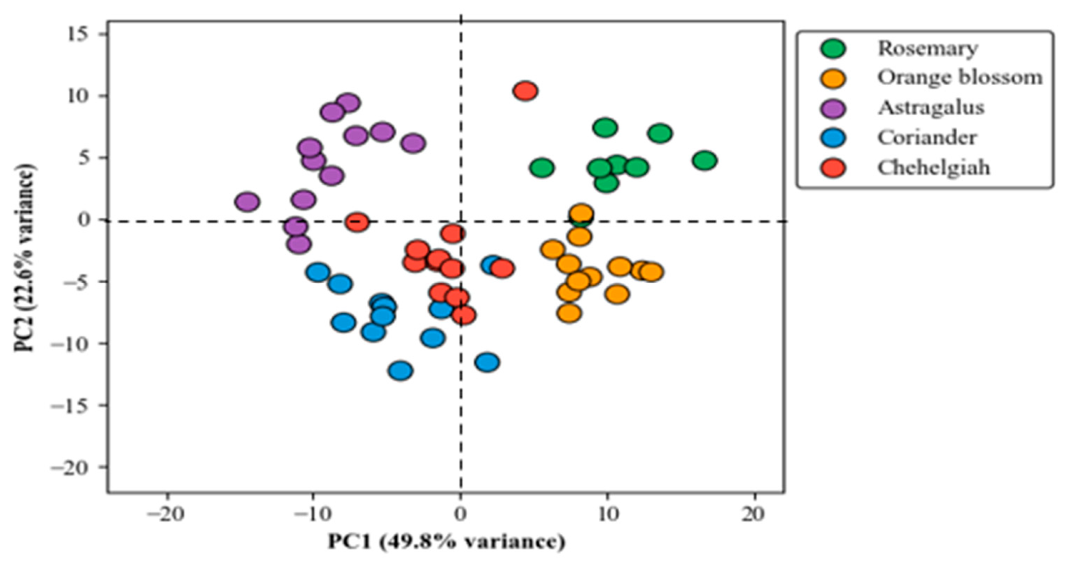
3.2. Chemometric Analysis
4. Discussion
Limitations
5. Conclusions
Supplementary Materials
Author Contributions
Funding
Institutional Review Board Statement
Informed Consent Statement
Data Availability Statement
Acknowledgments
Conflicts of Interest
Abbreviations
| GC–MS | Gas Chromatography–Mass Spectrometry |
| HS-SPME | Headspace Solid-Phase Microextraction |
| VOC | Volatile Organic Compound |
| PCA | Principal Component Analysis |
| RF | Random Forest |
| XGBoost | eXtreme Gradient Boosting |
| NN | Neural Network |
| PC1 | Principal Component 1 |
| PC2 | Principal Component 2 |
References
- Ntakoulas, D.D.; Pasias, I.N.; Raptopoulou, K.G.; Proestos, C. Authenticity of Greek honey based on phenolic compounds and physicochemical characteristics. Food Chem. 2025, 476, 143465. [Google Scholar] [CrossRef]
- Mărgăoan, R.; Topal, E.; Balkanska, R.; Yücel, B.; Oravecz, T.; Cornea-Cipcigan, M.; Vodnar, D.C. Monofloral honeys as a potential source of natural antioxidants, minerals and medicine. Antioxidants 2021, 10, 1023. [Google Scholar] [CrossRef]
- Bratosin, E.D.; Tit, D.M.; Pasca, M.B.; Purza, A.L.; Bungau, G.; Marin, R.C.; Radu, A.F.; Gitea, D. Physicochemical and Sensory Evaluation of Romanian Monofloral Honeys from Different Supply Chains. Foods 2025, 14, 2372. [Google Scholar] [CrossRef]
- Quintanilla-López, J.E.; Lebrón-Aguilar, R.; Soria, A.C. Volatile fingerprinting by solid-phase microextraction mass spectrometry for rapid classification of honey botanical source. LWT 2022, 169, 114017. [Google Scholar] [CrossRef]
- Tian, L.; Bilamjian, S.; Liu, L.; Akiki, C.; Cuthbertson, D.J.; Anumol, T.; Bayen, S. Development of a LC-QTOF-MS based dilute-and-shoot approach for the botanical discrimination of honeys. Anal. Chim. Acta 2024, 1304, 342536. [Google Scholar] [CrossRef] [PubMed]
- Wei, Q.; Sun, J.; Guo, J.; Li, X.; Zhang, X.; Xiao, F. Authentication of chaste honey adulterated with high fructose corn syrup by HS-SPME-GC-MS coupled with chemometrics. LWT 2023, 176, 114509. [Google Scholar] [CrossRef]
- Teruel-Andreu, C.; Issa-Issa, H.; Noguera-Artiaga, L.; Sendra, E.; Hernández, F.; Cano-Lamadrid, M. Volatile profile of breba and fig fruits (peel and pulp) from different Ficus carica L. varieties. Sci. Hortic. 2024, 328, 112892. [Google Scholar] [CrossRef]
- Corvucci, F.; Nobili, L.; Melucci, D.; Grillenzoni, F.-V. The discrimination of honey origin using melissopalynology and Raman spectroscopy techniques coupled with multivariate analysis. Food Chem. 2015, 169, 297–304. [Google Scholar] [CrossRef] [PubMed]
- Karabagias, I.K.; Badeka, A.; Kontominas, M.G. A decisive strategy for monofloral honey authentication using analysis of volatile compounds and pattern recognition techniques. Microchem. J. 2020, 152, 104263. [Google Scholar] [CrossRef]
- Ongalbek, D.; Şahin, B.; Berdesh, T.; Taş-Küçükaydın, M.; Tokul-Ölmez, Ö.; Yeskaliyeva, B.; Öztürk, M. Biomarker Aroma Compounds of Monofloral Honey From Kazakhstan by Gas Chromatography–Mass Spectrometry (GC–MS) and Chemometric Analysis*. Anal. Lett. 2025, 58, 2056–2073. [Google Scholar] [CrossRef]
- Egido, C.; Saurina, J.; Sentellas, S.; Núñez, O. Honey fraud detection based on sugar syrup adulterations by HPLC-UV fingerprinting and chemometrics. Food Chem. 2024, 436, 137758. [Google Scholar] [CrossRef] [PubMed]
- Kaškonienė, V.; Venskutonis, P.R. Floral Markers in Honey of Various Botanical and Geographic Origins: A Review. Compr. Rev. Food Sci. Food Saf. 2010, 9, 620–634. [Google Scholar] [CrossRef]
- Shahzad, M.; Shabbir, A.; Wojcikowski, K.; Wohlmuth, H.; CGobe, G. The antioxidant effects of Radix Astragali (Astragalus membranaceus and related species) in protecting tissues from injury and disease. Curr. Drug Targets 2016, 17, 1331–1340. [Google Scholar] [CrossRef]
- Alissandrakis, E.; Tarantilis, P.A.; Harizanis, P.C.; Polissiou, M. Aroma investigation of unifloral Greek citrus honey using solid-phase microextraction coupled to gas chromatographic–mass spectrometric analysis. Food Chem. 2007, 100, 396–404. [Google Scholar] [CrossRef]
- Castro-Vázquez, L.; Pérez-Coello, M.S.; Cabezudo, M.D. Analysis of volatile compounds of rosemary honey. Comparison of different extraction techniques. Chromatographia 2003, 57, 227–233. [Google Scholar] [CrossRef]
- Pourmoradian, A.; Barzegar, M.; Gharaghani, S.; Sahari, M.A. Honey adulteration detection using the HS-SPME-IMS technique combined with chemometric analysis. Food Chem. X 2025, 32, 103365. [Google Scholar] [CrossRef]
- Akbari, E.; Baigbabaei, A.; Shahidi, M. Determination of the floral origin of honey based on its phenolic profile and physicochemical properties coupled with chemometrics. Int. J. Food Prop. 2020, 23, 506–519. [Google Scholar] [CrossRef]
- Liang, J.; Zhou, C. Criticality enhances the multilevel reliability of stimulus responses in cortical neural networks. PLoS Comput. Biol. 2022, 18, e1009848. [Google Scholar] [CrossRef]
- Koraqi, H.; Wawrzyniak, J.; Aydar, A.Y.; Pandiselvam, R.; Khalide, W.; Petkoska, A.T.; Karabagias, I.K.; Ramniwas, S.; Rustagi, S. Application of multivariate analysis and Kohonen Neural Network to discriminate bioactive components and chemical composition of kosovan honey. Food Control 2025, 172, 111072. [Google Scholar] [CrossRef]
- Agrawal, U.; Bawane, N.; Alsubaie, N.; Alqahtani, M.S.; Abbas, M.; Soufiene, B.O. Design & development of adulteration detection system by fumigation method & machine learning techniques. Sci. Rep. 2024, 14, 25366. [Google Scholar] [CrossRef]
- Wu, L.; Wang, M. Geographical origin identification of sweet cherry based on quality traits combined with DD-SIMCA and XGBoost. Food Chem. 2025, 492, 145525. [Google Scholar] [CrossRef] [PubMed]
- Simão, C.; Nascimento, J.E.d.M.; Toledo VdAAd de Lima, V.A.; Felsner, M.L. Digital image processing combined with machine learning: A novel approach for bee pollen classification. Food Res. Int. 2025, 212, 116399. [Google Scholar] [CrossRef]
- de Santana, F.B.; Neto, W.B.; Poppi, R.J. Random forest as one-class classifier and infrared spectroscopy for food adulteration detection. Food Chem. 2019, 293, 323–332. [Google Scholar] [CrossRef] [PubMed]
- Kantemiris, G.; Kourelias, P.; Panagiotopoulou, C.; Stefas, D.; Couris, S. Authentication of the botanical origin of honey via Laser Induced Breakdown Spectroscopy. Microchem. J. 2025, 212, 113537. [Google Scholar] [CrossRef]
- Kaczmarek, A.M.; Muzolf-Panek, M.; Tomaszewska-Gras, J.; Konieczny, P. Predicting the Botanical Origin of Honeys with Chemometric Analysis According to Their Antioxidant and Physicochemical Properties. Pol. J. Food Nutr. Sci. 2019, 69, 191–201. [Google Scholar] [CrossRef]
- Arroyo-Manzanares, N.; García-Nicolás, M.; Zafra-Navarro, F.; Campillo, N.; Viñas, P. A non-targeted metabolomic strategy for characterization of the botanical origin of honey samples using headspace gas chromatography—Ion mobility spectrometry. Anal. Methods 2022, 14, 5047–5055. [Google Scholar] [CrossRef]
- Puścion-Jakubik, A.; Borawska, M.H.; Socha, K. Modern Methods for Assessing the Quality of Bee Honey and Botanical Origin Identification. Foods 2020, 9, 1028. [Google Scholar] [CrossRef]
- Baranauskienė, R.; Venskutonis, P.R.; Galdikas, A.; Senulienė, D.; Šetkus, A. Testing of microencapsulated flavours by electronic nose and SPME–GC. Food Chem. 2005, 92, 45–54. [Google Scholar] [CrossRef]
- Zhang, Y.-Z.; Si, J.-J.; Li, S.-S.; Zhang, G.-Z.; Wang, S.; Zheng, H.-Q.; Hu, F.-L. Chemical Analyses and Antimicrobial Activity of Nine Kinds of Unifloral Chinese Honeys Compared to Manuka Honey (12+ and 20+). Molecules 2021, 26, 2778. [Google Scholar] [CrossRef]
- Probst, P.; Wright, M.N.; Boulesteix, A.L. Hyperparameters and tuning strategies for random forest. Wiley Interdisciplinary Reviews: Data mining and knowledge discovery. WIREs Data Min. Knowl. Discov. 2019, 9, e1301. [Google Scholar] [CrossRef]



| RT 1 | Volatile Compounds | Chemical Class | Kovat Index (KI) 2 | |
|---|---|---|---|---|
| Exp. | Lit. | |||
| 6.844 | Nonane | Alkane | 900 | 900 |
| 8.929 | Benzaldehyde | Aromatic aldehyde | 964 | 961 |
| 10.554 | Octanal | Aldehyde | 1008 | 1000 |
| 11.682 | D-Limonene | Monoterpene | 1028 | 1030 |
| 12.211 | Benzeneacetaldehyde | Aromatic aldehyde | 1047 | 1045 |
| 12.888 | 2-Octenal, (E)- | Unsaturated aldehyde | 1065 | 1062 |
| 13.481 | 1-Octanol | Alcohol | 1082 | 1076 |
| 14.245 | Fenchone | Monoterpenoid ketone | 1086 | 1088 |
| 14.777 | Linalool | Monoterpenoid alcohol | 1098 | 1098 |
| 14.976 | Nonanal | Aldehyde | 1103 | 1102 |
| 15.246 | Phenylethyl alcohol | Aromatic alcohol | 1109 | 1110 |
| 16.627 | p-Menth-8-en-1-ol, stereoisomer | Monoterpenoid alcohol | 1141 | 1146 |
| 16.991 | Bicyclo [3.1.0] hexan-3-ol, 4-methyl-1-(1methylethyl)- | Monoterpenoid alcohol | 1149 | 1155 |
| 18.068 | 1-Nonanol | Alcohol | 1173 | 1172 |
| 18.714 | dill ester | Furan derivative (sesquiterpenoid-like) | 1187 | 1192 |
| 19.238 | Estragole | Phenylpropanoid | 1200 | 1196 |
| 19.650 | Decanal | Aldehyde | 1203 | 1203 |
| 20.125 | 3-Cyclohexene-1-acetaldehyde,.alpha.,4-dimethyl- | Monoterpenoid aldehyde | 1214 | 1217 |
| 21.308 | (-)-Carvone | Monoterpenoid ketone | 1239 | 1240 |
| 22.196 | 2-Decenal, (E)- | Unsaturated aldehyde | 1258 | 1264 |
| 22.524 | Nonanoic acid | Fatty acid | 1267 | 1272 |
| 22.698 | 1-Decanol | Alcohol | 1269 | 1272 |
| 23.341 | Anethole | Phenylpropanoid | 1285 | 1284 |
| 23.459 | Thymol | Monoterpenoid phenol | 1287 | 1287 |
| 23.460 | p-Mentha-1,8-dien-7-ol | Monoterpenoid alcohol | 1287 | 1295 |
| 25.568 | Methyl anthranilate | Aromatic ester | 1334 | 1341 |
| 26.223 | Naphthalene, 1,2-dihydro-1,1,6-trimethyl- | Sesquiterpene derivative | 1348 | 1355 |
| 28.436 | Tetradecane | Alkane | 1398 | 1400 |
| 28.731 | Tetradecanal | Aldehyde | 1405 | 1409 |
| 30.311 | 5,9-Undecadien-2-one, 6,10-dimethyl- | Sesquiterpenoid ketone | 1443 | 1435 |
| 32.296 | 1-Pentadecene | Alkene | 1498 | 1492 |
| 34.118 | .alpha.-Calacorene | Sesquiterpene | 1535 | 1542 |
| 36.625 | Hexadecane | Alkane | 1598 | 1600 |
| 36.769 | Cedrol | Sesquiterpenoid alcohol | 1603 | 1596 |
| 39.522 | 8-Heptadecene | Alkene | 1676 | 1680 |
| 42.483 | Octadecanoic acid | Fatty acid | 1757 | 1761 |
| Volatile Compounds | RT (min) | Coriander | Astragalus | Chehelgiah | Orange blossom | Rosemary |
|---|---|---|---|---|---|---|
| Nonane | 6.844 | 3.38 (3.38 ± 0.12) | – | 2.20 (2.20 ± 0.09) | 2.24 (2.24 ± 0.11) | 2.80 (2.80 ± 0.15) |
| Benzaldehyde | 8.929 | – | – | – | 1.79 (1.79 ± 0.08) | – |
| Octanal | 10.554 | 1.71 (1.71 ± 0.10) | 9.42 (9.42 ± 0.25) | – | – | – |
| Benzeneacetaldehyde (phenylacetaldehyde) | 12.211 | – | – | 0.33 (0.33 ± 0.04) | 1.19 (1.19 ± 0.07) | – |
| 1-Octanol | 13.481 | 11.99 (11.99 ± 0.45) | – | – | – | – |
| Fenchone | 14.245 | 2.31 (2.31 ± 0.14) | – | – | – | – |
| Linalool | 14.777 | 1.93 (1.93 ± 0.09) | 6.08 (6.08 ± 0.22) | – | 1.27 (1.27 ± 0.06) | – |
| Nonanal | 14.976 | 17.54 (17.54 ± 0.68) | 9.86 (9.86 ± 0.41) | 2.42 (2.42 ± 0.13) | 4.86 (4.86 ± 0.19) | 4.00 (4.00 ± 0.17) |
| p-Menth-8-en-1-ol | 16.627 | – | – | – | 3.64 (3.64 ± 0.16) | – |
| Sabinene hydrate | 16.991 | – | 2.40 (2.40 ± 0.12) | – | 6.13 (6.13 ± 0.28) | – |
| 1-Nonanol | 18.068 | 1.02 (1.02 ± 0.05) | – | – | 1.73 (1.73 ± 0.08) | 1.03 (1.03 ± 0.06) |
| Dill ester | 18.714 | 2.10 (2.10 ± 0.11) | 1.78 (1.78 ± 0.09) | – | – | 3.32 (3.32 ± 0.18) |
| Decanal | 19.65 | 8.24 (8.24 ± 0.32) | 2.35 (2.35 ± 0.12) | 2.66 (2.66 ± 0.14) | 1.14 (1.14 ± 0.07) | – |
| Perillaldehyde | 20.125 | – | 2.09 (2.09 ± 0.10) | – | 3.75 (3.75 ± 0.17) | – |
| (-)-Carvone | 21.308 | 4.77 (4.77 ± 0.21) | – | – | – | – |
| Thymoquinone | 21.56 | – | 8.17 (8.17 ± 0.38) | – | – | – |
| Nonanoic acid | 22.524 | – | – | 1.36 (1.36 ± 0.07) | – | – |
| Anethole | 23.341 | 3.84 (3.84 ± 0.18) | – | 2.11 (2.11 ± 0.10) | – | – |
| Naphthalene, 1,2-dihydro-1,1,6-trimethyl- | 26.223 | – | – | 2.45 (2.45 ± 0.13) | 1.20 (1.20 ± 0.06) | – |
| Tetradecane | 28.436 | – | – | 12.94 (12.94 ± 0.52) | – | – |
| 1-Pentadecene | 32.296 | – | – | – | 1.36 (1.36 ± 0.08) | 1.90 (1.90 ± 0.11) |
| Hexadecane | 36.625 | 3.67 (3.67 ± 0.16) | – | 2.56 (2.56 ± 0.12) | – | – |
| Cedrol | 36.769 | – | – | – | – | 1.65 (1.65 ± 0.09) |
| 8-Heptadecene | 39.522 | 1.04 (1.04 ± 0.05) | – | – | 2.11 (2.11 ± 0.10) | 2.62 (2.62 ± 0.14) |
| Octadecanoic acid (stearic acid) | 42.483 | – | – | – | 1.44 (1.44 ± 0.07) | 2.26 (2.26 ± 0.12) |
| Model | Evaluation Metric | Samples | ||||
|---|---|---|---|---|---|---|
| Coriander | Orange Blossom | Astragalus | Rosemary | Chehelgiah | ||
| RF | Precision | 0.84 | 0.77 | 0.94 | 0.78 | 0.70 |
| Recall | 0.84 | 0.88 | 0.92 | 0.72 | 0.68 | |
| F1-score | 0.84 | 0.82 | 0.93 | 0.75 | 0.69 | |
| Sensitivity | 0.84 | 0.88 | 0.91 | 0.71 | 0.67 | |
| Specificity | 0.97 | 0.94 | 0.96 | 0.96 | 0.95 | |
| Accuracy = 83.47% | ||||||
| XGBoost | Precision | 0.79 | 0.94 | 0.94 | 0.94 | 0.74 |
| Recall | 0.82 | 0.90 | 0.92 | 0.79 | 0.82 | |
| F1-score | 0.81 | 0.87 | 0.93 | 0.86 | 0.78 | |
| Sensitivity | 0.81 | 0.90 | 0.91 | 0.79 | 0.83 | |
| Specificity | 0.96 | 0.96 | 0.96 | 0.99 | 0.95 | |
| Accuracy = 86.69% | ||||||
| NN | Precision | 0.79 | 0.88 | 0.96 | 0.97 | 0.84 |
| Recall | 0,89 | 0.88 | 0.96 | 0.90 | 0.79 | |
| F1-score | 0.84 | 0.88 | 0.96 | 0.93 | 0.82 | |
| Sensitivity | 0.89 | 0.88 | 0.95 | 0.89 | 0.79 | |
| Specificity | 0.95 | 0.97 | 0.97 | 0.99 | 0.97 | |
| Accuracy = 90.32% | ||||||
| Technique/Methods | Chemometrics Model | Key Findings | Reference |
|---|---|---|---|
| Physicochemical parameters | LDA, ANN, PCA | High-accuracy classification of honeys according to botanical origin | [25] |
| HS-GC-IMS | OPLS-DA | Identification of volatile compounds for botanical characterization | [26] |
| LC-QTOF-MS | RF, PLS-DA | Rapid and reliable classification using metabolomic fingerprinting | [5] |
| NIR | PCA | Identification of botanical markers enabling varietal honey discrimination | [27] |
| Electronic Nose and SPME-GC-MS | PCA | Successful volatile profile discrimination of botanical origin | [28] |
| HS-GC-IMS | PCA | Effective detection of carbohydrate markers to detect adulteration | [29] |
| HS-SPME-GC-MS | PCA-RF-XGBoost-NN | Rapid and reliable classification of five different botanical honey samples | Our study |
Disclaimer/Publisher’s Note: The statements, opinions and data contained in all publications are solely those of the individual author(s) and contributor(s) and not of MDPI and/or the editor(s). MDPI and/or the editor(s) disclaim responsibility for any injury to people or property resulting from any ideas, methods, instructions or products referred to in the content. |
© 2026 by the authors. Licensee MDPI, Basel, Switzerland. This article is an open access article distributed under the terms and conditions of the Creative Commons Attribution (CC BY) license.
Share and Cite
Pourmoradian, A.; Barzegar, M.; Carbonell-Barrachina, Á.A.; Noguera-Artiaga, L. Honey Botanical Origin Authentication Using HS-SPME-GC-MS Volatile Profiling and Advanced Machine Learning Models (Random Forest, XGBoost, and Neural Network). Foods 2026, 15, 389. https://doi.org/10.3390/foods15020389
Pourmoradian A, Barzegar M, Carbonell-Barrachina ÁA, Noguera-Artiaga L. Honey Botanical Origin Authentication Using HS-SPME-GC-MS Volatile Profiling and Advanced Machine Learning Models (Random Forest, XGBoost, and Neural Network). Foods. 2026; 15(2):389. https://doi.org/10.3390/foods15020389
Chicago/Turabian StylePourmoradian, Amir, Mohsen Barzegar, Ángel A. Carbonell-Barrachina, and Luis Noguera-Artiaga. 2026. "Honey Botanical Origin Authentication Using HS-SPME-GC-MS Volatile Profiling and Advanced Machine Learning Models (Random Forest, XGBoost, and Neural Network)" Foods 15, no. 2: 389. https://doi.org/10.3390/foods15020389
APA StylePourmoradian, A., Barzegar, M., Carbonell-Barrachina, Á. A., & Noguera-Artiaga, L. (2026). Honey Botanical Origin Authentication Using HS-SPME-GC-MS Volatile Profiling and Advanced Machine Learning Models (Random Forest, XGBoost, and Neural Network). Foods, 15(2), 389. https://doi.org/10.3390/foods15020389

