Williams Pear Canning-Industrial Residues Suitable for Powdered Products: Effect of Particle Size and Acid Immersion on Physicochemical and Bioactive Properties
Abstract
1. Introduction
2. Materials and Methods
2.1. Materials and Reagents
2.2. Residue Safety Evaluation and Overall Characterization
2.3. Acid Immersion Pretreatment and Drying Behavior of Pear Residue
2.4. Pear Residue Powders
2.4.1. Compositional Analysis of Powders
2.4.2. Antioxidant Potential of Powders
Phenolic Compounds
Antioxidant Capacity
Bioaccessibility of Powders
Powder Cytotoxicity
2.4.3. Physical Properties of Powders
Properties Related to Powder Stability
Properties Related to Powder Flowability
| CI | Housner Ratio | Flowability |
| ≤10 | 1–1.11 | Excellent |
| 11–15 | 1.12–1.18 | Good |
| 16–20 | 1.19–1.25 | Fair |
| 21–26 | 1.26–1.34 | Acceptable |
| 26–31 | 1.35–1.45 | Poor |
Microstructural Analysis
Superficial Color
2.4.4. Techno-Functional Properties of Dietary Fiber
2.5. Statistical Analysis
3. Results
3.1. Pear Residue Characterization and Processing
3.1.1. Analysis of Residue Reuse Viability
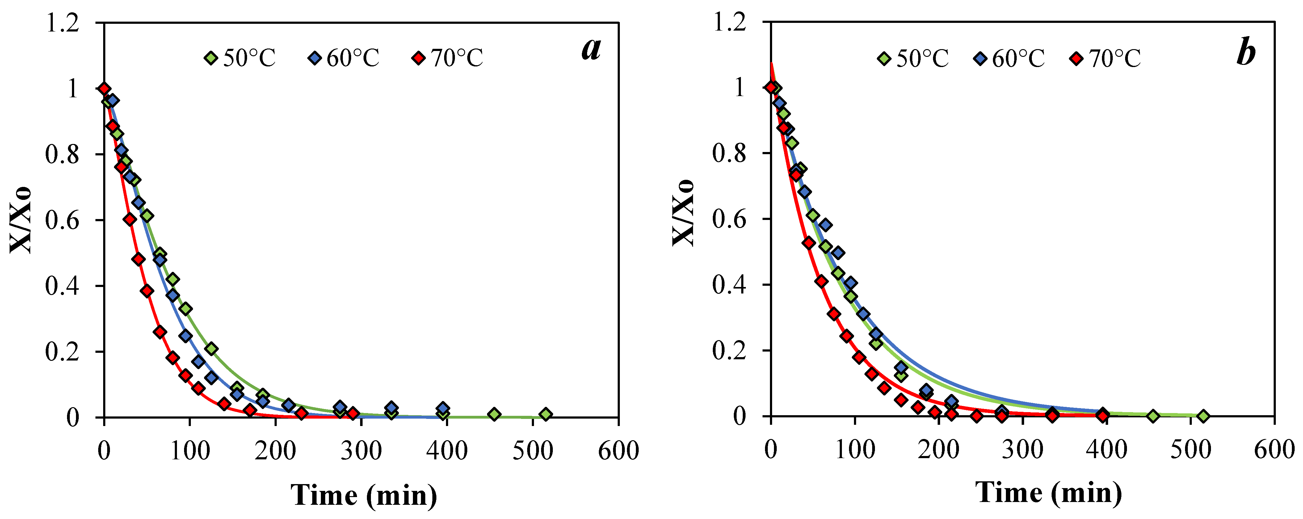
3.1.2. Drying Kinetics and Mathematical Modeling
3.2. Characterization of Powdered Products
3.2.1. Dietary Fiber Composition and Techno-Functional Properties
3.2.2. Polyphenol Content and Antioxidant Capacity
3.2.3. Bioaccessibility and Cytotoxicity After In Vitro Gastrointestinal Digestion
3.2.4. Physical Properties of Powder Products
Stability Evaluation
Superficial Color and Flowability Properties
4. Discussion
5. Conclusions
Supplementary Materials
Author Contributions
Funding
Institutional Review Board Statement
Informed Consent Statement
Data Availability Statement
Acknowledgments
Conflicts of Interest
Abbreviations
| C | Control residue |
| CIT | Residue pretreated by immersion in acid solution |
| C210 | Control powder with particle size <210 µm |
| CIT210 | Pretreated powder with particle size <210 µm |
| C590 | Control powder with particle size <590 µm |
| CIT590 | Pretreated powder with particle size <590 µm |
| TEP | Total extractable polyphenols |
| GAE | Gallic acid equivalent |
| aw | Water activity |
| TDF | Total dietary fiber |
| IDF | Insoluble dietary fiber |
| SDF | Soluble dietary fiber |
| NEP | Non-extractable phenolic compounds |
| AC | Antioxidant capacity |
| FRAP | Ferric reducing-antioxidant power |
| ABTS+• | 2,2-azinobis-[3-ethylbenzothiazoline-6-sulfonic acid] radical cation |
| B | Bioaccessibility |
| Tg | Glass transition temperature |
| RH | Relative humidity |
| H | Hygroscopicity |
| D | Mass median diameter |
| CI | Carr’s compressibility index |
| SEM | Scanning electron microscopy |
| SC | Swelling capacity |
| WHC | Water holding capacity |
| WRC | Water retention capacity |
| RW | Retained water |
| OHC | Oil holding capacity |
| SD | Standard deviation |
References
- Capanoglu, E.; de Vos, R.C.H.; Hall, R.D.; Boyacioglu, D. Novel approaches in the valorization of agricultural wastes: Combining green extraction, micro/nanotechnologies and biorefineries. J. Agric. Food Chem. 2022, 70, 12345–12362. [Google Scholar] [CrossRef]
- Gómez, M.; Ramos, A.; Barba, F.J. Utilization of by-products from the fruit and vegetable processing industry in food applications: A review. Appl. Sci. 2025, 15, 2189. [Google Scholar] [CrossRef]
- Samad, N.; Okonkwo, C.E.; Ayyash, M.; Al-Marzouqi, A.H.; Yuliarti, O.; Kamal-Eldin, A. Valorization of Fruit Pomace by Enzymatic Treatment and Microbial Fermentation. Fermentation 2025, 11, 376. [Google Scholar] [CrossRef]
- Araujo, B.Z.R.; Martins, V.F.R.; Pintado, M.E.; Morais, R.M.S.C.; Morais, A.M.M.B. A Comparative Study of Drying Technologies for Apple and Ginger Pomace: Kinetic Modeling and Antioxidant Properties. Processes 2024, 12, 2096. [Google Scholar] [CrossRef]
- Galaz Campos, P.; Valdenegro, M.; Ramírez, C.; Nuñez, H.; Almonacid, S.; Simpson, R. Effect of drum drying temperature on drying kinetic and polyphenol contents in pomegranate peel. J. Food Eng. 2017, 208, 19–27. [Google Scholar] [CrossRef]
- Sozzi, A.; Zambon, M.; Mazza, G.; Salvatori, D. Fluidized bed drying of blackberry wastes: Drying kinetics, particle characterization and nutritional value of the obtained granular solids. Powder Technol. 2021, 385, 37–49. [Google Scholar] [CrossRef]
- Gomez Mattson, M.; Corfield, R.; Schebor, C.; Salvaltori, D. Elderberry pomace for food/nutraceutical product development: Impact of drying methods and simulated in vitro gastrointestinal digestion on phenolic profile and bioaccessibility. Int. J. Food Sci. Technol. 2024, 59, 4921–4929. [Google Scholar] [CrossRef]
- Santos, Y.C.; Freitas, M.D.M.; Freire, F.B.; Teixeira Freire, J.; Bitti Perazzini, M.T.; Perazzini, H. Heat and mass transfer in fluidized bed drying of acai agricultural biomass waste. Fuel 2025, 399, 135547. [Google Scholar] [CrossRef]
- Sette, P.; Garrido Makinistian, F.; Maturano, C.; Salvatori, D. Particulate systems from maqui (Aristotelia chilensis) wastes to be used as nutraceutics or high value-added ingredients. Dry. Technol. 2021, 40, 2669–2684. [Google Scholar] [CrossRef]
- Krajewska, A.; Dziki, D.; Yilmaz, M.A.; Özdemir, F.A. Physicochemical Properties of Dried and Powdered Pear Pomace. Molecules 2024, 29, 742. [Google Scholar] [CrossRef]
- Ramírez-Pulido, B.; Bas-Bellver, C.; Betoret, N.; Barrera, C.; Seguí, L. Valorization of Vegetable Fresh-Processing Residues as Functional Powdered Ingredients: A Review on the Potential Impact of Pretreatments and Drying Methods on Bioactive Compounds and Their Bioaccessibility. Front. Sustain. Food Syst. 2021, 5, 654313. [Google Scholar] [CrossRef]
- Kumar, H.; Guleria, S.; Kimta, N.; Nepovimova, E.; Dhalaria, R.; Dhanjal, D.S.; Sethi, N.; Alomar, S.; Kuca, K. Selected fruit pomaces: Nutritional profile, health benefits, and applications in functional foods and feeds. Curr. Res. Food Sci. 2024, 9, 100791. [Google Scholar] [CrossRef]
- Panza, O.; Alfieri, M.L.; Del Nobile, M.A.; Mugnaini, G.; Conte, A.; Panzella, L.; Bonini, M. Effects of dehydration temperature on physico-chemical, antioxidant and antimicrobial properties of grape pomace powder. LWT 2025, 227, 118029. [Google Scholar] [CrossRef]
- Tejeda-Miramontes, J.P.; Espinoza-Paredes, B.C.; Zatarain-Palffy, A.; García-Cayuela, T.; Tejada-Ortigoza, V.; Garcia-Amezquita, L.E. Process Modeling and Convective Drying Optimization of Raspberry Pomace as a Fiber-Rich Functional Ingredient: Effect on Techno-Functional and Bioactive Properties. Foods 2024, 13, 3597. [Google Scholar] [CrossRef]
- Deng, L.; Mujumdar, A.S.; Zhang, Q.; Yang, X.; Wang, J.; Zheng, Z.; Gao, Z.; Xiao, H. Chemical and physical pretreatments of fruits and vegetables: Effects on drying characteristics and quality attributes—A comprehensive review. Crit. Rev. Food Sci. Nutr. 2017, 59, 1408–1432. [Google Scholar] [CrossRef] [PubMed]
- Arcia, P.; Curutchet, A.; Pérez-Pirotto, C.; Hernando, I. Upcycling fruit pomaces (orange, apple, and grape-wine): The impact of particle size on phenolic compounds’ bioaccessibility. Heliyon 2024, 10, e38737. [Google Scholar] [CrossRef]
- Blicharz-Kania, A.; Pecyna, A.; Zdybel, B.; Andrejko, D. Physicochemical, Functional and Nutritional Characteristics of Various Types of Fruit Pomace. Processes 2025, 13, 3182. [Google Scholar] [CrossRef]
- Bacteriological Analytical Manual (BAM). Available online: https://www.fda.gov/food/laboratory-methods-food/bacteriological-analytical-manual-bam#intro (accessed on 20 September 2025).
- ISO 16649-3:2015; Microbiology of the Food Chain—Horizontal Method for the Enumeration of Beta-Glucuronidase-Positive Escherichia coli. Part 3: Detection and Most Probable Number Technique Using 5-Bromo-4-Chloro-3-Indolyl-ß-D-Glucuronide, 1st ed. International Organization for Standardization (ISO): Geneva, Switzerland, 2015.
- AOAC Official Methods of Analysis, 21st ed.; The Association of Official Analytical Chemists: Rockville, MD, USA, 2019.
- Oteiza, J.M.; Khaneghah, A.M.; Campagnollo, F.B.; Granato, D.; Mahmoudi, M.R.; Sant’Ana, A.S.; Gianuzzi, L. Influence of production on the presence of patulin and ochratoxin A in fruit juices and wines of Argentina. LWT 2017, 80, 200–207. [Google Scholar] [CrossRef]
- Torres-Sciancalepore, R.; Fernandez, A.; Asensio, D.; Riveros, M.; Fabani, M.P.; Fouga, G.; Rodriguez, R.; Mazza, G. Kinetic and thermodynamic comparative study of quince bio-waste slow pyrolysis before and after sustainable recovery of pectin compounds. Energy Convers. Manag. 2022, 252, 115076. [Google Scholar] [CrossRef]
- Sette, P.; Franceschinis, L.; Schebor, C.; Salvatori, D. Fruit snacks from raspberries: Influence of drying parameters on colour degradation and bioactive potential. Int. J. Food Sci. Technol. 2017, 52, 313–328. [Google Scholar] [CrossRef]
- AACC Method 32-05; Enzymatic-Gravimetric Method with Magazine Kit. AACC International, Cereals & Grains Association: St. Paul, MN, USA, 2017.
- Diez, S.; Salvatori, D.; Franceschinis, L. Agronomic, Nutritional, and Sensory Characterization and Horticultural Quality of Two Jerusalem Artichoke Biotypes from Northern Argentine Patagonia. Agronomy 2025, 15, 2397. [Google Scholar] [CrossRef]
- Sette, P.; Gomez Mattson, M.; Schebor, C.; Salvatori, D. Strategies for bioactive compound recovery from grape and apple wastes: Traditional and emerging technologies to reach zero waste discharge. Biomass Convers. Biorefinery 2025, 15, 28877–28894. [Google Scholar] [CrossRef]
- Bunzel, M.; Ralph, J.; Marita, J.; Steinhart, H. Identification of 4-O-5′-coupled diferulic acid from insoluble cereal fiber. J. Agric. Food Chem. 2000, 48, 3166–3169. [Google Scholar] [CrossRef]
- Minekus, M.; Alminger, M.; Alvito, P.; Balance, S.; Bohn, T.; Bourlieu, C.; Carrière, F.; Boutrou, R.; Corredig, M.; Dupont, D.; et al. A standardised static in vitro digestion method suitable for food—An international consensus. Food Funct. 2014, 5, 1113–1124. [Google Scholar] [CrossRef]
- Fanzaga, M.; Bollati, C.; Ranaldi, G.; Sucato, S.; Fustinoni, S.; Roda, G.; Lammi, C. Bioavailability Assessment of an Iron Formulation Using Differentiated Human Intestinal Caco-2 Cells. Foods 2023, 12, 3016. [Google Scholar] [CrossRef]
- Corfield, R.; Allievi, M.C.; Rivero, R.; López, T.; Pérez, O.E.; Salvatori, D.; Schebor, C. An Apple and Acáchul Berry Snack Rich in Bioaccessible Antioxidants and Folic Acid: A Healthy Alternative for Prenatal Diets. Foods 2024, 13, 692. [Google Scholar] [CrossRef]
- Gomez Mattson, M.; Corfield, R.; Bajda, L.; Perez, O.E.; Schebor, C.; Slavatori, D. Potential bioactive ingredient from elderberry fruit: Process optimization for a maximum phenolic recovery, physicochemical characterization, and bioaccesibility. J. Berry Res. 2021, 11, 51–68. [Google Scholar] [CrossRef]
- Garrido Makinistian, F.; Gallo, L.; Sette, P.; Salvatori, D.; Bucalá, V. Nutraceutical tablets from maqui berry (Aristotelia chilensis) spray-dried powders with high antioxidant levels. Dry. Technol. 2020, 38, 1231–1242. [Google Scholar] [CrossRef]
- Afroz, H.; Ahmed, T.; Uddin, A. Microbiological analysis and antibacterial activity of pear samples. Stamford J. Microbiol. 2015, 5, 1–4. [Google Scholar] [CrossRef][Green Version]
- Swailam, H.M.; Hammad, A.A.; Serag, M.S.; Mansour, F.A.; Abu El-Nour, S.A. Shelf-life Extension and Quality Improvement of Minimally Processed Pear by Combination Treatments with Irradiation. Int. J. Agric. Biol. 2007, 9, 575–583. [Google Scholar]
- Moghimi Dehkordi, M.; Pournuroz Nodeh, Z.; Soleimani Dehkordi, K.; Salmanvandi, H.; Rasouli Khorjestan, R.; Ghaffarzadeh, M. Soil, air, and water pollution from mining and industrial activities: Sources of pollution, environmental impacts, and prevention and control methods. Results Eng. 2024, 23, 102729. [Google Scholar] [CrossRef]
- Tsegay, Z.T.; Smaoul, S.; Varzakas, T. Toxicological qualities and detoxification trends of fruit by-products for valorization: A review. Open Life Sci. 2025, 20, 20251105. [Google Scholar] [CrossRef]
- Du, K.; Yuan, F.; Huo, M.; Mao, N.; Zhao, S.; Yang, X.; Sang, Y.; Tian, G. Nutrients, bioactives, health-promoting effects, and related products of pears: Different varieties, growth stages and parts. J. Funct. Foods 2025, 129, 106844. [Google Scholar] [CrossRef]
- Saquet, A.A.; Streif, J.; Almeida, D.P.F. Mineral composition and distribution within ‘Rocha’ pear in relation to internal storage disorders. Postharvest Biol. Technol. 2019, 158, 111002. [Google Scholar] [CrossRef]
- Viera, W.; Winefield, C. Genetic parameters for fruit mineral content in an interspecific pear (Pyrus spp.) population. N. Z. J. Crop Hortic. Sci. 2019, 47, 125–141. [Google Scholar] [CrossRef]
- Odagiu, A.C.M.; Boancă, E.; Balint, A.C.; Iederan, C.; Cifu, A.; Andone, A.A. Consideration on Nutritional Value of Fruit Wastes. Note 2: Crude Chemical, Vitamin C and Mineral Contents. ProEnviron. Promediu 2023, 16, 175–182. [Google Scholar]
- Aruani, M.C.; Sánchez, E.E. Fracciones de micronutrientes en suelos del Alto Valle de Río Negro, Argentina. Cienc. Suelo 2003, 21, 78–81. [Google Scholar]
- Pascoalino, L.A.; Reis, F.S.; Prieto, M.A.; Barreira, J.C.; Ferreira, I.C.F.R.; Barros, L. Valorization of Bio-Residues from the Processing of Main Portuguese Fruit Crops: From Discarded Waste to Health Promoting Compounds. Molecules 2021, 26, 2642. [Google Scholar] [CrossRef]
- Manzoor, M.; Anwar, F.; Bhatti, I.A.; Jamil, A. Variation of phenolics and antioxidant activity between peel and pulp parts of pear (Pyrus communis L.) fruit. Pak. J. Bot. 2013, 45, 1521–1525. [Google Scholar]
- Piluzza, G.; Campesi, G.; D’hallewin, G.; Molinu, M.G.; Re, G.A.; Sanna, F.; Sulas, L. Antioxidants in Fruit Fractions of Mediterranean Ancient Pear Cultivars. Molecules 2023, 28, 3559. [Google Scholar] [CrossRef]
- Gumul, D.; Ziobro, R.; Korus, J.; Kruczek, M. Apple Pomace as a Source of Bioactive Polyphenol Compounds in Gluten-Free Breads. Antioxidants 2021, 10, 807. [Google Scholar] [CrossRef] [PubMed]
- Hameed, F.; Gupta, N.; Rehman, R. Pear Wastes and By-Products Chemistry, Processing, and Utilization. In Hmadbook of Fruit Wastes and By-Products. Chemistry, Processing Technology, and Utilization, Muzaffar, K., Ahmad Sofi, S., Ahmad Mir, S., Eds.; 1st ed.; CRC Press: Boca Raton, FL, USA, 2023; pp. 305–313. [Google Scholar]
- Yusuf, K.; Saha, S.; Umar, S. Health Benefits of Dietary Fiber for the Management of Inflammatory Bowel Disease. Biomedicines 2022, 10, 1242. [Google Scholar] [CrossRef] [PubMed]
- Sette, P.; Fernandez, A.; Soria, J.; Rodriguez, R.; Salvatori, D.; Mazza, G. Integral valorization of fruit waste from wine and cider industries. J. Clean. Prod. 2020, 242, 118486. [Google Scholar] [CrossRef]
- Çetin, N. Comparative assessment of energy analysis, drying kinetics, and biochemical composition of tomato waste under different drying conditions. Sci. Hortic. 2022, 305, 111405. [Google Scholar] [CrossRef]
- Gebre, G.D.; Keneni, Y.G.; Gebremariam, S.N.; Marchetti, J.M. Drying Kinetics of Papaya (Carica papaya) Seed Waste at Different Temperatures and Pretreatment Conditions for Use in Biofuel Production. Waste Biomass Valor. 2026, 17, 349–369. [Google Scholar] [CrossRef]
- Krajewska, A.; Dziki, D. Utilization of pear pomace as a functional additive in biscuit production: Physicochemical and sensory evaluation. Int. Agrophys. 2025, 39, 53–60. [Google Scholar] [CrossRef]
- Ariyarathna, P.; Mizera, P.; Walkowiak, J.; Dziedzic, K. Physicochemical and Functional Properties of Soluble and Insoluble Dietary Fibers in Whole Grains and Their Health Benefts. Foods 2025, 14, 2447. [Google Scholar] [CrossRef]
- Cheng, X.; Cai, Y.; Zhang, J. Stone Cell Development in Pear. In The Pear Genome. Compendium of Plant Genomes, Korban, S., Ed.; 1st ed.; Springer: Cham, Switzerland, 2019; pp. 201–225. [Google Scholar]
- Chandel, V.; Biswas, D.; Roy, S.; Vaidya, D.; Verma, A.; Gupta, A. Current Advancements in Pectin: Extraction, Properties and Multifunctional Applications. Foods 2022, 11, 2683. [Google Scholar] [CrossRef]
- Riyamol, J.; Chengaiyan, G.; Singh Rana, S.; Ahmad, F.; Haque, S.; Capanoglu, E. Recent Advances in the Extraction of Pectin from Various Sources and Industrial Applications. ACS Omega 2023, 8, 46309–46324. [Google Scholar] [CrossRef]
- Fernandes, A.; Simões, S.; Ferreira, I.M.P.L.V.O.; Alegria, M.J.; Mateus, N.; Raymundo, A.; de Freitas, V. Upcycling Rocha do Oeste Pear Pomace as a Sustainable Food Ingredient: Composition, Rheological Behavior and Microstructure Alone and Combined with Yeast Protein Extract. Molecules 2022, 28, 179. [Google Scholar] [CrossRef]
- Manthei, A.; López-Gámez, G.; Martín-Belloso, O.; Elez-Martínez, P.; Soliva-Fortuny, R. Relationship between Physicochemical, Techno-Functional and Health-Promoting Properties of Fiber-Rich Fruit and Vegetable By-Products and Their Enhancement by Emerging Technologies. Foods 2023, 12, 3720. [Google Scholar] [CrossRef]
- Garcia-Amezquita, L.E.; Tejada-Ortigoza, V.; Serna-Saldivar, S.O.; Welti-Chanes, J. Dietary Fiber Concentrates from Fruit and Vegetable By-products: Processing, Modification, and Application as Functional Ingredients. Food Bioprocess. Technol. 2018, 11, 1439–1463. [Google Scholar] [CrossRef]
- Peng, F.; Ren, X.; Du, B.; Chen, L.; Yu, Z.; Yang, Y. Structure, Physicochemical Property, and Functional Activity of Dietary Fiber Obtained from Pear Fruit Pomace (Pyrus ussuriensis Maxim) via Different Extraction Methods. Foods 2022, 11, 2161. [Google Scholar] [CrossRef]
- Jurevičiūtė, I.; Keršienė, M.; Bašinskienė, L.; Leskauskaitė, D.; Jasutienė, I. Characterization of Berry Pomace Powders as Dietary Fiber-Rich Food Ingredients with Functional Properties. Foods 2022, 11, 716. [Google Scholar] [CrossRef]
- Núñez-Gómez, V.; Periago, M.J.; Ordóñez-Díaz, J.L.; Pereira-Caro, G.; Moreno-Rojas, J.M.; González-Barrio, R. Dietary fibre fractions rich in (poly)phenols from orange by-products and their metabolisation by in vitro digestion and colonic fermentation. Food Res. Int. 2024, 177, 113718. [Google Scholar] [CrossRef]
- Ludwig, I.A.; Rubió, L.; Mosele, J.I.; Motilva, M.J. Metabolic fate of extractable and non-extractable polyphenols. In Non-Extractable Polyphenols and Carotenoids: Importance in Human Nutrition and Health, Saura-Calixto, F., Pérez-Jiménez, J., Eds.; 1st ed.; Royal Society of Chemistry: London, UK, 2018; pp. 220–240, Chapter 11. [Google Scholar]
- Švestková, P.; Balík, J.; Soural, I. Synergistic effect of selected carboxylic acids and phenolic compounds detected by the FRAP method. Food Chem. X 2024, 23, 101573. [Google Scholar] [CrossRef]
- Saeedi, M.; Khezri, K.; Zakaryaei, A.S.; Mohammadamini, H. A comprehensive review of the therapeutic potential of α-arbutin. Phytother. Res. 2021, 35, 4136–4154. [Google Scholar] [CrossRef]
- Shahidi, F.; Peng, H. Bioaccessibility and bioavailability of phenolic compounds. J. Food Bioact. 2018, 4, 11–68. [Google Scholar] [CrossRef]
- Stellaard, F.; Lütjohann, D. Dynamics of the enterohepatic circulation of bile acids in healthy humans. Am. J. Physiol. Gastrointest. Liver Physiol. 2021, 321, 55–66. [Google Scholar] [CrossRef] [PubMed]
- Ferrari, C.C.; Morango, M.A.; Pimentel Marconi Germer, S. Evaluation of wáter sorption isotherm, glass transition temperature, vitamin C and color stability of mango peel powder during storage. SN Appl. Sci. 2021, 3, 210. [Google Scholar] [CrossRef]
- Roos, Y.; Karel, M. Water and Molecular Weight Effects on Glass Transitions in Amorphous Carbohydrates and Carbohydrate Solutions. J. Food Sci. 1991, 56, 1676–1681. [Google Scholar] [CrossRef]
- Ueda, J.M.; Morales, P.; Fernández-Ruiz, V.; Ferreira, A.; Barros, L.; Carocho, M.; Heleno, S.A. Powdered Foods: Structure, Processing, and Challenges: A Review. Appl. Sci. 2023, 13, 12496. [Google Scholar] [CrossRef]
- Gallón-Bedoya, M.; Cortés-Rodríguez, M.; Gil-González, J.H.; Guil-Guerrero, J.L.; Ortega-Toro, R. Valorization of Andean berries through whole-fruit powder development. Appl. Food Res. 2024, 4, 100447. [Google Scholar] [CrossRef]
- Červenka, L.; Frühbauerová, M.; Palarčík, J.; Muriqi, S.; Velichová, H. The Effect of Vibratory Grinding Time on Moisture Sorption, Particle Size Distribution, and Phenolic Bioaccessibility of Carob Powder. Molecules 2022, 27, 7689. [Google Scholar] [CrossRef] [PubMed]
- Suhag, R.; Kellil, A.; Razem, M. Factors Influencing Food Powder Flowability. Powders 2024, 3, 65–76. [Google Scholar] [CrossRef]
- Sharma, G.; Wu, W.; Dalal, E. The CIEDE2000 colour-difference formula: Implementation notes, supplementary test data, and mathematical observations. Color. Res. Appl. 2005, 30, 21–30. [Google Scholar] [CrossRef]
- Tepe, T.K.; Tepe, F.B. Improvement of pear slices drying by pretreatments and microwave-assisted convective drying method: Drying characteristics, modeling of artificial neural network, principal component analysis of quality parameters. J. Therm. Anal. Calorim. 2024, 149, 7313–7328. [Google Scholar] [CrossRef]
- Shah, D.S.; Moravkar, K.K.; Jha, D.K.; Lonkar, V.; Amin, P.D.; Chalikwar, S.S. A concise summary of powder processing methodologies for flow enhancement. Heliyon 2023, 9, e16498. [Google Scholar] [CrossRef]
- Pui, L.P.; Saleena, L.A.K. Effects of spray-drying parameters on physicochemical properties of powdered fruits. Foods Raw Mater. 2022, 10, 235–251. [Google Scholar] [CrossRef]
- Barańska, A.; Jedlińska, A.; Samborska, K. Is it Possible to Produce Carrier-Free Fruit and Vegetable Powders by Spray Drying? Pol. J. Food Nutr. Sci. 2023, 73, 214–223. [Google Scholar] [CrossRef]
- Kamal, M.M.; Ove, T.A.; Saifullah, S.B.; Haque, M.R. Effects of Citric Acid and Potassium Metabisulphite Pre-Treatment on the Physical and Biochemical Properties of Dehydrated Amritsagar Banana Powder. Trends Sci. 2022, 19, 2893. [Google Scholar] [CrossRef]








| Residue Safety | Mean ± SD |
|---|---|
| Microbiological quality | |
| Mesophilic aerobics (CFU/g) | 2.2 × 105 ± 6 × 103 |
| Molds and yeast (CFU/g) | 1.9 × 104 ± 1 × 103 |
| Total coliforms (MPN/g) | 34 ± 1 |
| Fecal coliforms (E. coli, MPN/g) | <3 |
| Patulin | Absence |
| Heavy metals (mg/kg) | |
| As | <0.03 * |
| Hg | n.d. |
| Cr | <0.06 * |
| Cd | n.d. |
| Pb | n.d. |
| Ni | <0.01 * |
| Overall characterization | |
| Water content (g/100 g) | 86.5 ± 0.3 |
| aw | 0.979 ± 0.002 |
| pH | 4.6 ± 0.1 |
| Acidity (g malic acid/100 g) | 0.16 ± 0.10 |
| TDF (%) | 7.3 ± 0.5 |
| IDF (%) | 5.41 ± 0.04 |
| SDF (%) | 1.84 ± 0.09 |
| TEP (mg GAE/100 g) | 55.7 ± 0.1 |
| C210 | C590 | CIT210 | CIT590 | |
|---|---|---|---|---|
| Dietary fiber (%, db) | ||||
| TDF | 52.78 ± 0.06 a | 53.0 ± 0.4 b | 51.93 ± 0.01 a | 54.0 ± 0.5 b |
| IDF | 37.0 ± 0.9 b | 39.6 ± 0.3 a | 33.4 ± 0.4 c | 39.9 ± 0.2 a |
| SDF | 15.78 b | 13.22 d | 18.57 a | 14.16 c |
| IDF/SDF | 2.3 | 2.8 | 1.8 | 2.8 |
| Insoluble fiber composition | ||||
| Cellulose (%) | 18 ± 2 ab | 23.8 ± 0.4 b | 19 ± 1 a | 17 ± 1 a |
| Lignin (%) | 19.2 ± 0.6 a | 25.8 ± 0.4 b | 20.8 ± 0.3 a | 21 ± 1 a |
| Hemicellulose (%) | 15 ± 2 a | 21.4 ± 0.7 b | 17.5 ± 0.6 a | 15 ± 3 a |
| Techno-functional properties | ||||
| SC (mL/g) | 7.8 ± 0.2 bc | 7.6 ± 0.1 ab | 8.1 ± 0.2 c | 7.3 ± 0.1 a |
| WHC (g H2O/g wb) | 14.3 ± 0.3 a | 16.1 ± 0.2 b | 13 ± 1 a | 14.2 ± 0.3 a |
| WRC (g H2O/g wb) | 10.4 ± 0.1 c | 8.63 ± 0.03 b | 6.6 ± 0.3 a | 7.4 ± 0.4 a |
| RW (%) | 19 ± 2 bc | 21.3 ± 0.2 c | 15.1 ± 0.7 a | 17.1 ± 0.5 ab |
| OHC (g oil/g wb) | 1.31 ± 0.05 a | 1.6 ± 0.1 b | 1.5 ± 0.1 b | 1.42 ± 0.07 ab |
| Phenolic Family | Polyphenol | C210 | C590 | CIT210 | CIT590 |
|---|---|---|---|---|---|
| Phenolic glycoside | Arbutin | 54.704 ± 0.003 b | 48.19 ± 0.02 a | 65.636 ± 0.001 d | 58.434 ± 0.002 c |
| Phenolic acids | Chlorogenic acid | 20.56 ± 0.01 d | 18.093 ± 0.001 c | 13.204 ± 0.002 b | 11.65 ± 0.01 a |
| Ellagic acid | 370.2 ± 0.3 c | 368.82 ± 0.01 c | 319.44 ± 0.03 a | 322.04 ± 0.01 b | |
| p-coumaric acid | 0.957 ± 0.001 c | 0.880 ± 0.002 c | 0.6901 ± 0.0001 b | 0.76 ± 0.04 a | |
| Flavan-3-ols | Catechin | 21.41 ± 0.04 d | 17.880 ± 0.002 c | 11.55 ± 0.03 b | 8.364 ± 0.002 a |
| Flavonols | Rutin | 17.181 ± 0.006 c | 15.865 ± 0.003 b | 10.83 ± 0.04 a | 11.59 ± 0.01 a |
| Quercetin | 94.664 ± 0.002 d | 85.614 ± 0.001 c | 66.20 ± 0.01 b | 59.88 ± 0.02 a |
| Properties | C210 | C590 | CIT210 | CIT590 |
|---|---|---|---|---|
| H * (g water/g db) | 0.308 ± 0.004 b | 0.2964 ± 0.0005 a | 0.380 ± 0.004 d | 0.349 ± 0.001 c |
| Tg (°C) | 51.2 ± 0.5 b | 48 ± 1 a | 47 ± 1 a | 45 ± 2 a |
| Flowability | ||||
| Response angle (°) | 17 ± 1 ab | 16.1 ± 0.7 a | 16.6 ± 0.7 a | 18.55 ± 0.03 b |
| δbulk (g/mL) | 0.446 ± 0.003 a | 0.444 ± 0.006 a | 0.50 ± 0.01 b | 0.52 ± 0.02 b |
| δcompacted (g/mL) | 0.512 ± 0.006 a | 0.49 ± 0.02 a | 0.623 ± 0.008 b | 0.62 ± 0.01 b |
| CI (%) | 12.1 ± 0.5 a | 11.1 ± 0.4 a | 20.8 ± 0.5 b | 13 ± 2 a |
| Housner ratio | 1.14 ± 0.01 a | 1.12 ± 0.01 a | 1.26 ± 0.01 b | 1.15 ± 0.02 a |
| Particle Size | ||||
| D[4,3] (µm) | 124 ± 3 a | 354 ± 16 c | 121 ± 2 a | 226 ± 7 b |
| D10 (µm) | 42 ± 2 c | 92 ± 4 d | 30 ± 1 a | 36.0 ± 0.5 b |
| D50 (µm) | 120 ± 2 b | 325 ± 5 d | 106 ± 1 a | 171 ± 7 c |
| D90 (µm) | 209 ± 10 a | 637 ± 47 d | 231 ± 5 b | 503 ± 16 c |
| Span | 1.392 | 1.677 | 1.896 | 2.731 |
Disclaimer/Publisher’s Note: The statements, opinions and data contained in all publications are solely those of the individual author(s) and contributor(s) and not of MDPI and/or the editor(s). MDPI and/or the editor(s) disclaim responsibility for any injury to people or property resulting from any ideas, methods, instructions or products referred to in the content. |
© 2026 by the authors. Licensee MDPI, Basel, Switzerland. This article is an open access article distributed under the terms and conditions of the Creative Commons Attribution (CC BY) license.
Share and Cite
Gomez Mattson, M.; Diez, S.; Sette, P.; Corfield, R.; Garrido Makinistian, F.; Schebor, C.; Franceschinis, L.; Salvatori, D.M. Williams Pear Canning-Industrial Residues Suitable for Powdered Products: Effect of Particle Size and Acid Immersion on Physicochemical and Bioactive Properties. Foods 2026, 15, 377. https://doi.org/10.3390/foods15020377
Gomez Mattson M, Diez S, Sette P, Corfield R, Garrido Makinistian F, Schebor C, Franceschinis L, Salvatori DM. Williams Pear Canning-Industrial Residues Suitable for Powdered Products: Effect of Particle Size and Acid Immersion on Physicochemical and Bioactive Properties. Foods. 2026; 15(2):377. https://doi.org/10.3390/foods15020377
Chicago/Turabian StyleGomez Mattson, Milagros, Susana Diez, Paula Sette, Rocío Corfield, Francisco Garrido Makinistian, Carolina Schebor, Lorena Franceschinis, and Daniela M. Salvatori. 2026. "Williams Pear Canning-Industrial Residues Suitable for Powdered Products: Effect of Particle Size and Acid Immersion on Physicochemical and Bioactive Properties" Foods 15, no. 2: 377. https://doi.org/10.3390/foods15020377
APA StyleGomez Mattson, M., Diez, S., Sette, P., Corfield, R., Garrido Makinistian, F., Schebor, C., Franceschinis, L., & Salvatori, D. M. (2026). Williams Pear Canning-Industrial Residues Suitable for Powdered Products: Effect of Particle Size and Acid Immersion on Physicochemical and Bioactive Properties. Foods, 15(2), 377. https://doi.org/10.3390/foods15020377

