Impact of Different Extraction Methods on the Physicochemical Characteristics and Bioactivity of Polysaccharides from Baobab (Adansonia suarezensis) Fruit Pulp
Abstract
1. Introduction
2. Materials and Methods
2.1. Materials and Reagents
2.2. Preparation of ASPs
2.3. Chemical Composition Analysis
2.4. Molecular Weight Determination (Mw)
2.5. Particle Size Analysis
2.6. Ultraviolet Analysis (UV)
2.7. Fourier Transform-Infrared Spectroscopy (FT-IR) Analysis
2.8. The Congo Red Test
2.9. Scanning Electron Microscopy (SEM)
2.10. Thermal Stability Analysis
2.11. Antioxidant Capacities Analysis
- DPPH• scavenging activity
- ABTS•+ scavenging activity
2.12. α-Glucosidase Inhibition Activity
2.13. Statistical Analysis
3. Results and Discussion
3.1. Yields and Composition of ASPs
3.2. Molecular Weight Analysis
3.3. Particle Size Analysis
3.4. UV Analysis
3.5. FT-IR Analysis
3.6. Conformational Analysis
3.7. SEM Analysis
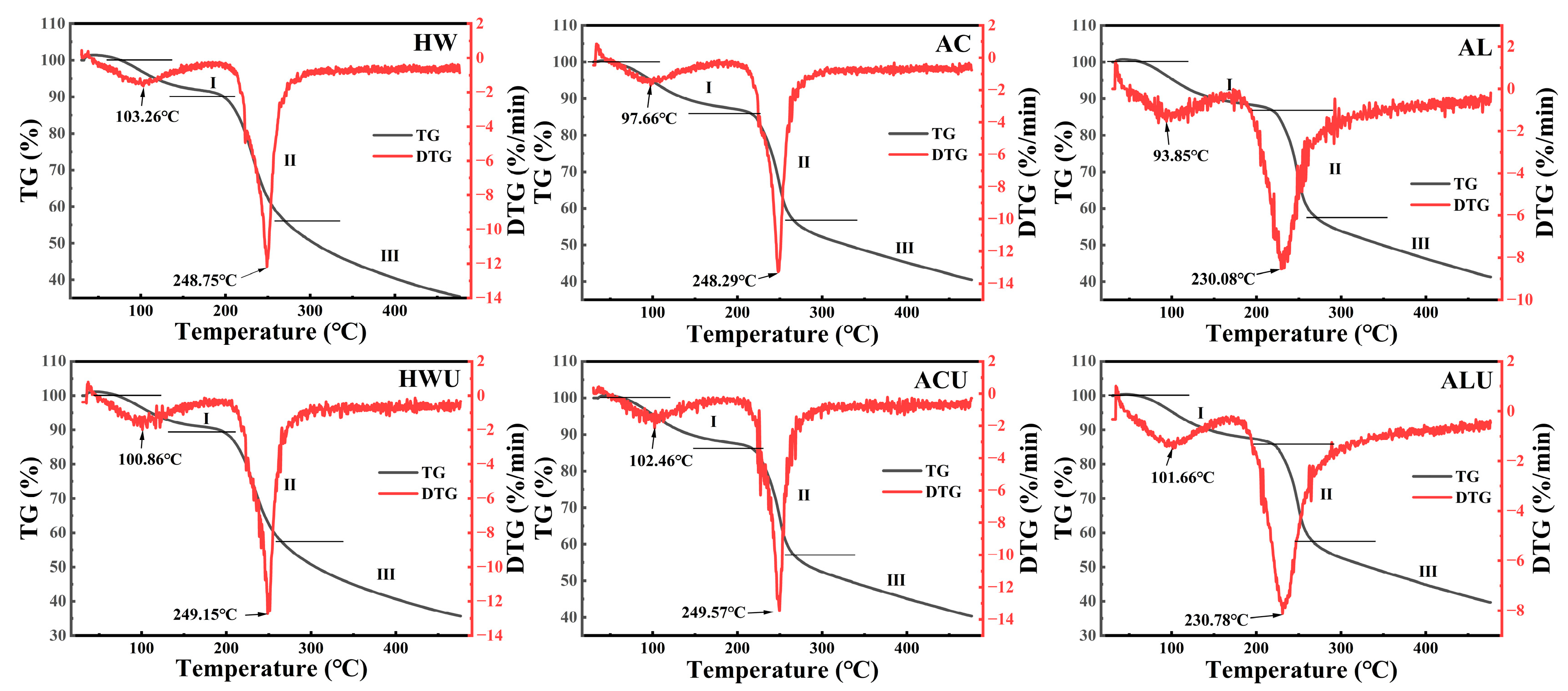
3.8. Thermal Stability Analysis
3.9. Antioxidant Capacity Analysis
3.10. α-Glucosidase Inhibitory Activity
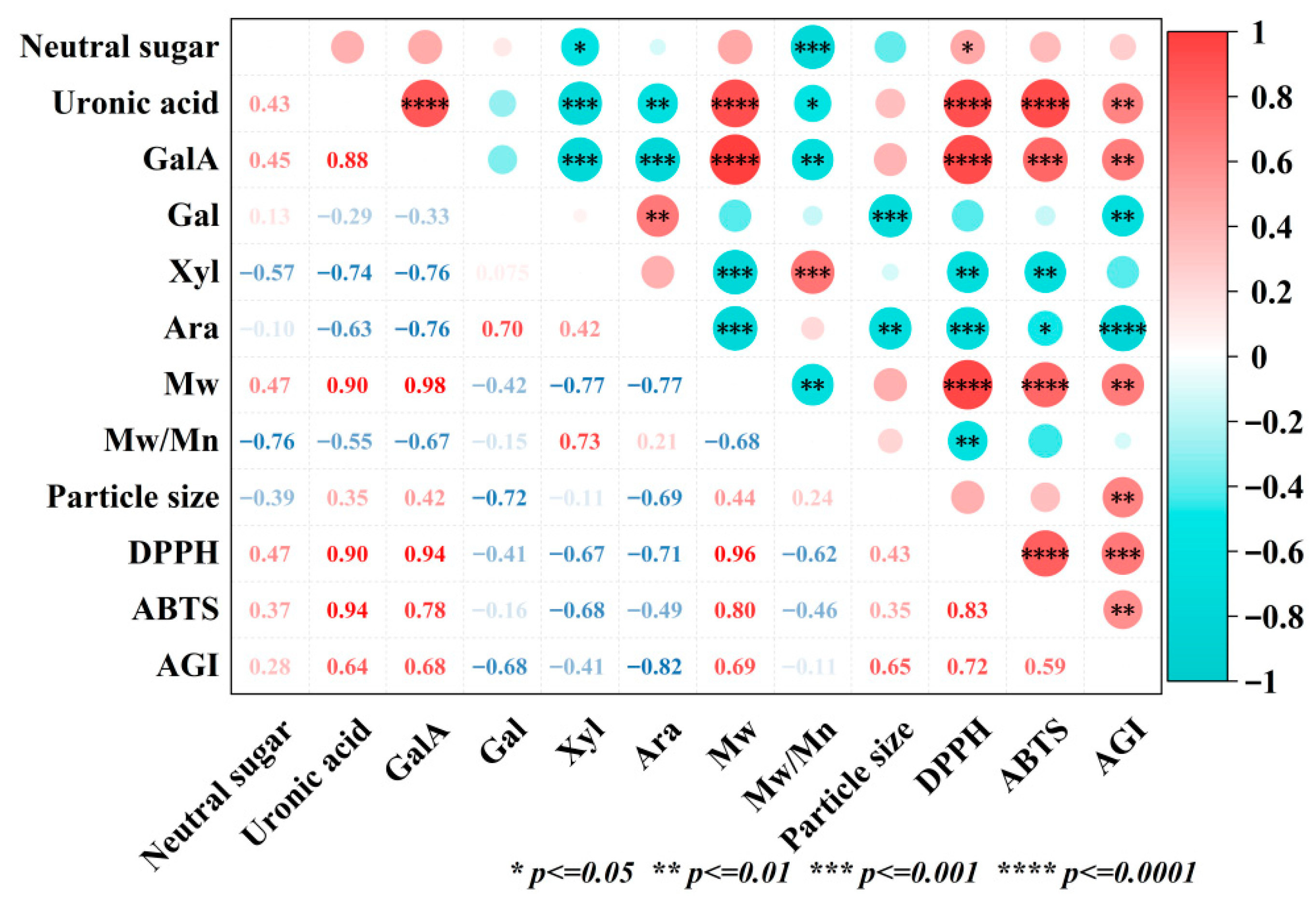
3.11. Correlation Analysis
4. Conclusions
Author Contributions
Funding
Institutional Review Board Statement
Informed Consent Statement
Data Availability Statement
Conflicts of Interest
References
- Pettigrew, J.D.; Bell, K.L.; Bhagwandin, A.; Grinan, E.; Jillani, N.; Meyer, J.; Wabuyele, E.; Vickers, C.E. Morphology, ploidy and molecular phylogenetics reveal a new diploid species from Africa in the baobab genus Adansonia (Malvaceae: Bombacoideae). Taxon 2012, 61, 1240–1250. [Google Scholar] [CrossRef]
- Asogwa, I.S.; Ibrahim, A.N.; Agbaka, J.I. African baobab: Its role in enhancing nutrition, health, and the environment. Trees For. People 2021, 3, 100043. [Google Scholar] [CrossRef]
- Silva, M.L.; Rita, K.; Bernardo, M.A.; de Mesquita, M.F.; Pintão, A.M.; Moncada, M. Adansonia digitata L. (Baobab) Bioactive Compounds, Biological Activities, and the Potential Effect on Glycemia: A Narrative Review. Nutrients 2023, 15, 2170. [Google Scholar] [CrossRef]
- Members of the IUCN SSC Madagascar Plant Specialist Group; Missouri Botanical Garden. Adansonia suarezensis (Errata Version Published in 2019). The IUCN Red List of Threatened Species. 2017, e.T30389A145519699. Available online: https://www.iucnredlist.org/species/30389/145519699 (accessed on 8 January 2026).
- Benalaya, I.; Alves, G.; Lopes, J.; Silva, L.R. A Review of Natural Polysaccharides: Sources, Characteristics, Properties, Food, and Pharmaceutical Applications. Int. J. Mol. Sci. 2024, 25, 1322. [Google Scholar] [CrossRef]
- Ji, X.; Guo, J.; Cao, T.; Zhang, T.; Liu, Y.; Yan, Y. Review on mechanisms and structure-activity relationship of hypoglycemic effects of polysaccharides from natural resources. Food Sci. Hum. Wellness 2023, 12, 1969–1980. [Google Scholar] [CrossRef]
- Bougatef, H.; Tandia, F.; Sila, A.; Haddar, A.; Bougatef, A. Polysaccharides from baobab (Adansonia digitata) fruit pulp: Structural features and biological properties. S. Afr. J. Bot. 2023, 157, 387–397. [Google Scholar] [CrossRef]
- Song, S.; Abubaker, M.A.; Akhtar, M.; Elimam, A.M.; Zhu, X.; Zhang, J. Chemical Characterization Analysis, Antioxidants, and Anti-Diabetic Activity of Two Novel Acidic Water-Soluble Polysaccharides Isolated from Baobab Fruits. Foods 2024, 13, 912. [Google Scholar] [CrossRef]
- Wang, Z.; Song, W.; Song, H.; Huang, W.; Li, Y.; Feng, J. Effects of extraction methods on the physicochemical properties and functionalities of pectic polysaccharides from burdock (Arctium lappa L.). Int. J. Biol. Macromol. 2024, 257, 128684. [Google Scholar] [CrossRef]
- Liang, L.; Su, Q.; Ma, Y.; Zhao, S.; Zhang, H.; Gao, X. Research progress on the polysaccharide extraction and antibacterial activity. Ann. Microbiol. 2024, 74, 17. [Google Scholar] [CrossRef]
- Lu, X. Changes in the structure of polysaccharides under different extraction methods. eFood 2023, 4, e82. [Google Scholar] [CrossRef]
- Wang, J.; Zhao, C.; Li, P.; Wang, L.; Li, S. Structural Characteristics and Multiple Bioactivities of Volvariella volvacea Polysaccharide Extracts: The Role of Extractive Solvents. Foods 2023, 12, 4357. [Google Scholar] [CrossRef]
- Jiang, X.-Y.; Wang, C.-W.; Zhang, J.; Xu, P.-P.; Xue, Y.-T.; Wang, Q. Effects of different extraction methods on physicochemical characteristics and bioactivities of fig (Ficus carica L.) leaves polysaccharides. Arab. J. Chem. 2023, 16, 105319. [Google Scholar] [CrossRef]
- Zhou, C.; He, S.; Gao, S.; Huang, Z.; Wang, W.; Hong, P.; Jia, R.-B. Effects of Ultrasound-Assisted Treatment on Physicochemical Properties and Biological Activities of Polysaccharides from Sargassum. Foods 2024, 13, 3941. [Google Scholar] [CrossRef]
- Li, J.; Shi, H.; Yu, J.; Lei, Y.; Huang, G.; Huang, H. Extraction and properties of Ginkgo biloba leaf polysaccharide and its phosphorylated derivative. Ind. Crops Prod. 2022, 189, 115822. [Google Scholar] [CrossRef]
- Blumenkrantz, N.; Asboe-Hansen, G. New method for quantitative determination of uronic acids. Anal. Biochem. 1973, 54, 484–489. [Google Scholar] [CrossRef]
- Bradford, M.M. A rapid and sensitive method for the quantitation of microgram quantities of protein utilizing the principle of protein-dye binding. Anal. Biochem. 1976, 72, 248–254. [Google Scholar] [CrossRef]
- Csepregi, K.; Neugart, S.; Schreiner, M.; Hideg, É. Comparative Evaluation of Total Antioxidant Capacities of Plant Polyphenols. Molecules 2016, 21, 208. [Google Scholar] [CrossRef] [PubMed]
- Xu, C.; Qin, N.; Yan, C.; Wang, S. Isolation, purification, characterization and bioactivities of a glucan from the root of Pueraria lobata. Food Funct. 2018, 9, 2644–2652. [Google Scholar] [CrossRef]
- Li, X.-J.; Xiao, S.-J.; Xie, Y.H.; Chen, J.; Xu, H.-R.; Yin, Y.; Zhang, R.; Yang, T.; Zhou, T.-Y.; Zhang, S.-Y.; et al. Structural characterization and immune activity evaluation of a polysaccharide from Lyophyllum decastes. Int. J. Biol. Macromol. 2024, 278, 134628. [Google Scholar] [CrossRef] [PubMed]
- Long, X.; Hu, X.; Xiang, H.; Chen, S.; Li, L.; Qi, B.; Li, C.; Liu, S.; Yang, X. Structural characterization and hypolipidemic activity of Gracilaria lemaneiformis polysaccharide and its degradation products. Food Chem. X 2022, 14, 100314. [Google Scholar] [CrossRef]
- Trabelsi, I.; Ben Slima, S.; Ktari, N.; Bouaziz, M.; Ben Salah, R. Structure analysis and antioxidant activity of a novel polysaccharide from katan seeds. BioMed Res. Int. 2021, 2021, 6349019. [Google Scholar] [CrossRef] [PubMed]
- Xu, Y.; Niu, X.; Liu, N.; Gao, Y.; Wang, L.; Xu, G.; Li, X.; Yang, Y. Characterization, antioxidant and hypoglycemic activities of degraded polysaccharides from blackcurrant (Ribes nigrum L.) fruits. Food Chem. 2018, 243, 26–35. [Google Scholar] [CrossRef]
- Nawrocka, A.; Szymańska-Chargot, M.; Miś, A.; Wilczewska, A.Z.; Markiewicz, K.H. Effect of dietary fibre polysaccharides on structure and thermal properties of gluten proteins—A study on gluten dough with application of FT-Raman spectroscopy, TGA and DSC. Food Hydrocoll. 2017, 69, 410–421. [Google Scholar] [CrossRef]
- Li, J.; Chen, Z.; Shi, H.; Yu, J.; Huang, G.; Huang, H. Ultrasound-assisted extraction and properties of polysaccharide from Ginkgo biloba leaves. Ultrason. Sonochem. 2023, 93, 106295. [Google Scholar] [CrossRef]
- Gao, S.; Li, T.; Li, Z.-R.; Liao, B.; Zhao, M.; Zhou, C.; Luo, D.; Jia, R.-B. Gradient ethanol extracts of Coreopsis tinctoria buds: Chemical and in vitro fermentation characteristics. Food Chem. 2025, 464, 141894. [Google Scholar] [CrossRef] [PubMed]
- Tang, Y.; He, X.; Liu, G.; Wei, Z.; Sheng, J.; Sun, J.; Li, C.; Xin, M.; Li, L.; Yi, P. Effects of different extraction methods on the structural, antioxidant and hypoglycemic properties of red pitaya stem polysaccharide. Food Chem. 2023, 405, 134804. [Google Scholar] [CrossRef]
- Sun, Y.; Hou, S.; Song, S.; Zhang, B.; Ai, C.; Chen, X.; Liu, N. Impact of acidic, water and alkaline extraction on structural features, antioxidant activities of Laminaria japonica polysaccharides. Int. J. Biol. Macromol. 2018, 112, 985–995. [Google Scholar] [CrossRef]
- Bai, L.; Zhu, P.; Wang, W.; Wang, M. The influence of extraction pH on the chemical compositions, macromolecular characteristics, and rheological properties of polysaccharide: The case of okra polysaccharide. Food Hydrocoll. 2020, 102, 105586. [Google Scholar] [CrossRef]
- Gao, S.; Li, W.; Yin, M.; Jia, R.-B.; Zhou, C.; Pan, X.; Liao, B. A Comparative Study on Physicochemical Properties and Biological Activities of Polysaccharides from Coreopsis tinctoria Buds Obtained by Different Methods. Foods 2025, 14, 1168. [Google Scholar] [CrossRef]
- Dou, Z.-M.; Chen, C.; Huang, Q.; Fu, X. Comparative study on the effect of extraction solvent on the physicochemical properties and bioactivity of blackberry fruit polysaccharides. Int. J. Biol. Macromol. 2021, 183, 1548–1559. [Google Scholar] [CrossRef]
- Dimopoulou, M.; Alba, K.; Sims, I.M.; Kontogiorgos, V. Structure and rheology of pectic polysaccharides from baobab fruit and leaves. Carbohydr. Polym. 2021, 273, 118540. [Google Scholar] [CrossRef] [PubMed]
- Zhang, J.Q.; Li, C.; Huang, Q.; You, L.-J.; Chen, C.; Fu, X.; Liu, R.H. Comparative study on the physicochemical properties and bioactivities of polysaccharide fractions extracted from Fructus Mori at different temperatures. Food Funct. 2019, 10, 410–421. [Google Scholar] [CrossRef]
- Janardhanan, A.; Govindan, S.; Moorthy, A.; Prashanth, K.V.H.; Prashanth, M.R.S.; Ramani, P. An alkali-extracted polysaccharide from Pleurotus eous and exploration of its antioxidant and immunomodulatory activities. J. Food Meas. Charact. 2024, 18, 2489–2504. [Google Scholar] [CrossRef]
- Zykwinska, A.; Rondeau-Mouro, C.; Garnier, C.; Thibault, J.-F.; Ralet, M.-C. Alkaline extractability of pectic arabinan and galactan and their mobility in sugar beet and potato cell walls. Carbohydr. Polym. 2006, 65, 510–520. [Google Scholar] [CrossRef]
- Yang, J.-S.; Mu, T.-H.; Ma, M.-M. Extraction, structure, and emulsifying properties of pectin from potato pulp. Food Chem. 2018, 244, 197–205. [Google Scholar] [CrossRef]
- Zheng, Q.; Jia, R.-B.; Luo, D.; Lin, L.; Chen, C.; Zhao, M. The effect of extraction solution pH level on the physicochemical properties and α-glucosidase inhibitory potential of Fucus vesiculosus polysaccharide. LWT 2022, 169, 114028. [Google Scholar] [CrossRef]
- Chen, S.; Qin, L.; Xie, L.; Yu, Q.; Chen, Y.; Chen, T.; Lu, H.; Xie, J. Physicochemical characterization, rheological and antioxidant properties of three alkali-extracted polysaccharides from mung bean skin. Food Hydrocoll. 2022, 132, 107867. [Google Scholar] [CrossRef]
- Chen, C.; Wang, P.-P.; Huang, Q.; You, L.-J.; Liu, R.H.; Zhao, M.-M.; Fu, X.; Luo, Z.-G. A comparison study on polysaccharides extracted from Fructus Mori using different methods: Structural characterization and glucose entrapment. Food Funct. 2019, 10, 3684–3695. [Google Scholar] [CrossRef]
- Chen, L.; Huang, G. Antioxidant activities of sulfated pumpkin polysaccharides. Int. J. Biol. Macromol. 2019, 126, 743–746. [Google Scholar] [CrossRef]
- Cheng, H.; Huang, G. The antioxidant activities of carboxymethylated garlic polysaccharide and its derivatives. Int. J. Biol. Macromol. 2019, 140, 1054–1063. [Google Scholar] [CrossRef]
- Xu, X.; Yan, H.; Zhang, X. Structure and Immuno-Stimulating Activities of a New Heteropolysaccharide from Lentinula edodes. J. Agric. Food Chem. 2012, 60, 11560–11566. [Google Scholar] [CrossRef]
- Xiong, F.; Li, X.; Zheng, L.; Hu, N.; Cui, M.; Li, H. Characterization and antioxidant activities of polysaccharides from Passiflora edulis Sims peel under different degradation methods. Carbohydr. Polym. 2019, 218, 46–52. [Google Scholar] [CrossRef] [PubMed]
- Zhao, Z.; Wang, L.; Ruan, Y.; Wen, C.; Ge, M.; Qian, Y.; Ma, B. Physicochemical properties and biological activities of polysaccharides from the peel of Dioscorea opposita Thunb. extracted by four different methods. Food Sci. Hum. Wellness 2023, 12, 130–139. [Google Scholar] [CrossRef]
- Jiao, X.; Li, F.; Zhao, J.; Wei, Y.; Zhang, L.; Wang, H.; Yu, W.; Li, Q. Structural diversity and physicochemical properties of polysaccharides isolated from pumpkin (Cucurbita moschata) by different methods. Food Res. Int. 2023, 163, 112157. [Google Scholar] [CrossRef]
- Wang, L.; Zhao, Z.; Zhao, H.; Liu, M.; Lin, C.; Li, L.; Ma, B. Pectin polysaccharide from Flos Magnoliae (Xin Yi, Magnolia biondii Pamp. flower buds): Hot-compressed water extraction, purification and partial structural characterization. Food Hydrocoll. 2022, 122, 107061. [Google Scholar] [CrossRef]
- Guo, D.; Liu, C.; Zhu, H.; Cheng, Y.; Guo, Y.; Yao, W.; Jiang, J.; Qian, H. Advanced insights into mushroom polysaccharides: Extraction methods, structure-activity, prebiotic properties, and health-promoting effects. Int. J. Biol. Macromol. 2025, 308, 142319. [Google Scholar] [CrossRef] [PubMed]
- Du, X.; Wang, X.; Yan, X.; Yang, Y.; Li, Z.; Jiang, Z.; Ni, H. Hypoglycaemic effect of all-trans astaxanthin through inhibiting α-glucosidase. J. Funct. Foods 2020, 74, 104168. [Google Scholar] [CrossRef]
- Wang, Z.; Zhou, X.; Shu, Z.; Zheng, Y.; Hu, X.; Zhang, P.; Huang, H.; Sheng, L.; Zhang, P.; Wang, Q.; et al. Regulation strategy, bioactivity, and physical property of plant and microbial polysaccharides based on molecular weight. Int. J. Biol. Macromol. 2023, 244, 125360. [Google Scholar] [CrossRef]










| Item | Standard Curve | R2 |
|---|---|---|
| Man | y = 7 × 106x + 263,992 | 0.9897 |
| GlcA | y = 6 × 106x − 684,086 | 0.9934 |
| GalA | y = 4 × 106x + 1 × 106 | 0.9991 |
| Rha | y = 6 × 106x − 2 × 106 | 0.9983 |
| Glc | y = 3 × 106x + 545,556 | 0.9701 |
| Gal | y = 8 × 106x − 644,473 | 0.9983 |
| Xyl | y = 7 × 106x + 85,922 | 0.9892 |
| Ara | y = 9 × 106x − 564,969 | 0.9757 |
| Fuc | y = 3 × 106x − 44,468 | 0.9713 |
| Item | HW | HWU | AC | ACU | AL | ALU |
|---|---|---|---|---|---|---|
| Yield (%) | 50.53 ± 0.31 b | 50.93 ± 3.06 b | 59.47 ± 0.42 a | 59.60 ± 0.72 a | 62.13 ± 0.31 a | 62.47 ± 1.67 a |
| Neutral sugar (%) | 20.25 ± 0.61 ab | 20.87 ± 0.69 a | 19.15 ± 0.20 c | 19.17 ± 0.30 c | 19.22 ± 0.67 c | 19.85 ± 0.16 bc |
| Uronic acid (%) | 79.93 ± 1.05 a | 79.59 ± 0.54 a | 74.71 ± 0.13 b | 74.33 ± 0.21 b | 72.69 ± 0.14 c | 70.91 ± 0.35 d |
| Total phenols (%) | 3.10 ± 0.11 c | 2.98 ± 0.08 d | 3.22 ± 0.05 b | 3.14 ± 0.04 bc | 3.93 ± 0.07 a | 3.83 ± 0.05 a |
| Protein (%) | 0.92 ± 0.02 d | 0.83 ± 0.03 d | 1.52 ± 0.01 b | 1.44 ± 0.03 c | 4.11 ± 0.03 a | 4.17 ± 0.07 a |
| Monosaccharide composition (molar ratio, %) | ||||||
| Galacturonic acid | 71.30 | 72.87 | 69.23 | 70.29 | 67.94 | 67.23 |
| Galactose | 8.40 | 7.25 | 7.35 | 7.24 | 8.00 | 8.46 |
| Xylose | 12.26 | 13.18 | 15.68 | 14.99 | 15.82 | 15.75 |
| Arabinose | 8.04 | 6.70 | 7.74 | 7.48 | 8.24 | 8.56 |
| Item | Mw (Da) | Mn (Da) | Mw/Mn |
|---|---|---|---|
| HW | 24,686 | 24,224 | 1.02 |
| HWU | 24,750 | 24,286 | 1.02 |
| AC | 20,595 | 17,787 | 1.16 |
| ACU | 20,997 | 18,239 | 1.15 |
| AL | 19,813 | 17,203 | 1.15 |
| ALU | 19,600 | 17,030 | 1.15 |
| Item | Phase | Temperature (°C) | Weight Loss (%) |
|---|---|---|---|
| HW | I | 30~197.54 | 9.89 |
| II | 197.54~269.57 | 34.06 | |
| Tmax | 248.75 | ||
| HWU | I | 30~197.20 | 10.68 |
| II | 197.20~265.13 | 31.88 | |
| Tmax | 249.15 | ||
| AC | I | 30~215.67 | 14.04 |
| II | 215.67~266.41 | 29.2 | |
| Tmax | 248.29 | ||
| ACU | I | 30~217.23 | 13.84 |
| II | 217.13~266.85 | 29.09 | |
| Tmax | 249.51 | ||
| AL | I | 30~219.65 | 13.13 |
| II | 219.65~270.02 | 29.38 | |
| Tmax | 230.08 | ||
| ALU | I | 30~219.98 | 14.15 |
| II | 219.98~266.79 | 28.42 | |
| Tmax | 230.78 |
Disclaimer/Publisher’s Note: The statements, opinions and data contained in all publications are solely those of the individual author(s) and contributor(s) and not of MDPI and/or the editor(s). MDPI and/or the editor(s) disclaim responsibility for any injury to people or property resulting from any ideas, methods, instructions or products referred to in the content. |
© 2026 by the authors. Licensee MDPI, Basel, Switzerland. This article is an open access article distributed under the terms and conditions of the Creative Commons Attribution (CC BY) license.
Share and Cite
Cui, H.; Gao, S.; Shi, J.; Pan, Y.; Hong, P.; Lu, J.; Zhou, C. Impact of Different Extraction Methods on the Physicochemical Characteristics and Bioactivity of Polysaccharides from Baobab (Adansonia suarezensis) Fruit Pulp. Foods 2026, 15, 273. https://doi.org/10.3390/foods15020273
Cui H, Gao S, Shi J, Pan Y, Hong P, Lu J, Zhou C. Impact of Different Extraction Methods on the Physicochemical Characteristics and Bioactivity of Polysaccharides from Baobab (Adansonia suarezensis) Fruit Pulp. Foods. 2026; 15(2):273. https://doi.org/10.3390/foods15020273
Chicago/Turabian StyleCui, Huimin, Shang Gao, Jiahui Shi, Yinghui Pan, Pengzhi Hong, Jiannong Lu, and Chunxia Zhou. 2026. "Impact of Different Extraction Methods on the Physicochemical Characteristics and Bioactivity of Polysaccharides from Baobab (Adansonia suarezensis) Fruit Pulp" Foods 15, no. 2: 273. https://doi.org/10.3390/foods15020273
APA StyleCui, H., Gao, S., Shi, J., Pan, Y., Hong, P., Lu, J., & Zhou, C. (2026). Impact of Different Extraction Methods on the Physicochemical Characteristics and Bioactivity of Polysaccharides from Baobab (Adansonia suarezensis) Fruit Pulp. Foods, 15(2), 273. https://doi.org/10.3390/foods15020273

