A Pectin-Based Active Coating for Preservation of Fresh-Cut Apples: Incorporated with Luteolin and ε-Polylysine for Enhanced Performance
Abstract
1. Introduction
2. Materials and Methods
2.1. Chemicals, Reagents and Strains
2.2. Preparation of Ternary Composite Films
2.3. Film Performance
2.3.1. Mechanical Properties
2.3.2. Comprehensive Evaluation on the Overall Mechanical Performance of Films
2.3.3. Antimicrobial Activity
2.3.4. Optical Properties of Films
2.3.5. Moisture Content (MC) and Water Solubility (WS)
2.3.6. Water Contact Angle (WCA)
2.3.7. Water Vapor Permeability (WVP), Oxygen Permeability (OP), and Carbon Dioxide Permeability (CDP)
2.3.8. Antioxidant Activity
2.3.9. Fourier Transform Infrared Spectroscopy (FTIR)
2.3.10. Scanning Electron Microscopy (SEM)
2.3.11. X-Ray Diffraction (XRD)
2.3.12. Release Kinetics of ε-Polylysine and Luteolin
2.4. Molecular Docking
2.5. Application of Edible Coating on Fresh-Cut Apples
2.5.1. Hardness
2.5.2. Weight Loss
2.5.3. Browning Index (BI)
2.5.4. Total Phenols Content (TPC) and Total Flavonoids Content (TFC)
2.5.5. Total Soluble Solids (TSSs) and Titratable Acids (TA)
2.5.6. Total Colony Count of Microbes from Apple Samples
2.6. Statistical Analysis
3. Results
3.1. Pectin–ε-Polylysine Films Incorporated with Different Phenolic Compounds
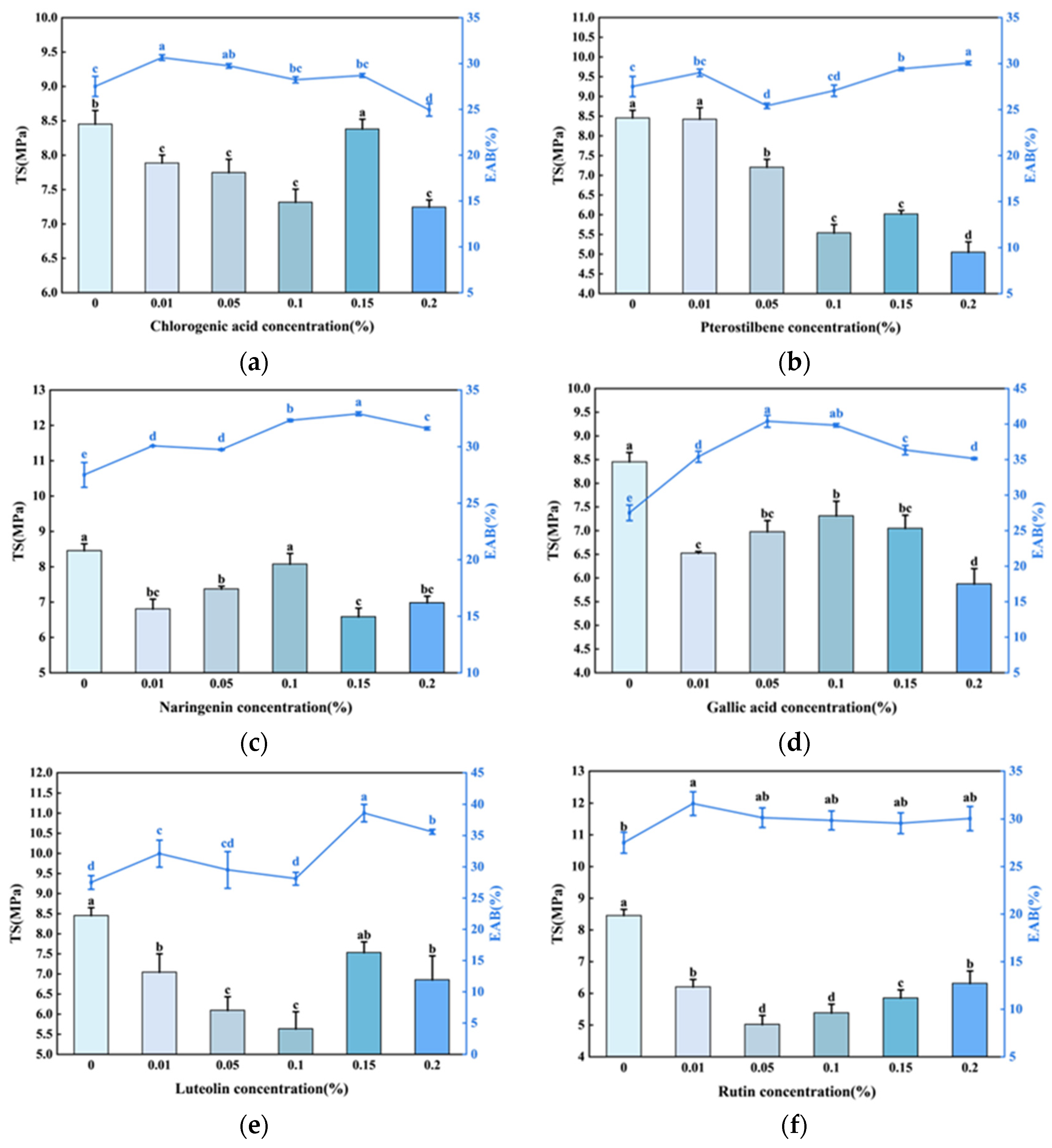
3.1.1. Mechanical Properties of Films Incorporated with Different Phenolic Compounds
3.1.2. Antimicrobial Properties
3.2. Functionalized Pectin–ε-Polylysine Films with Luteolin
3.2.1. Color and Transparency
3.2.2. Mechanical Properties of Films Incorporated with Luteolin
3.2.3. Hydrophobicity
3.2.4. Barrier Properties
3.2.5. Antioxidant Property
3.2.6. Simulated Release
3.2.7. Structural Characterization
3.2.8. Molecular Docking Results
3.3. Preservation of Fresh-Cut Apples with Pectin–ε-Polylysine–Luteolin Coating
3.3.1. Browning Index
3.3.2. Hardness of Fresh-Cut Apples
3.3.3. Weight Loss of Fresh-Cut Apples
3.3.4. Total Soluble Solids and Titratable Acids
3.3.5. Total Phenols and Flavonoids
3.3.6. Total Colony Count
4. Discussion
5. Conclusions
Author Contributions
Funding
Institutional Review Board Statement
Informed Consent Statement
Data Availability Statement
Conflicts of Interest
Abbreviations
| AP | Apple pectin. |
| APPL | Apple pectin–ε-polylysine complex. |
| APPL-Lu | Apple pectin–ε-polylysine–luteolin complex. |
| TS | Tensile strength. |
| EAB | Elongation at break. |
| WCA | Water contact angle. |
| WVP | Water vapor permeability. |
| OP | Oxygen permeability. |
| CDP | Carbon dioxide permeability. |
| FTIR | Fourier transform infrared spectroscopy. |
| SEM | Scanning electron microscopy. |
| XRD | X-ray diffraction |
References
- Liu, Z.; Li, M.; Li, G.; Yin, X.; Jiang, Y.; Yi, J. Strategies for Fresh-Cut Apple Preservation: Recent Advances and Future Prospects. Compr. Rev. Food Sci. Food Saf. 2025, 24, e70300. [Google Scholar] [CrossRef] [PubMed]
- Fan, X.; Gurtler, J.B.; Mattheis, J.P. Possible Sources of Listeria Monocytogenes Contamination of Fresh-Cut Apples and Antimicrobial Interventions During Antibrowning Treatments: A Review. J. Food Prot. 2023, 86, 100100. [Google Scholar] [CrossRef] [PubMed]
- Ali, N.; Dina, E.; Tas, A.A. Bioactive Edible Coatings for Fresh-Cut Apples: A Study on Chitosan-Based Coatings Infused with Essential Oils. Foods 2025, 14, 2362. [Google Scholar] [CrossRef]
- Maringgal, B.; Hashim, N.; Mohamed Amin Tawakkal, I.S.; Muda Mohamed, M.T. Recent Advance in Edible Coating and Its Effect on Fresh/Fresh-Cut Fruits Quality. Trends Food Sci. Technol. 2020, 96, 253–267. [Google Scholar] [CrossRef]
- Ma, M.; Liu, Y.; Zhang, S.; Yuan, Y. Edible Coating for Fresh-Cut Fruit and Vegetable Preservation: Biomaterials, Functional Ingredients, and Joint Non-Thermal Technology. Foods 2024, 13, 3937. [Google Scholar] [CrossRef]
- Yadav, A.; Kumar, N.; Upadhyay, A.; Singh, A.; Anurag, R.K.; Pandiselvam, R. Effect of Mango Kernel Seed Starch-Based Active Edible Coating Functionalized with Lemongrass Essential Oil on the Shelf-Life of Guava Fruit. Qual. Assur. Saf. Crops Foods 2022, 14, 103–115. [Google Scholar] [CrossRef]
- Valencia-Chamorro, S.A.; Palou, L.; Del Río, M.A.; Pérez-Gago, M.B. Antimicrobial Edible Films and Coatings for Fresh and Minimally Processed Fruits and Vegetables: A Review. Crit. Rev. Food Sci. Nutr. 2011, 51, 872–900. [Google Scholar] [CrossRef] [PubMed]
- Bizymis, A.-P.; Giannou, V.; Tzia, C. Development of Functional Composite Edible Films or Coatings for Fruits Preservation with Addition of Pomace Oil-Based Nanoemulsion for Enhanced Barrier Properties and Caffeine for Enhanced Antioxidant Activity. Molecules 2024, 29, 3754. [Google Scholar] [CrossRef]
- Kumar, S.; Reddy, A.R.L.; Basumatary, I.B.; Nayak, A.; Dutta, D.; Konwar, J.; Purkayastha, M.D.; Mukherjee, A. Recent Progress in Pectin Extraction and Their Applications in Developing Films and Coatings for Sustainable Food Packaging: A Review. Int. J. Biol. Macromol. 2023, 239, 124281. [Google Scholar] [CrossRef]
- Nastasi, J.R.; Kontogiorgos, V.; Daygon, V.D.; Fitzgerald, M.A. Pectin-Based Films and Coatings with Plant Extracts as Natural Preservatives: A Systematic Review. Trends Food Sci. Technol. 2022, 120, 193–211. [Google Scholar] [CrossRef]
- Sun, J.; Wei, Z.; Xue, C. Preparation and Characterization of Multifunctional Films Based on Pectin and Carboxymethyl Chitosan: Forming Microchambers for High-Moisture Fruit Preservation. Food Packag. Shelf Life 2023, 37, 101073. [Google Scholar] [CrossRef]
- Xiong, Y.; Li, S.; Warner, R.D.; Fang, Z. Effect of Oregano Essential Oil and Resveratrol Nanoemulsion Loaded Pectin Edible Coating on the Preservation of Pork Loin in Modified Atmosphere Packaging. Food Control 2020, 114, 107226. [Google Scholar] [CrossRef]
- Ben-Fadhel, Y.; Maherani, B.; Manus, J.; Salmieri, S.; Lacroix, M. Physicochemical and Microbiological Characterization of Pectin-Based Gelled Emulsions Coating Applied on Pre-Cut Carrots. Food Hydrocoll. 2020, 101, 105573. [Google Scholar] [CrossRef]
- Sanchís, E.; González, S.; Ghidelli, C.; Sheth, C.C.; Mateos, M.; Palou, L.; Pérez-Gago, M.B. Browning Inhibition and Microbial Control in Fresh-Cut Persimmon (Diospyros kaki Thunb. Cv. Rojo Brillante) by Apple Pectin-Based Edible Coatings. Postharvest Biol. Technol. 2016, 112, 186–193. [Google Scholar] [CrossRef]
- Qin, C.; Li, Z.; Zhang, J.; Meng, H.; Zhu, C. Preparation, Physicochemical Properties, Antioxidant, and Antibacterial Activities of Quaternized Hawthorn Pectin Films Incorporated with Thyme Essential Oil. Food Packag. Shelf Life 2024, 41, 101235. [Google Scholar] [CrossRef]
- Yang, W.; Zhang, S.; Feng, A.; Li, Y.; Wu, P.; Li, H.; Ai, S. Water-Insoluble Tea Polyphenol Nanoparticles as Fillers and Bioactive Agents for Pectin Films to Prepare Active Packaging for Fruit Preservation. Food Hydrocoll. 2024, 156, 110364. [Google Scholar] [CrossRef]
- Yang, J.; Punia Bangar, S.; Rizwan Khan, M.; Hammouda, G.A.; Alam, P.; Zhang, W. Biopolymer-Based Packaging Films/Edible Coatings Functionalized with ε-Polylysine: New Options for Food Preservation. Food Res. Int. 2024, 187, 114390. [Google Scholar] [CrossRef]
- Chang, Y.; McLandsborough, L.; McClements, D.J. Physicochemical Properties and Antimicrobial Efficacy of Electrostatic Complexes Based on Cationic ε-Polylysine and Anionic Pectin. J. Agric. Food Chem. 2011, 59, 6776–6782. [Google Scholar] [CrossRef]
- Chang, S.-L.; Zhao, Q.-S.; Li, H.; Wang, X.-D.; Wang, L.-W.; Zhao, B. Effect of Pectin on Epsilon-Polylysine Purification: Study on Preparation, Physicochemical Property, and Bioactivity of Pectin-Epsilon-Polylysine Complex. Food Hydrocoll. 2022, 124, 107314. [Google Scholar] [CrossRef]
- Pan, J.; Li, C.; Liu, J.; Jiao, Z.; Zhang, Q.; Lv, Z.; Yang, W.; Chen, D.; Liu, H. Polysaccharide-Based Packaging Coatings and Films with Phenolic Compounds in Preservation of Fruits and Vegetables—A Review. Foods 2024, 13, 3896. [Google Scholar] [CrossRef] [PubMed]
- Durazzo, A.; Lucarini, M.; Souto, E.B.; Cicala, C.; Caiazzo, E.; Izzo, A.A.; Novellino, E.; Santini, A. Polyphenols: A Concise Overview on the Chemistry, Occurrence, and Human Health. Phytother. Res. 2019, 33, 2221–2243. [Google Scholar] [CrossRef]
- Hassanpour, S.H.; Doroudi, A. Review of the Antioxidant Potential of Flavonoids as a Subgroup of Polyphenols and Partial Substitute for Synthetic Antioxidants. Avicenna J. Phytomed. 2023, 13, 354–376. [Google Scholar] [CrossRef] [PubMed]
- Shivangi, S.; Dorairaj, D.; Negi, P.S.; Shetty, N.P. Development and Characterisation of a Pectin-Based Edible Film That Contains Mulberry Leaf Extract and Its Bio-Active Components. Food Hydrocoll. 2021, 121, 107046. [Google Scholar] [CrossRef]
- Hastaoğlu, E.; Göksel Saraç, M.; Taşçi, Ş.; Can, Ö.P. Effect of Psyllium Powder on the Organoleptic Properties of Gluten-Free Bread Roll: Application Simple Additive Weighting (SAW) Method. Int. J. Food Sci. Technol. 2024, 59, 8551–8560. [Google Scholar] [CrossRef]
- Sharma, N.; Tripathi, A. Effects of Citrus Sinensis (L.) Osbeck Epicarp Essential Oil on Growth and Morphogenesis of Aspergillus Niger (L.) Van Tieghem. Microbiol. Res. 2008, 163, 337–344. [Google Scholar] [CrossRef]
- Lingait, D.; Kumar, A. Betacyanin-Enriched Pectin/Gellan Gum Films for Real-Time Mushroom Freshness. Int. J. Biol. Macromol. 2025, 319, 145334. [Google Scholar] [CrossRef]
- Monteiro, S.S.; Dos Anjos, A.I.M.; De Sousa, A.C.B.; Da Silva, M.B.; Monteiro, S.S.; Moreira Pereira, E.; Almeida, R.D.; De Bittencourt Pasquali, M.A. Application of Edible Films from Fermented Opuntia Cochenillifera Mucilage in the Preservation of Minimally Processed Fruits. Food Chem. 2025, 488, 144849. [Google Scholar] [CrossRef]
- Wang, R.; Chen, Z.; Shu, Y.; Wang, Y.; Wang, W.; Zhu, H.; Sun, J.; Ma, Q. Apple Pectin-Based Active Films to Preserve Oil: Effects of Naturally Branched Phytoglycogen-Curcumin Host. Int. J. Biol. Macromol. 2024, 266, 131218. [Google Scholar] [CrossRef]
- Yang, W.; Liu, J.; Zhang, Q.; Liu, H.; Lv, Z.; Zhang, C.; Jiao, Z. Changes in Nutritional Composition, Volatile Organic Compounds and Antioxidant Activity of Peach Pulp Fermented by Lactobacillus. Food Biosci. 2022, 49, 101894. [Google Scholar] [CrossRef]
- Grzebieniarz, W.; Tkaczewska, J.; Juszczak, L.; Krzyściak, P.; Cholewa-Wójcik, A.; Nowak, N.; Guzik, P.; Szuwarzyński, M.; Mazur, T.; Jamróz, E. Improving the Quality of Multi-Layer Films Based on Furcellaran by Immobilising Active Ingredients and Impact Assessment of the Use of a New Packaging Material. Food Chem. 2023, 428, 136759. [Google Scholar] [CrossRef]
- Zhang, Y.; Zhu, D.; Ren, X.; Shen, Y.; Cao, X.; Liu, H.; Li, J. Quality Changes and Shelf-Life Prediction Model of Postharvest Apples Using Partial Least Squares and Artificial Neural Network Analysis. Food Chem. 2022, 394, 133526. [Google Scholar] [CrossRef] [PubMed]
- Said, N.S.; Lee, W.-Y. Development and Characterization of pH-Responsive Schiff Base-Infused Pectin/PLA Bilayer Films for Active Fruit Preservation Packaging. Food Packag. Shelf Life 2025, 50, 101563. [Google Scholar] [CrossRef]
- Zhang, Q.; Yang, W.; Liu, J.; Liu, H.; Lv, Z.; Zhang, C.; Chen, D.; Jiao, Z. Postharvest UV-C Irradiation Increased the Flavonoids and Anthocyanins Accumulation, Phenylpropanoid Pathway Gene Expression, and Antioxidant Activity in Sweet Cherries (Prunus Avium L.). Postharvest Biol. Technol. 2021, 175, 111490. [Google Scholar] [CrossRef]
- Lin, K.; Zhu, Y.; Ma, H.; Wu, J.; Kong, C.; Xiao, Y.; Liu, H.; Zhao, L.; Qin, X.; Yang, L. Preparation, Characterization, and Application of Gallic Acid-Mediated Photodynamic Chitosan-Nanocellulose-Based Films. Int. J. Biol. Macromol. 2024, 277, 134008. [Google Scholar] [CrossRef]
- Meerasri, J.; Sothornvit, R. Characterization of Bioactive Film from Pectin Incorporated with Gamma-Aminobutyric Acid. Int. J. Biol. Macromol. 2020, 147, 1285–1293. [Google Scholar] [CrossRef] [PubMed]
- Costa, R.; Nunes, C.; Lima, S.A.C.; Gameiro, P.; Reis, S. Nanostructured Lipid Carrier-Embedded Hydrogels for Enhanced Skin Delivery of Quercetin: Optimized Formulation with Pomegranate Oil for UVB Protection. Int. J. Pharm. 2025, 681, 125894. [Google Scholar] [CrossRef] [PubMed]
- Jiang, Y.; Zhao, G.; Yang, X.; Fan, F. Preparation and Characterization of Nano-SiO2-Modified Emulsified Film and Its Application for Strawberry Preservation. Food Packag. Shelf Life 2023, 40, 101181. [Google Scholar] [CrossRef]
- Bi, F.; Yong, H.; Liu, J.; Zhang, X.; Shu, Y.; Liu, J. Development and Characterization of Chitosan and D-α-Tocopheryl Polyethylene Glycol 1000 Succinate Composite Films Containing Different Flavones. Food Packag. Shelf Life 2020, 25, 100531. [Google Scholar] [CrossRef]
- Liu, J.; Wang, Y.; Lv, J.; Wu, Y.; Guo, Y.; Sun, C.; Li, X. Biodegradable Composite Films Based on Egg White Protein and Tea Polyphenol: Physicochemical, Structural and Antibacterial Properties. Food Packag. Shelf Life 2023, 38, 101098. [Google Scholar] [CrossRef]
- Deogratias, G.; Shadrack, D.M.; Munissi, J.J.E.; Kinunda, G.A.; Jacob, F.R.; Mtei, R.P.; Masalu, R.J.; Mwakyula, I.; Kiruri, L.W.; Nyandoro, S.S. Hydrophobic π-π Stacking Interactions and Hydrogen Bonds Drive Self-Aggregation of Luteolin in Water. J. Mol. Graph. Model. 2022, 116, 108243. [Google Scholar] [CrossRef]
- Liu, X.; Tan, Y.; Cheng, Z.; Zhan, Q.; Chen, X.; Hu, Q.; Su, A.; Zhao, L. Alkaline-Heat Treatment FlammulinaVelutipes Polysaccharides/Sodium Carboxymethyl Cellulose Biodegradable Composite Film for Fresh-Cut Cantaloupe Preservation. Int. J. Biol. Macromol. 2025, 328, 147581. [Google Scholar] [CrossRef]
- Igile, G.O.; Oleszek, W.; Jurzysta, M.; Burda, S.; Fafunso, M.; Fasanmade, A.A. Flavonoids from Vernonia Amygdalina and Their Antioxidant Activities. J. Agric. Food Chem. 1994, 42, 2445–2448. [Google Scholar] [CrossRef]
- Sutharsan, J.; Boyer, C.A.; Zhao, J. Biological Properties of Chitosan Edible Films Incorporated with Different Classes of Flavonoids and Their Role in Preserving the Quality of Chilled Beef. Food Hydrocoll. 2023, 139, 108508. [Google Scholar] [CrossRef]
- Marszałek, K.; Trych, U.; Bojarczuk, A.; Szczepańska, J.; Chen, Z.; Liu, X.; Bi, J. Application of High-Pressure Homogenization for Apple Juice: An Assessment of Quality Attributes and Polyphenol Bioaccessibility. Antioxidants 2023, 12, 451. [Google Scholar] [CrossRef] [PubMed]
- Lee, J.-S.; Choi, I.; Han, J. Mathematical Modeling of Cinnamon (Cinnamomum verum) Bark Oil Release from Agar/PVA Biocomposite Film for Antimicrobial Food Packaging: The Effects of Temperature and Relative Humidity. Food Chem. 2021, 363, 130306. [Google Scholar] [CrossRef]
- Bi, F.; Qin, Y.; Chen, D.; Kan, J.; Liu, J. Development of Active Packaging Films Based on Chitosan and Nano-Encapsulated Luteolin. Int. J. Biol. Macromol. 2021, 182, 545–553. [Google Scholar] [CrossRef]
- Liu, J.; Wang, T.; Huang, B.; Zhuang, Y.; Hu, Y.; Fei, P. Pectin Modified with Phenolic Acids: Evaluation of Their Emulsification Properties, Antioxidation Activities, and Antibacterial Activities. Int. J. Biol. Macromol. 2021, 174, 485–493. [Google Scholar] [CrossRef]
- Zhang, W.; Gu, X.; Liu, X.; Wang, Z. Fabrication of Pickering Emulsion Based on Particles Combining Pectin and Zein: Effects of Pectin Methylation. Carbohydr. Polym. 2021, 256, 117515. [Google Scholar] [CrossRef]
- Said, N.S.; Olawuyi, I.F.; Cho, H.-S.; Lee, W.-Y. Novel Edible Films Fabricated with HG-Type Pectin Extracted from Different Types of Hybrid Citrus Peels: Effects of Pectin Composition on Film Properties. Int. J. Biol. Macromol. 2023, 253, 127238. [Google Scholar] [CrossRef]
- Huang, X.; Hong, M.; Wang, L.; Meng, Q.; Ke, Q.; Kou, X. Bioadhesive and Antibacterial Edible Coating of EGCG-Grafted Pectin for Improving the Quality of Grapes During Storage. Food Hydrocoll. 2023, 136, 108255. [Google Scholar] [CrossRef]
- Zeng, Y.-F.; Chen, Y.-Y.; Deng, Y.-Y.; Zheng, C.; Hong, C.-Z.; Li, Q.-M.; Yang, X.-F.; Pan, L.-H.; Luo, J.-P.; Li, X.-Y.; et al. Preparation and Characterization of Lotus Root Starch Based Bioactive Edible Film Containing Quercetin-Encapsulated Nanoparticle and Its Effect on Grape Preservation. Carbohydr. Polym. 2024, 323, 121389. [Google Scholar] [CrossRef]
- Gao, H.-X.; He, Z.; Sun, Q.; He, Q.; Zeng, W.-C. A Functional Polysaccharide Film Forming by Pectin, Chitosan, and Tea Polyphenols. Carbohydr. Polym. 2019, 215, 1–7. [Google Scholar] [CrossRef] [PubMed]
- Liu, B.; Li, W.; Zhao, J.; Liu, Y.; Zhu, X.; Liang, G. Physicochemical Characterisation of the Supramolecular Structure of Luteolin/Cyclodextrin Inclusion Complex. Food Chem. 2013, 141, 900–906. [Google Scholar] [CrossRef]
- Zhang, S.; Wang, S.; Li, Y.; Wang, J.; Shi, J.; Peng, Y.; Liu, P. Ursolic Acid, a Natural Endogenous Compound, Inhibits Browning in Fresh-Cut Apples. Postharvest Biol. Technol. 2025, 219, 113228. [Google Scholar] [CrossRef]
- Wang, W.; Cao, Z.; Hou, F.; Shi, J.; Jiao, J.; Chen, L.; Gong, Z.; Wang, Y. Quality Maintenance Mechanism of Oxalic Acid Treatment in Fresh-Cut Apple Fruit during Storage Based on Nontarget Metabolomics Analysis. Food Chem. 2024, 436, 137685. [Google Scholar] [CrossRef]
- Zha, Z.; Tang, R.; Wang, C.; Li, Y.; Liu, S.; Wang, L.; Wang, K. Riboflavin Inhibits Browning of Fresh-Cut Apples by Repressing Phenolic Metabolism and Enhancing Antioxidant System. Postharvest Biol. Technol. 2022, 187, 111867. [Google Scholar] [CrossRef]
- Wong, C.H.; Li, D. Comparison of Two Strategies Enhancing the Antagonistic Effect of Lactic Acid Bacteria in Edible Coating against Listeria Monocytogenes on Fresh-Cut Apple Slices. LWT 2023, 182, 114923. [Google Scholar] [CrossRef]
- Wang, J.; Wu, W.; Wang, C.; He, S.; Yu, Z.; Wu, M.; Wu, Q. Application of Carboxymethyl Chitosan-Based Coating in Fresh-Cut Apple Preservation: Incorporation of Guava Leaf Flavonoids and Their Noncovalent Interaction Study. Int. J. Biol. Macromol. 2023, 241, 124668. [Google Scholar] [CrossRef]
- Wang, Y.; Zhang, J.; Wang, D.; Wang, X.; Zhang, F.; Chang, D.; You, C.; Zhang, S.; Wang, X. Effects of Cellulose Nanofibrils Treatment on Antioxidant Properties and Aroma of Fresh-Cut Apples. Food Chem. 2023, 415, 135797. [Google Scholar] [CrossRef]
- Xin, Y.; Liu, Z.; Yang, C.; Dong, C.; Chen, F.; Liu, K. Smart Antimicrobial System Based on Enzyme-Responsive High Methoxyl Pectin-Whey Protein Isolate Nanocomplex for Fresh-Cut Apple Preservation. Int. J. Biol. Macromol. 2023, 253, 127064. [Google Scholar] [CrossRef] [PubMed]
- Sharma, S.; Wani, K.M.; Mujahid, S.M.; Jayan, L.S.; Rajan, S.S. Review on Pectin: Sources, Properties, Health Benefits and Its Applications in Food Industry. J. Future Foods 2026, 6, 205–219. [Google Scholar] [CrossRef]
- Ribeiro, A.C.B.; Cunha, A.P.; Da Silva, L.M.R.; Mattos, A.L.A.; De Brito, E.S.; De Souza Filho, M.D.S.M.; De Azeredo, H.M.C.; Ricardo, N.M.P.S. From Mango By-Product to Food Packaging: Pectin-Phenolic Antioxidant Films from Mango Peels. Int. J. Biol. Macromol. 2021, 193, 1138–1150. [Google Scholar] [CrossRef]
- Mikus, M.; Galus, S. The Effect of Phenolic Acids on the Sorption and Wetting Properties of Apple Pectin-Based Packaging Films. Molecules 2025, 30, 1960. [Google Scholar] [CrossRef]
- Zhou, X.; Guan, C.; Ma, Q.; Lan, T.; Lin, Q.; Zhou, W.; Liu, C. Elaboration and Characterization of ε-Polylysine-sodium Alginate Nanoparticles for Sustained Antimicrobial Activity. Int. J. Biol. Macromol. 2023, 251, 126329. [Google Scholar] [CrossRef]
- Zang, J.; Song, L.; Ge, C.; Zhang, L.; Shah, B.R.; Wei, X.; Xu, W. Fabrications of Ι-Carrageenan/ε-Polylysine Hydrogel Beads for Curcumin Encapsulation and Controlled Release Behavior In Vitro. Food Biophys. 2025, 20, 40. [Google Scholar] [CrossRef]
- Chen, Y.; Zhu, C.; Du, Y.; Liu, Q.; Yuan, S.; Yu, H.; Guo, Y.; Cheng, Y.; Qian, H.; Yao, W. Complex Coacervation of ε-Polylysine and Glutenin: Phase Behavior, Interaction and as Antimicrobial Edible Coatings on Strawberry. Food Chem. 2025, 493, 145686. [Google Scholar] [CrossRef]
- Rasdi, Y.A.; Zaid, M.H.M.; Matori, K.A.; Fen, Y.W.; Loh, Z.W. Thulium-Doped Magnesium Borotellurite Glasses: Fabrication, Optical Properties and Photoluminescence Performance. Results Eng. 2025, 28, 107452. [Google Scholar] [CrossRef]
- Zafar, A.; Alruwaili, N.K.; Imam, S.S.; Alsaidan, O.A.; Yasir, M.; Ghoneim, M.M.; Alshehri, S.; Anwer, M.K.; Almurshedi, A.S.; Alanazi, A.S. Development and Evaluation of Luteolin Loaded Pegylated Bilosome: Optimization, in vitro Characterization, and Cytotoxicity Study. Drug Deliv. 2021, 28, 2562–2573. [Google Scholar] [CrossRef]
- Siaghi, M.; Karimizade, A.; Mellati, A.; Saeedi, M.; Talebpour Amiri, F.; Kalhori, S.; Shahani, S. Luteolin-Incorporated Fish Collagen Hydrogel Scaffold: An Effective Drug Delivery Strategy for Wound Healing. Int. J. Pharm. 2024, 657, 124138. [Google Scholar] [CrossRef]
- Liu, J.; Liang, C.; Jiang, H.; Yu, Z.; Zou, L.; Zhou, L.; Liu, W. Identification of Polyphenol Oxidase Inhibitors from the Root of Pueraria Lobata: Inhibitor Profiles, Kinetics Analysis and Molecular Interaction. Food Biophys. 2024, 19, 730–744. [Google Scholar] [CrossRef]
- Liu, X.; Cui, X.; Ji, D.; Zhang, Z.; Li, B.; Xu, Y.; Chen, T.; Tian, S. Luteolin-Induced Activation of the Phenylpropanoid Metabolic Pathway Contributes to Quality Maintenance and Disease Resistance of Sweet Cherry. Food Chem. 2021, 342, 128309. [Google Scholar] [CrossRef] [PubMed]
- Liu, Y.; Guo, Z.; Hu, T.; Liu, Q.; Zhang, L.; Zhou, S.; Zhang, C.; Gong, H. Pectin and Natamycin Coating Improves the Quality and Fungal Diversity of Jujube. Int. J. Biol. Macromol. 2025, 317, 144749. [Google Scholar] [CrossRef]













| Parameter | AP | APPL | APPL Incorporated with Different Concentration of Luteolin (%) | ||||
|---|---|---|---|---|---|---|---|
| 0.01 | 0.05 | 0.10 | 0.15 | 0.2 | |||
| L* | 84.2 ± 1.38 a | 82.4 ± 2.40 b | 74.2 ± 2.24 c | 69.7 ± 1.85 d | 63.4 ± 2.67 e | 60.3 ± 2.86 f | 57.0 ± 3.78 g |
| a* | 1.32 ± 0.384 f | 1.25 ± 0.439 f | 5.47 ± 1.40 e | 8.79 ± 1.28 d | 12.3 ± 1.70 c | 13.8 ± 1.50 b | 16.5 ± 2.59 a |
| b* | 17.0 ± 3.08 f | 18.3 ± 2.83 f | 50.8 ± 3.10 e | 59.2 ± 1.21 d | 54.0 ± 2.63 c | 46.4 ± 3.37 b | 39.0 ± 7.38 a |
| ΔE | 17.4 ± 3.33 d | 19.3 ± 3.62 d | 52.7 ± 3.73 c | 62.6 ± 0.851 a | 61.1 ± 0.913 a | 56.7 ± 0.883 b | 53.9 ± 7.07 c |
| Opacity | 0.284 ± 0.068 e | 0.340 ± 0.0460 e | 0.788 ± 0.128 e | 1.97 ± 0.273 d | 4.55 ± 0.753 c | 9.63 ± 1.19 b | 11.4 ± 1.35 a |
| Image | ![]() | ![]() | ![]() | ![]() | ![]() | ![]() | ![]() |
Disclaimer/Publisher’s Note: The statements, opinions and data contained in all publications are solely those of the individual author(s) and contributor(s) and not of MDPI and/or the editor(s). MDPI and/or the editor(s) disclaim responsibility for any injury to people or property resulting from any ideas, methods, instructions or products referred to in the content. |
© 2025 by the authors. Licensee MDPI, Basel, Switzerland. This article is an open access article distributed under the terms and conditions of the Creative Commons Attribution (CC BY) license.
Share and Cite
Li, C.; Pan, J.; Nawaz, M.; Liu, H.; Lv, Z.; Yang, W.; Zhang, Q.; Liu, J.; Jiao, Z. A Pectin-Based Active Coating for Preservation of Fresh-Cut Apples: Incorporated with Luteolin and ε-Polylysine for Enhanced Performance. Foods 2026, 15, 63. https://doi.org/10.3390/foods15010063
Li C, Pan J, Nawaz M, Liu H, Lv Z, Yang W, Zhang Q, Liu J, Jiao Z. A Pectin-Based Active Coating for Preservation of Fresh-Cut Apples: Incorporated with Luteolin and ε-Polylysine for Enhanced Performance. Foods. 2026; 15(1):63. https://doi.org/10.3390/foods15010063
Chicago/Turabian StyleLi, Chengheng, Junkun Pan, Muhammad Nawaz, Hui Liu, Zhenzhen Lv, Wenbo Yang, Qiang Zhang, Jiechao Liu, and Zhonggao Jiao. 2026. "A Pectin-Based Active Coating for Preservation of Fresh-Cut Apples: Incorporated with Luteolin and ε-Polylysine for Enhanced Performance" Foods 15, no. 1: 63. https://doi.org/10.3390/foods15010063
APA StyleLi, C., Pan, J., Nawaz, M., Liu, H., Lv, Z., Yang, W., Zhang, Q., Liu, J., & Jiao, Z. (2026). A Pectin-Based Active Coating for Preservation of Fresh-Cut Apples: Incorporated with Luteolin and ε-Polylysine for Enhanced Performance. Foods, 15(1), 63. https://doi.org/10.3390/foods15010063








