Next Article in Journal
Mechanism Analysis of Amphotericin B Controlling Postharvest Gray Mold in Table Grapes
Next Article in Special Issue
The Co-Evolution of Markets and Regulation in the Japanese Functional Food Industry: Balancing Risk and Benefit
Previous Article in Journal
Managing Expectations and Predicting Willingness to Pay in Novel Healthy Foods Development in East Africa
Previous Article in Special Issue
Amelioration of Alcoholic Hepatic Steatosis in a Rat Model via Consumption of Poly-γ-Glutamic Acid-Enriched Fermented Protaetia brevitarsis Larvae Using Bacillus subtilis
 
 
Font Type:
Arial Georgia Verdana
Font Size:
Aa Aa Aa
Line Spacing:
Column Width:
Background:
Article

Changes in Quality and Metabolites of Pickled Purple Radish During Storage

1
Department of Horticulture and Interdisciplinary Program in IT-Bio Convergence System, Chonnam National University, Gwangju 61186, Republic of Korea
2
K&P Food Co., Ltd., Gyeongsan 38577, Republic of Korea
3
Department of Integrative Food, Bioscience and Biotechnology, Graduate School of Chonnam National University, Gwangju 61186, Republic of Korea
4
Department of Agronomy-Food Resources, Food and Nutrition Division, National Institute of Agricultural Sciences, Wanju-gun 55365, Republic of Korea
*
Author to whom correspondence should be addressed.
Foods 2025, 14(7), 1259; https://doi.org/10.3390/foods14071259
Submission received: 10 March 2025 / Revised: 30 March 2025 / Accepted: 1 April 2025 / Published: 3 April 2025
(This article belongs to the Special Issue The Development of New Functional Foods and Ingredients: 2nd Edition)

Abstract

This study investigated the changes in the physicochemical properties and metabolites of pickled purple radish during storage. Pickles of purple radish (‘Boraking’) prepared by the addition of acetic acid and sugar were stored in the dark at 4 °C for 60 days. The color of the pickled purple radish changed from purple to pink, while the pickling solution changed from pink to purple. During storage, sucrose content gradually decreased, while glucose and fructose levels increased. LC-ESI-QToF-MS metabolomic analysis indicated that metabolites, including organic acids, amino acids, sulfur-containing compounds, lysophosphatidylcholine, lysophosphatidylethanolamine, and anthocyanins, were identified. The antioxidant capacity and color meter of pickled purple radish may undergo changes due to the altered levels of non-volatile compounds (cyanidins, adenosine, and amino acids) during storage. Anthocyanins had negative correlations with the color of pickled purple radish. The radical scavenging activity and ferric-reducing antioxidant power of pickled purple radish declined during storage. These findings emphasized the need for further research to develop processing and storage methods that enhance the bioactivity and stability of pickled purple radish.

1. Introduction

Radish (Raphanus sativus L., 2n = 18) is a cool season root vegetable belonging to the Brassicaceae family. It is cultivated across various regions, including Europe, America, and East Asia (China and Korea) [1,2]. In the Americas and Europe, radish is a widely cultivated short-term round type root with various skin colors (green, black, red, and purple). In contrast, in Asia, radish is a cylindrical type root cultivated year-round, and is highly disease resistant with a white skin color [3]. While the breeding of radishes in Korea has focused to improved resistance to diseases and pests, recent breeding programs have increasingly emphasized the diversification of radish cultivars in terms of both root shape—including cylindrical, round, conical, and bell-shaped forms—and skin color, such as green, red, black, and purple, in response to evolving consumer preferences [4,5,6,7].
Recently, the cultivation and consumption of colored radishes have been increasing due to growing consumers’ interest in healthy functional compounds such as flavonoids, carotenoids, and anthocyanins. Depending on pigment type, content, and structure of anthocyanin, the skin and flesh of color radishes can be white, red, black, and purple [6]. Red and purple radishes have been widely used in food, cosmetics, and as pigments due to their outstanding stability and intense coloration [6,8]. Purple radishes have an oblong root with a dark purple exterior, along with white and light purple xylem. Various purple radishes, including ‘Sweet baby’, ‘Boranam’, ‘Bordeaux’, and ‘Bora king’, have been bred and cultivated in Korea.
Liquid chromatography–mass spectrometry (LC–MS) analysis of radishes has identified 3 phenolic acids, 34 flavonoids, and 15 glucosinolates, including coumaric acid, kaempferol, quercetin, isorhamnetin, naringenin, luteolin, glucoraphanin, and glucoraphasatin [9,10,11,12,13]. Dark skin and light red skin radishes contain high contents of kaempferol, apigenin, and their derivatives, while red and purple radishes are abundant in anthocyanin (cyanidin, pelargonidin, and their derivatives) [6,14]. Additionally, the composition of these compounds differ between the skin and flesh of the radish. These compounds exhibit various biological activities, including anticancer, antifungal, anti-inflammatory, anti-obesity, antioxidant, and gastroprotective properties. Notably, anthocyanins in purple radish exhibit greater stability than in other plants, enhancing consumer preference and food quality [15,16]. Due to its coloration and the outstanding health functional effects of anthocyanin, purple radishes are used in various processed foods such as salads, pickles, and kimchi (kkakdugi). However, despite their popularity, processed products containing purple radish face challenges in developing processing and storage methods that maintain functional compound stability and overall quality.
Korean radish kimchi (kkakdugi) is one of the most widely consumed fermented foods in Korea. However, in recent years, the consumption of radish kimchi has declined, while the demand for pickled radishes has increased due to changing dietary habits [17]. Pickled radishes are manufactured with salt, vinegar, and sugar, resulting in a distinct strong sour taste and aroma. During storage, pickled radish products have faced problems of quality degradation, softening of radish tissue, and discoloration due to pH fluctuations and the high concentrations of salt and sugar in these products [18,19]. Moreover, flavonoids and phenolic acids are highly sensitive to storage conditions and processing methods [20,21]. Phenolic acids, in particular, undergo metabolite change during the pickling process, which may further alter the product’s functional properties [22]. Previous studies have investigated the use of additives to enhance metabolite stability, shelf life, and quality preservation in pickled white radish [23,24,25]. However, investigations on the qualitative properties of pickled purple radish during storage are limited. In particular, anthocyanins in purple radishes are well-known to be unstable due to several factors such as light, heat, pH, and free sugar (sucrose, fructose, and glucose) content [26,27,28]. It is considered that the degradation of anthocyanin during storage is the most important factor affecting the quality of pickled purple radish.
To address these challenges, this study aims to understand the changes in the physicochemical and antioxidant capacity of pickled purple radishes during the storage. Additionally, LC–MS-based nontargeted metabolomic analysis will be utilized to examine changes in metabolites, providing valuable insights into bioactive compounds during the storage.

2. Materials and Methods

2.1. Sample Preparation

Purple radish (‘Boraking’) was planted in December 2022 in a greenhouse (18–22 °C) located in Gokseong (Jeonnam, Korea) and harvested in February 2023. Purple radishes that were suitable for peeling and processing had to meet the following conditions: weight of more than 2 kg, length of more than 25 cm, and diameter more than 10 cm. The selected purple radish taproots were peeled and cut into 1.7 cm cubes using a specialized cutter. The purple radish cubes were immersed and mixed in a pickling solution (pH 4.0) consisting of water, acetic acid, and sugar. The purple radishes and pickling solution were packed in a polypropylene container, sealed with polypropylene film, and stored in the dark for 60 days at 4 °C. Every 15 days, pickling solution aliquots were obtained, and solid samples of the pickled purple radishes were collected and freeze-dried for further analysis.

2.2. Determination of the Hunter Color, Hardness, and pH

To estimate the physicochemical change and market quality of pickled purple radishes stored for different period, the following physicochemical properties were measured using a modified method from a previous study: Hunter color [1], texture (hardness) [29], and acidity (pH) [30]. The Hunter color of pickled purple radish and the pickling solution was determined by measuring the light–dark (L*), red–green (a*), and yellow–blue (b*) values using a colorimeter (NR60CP, Shenzhen 3nh Technology Co., Ltd., Shenzhen, China). The hue angle of the pickled purple radish and pickling solution was calculated using L*, a*, and b* values. Texture analysis of the pickles was performed using a hardness tester (500 N, Zwick GmbH & Co. KG, Ulm, Germany) with the following settings: test speed 5 mm/s, pretest speed 5 mm/s, and strain 75%. To confirm the storage stability of the pickling solution, the pH was measured using a pH meter (Orion star A111, Thermo Fisher Scientific, Seoul, Republic of Korea).

2.3. Determination of Total Phenolic (TPC) and Total Flavonoid (TFC) Contents

The total phenolic content (TPC) and total flavonoid content (TFC) were determined using a modified method from a previous study [31]. To determine the TPC of pickled purple radish, samples (150 mg dry weight [DW]) were extracted with 1 mL of 70% methanol and heated for 10 min at l00 °C using a heating block. The samples were then centrifuged (VARISPIN 12 R, CYRSTE, Gyeonggi, Republic of Korea) at 293× g for 10 min at 4 °C. Aliquots (10 µL) of the extract supernatants or pickling solution were reacted with 100 µL of 0.2 M Folin-Ciocâlteu solution for 3 min at room temperature. Next, each reaction solution was combined with 100 µL of 7.5% Na2CO3 and incubated for 30 min at room temperature. Finally, the TPC was determined by measuring the solution absorbance at 715 nm using a spectrophotometer (MQX200R, BioTek, Winooski, VT, USA). The TPC was expressed as the gallic acid equivalent (GAE) concentration (mg/100 g or 100 mL).
To determine the TFC of pickled purple radish, samples (150 mg DW) were extracted with 1 mL of 70% methanol and heated for 10 min at 100 °C using a heating block. The samples were then centrifuged at 293× g for 10 min at 4 °C. Aliquots (20 µL) of the extract supernatants or pickling solution were reacted with 180 µL of diethylene glycol for 3 min. Next, the reaction solutions were combined with 10 µL of 1 N NaOH and incubated at 37 °C for 90 min. Finally, the TFC was determined by measuring the solution absorbance at 427 nm using a spectrophotometer. The TFC was expressed as the naringin equivalent (NAE) concentration (mg/100 g or 100 mL).

2.4. Determination of Total Anthocyanin Content (TAC)

The total anthocyanin content (TAC) was determined using the modified method of a previous study [31]. To determine the total anthocyanin content of pickled purple radish, samples (300 mg DW) were extracted with 3 mL of 70% methanol including 2% HCl. After sonication for 30 min, the extraction solution was centrifuged at 293× g for 10 min at 4 °C. Aliquots (100 µL) of the pickled purple radish extract supernatants or pickling solution were analyzed by measuring the absorbance at 530 nm using a spectrophotometer. The total anthocyanin content was expressed as the cyanidin-3-glycoside (C3G) equivalent concentration (mg/100 g or 100 mL).

2.5. Determination of Free Sugar Content Using Gas Chromatography–Mass Spectrometry (GC–MS)

The free sugar contents were determined by GC–MS using a modified method from a previous study [32]. Pickled purple radish samples (50 mg) were extracted with 1.4 mL of methanol that was prechilled in the freezer. The extraction solution was centrifuged at 293× g for 3 min at 4 °C. The supernatant (700 µL) was then vortexed with 700 µL of H2O that was prechilled in the freezer. Next, the mixture was centrifuged at 293× g for 3 min at 4 °C. The concentrated supernatant (50 µL) was incubated for 90 min at 37 °C with 50 µL of freshly prepared methoxyamine in pyridine. After adding this solution to 80 µL of N-methyl-N-(trimethylsilyl)trifluoroacetamide (MSTFA) with 1% trifluoroacetamide (TMCS), the mixture was incubated for 20 min at 50 °C. The free sugar content analysis used the following GC temperature program: after holding the initial temperature of 80 °C for 2 min, the oven temperature was increased by 15 °C/min to 330 °C and then held for 5 min. The injector and detector temperatures were set at 205 and 250 °C, respectively. The sample was injected at a split ratio of 70:1. The carrier gas (helium) was maintained at a constant flow rate of 1.2 mL/min. The mass spectrometer was operated in positive electron impact mode at an ionization energy of 70.0 eV and a scan range of m/z 40–500. The free sugar content was quantified using external standards (sucrose, fructose, and glucose).

2.6. Analysis of Non-Volatile Metabolites by Liquid Chromatography Quadrupole Time-of-Flight Mass Spectrometry (LC-QToF-MS)

Pickled purple radish powder (150 mg DW) was extracted with 1 mL of 70% methanol overnight at room temperature under dark conditions. Afterward, the extraction solution was centrifuged at 293× g for 10 min at 4 °C. The supernatants were partitioned with water-saturated n-butanol (BuOH) in a 1:1 v/v ratio at room temperature. The BuOH layer was filtered using a 0.22 µm nylon syringe filter. Finally, 1 µL aliquots of the BuOH layer (1 mg/mL) were analyzed using an ultraperformance liquid chromatography electrospray ionization hybrid ion trap/time-of-flight mass spectrometer (Acquity UPLC™ System, Waters, Milford, MA, USA; Xevo G2-XS QToF, Waters MS Technologies, Manchester, UK). The samples were analyzed with an ACQUITY UPLC ®HSS T3 system (2.1 × 100 mm, 1.8 µm). Deionized distilled water including 0.1% formic acid (mobile phase A) and 100% acetonitrile including 0.1% formic acid (mobile phase B) were used at a flow rate of 0.4 mL/min with the following gradient elutions: 0 min, 2% B; 4 min, 2% B; 10 min, 10% B; 14 min, 50% B; 24 min, 90% B; 27 min, 90% B; 28 min, 2% B; and 29 min, 2% B. The column oven temperature was 40 °C. Metabolite detection was performed using a photodiode array (PDA), measuring absorbances within the wavelength range of 210–400 nm.
The MS settings were as follows: the ionization mode was ESI (positive, negative), scan range was m/z 50–1500, scan time was 0.2 sec, capillary voltage was 2.5 kV, sampling con voltage was 40 V, con gas flow was 50 L/h, desolvation gas flow was 600 L/h, desolvation temperature was 200 °C, ion source temperature was 130 °C, and collision energies were 6 eV (low) and 25~50 eV (high). Quality control (QC) analysis was performed by mixing the same amount during storage. Qualitative metabolite identification was performed using PubChem and ChemSpider.

2.7. Determination of the ABTS+ Radical-Scavenging Activity and Ferric Reducing Antioxidant Power (FRAP)

The antioxidant activity of pickled purple radish was assessed by ABTS radical (ABTS+) activity and ferric reducing antioxidant power (FRAP) assays using a modified method from a previous study [33]. An ABTS+ stock solution was prepared by reacting a 1:1 v/v mixture of 7.4 mM ABTS solution and 2.6 mM potassium persulfate solution for 12 h at room temperature in the dark. The ABTS+ solution was diluted with methanol to an absorbance (optical density) of 1 at 735 nm as determined using a spectrophotometer. Aliquots (10 µL) of pickled purple radish (150 mg/mL) or the pickling solution were reacted with 190 µL of ABTS+ solution for 2 h in the dark. The solution absorbance was measured at 735 nm. The ABTS+ radical-scavenging activity was expressed as the ascorbic acid equivalent (AAE) concentration (mg/100 g or 100 mL).
The FRAP solution was prepared by reacting a 10:1:1 v/v/v mixture of 300 mM acetate buffer (3.1 g of C2H3NaO2·3H2O and 16 mL of glacial acetic acid), 10 mM 2,4,6-tri(2-pyridyl)-S-triazine (TPTZ) solution, and FeCl3·6H2O solution at 37 °C. Aliquots (10 µL) of pickled purple radish (150 mg/mL) or the pickling solution were reacted with 300 µL of FRAP solution for 5 min at 37 °C in the dark. The solution absorbance was measured at 593 nm. The FRAP was expressed as the AAE concentration (mg/100 g or 100 mL).

2.8. Statistical Analysis

Statistical analysis of the measurements including the correlation of color (hue angle) and content of individual cyanidins was performed using GraphPad Prism 5 (Northside, San Diego, CA, USA) with Tukey’s honest significant difference (HSD) test (p < 0.05). Metabolites were identified using Progenesis QI [34]. One-way analysis of variance (ANOVA) and partial least squares discriminant analysis (PLS-DA) were performed with MetaboAnalyst 6.0 [35,36] using autoscaling for feature normalization.

3. Results and Discussion

3.1. Changes in the Physicochemical Properties (Color, Hardness, and pH) of Pickled Purple Radish During Storage

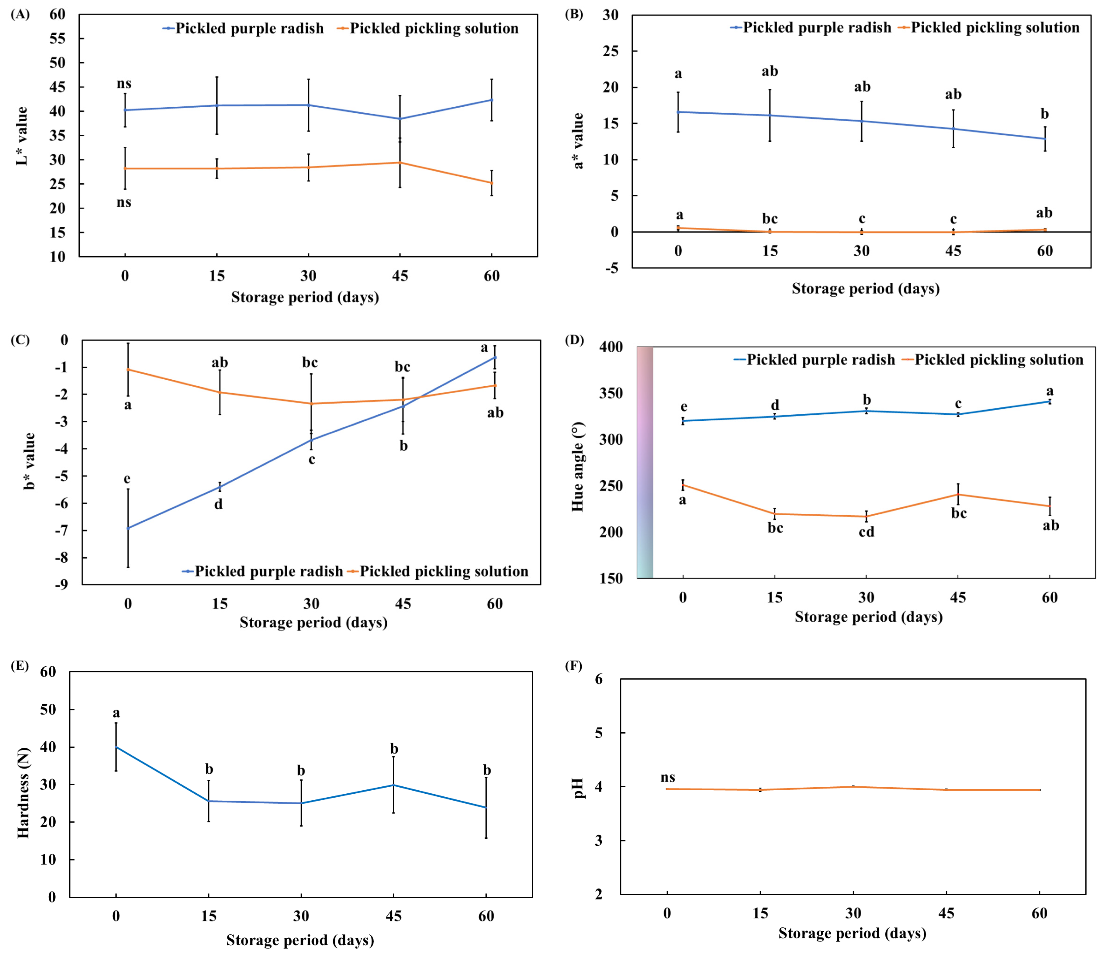
The color, hardness, and pH of pickled radish and pickled solution were correlated with their overall acceptability, including increased turbidity, color deterioration, sensory quality, texture softening, and microbial safety [23,37,38,39]. Therefore, we evaluated the physicochemical properties (color, hardness, and pH) of pickled purple radish and its pickling solution. Overall, the L* values of the samples did not change significantly during storage (Figure 1A). The a* values of pickled purple radish were significantly different between days 0 (16.57 ± 2.73) and 60 (12.86 ± 1.66) (Figure 1B). However, the a* values of the pickling solution were not significantly different between days 0 (0.56 ± 0.28) and 60 (0.31 ± 0.16) (Figure 1B). The b* values of pickled purple radish increased significantly during storage (Figure 1C), whereas those of the pickling solution decreased significantly. The b* values of the pickling solution were significantly higher than those of the pickled purple radish on day 30. However, by day 60, the b* values of pickled purple radish were significantly higher than those of the pickling solution. The hue angle of pickled purple radish increased significantly, whereas that of the pickling solution decreased significantly (Figure 1D). As a result, the color of pickled purple radish changed from purple to pink, while the pickling solution changed from pink to purple.
In colored crops, changes in color parameters are highly correlated with flavonoid, phenolic acid, and anthocyanin content [40,41]. During storage at 5 °C, the anthocyanin cyanidin-3,5-diglucoside in pickled perilla was reported to decrease due to its low stability, a trend similar to the color changes observed in pickled purple radish [42]. Therefore, the observed color changes in pickled purple radish can be attributed to the reduction of phenolic acids, flavonoids, and anthocyanins during storage. Kim et al. [17] reported that the moisture in pickled radish was exchanged due to osmotic pressure differences between pickled radish and the pickling solution during storage. The change in color between the pickled purple radish and the pickling solution may be caused by the exchange of water-soluble compounds, such as anthocyanin, with moisture due to osmotic pressure differences.
In the case of hardness, day 0 (40.02 ± 6.41) was significantly higher than day 15 (Figure 1E). From 15 days to 60 days of storage, the hardness of pickled purple radish did not change significantly. The hardness and texture of radish are influenced by pectin content in the cell wall, which is broken down by pectinase and polygalacturonase under conditions such as high temperatures (60–80 °C), prolonged storage, and low pH (4–5), leading to the softening of the radish flesh [2,43]. During storage at low temperature (4 °C), the hardness of pickled purple radish would have minimized relatively slowly by the low activity of pectinase and polygalacturonase.
The pH value of the pickling solution did not change significantly during storage (Figure 1F). The pH value of pickled cucumber and lotus root with beet extract was significantly changed by fermentation and osmotic pressure during the storage period [44,45]. In the pickle, the change of pH reduced the stability of organic acid, free amino acid, volatile organic compound, and water-soluble metabolites [46,47]. Therefore, in this study, the metabolites of pickled purple radish were expected to remain relatively stable due to the uniform pH of the pickling solution.

3.2. Changes in the TPC, TFC, and TAC of Pickled Purple Radish During Storage

Radishes have been shown to contain 609 secondary metabolites including flavonoids (38%), phenolic acids, lignans, terpenes (8.2%), glucosinolates (5.6%), terpenes, carotenoids, and anthocyanins [6,9,48,49,50]. Among them, flavonoids and phenolic acids in food are known to undergo a decrease due to processing and storage conditions (temperature, light, and CO2 concentration) [51,52]. In this study, we measured the total flavonoid content (TFC) and total phenolic content (TPC) of pickled purple radish to evaluate changes in functional compounds over different storage periods (Figure 2). The total phenolic content (TPC) of pickled purple radish was significantly different between 30 days (111.52 ± 2.44 mg GAE/100 g) and 45 days (95.51 ± 8.16 mg GAE/100 g) of storage. For the pickling solution, the TPC at 45 days (12.06 ± 0.67 mg GAE/100 mL) was significantly different from that of other days. The TFC of the pickling solution did not change significantly during storage (Figure 2B). White and red radishes contained total phenol content (1221–3709 mg GAE/100 g) and total flavonoid content (478–6158 mg CE/100 g) [53] which were higher than that of pickled purple radish in this experiment. The reduction in TPC and TFC during the pickling process can be attributed to the removal of the radish peel, which contains high levels of anthocyanins and phenolic compounds. However, pickled purple radish exhibited the lowest reduction in total phenolic and flavonoid content compared to various processed products [52]. Polyphenols, including catechin and anthocyanin, were unstable at high pH (>6) and their structural stability was decreased due to the structural rearrangements at high pH value [54]. Since the pickling solution maintained a uniform pH below 4, the phenolic and flavonoid contents in pickled purple radish were expected to be relatively stable. The levels of phenolic compounds have been shown to be decreased due to various enzymes, such as polyphenol oxidase and peroxidase, and peroxidase was highly activated at 50–80 °C and pH 6–7 [55]. Therefore, the low storage temperature (<4 °C) and acidic condition (pH < 4) in pickled purple radish inhibited these enzymes, contributing to the stability of total phenolic and flavonoid content. Therefore, pickled purple radish represents a viable method for polyphenol consumption while maintaining quality and health benefits.
Anthocyanin is the major secondary metabolite and functional compound contained in purple radish. Previous studies have demonstrated that anthocyanin content plays a crucial role in consumer acceptability and the bioactivity of processed purple radish products [16]. In this study, total anthocyanin content (TAC) was measured to evaluate the changes in anthocyanin levels in pickled purple radish during storage. The TAC of pickled purple radish decreased significantly during storage (Figure 2C). Specifically, the TAC at 0 days (5.95 ± 0.13 mg C3G/100 g) was significantly higher than that on other days. The TAC at 45 days (3.74 ± 0.08 mg C3G/100 g) was not significantly different from that at 60 days (3.86 ± 0.04 mg C3G/100 g). The TAC of the pickling solution did not change significantly during storage. Previous studies on purple beans, black beans, and cranberries have reported that anthocyanins, including cyanidin, pelargonidin, and delphinidin, are highly sensitive to various factors such as light, pH, sugar content, and temperature [56,57,58,59]. Amr et al. [60] reported that anthocyanins are stable under low-temperature (<4 °C), dark, and acidic (pH < 4) conditions in the absence of sugar. Also, the anthocyanin content decreased by 5, 30, and 80% at the three different pH values (pH 3, 4, and 5) for 210 min [60]. Despite the low pH and storage temperature, the reduction of anthocyanin in pickled purple radish will be influenced by the low stability. Anthocyanins (delphinidin-3-galactoside, cyanidin-3-galactoside, cyanidin-3-arabinoside, etc.) and total anthocyanin content in blueberries were reduced by 30–75% within 30 days of storage [61]. In this study, the reduction of anthocyanin content in pickled purple radish was approximately 25% during storage. The low reduction of anthocyanin in pickled purple radish is suggested to be due to their structural stability in pH 4.0.

3.3. Change in the Free Sugar (Fructose, Glucose, and Sucrose) Content of Pickled Purple Radish During Storage

Free sugar content is an important factor influencing the taste (sweetness), color, and texture of food [62]. Additionally, an increase in free sugar content can lead to the generation of reactive oxygen species (ROS), resulting in cell membrane leakage [63]. In this study, we analyzed the levels of fructose, glucose, and sucrose in pickled purple radish and the pickling solution during storage (Figure 3). Among the free sugars detected, the highest concentrations were observed in the following order: sucrose > glucose > fructose. The sucrose content in pickled purple radish decreased during storage. The sucrose content (109.22 ± 0.74 µmole/g) at 0 days was significantly higher than that (74.02 ± 9.46 µmole/g) at 60 days. However, the content of fructose and glucose increased over the storage period. In particular, the glucose content (43.07 ± 6.00 µmole/g) on day 60 was significantly higher than that (31.64 ± 2.54 µmole/g) on day 0, and the fructose content (41.70 ± 5.88 µmole/g) on day 60 was significantly higher than that (29.60 ± 2.44 µmole/g) on day 0. Glucose and fructose content in salted white radish decreased rapidly within 20 days of fermentation [64]. The free sugars in root crop such as radishes, sweet potatoes, and potatoes were also hydrolyzed during storage [65,66,67,68]. These results suggest that sucrose is hydrolyzed to glucose and fructose in pickled purple radish during storage. Free sugars have different relative sweetness levels as perceived by the human mouth [fructose (1.5–1.8) > sucrose (1.0) > glucose (0.5)] [69,70]. Despite the decrease in sucrose levels during storage, the overall sweetness of pickled purple radish remains relatively unchanged due to the increased fructose content, which has a higher relative sweetness.

3.4. Metabolites of Pickled Purple Radish During Storage

Metabolite analysis of pickled purple radish was conducted using LC-QToF-MS to confirm the changes in metabolites and bioactive compounds during storage. Metabolites in pickled solution were not detected, which may be their trace or small amount. Thirty-four metabolites (12 amino acids, 1 sulfur compound, 5 anthocyanins [cyanidins], 1 lignan, and 15 fatty acids) from pickled purple radish were detected in the LC-QToF-MS chromatogram (Figure 4, Table 1).
Five cyanidin derivatives (Peaks 17, 18, 19, 20, and 21) were identified based on previous studies and fragmentation at LC-QToF-ESI-MS [9,71]. Cyanidin-3-O-caffeoylsophoroside-5-O-malonyldiglucoside (Peak 17) was detected at observed m/z 1021.2479 [M]+, 773.1924 [M-Caf-Mal-Glu]+, and 287.0566 [M-Caf-Mal-4Glu]+. Cyanidin-3-O-feruloylsophoroside-5-O-malonylglucoside (Peak 18) was detected at observed m/z 1035.2627 [M]+, 787.3702 [M-Mal-Glu]+, and 287.1151 [M-Fer-Mal-4Glu]+. Cyanidin-3-O-coumaroylsinapoylsophoroside-5-O-malonylglucoside (Peak 19) was detected at observed m/z 1373.3645 [M]+, 963.2558 [M-Mal-Glu]+, and 697.1616 [M-Cou-Sin-2Glu]+. Cyanidin-3-diferuloylsophoroside-5-malonylglucoside (Peaks 20 and 21) was detected at observed m/z 1211.3108 [M]+, 1035.2664 [M-Fer]+, and 963.2518 [M-Mal-2Glu]+ (Figure 5). Numerous cyanidin and pelargonidin derivatives conjugated with caffeic acid, ferulic acid, and glycoses have been reported to be found in purple radish by LC–MS metabolomic analysis [9]. Various anthocyanins were distributed in purple radish skin compared to its flesh. However, in this study, only five cyanidin derivatives were detected in pickled purple radish, which may be due to loss of various anthocyanins during peeling.
Raphanin, 5 LysoPC, and 4 LysoPE were also identified as major metabolites in pickled purple radish. Raphanin is a volatile sulfur compound responsible for the pungent flavor of radish [72]. Glucoraphasatin and glucoraphenin are the predominant glucosinolate found in radishes and are known to be hydrolyzed into raphasatin and raphanin, depending on myrosinase and low pH conditions [73,74,75]. In colored radishes, glucoraphasatin is predominantly contained in the skin, whereas glucoraphenin is detected in the skin and flesh [76]. Various sulfur compounds except raphanin seem to be the loss during peeling and/or degradation in low pH. LysoPC and LysoPE are the major phospholipids in the cell membrane [77]. These metabolites may be derived from the cell membrane of purple radish. A previous study has reported that metabolites, such as amino acids (11.24%), flavonoids (2.75%), phenolic acids (1.83%), terpenoids (9.63%), and lipids (20.87%), were found in pickled white radish [25]. Our LC–MS metabolomic results indicated that amino acids (tyrosine, isoleucine, etc.), 5 lysophosphatidylcholine (LysoPC), and 4 lysophosphatidylethanolamine (LysoPE) with 5 anthocyanins were the main metabolites in pickled purple radish.
Figure 6A presents clustering patterns among pickled purple radish samples of different storage points using principal component analysis (PCA) score plots. Significant metabolite changes were observed after 15 days of storage, but the metabolites were relatively stable after 30 days. The 30-, 45-, and 60-day storage groups were clustered, indicating similar metabolic compositions on the PCA score plot. Based on one-way analysis of variance (ANOVA), 23 compounds, including 5 anthocyanins, were significantly different according to Tukey’s HSD (p < 0.05; Figure 6B). Figure 6C shows that the intensity of metabolites in pickled purple radish changed during storage. The levels of pyroglutamic acid, leucyl-leucine, and isoleucine were significantly changed during storage. A previous study observed that branched-chain amino acids (BCAAs), such as isoleucine and leucine, accumulated in salt-pickled white radish due to the suppressed myrosinase activity during storage [78]. Raphanin was the highest relative intensity in pickled purple radish samples of 15 days and then significantly decreased. Raphanin might be produced by the hydrolysis of glucoraphenin under low pH condition during the storage, but decreased by high volatility after 15 days of storage [72]. Miquelianin and adenosine among the metabolites significantly decreased levels during storage. Miquelianin is known for its antioxidant capacity and antidiabetic effect due to inhibition of α-amylase and α-glucosidase [79]. A decrease in the content of adenosine derivatives has induced softening and browning in fruits and vegetables due to the destruction of the membrane structure and function [80]. The change of adenosine is associated with the softening and browning of radish tissue, suggesting their potential as indicator compounds for evaluating the degree of hardness in pickled purple radish. Five cyanidin derivatives gradually decreased in pickled purple radish during storage. Individual cyanidin derivatives had relative intensity in the order of peak 18 > peak 20 > peak 19 > peak 17 (Figure 6D). The individual cyanidin contents and TAC in pickled purple radish showed a similar decreasing tendency, the four cyanidin contents were reduced within the first 15 days. In particular, peak 18 (cyanidin-3-O-feruloylsophoroside-5-O-malonylglucoside), having high relative intensity, was largely reduced during the storage. From these results, these compounds may reduce by a high amount through degradation during storage.
To investigate the relationship between metabolite changes and chromaticity, a correlation analysis was conducted between cyanidin content and the hue angle of pickled purple radish during storage. Four cyanidin derivatives had a negative correlation with the hue angle, showing a Pearson correlation coefficient (r) of −0.85 to −0.75 (Figure 7). Cyanidin-3-O-feruloylsophoroside-5-O-malonylglucoside had the highest coefficient of determination (R2 value = 0.71). Due to the decreased anthocyanin levels during storage, the chromaticity of pickled purple radish changed from purple to pink, and the hue angle decreased. These results suggested that cyanidin derivatives were an important biomarker for the color quality of pickled purple radish.

3.5. Changes in the ABTS+ Radical-Scavenging Activity and FRAP of Pickled Purple Radish During Storage

The ABTS+ radical scavenging activity (as measured by the ABTS+ assay) and ferric reducing capacity (as measured by the FRAP assay) of pickled purple radish were analyzed to confirm the changes in bioactivity of the metabolites during the storage period. The results showed that the ABTS+ radical scavenging activity and FRAP of pickled purple radish and the pickling solution decreased significantly during storage (Figure 8). The ABTS+ and FRAP values of pickled purple radish and solution were significantly decreased during storage. In a previous study, the ABTS+ and FRAP values of a variety of crops were influenced by the TAC, TPC, and TFC during storage [81,82]. The decreasing trend of the ABTS+ and FRAP values in pickled purple radish was consistent with the decline in the TAC, individual anthocyanin, and functional components (miquelianin, and adenosine). Previous studies reported that the hydroxyl, methoxy, and carboxyl groups in phenolic compounds contribute to high antioxidant activity by influencing enzymatic reactions such as deglycosylation, dehydroxylation, demethylation, and oxidation [83,84]. The hydroxyl and carboxyl groups of cyanidins contributed to its enhancing solubility and antioxidant activity. Therefore, it is essential to minimize the loss of these bioactive compounds to sustain the antioxidant capacity of pickled purple radish during storage. Also, it has been shown that these functional compounds affect not only bioactivity but also quality, such as color and browning [9,10,11,12,13,79,80].
As mentioned above, the radish peel contained twice as the number of functional components (phenolic acid and flavonoid) as the flesh. In most varieties of purple radish, a large amount of anthocyanin was concentrated in the skin rather than in the flesh [85,86]. Cyanidin, such as cyanidin-3-glucoside, had different chromaticity (L*, a*, and b*) and bioactivity (anti-cardiovascular, anticancer, antioxidant, and anti-inflammatory effects) depending on the structure and number of conjugated amino acids and glycosides [87,88]. Cyanidin derivatives are considered to be the main metabolites that affect the color and antioxidants of pickled purple radish during storage. However, storage stabilities and bioactivities of cyanidin derivatives, including cyanidin-3-O-diferuloylsophoroside-5-O-malonylglucoside and cyanidin-3-O-caffeoylsophoroside-5-O-malonyldiglucoside, have not been studied. Investigation on the bioactivities of cyanidin derivatives from purple radish and their degradation mechanism during storage would be required. In addition, studies on processing methods to minimize the loss of functional compounds (anthocyanins) by peeling and storage methods to enhance anthocyanin stability are required.

4. Conclusions

In this study, changes in the physicochemical properties and metabolites in pickled purple radish prepared with addition of acetic acid and sugar at 4 °C were evaluated during the storage. During storage, the color, hardness, and total anthocyanin content of the pickled purple radish gradually reduced, but the total phenolic and flavonoid content did not change. Metabolites, including cyanidin derivatives, raphanin, lysoPC, and lysoPE, were found as the main compounds in the pickled purple radish through LC-ESI-QToF-MS metabolomic analysis. In particular, cyanidin derivatives gradually decreased in the pickled purple radish during the storage, which showed a negative correlation with color. Anthocyanin is considered as an important biomarker for the bioactivity and color of pickled purple radish. However, further studies on the processing and storage methods to minimize the loss and degradation of functional compounds (anthocyanins) should be conducted. These results provide valuable information on the processing and storage methods for processed foods using purple radish.

Author Contributions

Conceptualization, S.-H.L., J.-Y.C. and H.-W.K.; methodology, S.-H.C.; software, S.-H.C. and S.-H.S.; validation, S.-H.L., S.-H.K. and J.-H.M.; formal analysis, S.-H.C. and J.-Y.C.; writing—original draft preparation, S.-H.C., S.-H.L. and J.-Y.C.; writing—review and editing, S.-H.C., J.-H.M. and J.-Y.C.; visualization, S.-H.C.; supervision, J.-Y.C.; project administration, J.-Y.C.; funding acquisition, J.-Y.C. All authors have read and agreed to the published version of the manuscript.

Funding

This research was funded by the Rural Development Administration [RS-2022-RD10364]. This research was funded by Basic Science Research Program through the National Research Foundation of Korea (NRF) funded by the Ministry of Education [RS-2024-00405878].

Institutional Review Board Statement

Not applicable.

Informed Consent Statement

Not applicable.

Data Availability Statement

The original contributions presented in the study are included in the article, further inquiries can be directed to the corresponding author.

Conflicts of Interest

Author Seung-Hwan Kim was employed by the company K&P Food Co., Ltd. The remaining authors declare that the research was conducted in the absence of any commercial or financial relationships that could be construed as a potential conflict of interest.

Abbreviations

LC-QToF-ESI-MS Liquid chromatography quadrupole time-of-flight mass spectrometry
TPCTotal phenolic content
TFCTotal flavonoid content
TACTotal anthocyanin content
MSTFAN-methyl-N-(trimethylsilyl)trifluoroacetamide
TMCSTrifluoroacetamide
FRAPFerric reducing antioxidant power
AAEAscorbic acid equivalent
HPLCHigh pressure liquid chromatography
BPIBase peak intensity
LysoPCLysophosphatidylcholine
LysoPELysophosphatidylethanolamine
CyCyanidin
GluGlucose
MalMalonic acid
FerFerulic acid
SophSophoroside
CafCaffeic acid
Coup-Coumaric acid
SinSinapinic acid

References

  1. Rho, J.O.; Kim, Y.O.; Lee, Y.S. Quality characteristics of pickled color radish and sensory evaluation by elementary, middle, high and university students. J. East Asian Soc. Diet. Life 2013, 23, 569–576. [Google Scholar]
  2. Jeong, E.-J.; Lee, N.K.; Yum, E.J.; Nam, K.; Oh, J.; Kim, Y.-S.; Park, J.-Y.; Kim, S.-J.; Jeong, Y.-S. Effect of calcium chloride on the texture of pickled radish wrap. Korean J. Food Preserv. 2015, 22, 452–457. [Google Scholar] [CrossRef]
  3. Kim, B.; Hur, O.; Lee, J.-E.; Assefa, A.D.; Ko, H.-C.; Chung, Y.-J.; Rhee, J.-H.; Hahn, B.-S. Characterization of phenotypic traits and evaluation of glucosinolate contents in radish germplasms (Raphanus sativus L.). Korean J. Plant Resour. 2021, 34, 575–599. [Google Scholar]
  4. Zaki, H.; Takahata, Y.; Yokoi, S. Analysis of the morphological and anatomical characteristics of roots in three radish (Raphanus sativus L.) cultivars that differ in root shape. J. Hortic. Sci. Biotechnol. 2012, 87, 172–178. [Google Scholar] [CrossRef]
  5. Hanlon, P.R.; Barnes, D.M. Phytochemical composition and biological activity of 8 varieties of radish (Raphanus sativus L.) sprouts and mature taproots. J. Food Sci. 2011, 76, C185–C192. [Google Scholar] [CrossRef]
  6. Zhang, J.; Qiu, X.; Tan, Q.; Xiao, Q.; Mei, S. A comparative metabolomics study of flavonoids in radish with different skin and flesh colors (Raphanus sativus L.). J. Agric. Food Chem. 2020, 68, 14463–14470. [Google Scholar]
  7. Iwata, H.; Niikura, S.; Matsuura, S.; Takano, Y.; Ukai, Y. Diallel analysis of root shape of Japanese radish (Raphanus sativus L.) based on elliptic Fourier descriptors. Breed. Sci. 2000, 50, 73–80. [Google Scholar] [CrossRef]
  8. Jing, P.; Ruan, S.-Y.; Dong, Y.; Zhang, X.-G.; Yue, J.; Kan, J.-Q.; Slavin, M.; Yu, L. Optimization of purification conditions of radish (Raphanus sativus L.) anthocyanin-rich extracts using chitosan. LWT—Food Sci. Technol. 2011, 44, 2097–2103. [Google Scholar] [CrossRef]
  9. Koley, T.K.; Khan, Z.; Oulkar, D.; Singh, B.K.; Maurya, A.; Singh, B.; Banerjee, K. High resolution LC-MS characterization of phenolic compounds and the evaluation of antioxidant properties of a tropical purple radish genotype. Arab. J. Chem. 2020, 13, 1355–1366. [Google Scholar] [CrossRef]
  10. Favela-González, K.M.; Hernández-Almanza, A.Y.; De la Fuente-Salcido, N.M. The value of bioactive compounds of cruciferous vegetables (Brassica) as antimicrobials and antioxidants: A review. J. Food Biochem. 2020, 44, e13414. [Google Scholar] [CrossRef]
  11. Joo, S.-Y.; Park, J.-D.; Choi, Y.-S.; Sung, J.-M. Quality characteristics and antioxidant activity of red radish (Bordeaux and watermelon radish) tea with use of different processing methods. Korean J. Food Nutr. 2017, 30, 908–915. [Google Scholar] [CrossRef]
  12. Yan, C.; Huang, Y.; Zhang, S.; Cui, L.; Jiao, Z.; Peng, Z.; Luo, X.; Liu, Y.; Qiu, Z. Dynamic profiling of intact glucosinolates in radish by combining UHPLC-HRMS/MS and UHPLC-QqQ-MS/MS. Front. Plant Sci. 2023, 14, 1216682. [Google Scholar] [CrossRef] [PubMed]
  13. Yi, G.; Lim, S.; Chae, W.B.; Park, J.E.; Park, H.R.; Lee, E.J.; Huh, J.H. Root Glucosinolate Profiles for Screening of Radish (Raphanus sativus L.) Genetic Resources. Front. Plant Sci. 2016, 64, 61–70. [Google Scholar] [CrossRef] [PubMed]
  14. Mei, S.; He, Z.; Zhang, J. Identification and analysis of major flavor compounds in radish taproots by widely targeted metabolomics. Front. Nutr. 2022, 9, 889407. [Google Scholar] [CrossRef]
  15. Jing, P.; Zhao, S.-J.; Ruan, S.-Y.; Xie, Z.-H.; Dong, Y.; Yu, L.L. Anthocyanin and glucosinolate occurrences in the roots of Chinese red radish (Raphanus sativus L.), and their stability to heat and pH. Food Chem. 2012, 133, 1569–1576. [Google Scholar] [CrossRef]
  16. Giusti, M.M.; Wrolstad, R.E. Acylated anthocyanins from edible sources and their applications in food systems. Biochem. Eng. J. 2003, 14, 217–225. [Google Scholar] [CrossRef]
  17. Kim, K.-B.; An, D.-G.; Hwang, S.-Y.; Nam, J.-S.; Choi, S.-K. Quality characteristics of radish pickle added with different amounts of white wine. Culin. Sci. Hosp. Res. 2015, 21, 72–85. [Google Scholar]
  18. Bhusal, S.; Shrestha, R.; Upadhya, N. Preparation of chicken meat pickle and its storage stability studies at room temperature. Gold. Gate J. Food Sci. Technol. 2017, 3, 59–62. [Google Scholar]
  19. Di, C.; Jia, W. Metabolomics as a critical tool for deeper understanding of pickled foods: From biomarker discovery to nutrition function. Trends Food Sci. Technol. 2024, 147, 104456. [Google Scholar] [CrossRef]
  20. Fu, Y.; Liu, W.; Soladoye, O.P. Towards innovative food processing of flavonoid compounds: Insights into stability and bioactivity. LWT 2021, 150, 111968. [Google Scholar] [CrossRef]
  21. Kapusta-Duch, J.; Kusznierewicz, B.; Leszczyńska, T.; Borczak, B. Effect of cooking on the contents of glucosinolates and their degradation products in selected Brassica vegetables. J. Funct. Foods 2016, 23, 412–422. [Google Scholar] [CrossRef]
  22. Li, J.; Huang, S.-Y.; Deng, Q.; Li, G.; Su, G.; Liu, J.; David Wang, H.-M. Extraction and characterization of phenolic compounds with antioxidant and antimicrobial activities from pickled radish. Food Chem. Toxicol. 2020, 136, 111050. [Google Scholar] [CrossRef] [PubMed]
  23. Park, S.J.; Choi, Y.-J.; Lee, M.J.; Seo, H.-Y.; Yun, Y.-R.; Min, S.G.; Lee, H.J.; Lee, J.H.; Kang, S.R.; Kim, H.J.; et al. Quality characteristics of radish pickle with natural preservatives. J. Korean Soc. Food Cult. 2020, 35, 577–581. [Google Scholar] [CrossRef]
  24. Park, B.-H.; Cho, H.-S.; Oh, B.-Y. Physicochemical characteristics of kimchi treated with chitosan during fermentation. Korean J. Hum. Ecol. 2002, 5, 85–93. [Google Scholar]
  25. Liu, W.; Zhang, L.; Karrar, E.; Wu, D.; Chen, C.; Zhang, Z.; Li, J. A cooperative combination of non-targeted metabolomics and electronic tongue evaluation reveals the dynamic changes in metabolites and sensory quality of radish during pickling. Food Chem. 2024, 446, 138886. [Google Scholar]
  26. Malien Aubert, C.; Dangles, O.; Amiot, M.J. Color stability of commercial anthocyanin-based extracts in relation to the phenolic composition. Protective effects by intra-and intermolecular copigmentation. J. Agric. Food Chem. 2001, 49, 170–176. [Google Scholar] [CrossRef]
  27. Wrolstad, R. Anthocyanin pigments—Bioactivity and coloring properties. J. Food Sci. 2004, 69, C419–C425. [Google Scholar] [CrossRef]
  28. Daravingas, G.; Cain, R. Thermal degradation of black raspberry anthocyanin pigments in model systems. J. Food Sci. 1968, 33, 138–142. [Google Scholar] [CrossRef]
  29. Ando, Y.; Hagiwara, S.; Nabetani, H. Thermal inactivation kinetics of pectin methylesterase and the impact of thermal treatment on the texture, electrical impedance characteristics and cell wall structure of Japanese radish (Raphanus sativus L.). J. Food Eng. 2017, 199, 9–18. [Google Scholar]
  30. Afsharnia, F. Optimization of in vitro and in vivo antifungal effects of trehalose coating included Artemisia sieberi essential oil on mulberry (Morus alba var. nigra) fruits using the hybrid RSM-GRA method. Food Sci. Biotechnol. 2023, 32, 921–935. [Google Scholar] [CrossRef]
  31. Chae, S.-H.; Lee, S.-H.; Moon, J.-H.; Cho, J.-Y. Comparison of metabolites and antioxidative activity in leaves and roots of purple radish cultivars. Food Sci. Preserv. 2024, 31, 985–998. [Google Scholar]
  32. Chae, S.H.; Lee, O.N.; Park, H.Y.; Ku, K.M. Seasonal effects of glucosinolate and sugar content determine the pungency of small-type (Altari) radishes (Raphanus sativus L.). Plants 2022, 11, 312. [Google Scholar] [CrossRef] [PubMed]
  33. Song, S.; Wi, G.; Moon, J.; Cho, J. Changes in LC-MS-based untargeted non-volatile metabolites of infused black tea according to different storage temperature and period. J. Korean Tea Soc. 2024, 30, 58–71. [Google Scholar]
  34. Sanches, P.H.; Oliveira, D.C.d.; dos Reis, I.G.; Fernandes, A.M.; Silva, A.A.; Eberlin, M.N.; Carvalho, P.O.; Duarte, G.H.; Porcari, A.M. Fitting structure-data files (.SDF) libraries to Progenesis QI identification searches. J. Braz. Chem. Soc. 2023, 34, 1013–1019. [Google Scholar]
  35. Pang, Z.; Zhou, G.; Ewald, J.; Chang, L.; Hacariz, O.; Basu, N.; Xia, J. Using MetaboAnalyst 5.0 for LC–HRMS spectra processing, multi-omics integration and covariate adjustment of global metabolomics data. Nat. Protoc. 2022, 17, 1735–1761. [Google Scholar]
  36. Chae, S.-H.; Lee, Y.-S.; Kim, J.-H.; Han, T.-H.; Ku, K.-M. Metabolite and elastase activity changes in beach rose (Rosa rugosa) fruit and seeds at various stages of ripeness. Plants 2021, 10, 1283. [Google Scholar] [CrossRef]
  37. Lee, M.-K.; Yang, H.-J.; Kim, S.-K.; Park, S.-H.; Moon, S.-W. Determination of suitable kohlrabi (Brassica oleracea var. gongylodes) cultivars for pickle preparation. Prev. Nutr. Food Sci. 2010, 15, 152–158. [Google Scholar]
  38. Hye Jeong, L.; Jong Gyu, K. The changes of components and texture out of carrot and radish pickles during the storage. Korean J. Food Nutr. 2000, 13, 563–569. [Google Scholar]
  39. Ji, F.D.; Ji, B.P.; Li, B.; Lu, F. Effect of fermentation on nitrate, nitrite and organic acid contents in traditional pickled Chinese cabbage. J. Food Process. Preserv. 2009, 33, 175–186. [Google Scholar]
  40. Singh, B.; Koley, T.; Karmakar, P.; Tripathi, A.; Singh, B.; Singh, M. Pigmented radish (Raphanus sativus): Genetic variability, heritability and inter-relationships of total phenolics, anthocyanins and antioxidant activity. Indian J. Agric. Sci. 2017, 87, 1600–1606. [Google Scholar]
  41. Shao, Y.; Hu, Z.; Yu, Y.; Mou, R.; Zhu, Z.; Beta, T. Phenolic acids, anthocyanins, proanthocyanidins, antioxidant activity, minerals and their correlations in non-pigmented, red, and black rice. Food Chem. 2018, 239, 733–741. [Google Scholar] [PubMed]
  42. Tsukui, A.; Murakami, T.; Hayashi, K. Stability of Perilla Anthocyanin Pigment in Waste from the Manufacture of Pickled Japanese Apricot. Food Preserv. Sci. 2005, 31, 103–109. [Google Scholar]
  43. Li, X.; Liu, G.; Tu, Y.; Li, J.; Yan, S. Ferulic acid pretreatment alleviates the decrease in hardness of cooked chinese radish (Raphanus sativus L. var. longipinnatus Bailey). Food Chem. 2019, 278, 502–508. [Google Scholar] [CrossRef]
  44. Park, B.-H.; Jeon, E.-R.; Kim, S.-D.; Cho, H.-S. Changes in the quality characteristics of lotus root pickle with beet extract during storage. J. Korean Soc. Food Sci. Nutr. 2009, 38, 1124–1129. [Google Scholar] [CrossRef]
  45. Ozer, M.H.; Akbudak, B.; Uylaser, V.; Tamer, E. The effect of controlled atmosphere storage on pickle production from pickling cucumbers cv.‘Troy’. Eur. Food Res. Technol. 2006, 222, 118–129. [Google Scholar]
  46. Tomita, S.; Watanabe, J.; Kuribayashi, T.; Tanaka, S.; Kawahara, T. Metabolomic evaluation of different starter culture effects on water-soluble and volatile compound profiles in nozawana pickle fermentation. Food Chem. Mol. Sci. 2021, 2, 100019. [Google Scholar]
  47. Rao, Y.; Qian, Y.; Tao, Y.; She, X.; Li, Y.; Chen, X.; Guo, S.; Xiang, W.; Liu, L.; Du, H. Characterization of the microbial communities and their correlations with chemical profiles in assorted vegetable Sichuan pickles. Food Control 2020, 113, 107174. [Google Scholar]
  48. Gamba, M.; Asllanaj, E.; Raguindin, P.F.; Glisic, M.; Franco, O.H.; Minder, B.; Bussler, W.; Metzger, B.; Kern, H.; Muka, T. Nutritional and phytochemical characterization of radish (Raphanus sativus L.): A systematic review. Trends Food Sci. Technol. 2021, 113, 205–218. [Google Scholar] [CrossRef]
  49. Goyeneche, R.; Roura, S.; Ponce, A.; Vega-Gálvez, A.; Quispe-Fuentes, I.; Uribe, E.; Di Scala, K. Chemical characterization and antioxidant capacity of red radish (Raphanus sativus L.) leaves and roots. J. Funct. Foods. 2015, 16, 256–264. [Google Scholar] [CrossRef]
  50. Wang, Y.; Pan, Y.; Liu, Z.; Zhu, X.; Zhai, L.; Xu, L.; Yu, R.; Gong, Y.; Liu, L. De novo transcriptome sequencing of radish (Raphanus sativus L.) and analysis of major genes involved in glucosinolate metabolism. BMC Genom. 2013, 14, 836. [Google Scholar] [CrossRef]
  51. Kim, J.K.; Baskar, T.B.; Park, S.U. Total phenolic and flavonoid contents and antioxidant activities of two Raphanus sativus L. cultivars (Cherry belle and Valentine). Biosci. Biotechnol. Res. Asia 2016, 13, 31–36. [Google Scholar] [CrossRef]
  52. Amarowicz, R.; Carle, R.; Dongowski, G.; Durazzo, A.; Galensa, R.; Kammerer, D.; Maiani, G.; Piskula, M.K. Influence of postharvest processing and storage on the content of phenolic acids and flavonoids in foods. Mol. Nutr. Food Res. 2009, 53, S151–S183. [Google Scholar] [CrossRef] [PubMed]
  53. Mohammed, E.A.; Abdalla, I.G.; Alfawaz, M.A.; Mohammed, M.A.; Al Maiman, S.A.; Osman, M.A.; Yagoub, A.E.A.; Hassan, A.B. Effects of extraction solvents on the total phenolic content, total flavonoid content, and antioxidant activity in the aerial part of root vegetables. Agriculture 2022, 12, 1820. [Google Scholar] [CrossRef]
  54. Cao, H.; Saroglu, O.; Karadag, A.; Diaconeasa, Z.; Zoccatelli, G.; Conte-Junior, C.A.; Gonzalez-Aguilar, G.A.; Ou, J.; Bai, W.; Zamarioli, C.M. Available technologies on improving the stability of polyphenols in food processing. Food Front. 2021, 2, 109–139. [Google Scholar]
  55. Baltaciotglu, C.; Velioglu, S.; Karacabey, E. Changes in total phenolic and flavonoid contents of rowanberry fruit during postharvest storage. J. Food Qual. 2011, 34, 278–283. [Google Scholar] [CrossRef]
  56. Roy, S.; Rhim, J.-W. Anthocyanin food colorant and its application in pH-responsive color change indicator films. Crit. Rev. Food Sci. Nutr. 2021, 61, 2297–2325. [Google Scholar] [CrossRef]
  57. Bąkowska, A.; Kucharska, A.Z.; Oszmiański, J. The effects of heating, UV irradiation, and storage on stability of the anthocyanin–polyphenol copigment complex. Food Chem. 2003, 81, 349–355. [Google Scholar] [CrossRef]
  58. Moldovan, B.; David, L.; Chişbora, C.; Cimpoiu, C. Degradation kinetics of anthocyanins from European cranberrybush (Viburnum opulus L.) fruit extracts. Effects of temperature, pH and storage solvent. Molecules 2012, 17, 11655–11666. [Google Scholar] [CrossRef]
  59. Song, H.-N.; Ji, S.-A.; Park, H.-R.; Kim, H.-H.; Hogstrand, C. Impact of various factors on color stability of fresh blueberry juice during storage. Prev. Nutr. Food Sci. 2018, 23, 46. [Google Scholar] [CrossRef]
  60. Amr, A.; Al-Tamimi, E. Stability of the crude extracts of Ranunculus asiaticus anthocyanins and their use as food colourants. Int. J. Food Sci. Technol. 2007, 42, 985–991. [Google Scholar] [CrossRef]
  61. Huang, X.; Li, J.; Shang, H.; Meng, X. Effect of methyl jasmonate on the anthocyanin content and antioxidant activity of blueberries during cold storage. J. Sci. Food Agric. 2015, 95, 337–343. [Google Scholar] [PubMed]
  62. Clemens, R.A.; Jones, J.M.; Kern, M.; Lee, S.Y.; Mayhew, E.J.; Slavin, J.L.; Zivanovic, S. Functionality of sugars in foods and health. Compr. Rev. Food Sci. Food Saf. 2016, 15, 433–470. [Google Scholar] [PubMed]
  63. Zhou, D.; Chen, S.; Xu, R.; Tu, S.; Tu, K. Interactions among chilling tolerance, sucrose degradation and organic acid metabolism in UV-C-irradiated peach fruit during postharvest cold storage. Acta Physiol. Plant. 2019, 41, 79. [Google Scholar] [CrossRef]
  64. Tang, Y.; Chen, G.; Wang, D.; Hu, R.; Li, H.; Liu, S.; Zhang, Q.; Ming, J.; Chi, Y. Effects of dry-salting and brine-pickling processes on the physicochemical properties, nonvolatile flavour profiles and bacterial community during the fermentation of Chinese salted radishes. LWT 2022, 157, 113084. [Google Scholar]
  65. Hayashi, T.; Aoki, S. Effect of irradiation on the carbohydrate metabolism responsible for sucrose accumulation in potatoes. J. Agric. Food Chem. 1985, 33, 14–17. [Google Scholar] [CrossRef]
  66. Hodges, D.M.; Munro, K.D.; Forney, C.F.; McRae, K.B. Glucosinolate and free sugar content in cauliflower (Brassica oleracea var. botrytis cv. Freemont) during controlled-atmosphere storage. Postharvest Biol. Technol. 2006, 40, 123–132. [Google Scholar]
  67. Kang, J.N.; Kim, J.S.; Lee, S.M.; Won, S.Y.; Seo, M.S.; Kwon, S.-J. Analysis of phenotypic characteristics and sucrose metabolism in the roots of Raphanus sativus L. Front. Plant Sci. 2021, 12, 716782. [Google Scholar] [CrossRef]
  68. Lewthwaite, S.; Sutton, K.; Triggs, C. Free sugar composition of sweetpotato cultivars after storage. N. Z. J. Crop Hortic. Sci. 1997, 25, 33–41. [Google Scholar] [CrossRef]
  69. Saraiva, A.; Carrascosa, C.; Raheem, D.; Ramos, F.; Raposo, A. Natural sweeteners: The relevance of food naturalness for consumers, food security aspects, sustainability and health impacts. Int. J. Environ. Res. Public Health 2020, 17, 6285. [Google Scholar] [CrossRef]
  70. Godshall, M.A.; Eggleston, G.; Thompson, J.; Kochergin, V. Sugar. In Kirk-Othmer Encyclopedia of Chemical Technology; Wiley: Hoboken, NJ, USA, 2021; pp. 1–84. [Google Scholar]
  71. Lin, L.-Z.; Sun, J.; Chen, P.; Harnly, J.A. LC-PDA-ESI/MSn identification of new anthocyanins in purple Bordeaux radish (Raphanus sativus L. variety). J. Agric. Food Chem. 2011, 59, 6616–6627. [Google Scholar]
  72. Possenti, M.; Baima, S.; Raffo, A.; Durazzo, A.; Giusti, A.M.; Natella, F. Glucosinolates in food. Glucosinolates Ref. Ser. Phytochem. 2017, 87–132. [Google Scholar]
  73. Petropoulos, S.; Di Gioia, F.; Ntatsi, G. Vegetable organosulfur compounds and their health promoting effects. Curr. Pharm. Des. 2017, 23, 2850–2875. [Google Scholar] [CrossRef] [PubMed]
  74. Kim, H.J.; Kwon, M.S.; Hwang, H.; Choi, H.-S.; Lee, W.; Choi, S.-P.; Jo, H.; Hong, S.W. A review of the health benefits of kimchi functional compounds and metabolites. Microbiol. Biotechnol. Lett. 2023, 51, 353–373. [Google Scholar] [CrossRef]
  75. Ishida, M.; Nagata, M.; Ohara, T.; Kakizaki, T.; Hatakeyama, K.; Nishio, T. Small variation of glucosinolate composition in Japanese cultivars of radish (Raphanus sativus L.) requires simple quantitative analysis for breeding of glucosinolate component. Breed. Sci. 2012, 62, 63–70. [Google Scholar] [CrossRef]
  76. Kim, S.-J.; Uddin, M.R.; Park, S.U. Glucosinolate accumulation in three important radish (Raphanus sativus) cultivars. Aust. J. Crop Sci. 2013, 7, 1843–1847. [Google Scholar]
  77. Iqbal, S.; Ali, U.; Fadlalla, T.; Li, Q.; Liu, H.; Lu, S.; Guo, L. Genome wide characterization of phospholipase A & C families and pattern of lysolipids and diacylglycerol changes under abiotic stresses in Brassica napus L. Plant Physiol. Biochem. 2020, 147, 101–112. [Google Scholar]
  78. Kobayashi, W.; Kobayashi, T.; Takahashi, A.; Kumakura, K.; Ayabe, S.; Matsuoka, H. Branched-chain amino acid synthesis and glucosinolate–myrosinase system during takuan-zuke processing of radish root. J. Food Biochem. 2021, 45, e13983. [Google Scholar] [CrossRef]
  79. Ahmed, S.; Al-Rehaily, A.J.; Alam, P.; Alqahtani, A.S.; Hidayatullah, S.; Rehman, M.T.; Mothana, R.A.; Abbas, S.S.; Khan, M.; Khalid, J.M. Antidiabetic, antioxidant, molecular docking and HPTLC analysis of miquelianin isolated from Euphorbia schimperi C. Presl. Saudi Pharm. J. 2019, 27, 655–663. [Google Scholar] [CrossRef]
  80. Wang, H.; Cheng, X.; Wu, C.; Fan, G.; Li, T.; Dong, C. Retardation of postharvest softening of blueberry fruit by methyl jasmonate is correlated with altered cell wall modification and energy metabolism. Sci. Hortic. 2021, 276, 109752. [Google Scholar] [CrossRef]
  81. Šamec, D.; Piljac-Žegarac, J. Postharvest stability of antioxidant compounds in hawthorn and cornelian cherries at room and refrigerator temperatures—Comparison with blackberries, white and red grapes. Sci. Hortic. 2011, 131, 15–21. [Google Scholar] [CrossRef]
  82. Piljac-Žegarac, J.; Šamec, D. Antioxidant stability of small fruits in postharvest storage at room and refrigerator temperatures. Food Res. Int. 2011, 44, 345–350. [Google Scholar] [CrossRef]
  83. Aalim, H.; Shishir, M.R.I.; Yosri, N.; Arslan, M.; Tahir, H.E.; Hashim, S.B.; Karim, N.; Zhai, X.; Li, Z.; Zhou, C. Systematic review of the digestive fate of rice phenolic compounds: Insights into bioavailability, influencing factors, encapsulation strategies, and health implications. Trends Food Sci. Technol. 2024, 156, 104833. [Google Scholar] [CrossRef]
  84. Andjelković, M.; Van Camp, J.; De Meulenaer, B.; Depaemelaere, G.; Socaciu, C.; Verloo, M.; Verhe, R. Iron-chelation properties of phenolic acids bearing catechol and galloyl groups. Food Chem. 2006, 98, 23–31. [Google Scholar] [CrossRef]
  85. Zhang, J.; Zhao, J.; Tan, Q.; Qiu, X.; Mei, S. Comparative transcriptome analysis reveals key genes associated with pigmentation in radish (Raphanus sativus L.) skin and flesh. Sci. Rep. 2021, 11, 11434. [Google Scholar]
  86. Abdullah, Z.L.; Mohammed, R.K. The study of the antibacterial effect of anthocyanin pigment extracted from red cabbage (Brassica oleracea var. capitata f. rubra) and red radish peels (Raphanus sativus. var. sativus). In IOP Conference Series: Earth and Environmental Science; IOP Publishing: Bristol, UK, 2024; p. 052089. [Google Scholar]
  87. Prior, R.L.; Wu, X. Anthocyanins: Structural characteristics that result in unique metabolic patterns and biological activities. Free Radic. Res. 2006, 40, 1014–1028. [Google Scholar] [CrossRef]
  88. Stintzing, F.C.; Stintzing, A.S.; Carle, R.; Frei, B.; Wrolstad, R.E. Color and antioxidant properties of cyanidin-based anthocyanin pigments. J. Agric. Food Chem. 2002, 50, 6172–6181. [Google Scholar]
Figure 1. L* value (A), a* value (B), b* value (C), hue angle (D), hardness (E), and pH (F) of pickled purple radish during storage. Different letters at the lines indicate significant differences according to Tukey’s HSD test (p < 0.05).
Figure 1. L* value (A), a* value (B), b* value (C), hue angle (D), hardness (E), and pH (F) of pickled purple radish during storage. Different letters at the lines indicate significant differences according to Tukey’s HSD test (p < 0.05).
Foods 14 01259 g001
Figure 2. Total phenolic content (A), total flavonoid content (B), total anthocyanin content (C) of pickled purple radish during storage. Different letters above the bars indicate significant differences according to Tukey’s HSD test (p < 0.05).
Figure 2. Total phenolic content (A), total flavonoid content (B), total anthocyanin content (C) of pickled purple radish during storage. Different letters above the bars indicate significant differences according to Tukey’s HSD test (p < 0.05).
Foods 14 01259 g002
Figure 3. Free sugar (fructose, glucose, and sucrose) content of pickled purple radish during storage. Different letters above the bars indicate significant differences according to Tukey’s HSD test (p < 0.05).
Figure 3. Free sugar (fructose, glucose, and sucrose) content of pickled purple radish during storage. Different letters above the bars indicate significant differences according to Tukey’s HSD test (p < 0.05).
Foods 14 01259 g003
Figure 4. Representative LC-QToF-MS chromatogram of pickled purple radish. The 34 compounds include amino acids, organic acids, anthocyanins, lysophosphatidyl choline (LPC), and lysophosphatidyl ethanolamine (LPE).
Figure 4. Representative LC-QToF-MS chromatogram of pickled purple radish. The 34 compounds include amino acids, organic acids, anthocyanins, lysophosphatidyl choline (LPC), and lysophosphatidyl ethanolamine (LPE).
Foods 14 01259 g004
Figure 5. MS (positive) spectrum and fragmentation of cyanidin-3-diferulouylsophoroside-5-malonylglucoside (peak 20). Glu: glucose, Mal: malic acid, Fer: ferulic acid.
Figure 5. MS (positive) spectrum and fragmentation of cyanidin-3-diferulouylsophoroside-5-malonylglucoside (peak 20). Glu: glucose, Mal: malic acid, Fer: ferulic acid.
Foods 14 01259 g005
Figure 6. Principal component analysis (PCA) score plot (A), one-way analysis of variance (ANOVA) (B), heatmap (C), and change in relative intensities of main anthocyanins (D) in pickled purple radish during storage. Heatmap of metabolites in red and blue represent those upregulated and downregulated. Different letters above the line indicate significant differences according to Tukey’s HSD test (p < 0.05). Peak 17: cyanidin-3-O-caffeoylsophoroside-5-O-malonyldiglucoside, Peak 18: cyanidin-3-O-feruloylsophoroside-5-O-malonylglucoside, Peak 19: cyanidin-3-O-coumaroylsinapoylsophoroside-5-O-malonylglucoside, Peak 20: cyanidin-3-diferuloylsophoroside-5-malonylglucoside. Cy: cyanidin; Fer: ferulic acid; Soph: sophoroside; Mal: malonic acid; Glu: glucose; Caf: caffeic acid; Cou: coumaric acid, Sin: sinapinic acid.
Figure 6. Principal component analysis (PCA) score plot (A), one-way analysis of variance (ANOVA) (B), heatmap (C), and change in relative intensities of main anthocyanins (D) in pickled purple radish during storage. Heatmap of metabolites in red and blue represent those upregulated and downregulated. Different letters above the line indicate significant differences according to Tukey’s HSD test (p < 0.05). Peak 17: cyanidin-3-O-caffeoylsophoroside-5-O-malonyldiglucoside, Peak 18: cyanidin-3-O-feruloylsophoroside-5-O-malonylglucoside, Peak 19: cyanidin-3-O-coumaroylsinapoylsophoroside-5-O-malonylglucoside, Peak 20: cyanidin-3-diferuloylsophoroside-5-malonylglucoside. Cy: cyanidin; Fer: ferulic acid; Soph: sophoroside; Mal: malonic acid; Glu: glucose; Caf: caffeic acid; Cou: coumaric acid, Sin: sinapinic acid.
Foods 14 01259 g006
Figure 7. Pearson’s correlations between color (hue angle) and cyanidin-3-O-caffeoylsophoroside-5-O-malonyldiglucoside (peak 17, (A)), cyanidin-3-O-feruloylsophoroside-5-O-malonylglucoside (peak 18, (B)), cyanidin-O-coumaroylsinapoylsophoroside-5-O-malonylglucoside (peak 19, (C)), and cyanidin-3-O-diferuloylsophoroside-5-O-malonylglucoside (peak 20, (D)).
Figure 7. Pearson’s correlations between color (hue angle) and cyanidin-3-O-caffeoylsophoroside-5-O-malonyldiglucoside (peak 17, (A)), cyanidin-3-O-feruloylsophoroside-5-O-malonylglucoside (peak 18, (B)), cyanidin-O-coumaroylsinapoylsophoroside-5-O-malonylglucoside (peak 19, (C)), and cyanidin-3-O-diferuloylsophoroside-5-O-malonylglucoside (peak 20, (D)).
Foods 14 01259 g007aFoods 14 01259 g007b
Figure 8. ABTS+ radical scavenging activity (A) and ferric reducing antioxidant power (B) of pickled purple radish and pickling solution during storage. Different letters above the bars indicate significant differences according to Tukey’s HSD test (p < 0.05).
Figure 8. ABTS+ radical scavenging activity (A) and ferric reducing antioxidant power (B) of pickled purple radish and pickling solution during storage. Different letters above the bars indicate significant differences according to Tukey’s HSD test (p < 0.05).
Foods 14 01259 g008
Table 1. MS results of metabolites identified in pickled purple radish.
Table 1. MS results of metabolites identified in pickled purple radish.
No.tR (min)Fragment Ions (m/z)Mode of
Ionization
Theoretical (m/z)Observed (m/z)Mass Error
(ppm)
Molecular
Formula
Predicted Compounds
PositiveNegative
11.0268.9973111.0090, 87.0100 [M-H]191.0212191.02004.7C6H8O7Citric acid
21.1384.0458 128.0311[M+H]+130.0547130.05134.2C5H7NO3Pyroglutamic acid
31.39141.9600117.0195, 73.5326[M-H]117.0188117.01955.0C4H6O4Succinic acid
41.42165.0558163.0397, 118.0229[M+H]+182.0791182.08264.9C9H11NO3Tyrosine
51.5786.0979-[M+H]+132.1024132.10335.1C6H13NO2Isoleucine
61.65205.0718, 61.008159.6404[M+H]+385.1368385.10221.5C14H24O12Acetyl maltose
71.90136.0632134.0462[M+H]+268.1051268.10501.5C10H13N5O4Adenosine
82.68126.9580-[M+H]+144.0483144.04934.5C6H9NOS2-(Isothiocyanatomethyl)tetrahydrofuran
93.09120.0822103.6744[M+H]+166.0868166.08764.8C9H11NO2Phenylalanine
104.90308.8376-[M+H]+354.0715354.07981.1C11H20N3O6S2Methylthio glutathione
116.81188.0718159.8946[M+H]+205.0972205.09813.2C11H12N2O2Tryptophan
127.67235.9700-[M+Na]+259.1329259.11652.7C10H20O6Butyl hexose
139.50235.9700 [M+Na]+259.1329259.11652.7C10H20O6Butyl hexose
1410.93-151.9011 [M-H]477.0697477.0643−5.4C21H18O13Miquelianin
1511.3986.0975-[M+H]+245.1884245.18702.0C12H24N2O3Leucylleucine
1611.95112.0230 [M+H]+176.0204176.02194.5C6H9NOS2Raphanin
1712.02773.1924, 287.0566-[M]+1021.24611021.24791.8C45H49O27Cyanidin-3-O-caffeoylsophoroside-5-O-malonyldiglucoside
1812.32787.3702, 287.1151-[M]+1035.26181035.26270.9C46H51O27Cyanidin-3-O-feruloylsophoroside-5-O-malonylglucoside
1912.44963.2558, 697.16161371.35[M]+1373.36171373.36451.9C62H69O35Cyanidin-3-O-coumaroylsinapoylsophoroside-5-O-malonyldiglucoside
2012.551035.2664, 963.2518-[M]+1211.30931211.31081.4C56H59O30Cyanidin-3-O-diferuloylsophoroside-5-O-malonylglucoside
2112.731035.2664, 963.2518-[M]+1211.30931211.31081.4C56H59O30Cyanidin-3-O-diferuloylsophoroside-5-O-malonylglucoside isomer 1
2212.96-160.0445[M-H]693.2036693.2034−4.6C32H38O17Lignan
2314.01279.0948, 81.5212211.1340[M-H]327.2162327.21792.4C18H34O5Trihydroxylinolenic acid
2414.28169.9780, 97.9925265.1494[M-H]329.2328329.23341.8C18H34O59,12,13-Trihydroxy-10-octadecenoic acid
2516.31335.2590542.2498, 277.2166[M+H]+476.2652476.27800.6C23H42NO7PLysoPE(18:3)
2616.47540.3062, 335.2580552.2858, 277.2175[M+H]+518.3228518.3246−0.2C26H48NO7PLysoPC(18:3)
2716.73540.3063, 335.2588552.2856, 277.2162[M+H]+518.3228518.3246−0.2C26H48NO7PLysoPC(18:3)
2817.10423.2740, 337.2740279.2337[M+H]+478.2881478.2930−0.8C23H44NO7PLysoPE(18:2)
2917.32502.3282, 337.2740554.3004[M+H]+520.3048520.3397−1.2C26H50NO7PLysoPC(18:2)
3017.63502.3281, 337.2718554.2996[M+H]+520.3048520.3397−1.2C26H50NO7PLysoPC(18:2)
3117.98436.2665, 313.2737255.9257[M+H]+454.2812454.2928−1.3C21H44NO7PLysoPE(16:0)
3218.15339.2892, 223.9893281.2467[M+H]+480.3247480.3084−1.2C23H46NO7PLysoPE(18:1)
3318.28459.2485, 104.1074480.3099[M+H]+496.3356496.3398−1.0C24H50NO7PLysoPC(16:0)
3418.45504.3404, 184.9869566.3459, 281.2491[M+H]+522.3558522.3554−1.1C26H52NO7PLysoPC(18:1)
Disclaimer/Publisher’s Note: The statements, opinions and data contained in all publications are solely those of the individual author(s) and contributor(s) and not of MDPI and/or the editor(s). MDPI and/or the editor(s) disclaim responsibility for any injury to people or property resulting from any ideas, methods, instructions or products referred to in the content.

Share and Cite

MDPI and ACS Style

Chae, S.-H.; Lee, S.-H.; Kim, S.-H.; Song, S.-H.; Moon, J.-H.; Kim, H.-W.; Cho, J.-Y. Changes in Quality and Metabolites of Pickled Purple Radish During Storage. Foods 2025, 14, 1259. https://doi.org/10.3390/foods14071259

AMA Style

Chae S-H, Lee S-H, Kim S-H, Song S-H, Moon J-H, Kim H-W, Cho J-Y. Changes in Quality and Metabolites of Pickled Purple Radish During Storage. Foods. 2025; 14(7):1259. https://doi.org/10.3390/foods14071259

Chicago/Turabian Style

Chae, Seung-Hun, Sang-Hyeon Lee, Seung-Hwan Kim, Si-Hun Song, Jae-Hak Moon, Heon-Woong Kim, and Jeong-Yong Cho. 2025. "Changes in Quality and Metabolites of Pickled Purple Radish During Storage" Foods 14, no. 7: 1259. https://doi.org/10.3390/foods14071259

APA Style

Chae, S.-H., Lee, S.-H., Kim, S.-H., Song, S.-H., Moon, J.-H., Kim, H.-W., & Cho, J.-Y. (2025). Changes in Quality and Metabolites of Pickled Purple Radish During Storage. Foods, 14(7), 1259. https://doi.org/10.3390/foods14071259

Note that from the first issue of 2016, this journal uses article numbers instead of page numbers. See further details here.

Article Metrics

Back to TopTop