The Formation and Change of Volatile Flavor Compounds During the Cooking of Sheep Bone Soup
Abstract
1. Introduction
2. Materials and Methods
2.1. Materials
2.2. Sample Preparation
2.3. Determination of TBARS Value
2.4. Determination of the Degree of Maillard Reaction
2.5. Fatty Acids Analysis
2.6. E-Nose Analysis
2.7. Analysis of Volatile Compounds by Gas Chromatography-Mass Spectrometry (GC-MS)
2.8. Statistical Analysis
3. Results and Discussion
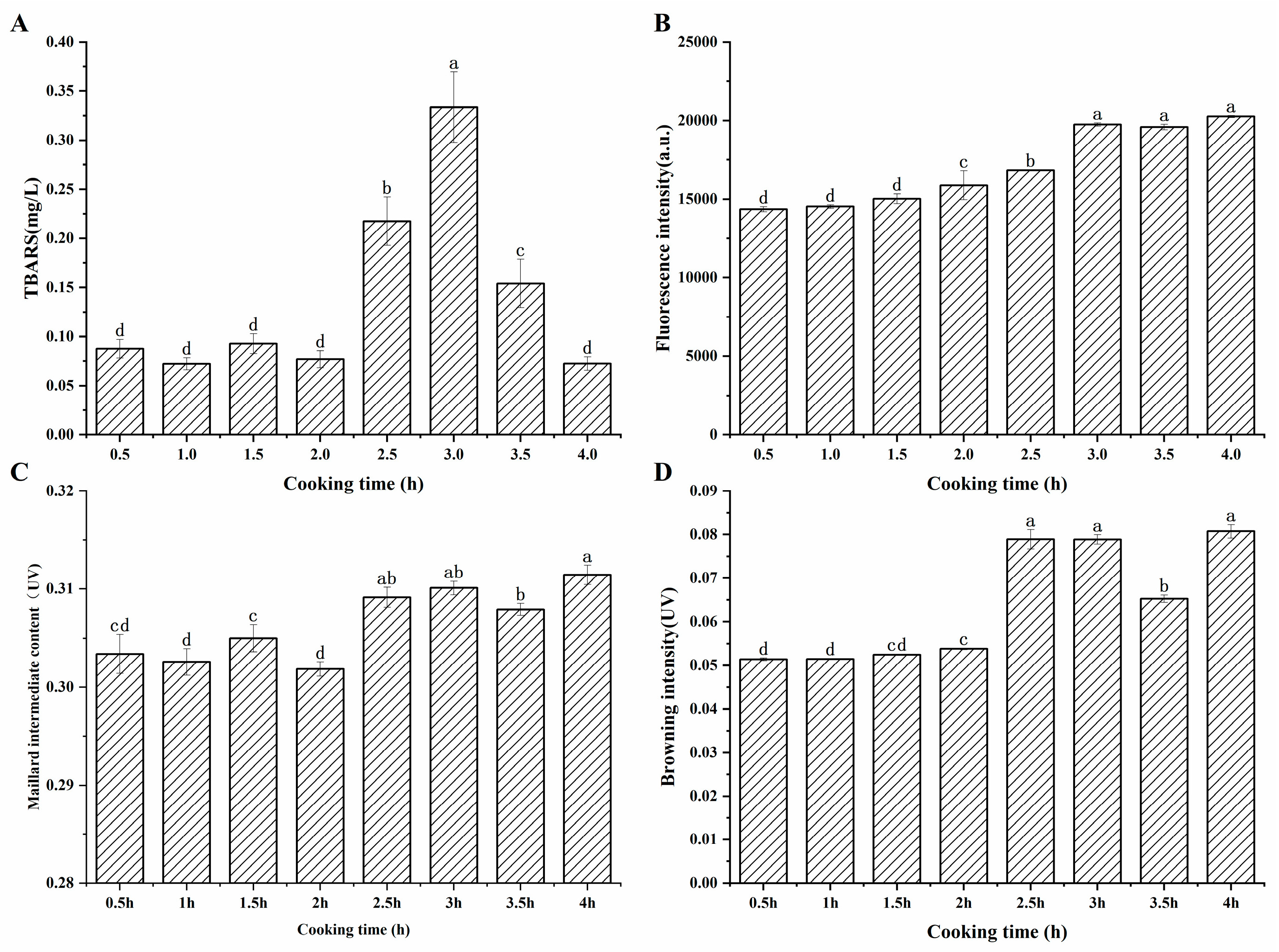
3.1. Changes in TBARS Value During the Cooking of Sheep Bone Soup
3.2. Changes in the Degree of Maillard Reaction During the Cooking Process of Sheep Bone Soup
3.3. Changes in Fatty Acid Contents During the Cooking Process of Sheep Bone Soup
3.4. Changes in E-Nose Data During the Cooking Process of Sheep Bone Soup
3.5. Changes in Volatile Flavor Compounds During the Cooking of Sheep Bone Soup
3.6. Principal Component Analysis
3.7. Partial Least Squares Discrimination Analysis (PLS-DA) for Screening Important Volatile Flavor Compounds
4. Conclusions
Author Contributions
Funding
Institutional Review Board Statement
Informed Consent Statement
Data Availability Statement
Conflicts of Interest
References
- Huang, T.-T.; Luo, Y.; Chang, C.; Zeng, L.; Zhang, Z.; Hu, Y.; Wu, S.; Zhang, W.; Qin, D. Study on the Boiling Technology of Goat Bone Stock. Farm Prod. Process. 2022, 8, 43–46. [Google Scholar]
- Huang, T.-T.; Luo, Y.; Chang, C.; Zhang, Z.; Hu, Y.; Qin, D.; Zeng, L. Study on Correlation between sensory quality and amino acid composition of sheep bone stock. China Condiment 2022, 47, 5–9. [Google Scholar]
- Meng, Q.; Zhou, J.; Gao, D.; Xu, E.; Guo, M.; Liu, D. Desorption of nutrients and flavor compounds formation during the cooking of bone soup. Food Control 2022, 132, 108408. [Google Scholar] [CrossRef]
- Flores, M. Understanding the implications of current health trends on the aroma of wet and dry cured meat products. Meat Sci. 2018, 144, 53–61. [Google Scholar] [CrossRef] [PubMed]
- Zhang, J.; Zhen, Z.; Zhang, W.; Zeng, T.; Zhou, G. Effect of intensifying high-temperature ripening on proteolysis, lipolysis and flavor of Jinhua ham. J. Sci. Food Agric. 2009, 89, 834–842. [Google Scholar] [CrossRef]
- Qi, J.; Liu, D.Y.; Zhou, G.H.; Xu, X.L. Characteristic Flavor of Traditional Soup Made by Stewing Chinese Yellow-Feather Chickens. J. Food Sci. 2017, 82, 2031–2040. [Google Scholar] [CrossRef]
- Xie, Q.; Xu, B.; Xu, Y.; Yao, Z.; Zhu, B.; Li, X.; Sun, Y. Effects of different thermal treatment temperatures on volatile flavour compounds of water-boiled salted duck after packaging. LWT 2022, 154, 112625. [Google Scholar] [CrossRef]
- Wang, H.J.; Chen, L.; Xu, A.; Zhao, Y.L.; Wang, Y.F.; Liu, Z.H.; Xu, P. Thermochemical reactions in tea drying shape the flavor of tea: A review. Food Res. Int. 2024, 197, 14. [Google Scholar] [CrossRef]
- Zhang, M.; Karangwa, E.; Duhoranimana, E.; Zhang, X.; Xia, S.; Yu, J.; Xu, M. Characterization of pork bone soup odor active compounds from traditional clay and commercial electrical stewpots by sensory evaluation, gas chromatography-mass spectrometry/olfactometry and partial least squares regression. Flavour Fragr. J. 2017, 32, 470–483. [Google Scholar] [CrossRef]
- Sang, H.; Jaecheol, K.; Keum, T.; Yong, B. Physicochemical and Sensory Characteristics of Beef-bone Broths Prepared under Atmospheric Pressure and Overpressure. J. Food Sci. Technol. 2015, 47, 725–732. [Google Scholar]
- Qin, Z.; Li-Yan, Z.; Qing-Qing, Z. Effect of different boiling methods on flavor components of chicken skeleton soup. Sci. Technol. Food Ind. 2015, 36, 314–319. [Google Scholar]
- Cambero, M.I.; Pereira-Lima, C.I.; Ordoñez, J.A.; De Garcia Fernando, G.D. Beef broth flavour: Relation of components with the flavour developed at different cooking temperatures. J. Sci. Food Agric. 2000, 80, 1519–1528. [Google Scholar] [CrossRef]
- Chotechuang, N.; Lokkhumlue, M.; Deetae, P. Effect of Temperature and Time on Free amino acid profile in Thai chicken bone soup stock preparation. Thai J. Pharm. Sci. 2018, 42, 110–117. [Google Scholar] [CrossRef]
- Zhang, Y.; Wang, W.; Wang, X.H.; Zhang, J.M. Bone soup: Protein nutrition and enzymatic hydrolysis process optimized by response surface method. J. Food Nutr. Res. 2014, 53, 1–12. [Google Scholar]
- Ma, L.-Z.; Wen, X.-J.; Liang, P. Influence on Effective Constitutes of Bone Dregs and Bone Soup by Different Preparing Ways on Sheep Bone. J. Tianjin Agric. Univ. 2006, 4, 1–6. [Google Scholar]
- Veberg, A.; Sorheim, O.; Moan, J.; Iani, V.; Juzenas, P.; Nilsen, A.N.; Wold, J.P. Measurement of lipid oxidation and porphyrins in high oxygen modified atmosphere and vacuum-packed minced turkey and pork meat by fluorescence spectra and images. Meat Sci. 2006, 73, 511–520. [Google Scholar] [CrossRef]
- Gatellier, P.; Sante-Lhoutellier, V.; Portanguen, S.; Kondjoyan, A. Use of meat fluorescence emission as a marker of oxidation promoted by cooking. Meat Sci. 2009, 83, 651–656. [Google Scholar] [CrossRef]
- Liu, Y.; Liao, H.Y.; Xie, Q.S.; Li, K.C.; Xu, B.C.; Yao, Z.; Li, X.F.; Sun, Y. Effects of dry-curing salt content on flavour formation in different production steps during the processing of water-boiled salted duck. Int. J. Food Sci. Technol. 2023, 58, 3637–3647. [Google Scholar] [CrossRef]
- Dominguez, R.; Pateiro, M.; Gagaoua, M.; Barba, F.J.; Zhang, W.; Lorenzo, J.M. A Comprehensive Review on Lipid Oxidation in Meat and Meat Products. Antioxidants 2019, 8, 429. [Google Scholar] [CrossRef]
- Júnior, D.M.D.L.; Rangel, A.H.D.N.; Urbano, S.A.; Moreno, G.M.B. Lipid oxidation and lamb meat quality. Braz. J. Vet. 2013, 7, 14–28. [Google Scholar]
- Traore, S.; Aubry, L.; Gatellier, P.; Przybylski, W.; Jaworska, D.; Kajak-Siemaszko, K.; Sante-Lhoutellier, V. Effect of heat treatment on protein oxidation in pig meat. Meat Sci. 2012, 91, 14–21. [Google Scholar] [CrossRef] [PubMed]
- Ventanas, S.; Estévez, M.; Delgado, C.L.; Ruiz, J. Phospholipid oxidation, non-enzymatic browning development and volatile compounds generation in model systems containing liposomes from porcine Longissimus dorsi and selected amino acids. Eur. Food Res. Technol. 2006, 225, 665–675. [Google Scholar] [CrossRef]
- Zamora, R.; Gallardo, E.; Hidalgo, F.J. Model Studies on the Degradation of Phenylalanine Initiated by Lipid Hydroperoxides and Their Secondary and Tertiary Oxidation Products. J. Agric. Food. Chem. 2008, 56, 7970–7975. [Google Scholar] [CrossRef] [PubMed]
- Roldan, M.; Antequera, T.; Armenteros, M.; Ruiz, J. Effect of different temperature–time combinations on lipid and protein oxidation of sous-vide cooked lamb loins. Food Chem. 2014, 149, 129–136. [Google Scholar] [CrossRef]
- Friedman, M. Food browning and its prevention: An overview. J. Agric. Food. Chem. 1996, 44, 631–653. [Google Scholar] [CrossRef]
- Chen, X.; Fang, F.; Wang, S. Physicochemical properties and hepatoprotective effects of glycated Snapper fish scale peptides conjugated with xylose via maillard reaction. Food Chem. Toxicol. 2020, 137, 111115. [Google Scholar] [CrossRef]
- Luo, F.; Fei, X. Maillard reaction derived from oil-tea camellia seed through roasting. J. Sci. Food Agric. 2019, 99, 5000–5007. [Google Scholar] [CrossRef]
- Nooshkam, M.; Varidi, M.; Bashash, M. The Maillard reaction products as food-born antioxidant and antibrowning agents in model and real food systems. Food Chem. 2019, 275, 644–660. [Google Scholar] [CrossRef]
- Jo, Y.; An, K.-A.; Arshad, M.S.; Kwon, J.-H. Effects of e-beam irradiation on amino acids, fatty acids, and volatiles of smoked duck meat during storage. Innov. Food Sci. Emerg. Technol. 2018, 47, 101–109. [Google Scholar] [CrossRef]
- Regueiro, J.A.G.; Gibert, J.; Díaz, I. Determination of neutral lipids from subcutaneous fat of cured ham by capillary gas chromatography and liquid chromatography. J. Chromatogr. A 1994, 667, 225–233. [Google Scholar] [CrossRef]
- Choe, J.H.; Nam, K.; Jung, S.; Kim, B.; Yun, H.; Jo, C. Differences in the Quality Characteristics between Commercial Korean Native Chickens and Broilers. J. Food Sci. Anim. Resour. 2010, 30, 13–19. [Google Scholar] [CrossRef]
- Hou, L.; Chai, S.-T.; Liu, S.-J.; Cui, Z.-H.; Zhang, X.-W.; Zhao, Y.-P. Comparative Studies on Beef Amino Acid Composition and Fatty Acid Composition of Qinghai Yak and Qinchuan Cattle. Meat Res. 2013, 27, 30–36. [Google Scholar]
- Rodriguez, S.D.; Monge, M.E.; Olivieri, A.C.; Negri, R.M.; Bernik, D.L. Time dependence of the aroma pattern emitted by an encapsulated essence studied by means of electronic noses and chemometric analysis. Food Res. Int. 2010, 43, 797–804. [Google Scholar] [CrossRef]
- Hadorn, R.; Eberhard, P.; Guggisberg, D.; Piccinali, P.; Schlichtherle-Cerny, H. Effect of fat score on the quality of various meat products. Meat Sci. 2008, 80, 765–770. [Google Scholar] [CrossRef]
- Wu, N.; Wang, X.C. Identification of important odorants derived from phosphatidylethanolamine species in steamed male Eriocheir sinensis hepatopancreas in model systems. Food Chem. 2019, 286, 491–499. [Google Scholar] [CrossRef]
- Zeng, X.; Xia, W.; Jiang, Q.; Xu, Y.; Fan, J. Contribution of Mixed Starter Cultures to Flavor Profile of Suanyu—A Traditional Chinese Low-Salt Fermented Whole Fish. J. Food Process. Preserv. 2017, 41, e13131. [Google Scholar] [CrossRef]
- Zhou, X.; Chong, Y.; Ding, Y.; Gu, S.; Liu, L. Determination of the effects of different washing processes on aroma characteristics in silver carp mince by MMSE-GC-MS, e-nose and sensory evaluation. Food Chem. 2016, 207, 205–213. [Google Scholar] [CrossRef] [PubMed]
- Mottram, D.S. Flavour formation in meat and meat products: A review. Food Chem. 1998, 62, 415–424. [Google Scholar] [CrossRef]
- Chmiel, M.; Roszko, M.; Hac-Szymanczuk, E.; Adamczak, L.; Florowski, T.; Pietrzak, D.; Cegielka, A.; Bryla, M. Time evolution of microbiological quality and content of volatile compounds in chicken fillets packed using various techniques and stored under different conditions. Poult. Sci. 2020, 99, 1107–1116. [Google Scholar] [CrossRef]
- Duan, Z.; Dong, S.; Sun, Y.; Dong, Y.; Gao, Q. Response of Atlantic salmon (Salmo salar) flavor to environmental salinity while culturing between freshwater and seawater. Aquaculture 2021, 530, 735953. [Google Scholar] [CrossRef]
- Nieto, G.; Bañón, S.; Garrido, M.D. Effect of supplementing ewes’ diet with thyme (Thymus zygis ssp. gracilis) leaves on the lipid oxidation of cooked lamb meat. Food Chem. 2011, 125, 1147–1152. [Google Scholar] [CrossRef]
- Domínguez, R.; Gómez, M.; Fonseca, S.; Lorenzo, J.M. Influence of thermal treatment on formation of volatile compounds, cooking loss and lipid oxidation in foal meat. LWT 2014, 58, 439–445. [Google Scholar] [CrossRef]
- Gasser, U.; Grosch, W. Primary odorants of chicken broth—A comparative study with meat broths from cow and ox. J. Food Investig. Res. 1990, 190, 3–8. [Google Scholar]
- Chen, D.; Zhang, M. Analysis of volatile compounds in Chinese mitten crab (Eriocheir sinensis). J. Food Drug Anal. 2020, 14, 11. [Google Scholar] [CrossRef]
- Hallier, A.; Prost, C.; Serot, T. Influence of rearing conditions on the volatile compounds of cooked fillets of Silurus glanis (European catfish). J. Agric. Food. Chem. 2005, 53, 7204–7211. [Google Scholar] [CrossRef]
- Zhuang, K.; Wu, N.; Wang, X.; Wu, X.; Wang, S.; Long, X.; Wei, X. Effects of 3 Feeding Modes on the Volatile and Nonvolatile Compounds in the Edible Tissues of Female Chinese Mitten Crab (Eriocheir sinensis). J. Food Sci. 2016, 81, S968–S981. [Google Scholar] [CrossRef]
- Bi, S.; Wang, A.; Wang, Y.; Xu, X.; Luo, D.; Shen, Q.; Wu, J. Effect of cooking on aroma profiles of Chinese foxtail millet (Setaria italica) and correlation with sensory quality. Food Chem. 2019, 289, 680–692. [Google Scholar] [CrossRef]
- Tang, L.; Song, H.; Wang, L. Flavor characterizations of Maillard reaction products of enzymatical hydrolysates of soybean and chicken with different molecular weights. J. Food Sci. Technol. 2023, 41, 148–163. [Google Scholar]
- Van Boekel, M. Formation of flavour compounds in the Maillard reaction. Biotechnol. Adv. 2006, 24, 230–233. [Google Scholar] [CrossRef]
- Perez-Palacios, T.; Ruiz, J.; Martin, D.; Grau, R.; Antequera, T. Influence of pre-cure freezing on the profile of volatile compounds during the processing of Iberian hams. J. Sci. Food Agric. 2010, 90, 882–890. [Google Scholar] [CrossRef]
- Garcia, C.; Berdague, J.J.; Antequera, T.; Lopezbote, C.; Cordoba, J.J.; Ventanas, J. Volatile Components of Dry Cured Iberian Ham. Food Chem. 1991, 41, 23–32. [Google Scholar] [CrossRef]
- Madruga, M.S.; Stephen Elmore, J.; Dodson, A.T.; Mottram, D.S. Volatile flavour profile of goat meat extracted by three widely used techniques. Food Chem. 2009, 115, 1081–1087. [Google Scholar] [CrossRef]
- Liu, H.; Wang, Z.; Zhang, D.; Shen, Q.; Pan, T.; Hui, T.; Ma, J. Characterization of Key Aroma Compounds in Beijing Roasted Duck by Gas Chromatography-Olfactometry-Mass Spectrometry, Odor-Activity Values, and Aroma-Recombination Experiments. J. Agric. Food. Chem. 2019, 67, 5847–5856. [Google Scholar] [CrossRef]
- Wu, Q.; Zang, M.; Wang, S.; Zhao, B.; Zhang, S.; Li, S.; Pan, X.; Liu, M.; Fu, X. Changes in flavors profiles of stewed bone-in lamb loin during cooking by DHS/GC-MS combined with electronic bionic systems. Food Biosci. 2023, 53, 102767. [Google Scholar] [CrossRef]
- Lorenzo, J.M. Changes on physico-chemical, textural, lipolysis and volatile compounds during the manufacture of dry-cured foal “cecina”. Meat Sci. 2014, 96, 256–263. [Google Scholar] [CrossRef] [PubMed]
- Yin, X.Y.; Wen, R.X.; Sun, F.D.; Wang, Y.; Kong, B.H.; Chen, Q. Collaborative analysis on differences in volatile compounds of Harbin red sausages smoked with different types of woodchips based on gas chromatography-mass spectrometry combined with electronic nose. LWT 2021, 143, 11. [Google Scholar] [CrossRef]
- Fleming-Jones, M.E.; Smith, R.E. Volatile Organic Compounds in Foods: A Five Year Study. J. Agric. Food Chem. 2003, 51, 8120–8127. [Google Scholar] [CrossRef] [PubMed]
- Nie, Y.-h.; Xu, Y.; Wu, Q.; Du, H. Analysis on source of tyrosine and phenylalanine as precursors of aromatic compounds in Baiju (Chinese liquor). Food Ferment. Ind. 2018, 44, 1–6. [Google Scholar]
- Maggiolino, A.; Lorenzo, J.M.; Marino, R.; della Malva, A.; Centoducati, P.; De Palo, P. Foal meat volatile compounds: Effect of vacuum ageing on semimembranosus muscle. J. Sci. Food Agric. 2018, 99, 1660–1667. [Google Scholar] [CrossRef]
- Wang, B.Y.; Qu, F.F.; Wang, P.Q.; Zhao, L.; Wang, Z.; Han, Y.H.; Zhang, X.F. Characterization analysis of flavor compounds in green teas at different drying temperature. LWT 2022, 161, 11. [Google Scholar] [CrossRef]
- Min, D.B.S.; Ina, K.; Peterson, R.J.; Chang, S.S. The alkylbenzenes in roast beef. J. Food Sci. 1977, 42, 503–505. [Google Scholar] [CrossRef]
- Ding, A.; Zhu, M.; Qian, X.; Shi, L.; Huang, H.; Xiong, G.; Wang, J.; Wang, L. Effect of fatty acids on the flavor formation of fish sauce. LWT 2020, 134, 110259. [Google Scholar] [CrossRef]
- Chen, W.S.; Liu, D.C.; Chen, M.T. The effect of roasting temperature on the formation of volatile compounds in Chinese-style pork jerky. Asian-Australas. J. Anim. Sci. 2002, 15, 427–431. [Google Scholar] [CrossRef]
- Tanchotikul, U.; Hsieh, T.C.-Y. Volatile Flavor Components in Crayfish Waste. J. Food Sci. 1989, 54, 1515–1520. [Google Scholar] [CrossRef]
- Dong, Y.; Zhang, Y.; Yao, H.; He, G.; Dai, Z. Effect of Different Pretreatments on the Free Amino Acids and Volatile Components of Bighead Carp Bone Protein Hydrolysates. Food Sci. 2021, 42, 179–185. [Google Scholar]
- Song, S.; Zhang, X.; Hayat, K.; Liu, P.; Jia, C.; Xia, S.; Xiao, Z.; Tian, H.; Niu, Y. Formation of the beef flavour precursors and their correlation with chemical parameters during the controlled thermal oxidation of tallow. Food Chem. 2011, 124, 203–209. [Google Scholar] [CrossRef]
- Giri, A.; Osako, K.; Ohshima, T. Identification and characterisation of headspace volatiles of fish miso, a Japanese fish meat based fermented paste, with special emphasis on effect of fish species and meat washing. Food Chem. 2010, 120, 621–631. [Google Scholar] [CrossRef]
- Huang, X.H.; Qi, L.B.; Fu, B.S.; Chen, Z.H.; Zhang, Y.Y.; Du, M.; Dong, X.P.; Zhu, B.W.; Qin, L. Flavor formation in different production steps during the processing of cold-smoked Spanish mackerel. Food Chem. 2019, 286, 241–249. [Google Scholar] [CrossRef]
- Cai, L.; Cao, M.; Cao, A.; Zhang, W. The Effect of Magnetic Nanoparticles Plus Microwave Thawing on the Volatile Flavor Characteristics of Largemouth Bass (Micropterus salmoides) Fillets. Food Bioprocess Technol. 2019, 12, 1340–1351. [Google Scholar] [CrossRef]





| No. | FA | Content (mg/kg) | |||||||
|---|---|---|---|---|---|---|---|---|---|
| 0.5 h | 1 h | 1.5 h | 2 h | 2.5 h | 3 h | 3.5 h | 4 h | ||
| 1 | C6:0 | ND | ND | ND | ND | 84.27 ± 2.17 c | 68.68 ± 8.24 c | 160.72 ± 5.10 b | 209.43 ± 26.40 a |
| 2 | C8:0 | 67.87 ± 7.38 d | 72.51 ± 1.89 d | 138.85 ± 18.59 b | 200.40 ± 11.03 a | 109.94 ± 16.70 c | 62.47 ± 1.72 d | 148.45 ± 6.71 b | 76.78 ± 0.68 d |
| 3 | C10:0 | 35.59 ± 1.94 f | 59.19 ± 2.52 de | 92.68 ± 2.75 c | 63.16 ± 2.41 d | 46.65 ± 6.70 ef | 45.25 ± 6.89 ef | 207.41 ± 8.85 a | 139.17 ± 16.38 b |
| 4 | C11:0 | 79.35 ± 3.58 f | 156.15 ± 5.32 d | 128.16 ± 22.96 e | 206.33 ± 24.60 c | 97.95 ± 4.38 f | 76.64 ± 4.52 f | 595.37 ± 8.42 a | 367.03 ± 7.15 b |
| 5 | C12:0 | ND | ND | ND | ND | 27.70 ± 2.36 c | 17.94 ± 1.01 d | 62.15 ± 4.42 a | 57.12 ± 1.70 b |
| 6 | C13:0 | 24.15 ± 3.97 e | ND | 48.54 ± 2.75 d | 106.12 ± 8.48 c | 96.05 ± 7.58 c | 31.68 ± 1.30 e | 211.39 ± 11.98 a | 119.48 ± 3.26 b |
| 7 | C14:1,cis-9 | 77.89 ± 1.33 e | 108.32 ± 8.03 d | 214.68 ± 14.22 b | 189.97 ± 19.57 c | 104.77 ± 12.52 d | 111.34 ± 8.41 d | 303.39 ± 18.26 a | 75.88 ± 10.89 e |
| 8 | C16:0 | 39.18 ± 5.94 c | 71.33 ± 8.44 a | 0.00 ± 0.00 e | 77.99 ± 6.61 a | 50.09 ± 7.17 b | 15.97 ± 2.39 d | 39.36 ± 2.24 c | 56.09 ± 0.88 b |
| 9 | C16:1,cis-9 | 43.71 ± 0.96 f | 66.82 ± 1.33 de | 188.98 ± 1.75 a | 84.62 ± 3.75 d | 65.44 ± 5.14 e | 33.58 ± 0.95 f | 163.42 ± 22.89 b | 106.77 ± 19.36 c |
| 10 | C18:0 | 161.67 ± 16.22 e | 989.93 ± 92.26 b | 475.62 ± 34.42 c | 1024.75 ± 56.91 b | 365.04 ± 22.43 d | 271.51 ± 14.75 d | 1290.28 ± 9.81 a | 974.29 ± 65.17 b |
| 11 | C18:1,cis-9 | 194.73 ± 7.82 b | 141.47 ± 4.58 c | 124.70 ± 2.59 d | 225.44 ± 5.45 a | 63.17 ± 0.27 e | 32.49 ± 5.91 h | 54.17 ± 3.86 f | 43.47 ± 0.15 g |
| 12 | C18:2,cis-9,12 | 23.04 ± 2.62 a | ND | ND | ND | ND | ND | ND | ND |
| 13 | C22:0 | 74.89 ± 3.92 d | ND | 57.85 ± 4.72 d | 0.00 ± 0.00 e | 188.19 ± 10.39 c | 334.14 ± 32.56 b | 897.51 ± 96.25 a | 187.51 ± 37.16 c |
| 14 | C20:3,cis8,11,14 | 0.00 ± 0.00 b | ND | ND | ND | ND | ND | 78.42 ± 0.36 a | ND |
| SFA | 482.71 ± 16.18 f | 1349.10 ± 109.50 d | 941.69 ± 45.92 e | 1678.78 ± 71.03 c | 1065.87 ± 32.32 e | 924.29 ± 44.96 e | 3612.66 ± 66.57 a | 2186.89 ± 111.32 b | |
| MUFA | 316.33 ± 8.19 c | 316.61 ± 6.69 c | 528.36 ± 14.66 a | 500.03 ± 11.73 b | 233.38 ± 10.22 d | 177.41 ± 13.33 e | 520.99 ± 6.79 ab | 226.12 ± 19.42 d | |
| PUFA | 23.04 ± 2.62 b | 0.00 ± 0.00 c | 0.00 ± 0.00 c | 0.00 ± 0.00 c | 0.00 ± 0.00 c | 0.00 ± 0.00 e | 78.42 ± 0.35 a | 0.00 ± 0.00 c | |
| TFA | 822.08 ± 24.06 h | 1665.71 ± 114.09 d | 1470.06 ± 33.78 e | 2178.79 ± 82.73 c | 1299.26 ± 29.65 f | 1101.71 ± 38.03 g | 4212.07 ± 61.47 a | 2413.02 ± 103.03 b | |
| No. | Sensor | Sensitivity (mL/m3) | Sensitive Substances |
|---|---|---|---|
| 1 | W1C | 10 | Aromatic compounds, benzene |
| 2 | W5S | 1 | Nitrogen oxides |
| 3 | W3C | 10 | Aromatic compounds, Ammonia |
| 4 | W6S | 100 | Hydrocarbons |
| 5 | W5C | 1 | Short-chain alkanes |
| 6 | W1S | 100 | Methyls |
| 7 | W1W | 1 | Sulfides |
| 8 | W2S | 100 | Alcohols, aldehydes, and ketones |
| 9 | W2W | 1 | Aromatic compounds, organic sulfides |
| 10 | W3S | 100 | Long-chain alkanes |
| Compound | RT (min) | RI | Content (ng/mL) | |||||||
|---|---|---|---|---|---|---|---|---|---|---|
| 0.5 h | 1 h | 1.5 h | 2 h | 2.5 h | 3 h | 3.5 h | 4 h | |||
| Heptanal | 13.05 | 902.4 | 88.48 ± 13.18 d | 47.61 ± 1.63 de | 49.05 ± 3.53 de | 89.11 ± 2.24 d | 1052.04 ± 30.29 a | 978.55 ± 53.71 b | 239.48 ± 32.78 c | 0.00 ± 0.00 e |
| Hexanal | 9.96 | 801.9 | 88.74 ± 1.35 cd | 87.89 ± 5.49 cd | 55.44 ± 3.13 d | 60.18 ± 3.28 d | 659.75 ± 104.95 a | 396.76 ± 56.61 b | 146.12 ± 0.59 c | 38.11 ± 2.52 d |
| Pentanal | 7.25 | 701.7 | ND | 54.53 ± 9.09 d | 22.72 ± 3.89 ef | 43.37 ± 5.26 de | 194.15 ± 3.11 ab | 214.39 ± 32.03 a | 183.67 ± 1.73 b | 114.81 ± 18.12 c |
| 2-Propenal | 6.93 | 683.3 | ND | ND | ND | ND | ND | 31.29 ± 0.81 a | ND | 0.03 ± 0.01 a |
| Aldehydes | 177.22 ± 14.54 d | 190.02 ± 11.34 d | 127.21 ± 9.26 e | 192.66 ± 6.00 d | 1905.94 ± 121.21 a | 1620.99 ± 28.63 b | 569.27 ± 33.71 c | 184.47 ± 25.63 d | ||
| Acetone | 4.45 | 505.5 | 233.66 ± 23.53 a | 194.15 ± 7.59 b | 116.00 ± 11.27 c | 118.18 ± 1.45 c | 118.89 ± 1.45 c | ND | 221.83 ± 30.24 ab | 108.86 ± 10.37 c |
| 2,3-Pentanedione | 5.97 | 625.9 | ND | ND | ND | 2.53 ± 0.29 b | 55.44 ± 3.55 a | ND | 1.55 ± 0.17 b | ND |
| 3-Pentanone | 5.47 | 594.6 | 13.84 ± 0.42 e | ND | ND | 17.89 ± 2.10 d | 60.63 ± 2.06 c | 82.59 ± 2.53 b | 150.50 ± 0.72 a | 1.51 ± 0.37 f |
| Ketones | 246.49 ± 23.94 b | 194.15 ± 7.59 c | 116.00 ± 11.27 d | 138.59 ± 1.48 d | 234.95 ± 6.48 b | 82.59 ± 2.53 e | 373.89 ± 30.87 a | 110.37 ± 10.00 de | ||
| 2-Methyl-2-propanol | 4.61 | 519.7 | 162.81 ± 15.09 a | 170.16 ± 0.22 a | 54.25 ± 3.89 c | 60.84 ± 5.74 c | 55.47 ± 5.49 c | 31.60 ± 0.73 d | 149.12 ± 3.55 b | 39.23 ± 1.37 d |
| 1-Butanol | 6.56 | 660.8 | ND | ND | 16.27 ± 1.33 d | 32.52 ± 1.58 b | ND | 19.14 ± 1.03 d | 157.72 ± 2.65 a | 24.55 ± 2.39 c |
| 2-Propenol | 16.25 | 1026.9 | 7.06 ± 0.34 b | 27.13 ± 4.29 a | ND | ND | ND | ND | ND | ND |
| DL-2,3-Butanediol | 6.54 | 659.8 | ND | ND | 2.62 ± 0.31 b | 4.23 ± 0.44 b | ND | 2.66 ± 0.27 b | 62.62 ± 3.29 a | ND |
| 4-Methyl-1-pentanol | 5.91 | 622.4 | ND | ND | ND | 3.97 ± 0.10 c | ND | 11.78 ± 0.48 b | ND | 15.59 ± 0.92 a |
| 1,4-Butanediol | 10.97 | 834.7 | ND | 16.28 ± 0.33 a | 4.10 ± 0.25 c | ND | ND | 9.66 ± 0.29 b | ND | ND |
| 4-Amino-1-butanol | 6.92 | 681.9 | ND | 3.94 ± 0.64 a | ND | 2.64 ± 0.25 b | ND | ND | ND | ND |
| Alcohols | 169.87 ± 15.44 c | 217.52 ± 4.06 b | 77.24 ± 4.17 e | 104.19 ± 7.22 d | 55.47 ± 5.49 f | 74.85 ± 1.66 e | 369.46 ± 0.70 a | 79.38 ± 3.29 e | ||
| Ethyl acetate | 5.67 | 608.3 | 107.26 ± 0.01 f | 247.15 ± 18.73 c | 206.54 ± 10.91 d | 141.95 ± 18.88 e | 401.03 ± 17.81 a | 299.73 ± 5.34 b | 246.92 ± 20.54 c | 189.32 ± 8.28 d |
| Isobutyl nitrite | 4.69 | 526.8 | ND | 11.79 ± 1.93 a | ND | ND | 5.86 ± 0.34 b | 3.74 ± 0.19 c | ND | ND |
| Isobutyl acetate | 10.42 | 816.7 | ND | 6.03 ± 0.22 b | ND | 4.59 ± 0.31 c | ND | ND | ND | 6.65 ± 0.39 a |
| Oxalic acid, diallyl ester | 9.13 | 771.7 | 34.65 ± 2.02 b | ND | ND | ND | 10.22 ± 0.85 c | ND | 65.87 ± 0.46 a | ND |
| Ethyl diazoacetate | 5.80 | 616.1 | ND | ND | 3.74 ± 0.09 b | ND | 7.86 ± 0.23 a | ND | 0.31 ± 0.01 c | ND |
| Diethyl carbonate | 8.46 | 746.7 | ND | ND | 7.79 ± 0.34 b | 15.67 ± 0.57 a | ND | ND | 15.65 ± 0.42 a | ND |
| Tert-Butyl N-hydroxycarbamate | 8.54 | 749.4 | 24.64 ± 2.48 b | ND | 18.52 ± 2.65 c | 24.51 ± 3.34 b | 35.43 ± 2.19 a | ND | 20.52 ± 0.29 c | 21.50 ± 0.29 bc |
| Esters | 166.55 ± 5.48 f | 264.97 ± 18.09 d | 236.59 ± 12.59 de | 186.71 ± 19.95 f | 460.40 ± 18.60 a | 303.47 ± 5.43 c | 349.28 ± 22.11 b | 217.47 ± 7.97 e | ||
| 2-Propenoic acid | 9.97 | 802.1 | ND | ND | ND | ND | 100.91 ± 9.08 b | 133.88 ± 0.40 a | ND | ND |
| Acids | ND | ND | ND | ND | 100.91 ± 9.08 b | 133.88 ± 0.40 a | ND | ND | ||
| Toluene | 8.91 | 763.4 | 57.93 ± 10.81 e | 97.34 ± 2.68 d | 123.64 ± 4.22 c | 110.89 ± 17.33 cd | 215.49 ± 6.29 b | 245.53 ± 6.11 a | 59.37 ± 2.91 e | 38.84 ± 2.80 f |
| Ethylbenzene | 12.12 | 871.9 | 15.07 ± 0.33 d | 21.48 ± 3.46 cd | 37.55 ± 4.29 b | 27.09 ± 3.95 c | 38.99 ± 2.06 b | 23.53 ± 2.76 c | 34.56 ± 3.82 b | 52.09 ± 4.53 a |
| 1,3-Dimethyl-benzene | 12.07 | 870.4 | 45.83 ± 4.57 b | ND | ND | 45.35 ± 3.34 b | ND | 69.64 ± 0.91 a | ND | ND |
| Naphthalene | 19.42 | 1196.9 | 61.19 ± 4.31 e | 68.83 ± 10.61 e | 134.68 ± 9.63 c | 123.49 ± 0.73 c | 102.08 ± 3.72 d | 110.60 ± 4.00 d | 196.63 ± 4.14 a | 172.13 ± 1.89 b |
| 2,4-Dimethyl-benzaldehyde | 19.88 | 1227.5 | 69.81 ± 1.35 b | 83.29 ± 3.43 a | ND | ND | ND | ND | ND | ND |
| Aromatics | 249.83 ± 18.74 e | 270.94 ± 12.19 de | 295.87 ± 14.14 c | 306.83 ± 13.99 c | 356.57 ± 2.61 b | 449.30 ± 11.89 a | 290.55 ± 4.67 cd | 263.05 ± 8.11 e | ||
| Hexane | 5.44 | 592.4 | ND | ND | ND | ND | ND | 149.20 ± 7.75 a | 130.77 ± 3.89 b | 107.10 ± 11.19 c |
| 2-Ethoxy-2-methylpropane | 5.58 | 602.9 | 121.15 ± 5.83 b | 141.73 ± 18.94 a | ND | ND | ND | ND | ND | ND |
| 2-Methoxy-2-methylpropane | 5.16 | 567.9 | 97.35 ± 7.51 a | 95.35 ± 6.35 a | 28.74 ± 0.91 b | 25.13 ± 4.42 b | ND | 24.09 ± 3.14 b | 28.43 ± 3.20 b | ND |
| 2-Ethoxy-propane | 5.38 | 586.7 | 97.94 ± 5.92 a | 40.47 ± 2.49 b | ND | 15.46 ± 0.74 c | ND | ND | ND | ND |
| 1,1-Diethoxy-ethane | 8.08 | 732.5 | ND | 5.98 ± 0.45 a | ND | ND | 4.39 ± 0.21 b | 6.18 ± 0.09 a | 0.93 ± 0.02 c | ND |
| 2-Methyl-butane | 9.93 | 801.0 | 33.56 ± 2.09 a | ND | 13.67 ± 1.95 b | 31.60 ± 8.02 a | ND | ND | ND | ND |
| 2-Methoxy-pentane | 5.63 | 606.3 | 35.68 ± 0.98 b | 34.69 ± 1.16 b | ND | ND | 37.49 ± 0.49 a | ND | ND | 4.92 ± 0.16 c |
| Dimethyl-diazene | 4.51 | 510.7 | 170.99 ± 2.88 b | ND | 97.49 ± 3.48 c | 80.71 ± 3.26 d | 183.42 ± 3.82 a | ND | ND | 95.61 ± 7.72 c |
| Alkanes | 556.68 ± 20.40 a | 318.21 ± 24.98 b | 139.89 ± 3.16 e | 152.90 ± 5.34 e | 225.31 ± 3.98 c | 179.47 ± 9.99 d | 160.12 ± 7.01 de | 207.63 ± 9.49 c | ||
| Pyrrolidine | 5.05 | 558.4 | ND | 4.87 ± 0.34 c | 1.55 ± 0.43 d | ND | 7.73 ± 0.02 b | 15.78 ± 0.32 a | ND | ND |
| Azetidine | 5.28 | 578.1 | ND | ND | 3.26 ± 0.12 c | ND | ND | 9.86 ± 0.69 b | ND | 14.66 ± 1.44 a |
| Methyloxirane | 4.45 | 506.0 | ND | ND | 0.00 ± 0.00 b | ND | ND | 215.21 ± 24.76 a | ND | ND |
| Tetrahydrofuran | 5.94 | 624.8 | ND | 18.94 ± 2.84 d | 13.09 ± 0.78 e | 16.43 ± 0.51 d | 44.88 ± 2.85 b | 47.36 ± 1.21 ab | 48.73 ± 0.69 a | 25.08 ± 0.13 c |
| Heterocyclic compounds | ND | 23.81 ± 3.03 cd | 17.91 ± 0.69 de | 16.43 ± 0.51 de | 52.61 ± 2.90 b | 288.21 ± 25.25 a | 48.73 ± 0.69 b | 39.74 ± 1.31 bc | ||
| All | 1566.64 ± 71.66 d | 1479.62 ± 28.57 d | 1010.71 ± 39.95 e | 1098.33 ± 21.89 e | 3392.16 ± 89.97 a | 3132.77 ± 18.67 b | 2161.29 ± 80.00 c | 1102.11 ± 23.12 e | ||
Disclaimer/Publisher’s Note: The statements, opinions and data contained in all publications are solely those of the individual author(s) and contributor(s) and not of MDPI and/or the editor(s). MDPI and/or the editor(s) disclaim responsibility for any injury to people or property resulting from any ideas, methods, instructions or products referred to in the content. |
© 2025 by the authors. Licensee MDPI, Basel, Switzerland. This article is an open access article distributed under the terms and conditions of the Creative Commons Attribution (CC BY) license (https://creativecommons.org/licenses/by/4.0/).
Share and Cite
Wu, S.; Bai, Y.; Xu, B.; Li, X.; Yao, Z.; Li, J.; Sun, Y. The Formation and Change of Volatile Flavor Compounds During the Cooking of Sheep Bone Soup. Foods 2025, 14, 949. https://doi.org/10.3390/foods14060949
Wu S, Bai Y, Xu B, Li X, Yao Z, Li J, Sun Y. The Formation and Change of Volatile Flavor Compounds During the Cooking of Sheep Bone Soup. Foods. 2025; 14(6):949. https://doi.org/10.3390/foods14060949
Chicago/Turabian StyleWu, Shan, Yuzhu Bai, Baocai Xu, Xinfu Li, Zhong Yao, Jingjun Li, and Yun Sun. 2025. "The Formation and Change of Volatile Flavor Compounds During the Cooking of Sheep Bone Soup" Foods 14, no. 6: 949. https://doi.org/10.3390/foods14060949
APA StyleWu, S., Bai, Y., Xu, B., Li, X., Yao, Z., Li, J., & Sun, Y. (2025). The Formation and Change of Volatile Flavor Compounds During the Cooking of Sheep Bone Soup. Foods, 14(6), 949. https://doi.org/10.3390/foods14060949

