A Meta-Analysis on the In Vitro Antagonistic Effects of Lactic Acid Bacteria from Dairy Products on Foodborne Pathogens
Abstract
1. Introduction
2. Materials and Methods
2.1. Literature Review and Data Extraction
2.2. Meta-Regression Modeling
2.2.1. Pooling Meta-Regression Models
2.2.2. Pathogen-Specific Meta-Regression Models
2.2.3. Overarching Meta-Regression Model
2.2.4. Heterogeneity and Publication Bias
3. Results and Discussion
3.1. Description of the Meta-Analytical Data
3.2. Pooled Inhibition Diameters
3.3. Meta-Regression Models
3.3.1. Listeria Monocytogenes
3.3.2. Staphylococcus aureus
3.3.3. Salmonella spp.
3.4. Overarching Meta-Regression Model
4. Conclusions
Author Contributions
Funding
Institutional Review Board Statement
Informed Consent Statement
Data Availability Statement
Conflicts of Interest
References
- Bando, E.; Oliveira, R.C.; Ferreira, G.M.Z.; Machinski, M. Occurrence of Antimicrobial Residues in Pasteurized Milk Commercialized in the State of Paraná, Brazil. J. Food Prot. 2009, 72, 911–914. [Google Scholar] [CrossRef] [PubMed]
- Bashiry, M.; Javanmardi, F.; Taslikh, M.; Sheidaei, Z.; Sadeghi, E.; Abedi, A.-S.; Mirza Alizadeh, A.; Hashempour-Baltork, F.; Beikzadeh, S.; Riahi, S.M.; et al. Listeria Monocytogenes in Dairy Products of the Middle East Region: A Systematic Review, Meta-Analysis, and Meta-Regression Study. Iran. J. Public Health 2022, 51, 292–305. [Google Scholar] [CrossRef]
- Oliver, S.P.; Jayarao, B.M.; Almeida, R.A. Foodborne Pathogens in Milk and the Dairy Farm Environment: Food Safety and Public Health Implications. Foodborne Pathog. Dis. 2005, 2, 115–129. [Google Scholar] [CrossRef]
- Multistate Outbreak of Salmonella Serotype Typhimurium Infections Associated with Drinking Unpasteurized Milk—Illinois, Indiana, Ohio, and Tennessee, 2002–2003. Available online: https://www.cdc.gov/mmwr/preview/mmwrhtml/mm5226a3.htm (accessed on 26 July 2024).
- Cretenet, M.; Even, S.; Le Loir, Y. Unveiling Staphylococcus Aureus Enterotoxin Production in Dairy Products: A Review of Recent Advances to Face New Challenges. Dairy Sci. Technol. 2011, 91, 127–150. [Google Scholar] [CrossRef]
- Farrokh, C.; Jordan, K.; Auvray, F.; Glass, K.; Oppegaard, H.; Raynaud, S.; Thevenot, D.; Condron, R.; De Reu, K.; Govaris, A.; et al. Review of Shiga-Toxin-Producing Escherichia Coli (STEC) and Their Significance in Dairy Production. Int. J. Food Microbiol. 2013, 162, 190–212. [Google Scholar] [CrossRef] [PubMed]
- Bula-Rudas, F.J.; Rathore, M.H.; Maraqa, N.F. Salmonella Infections in Childhood. Adv. Pediatr. 2015, 62, 29–58. [Google Scholar] [CrossRef]
- Fagundes, H.; Barchesi, L.; Filho, A.N.; Ferreira, L.M.; Oliveira, C.A.F. Occurrence of Staphylococcus aureus in Raw Milk Produced in Dairy Farms in São Paulo State, Brazil. Braz. J. Microbiol. 2010, 41, 376–380. [Google Scholar] [CrossRef] [PubMed]
- Settanni, L.; Moschetti, G. Non-Starter Lactic Acid Bacteria Used to Improve Cheese Quality and Provide Health Benefits. Food Microbiol. 2010, 27, 691–697. [Google Scholar] [CrossRef]
- De Buyser, M.-L.; Dufour, B.; Maire, M.; Lafarge, V. Implication of Milk and Milk Products in Food-Borne Diseases in France and in Different Industrialised Countries. Int. J. Food Microbiol. 2001, 67, 1–17. [Google Scholar] [CrossRef]
- Barancelli, G.V.; Silva-Cruz, J.V.; Porto, E.; Oliveira, C.A.F. Listeria Monocytogenes: Ocorrência em Produtos Lácteos e Suas Implicações em Saúde Pública. Arq. Inst. Biol. 2011, 78, 155–168. [Google Scholar] [CrossRef]
- Leong, W.M.; Geier, R.; Engstrom, S.; Ingham, S.; Ingham, B.; Smukowski, M. Growth of Listeria monocytogenes, Salmonella Spp., Escherichia coli O157:H7, and Staphylococcus aurevus on Cheese during Extended Storage at 25 Degrees C. J. Food Prot. 2014, 77, 1275–1288. [Google Scholar] [CrossRef]
- Listeriosis. Available online: https://www.who.int/news-room/fact-sheets/detail/listeriosis (accessed on 18 June 2023).
- Allerberger, F. Listeria: Growth, Phenotypic Differentiation and Molecular Microbiology. FEMS Immunol. Med. Microbiol. 2003, 35, 183–189. [Google Scholar] [CrossRef]
- Allerberger, F.; Wagner, M. Listeriosis: A Resurgent Foodborne Infection. Clin. Microbiol. Infect. 2010, 16, 16–23. [Google Scholar] [CrossRef]
- Arqués, J.L.; Rodríguez, E.; Langa, S.; Landete, J.M.; Medina, M. Antimicrobial Activity of Lactic Acid Bacteria in Dairy Products and Gut: Effect on Pathogens. BioMed Res. Int. 2015, 2015, 584183. [Google Scholar] [CrossRef]
- CDC. How Food Gets Contaminated: The Production Chain. Available online: https://www.cdc.gov/foodborne-outbreaks/foodproductionchain/index.html (accessed on 30 April 2024).
- World Health Organization. WHO Estimates of the Global Burden of Foodborne Diseases: Foodborne Disease Burden Epidemiology Reference Group 2007–2015; World Health Organization: Geneva, Switzerland, 2015; ISBN 978-92-4-156516-5. [Google Scholar]
- Castellano, P.; Pérez Ibarreche, M.; Blanco Massani, M.; Fontana, C.; Vignolo, G.M. Strategies for Pathogen Biocontrol Using Lactic Acid Bacteria and Their Metabolites: A Focus on Meat Ecosystems and Industrial Environments. Microorganisms 2017, 5, 38. [Google Scholar] [CrossRef]
- Imade, E.; Omonigho, S.E.; Babalola, O.; Enagbonma, B. Lactic Acid Bacterial Bacteriocins and Their Bioactive Properties against Food-Associated Antibiotic-Resistant Bacteria. Ann. Microbiol. 2021, 71, 44. [Google Scholar] [CrossRef]
- Ibrahim, S.A.; Ayivi, R.D.; Zimmerman, T.; Siddiqui, S.A.; Altemimi, A.B.; Fidan, H.; Esatbeyoglu, T.; Bakhshayesh, R.V. Lactic Acid Bacteria as Antimicrobial Agents: Food Safety and Microbial Food Spoilage Prevention. Foods 2021, 10, 3131. [Google Scholar] [CrossRef] [PubMed]
- Saraoui, T.; Leroi, F.; Chevalier, F.; Cappelier, J.-M.; Passerini, D.; Pilet, M.-F. Bioprotective Effect of Lactococcus Piscium CNCM I-4031 Against Listeria Monocytogenes Growth and Virulence. Front. Microbiol. 2018, 9, 1564. [Google Scholar] [CrossRef] [PubMed]
- European Food Safety Authority (EFSA); European Centre for Disease Prevention and Control (ECDC). The European Union One Health 2022 Zoonoses Report. EFSA J. 2023, 21, e8442. [Google Scholar] [CrossRef]
- Gonzales-Barron, U.; Gonçalves-Tenório, A.; Rodrigues, V.; Cadavez, V. Foodborne Pathogens in Raw Milk and Cheese of Sheep and Goat Origin: A Meta-Analysis Approach. Curr. Opin. Food Sci. 2017, 18, 7–13. [Google Scholar] [CrossRef]
- Ferrari, I.D.S.; de Souza, J.V.; Ramos, C.L.; da Costa, M.M.; Schwan, R.F.; Dias, F.S. Selection of Autochthonous Lactic Acid Bacteria from Goat Dairies and Their Addition to Evaluate the Inhibition of Salmonella Typhi in Artisanal Cheese. Food Microbiol. 2016, 60, 29–38. [Google Scholar] [CrossRef]
- Stiles, M.E. Biopreservation by Lactic Acid Bacteria. Antonie Van Leeuwenhoek 1996, 70, 331–345. [Google Scholar] [CrossRef] [PubMed]
- Kasimin, M.E.; Shamsuddin, S.; Molujin, A.M.; Sabullah, M.K.; Gansau, J.A.; Jawan, R. Enterocin: Promising Biopreservative Produced by Enterococcus sp. Microorganisms 2022, 10, 684. [Google Scholar] [CrossRef] [PubMed]
- Singh, V.P. Recent Approaches in Food Bio-Preservation—A Review. Open Vet. J. 2018, 8, 104–111. [Google Scholar] [CrossRef]
- Coelho, M.C.; Silva, C.C.G.; Ribeiro, S.C.; Dapkevicius, M.L.N.E.; Rosa, H.J.D. Control of Listeria Monocytogenes in Fresh Cheese Using Protective Lactic Acid Bacteria. Int. J. Food Microbiol. 2014, 191, 53–59. [Google Scholar] [CrossRef] [PubMed]
- Paul Ross, R.; Morgan, S.; Hill, C. Preservation and Fermentation: Past, Present and Future. Int. J. Food Microbiol. 2002, 79, 3–16. [Google Scholar] [CrossRef]
- Gálvez, A.; López, R.L.; Abriouel, H.; Valdivia, E.; Omar, N.B. Application of Bacteriocins in the Control of Foodborne Pathogenic and Spoilage Bacteria. Crit. Rev. Biotechnol. 2008, 28, 125–152. [Google Scholar] [CrossRef]
- Deegan, L.H.; Cotter, P.D.; Hill, C.; Ross, P. Bacteriocins: Biological Tools for Bio-Preservation and Shelf-Life Extension. Int. Dairy J. 2006, 16, 1058–1071. [Google Scholar] [CrossRef]
- Holzapfel, W.H.; Geisen, R.; Schillinger, U. Biological Preservation of Foods with Reference to Protective Cultures, Bacteriocins and Food-Grade Enzymes. Int. J. Food Microbiol. 1995, 24, 343–362. [Google Scholar] [CrossRef]
- Poffo, F.; Silva, M.A.C.D. Caracterização taxonômica e fisiológica de bactérias ácido-láticas isoladas de pescado marinho. Ciênc. Tecnol. Aliment. 2011, 31, 303–307. [Google Scholar] [CrossRef]
- Coelho, M.C.; Malcata, F.X.; Silva, C.C.G. Lactic Acid Bacteria in Raw-Milk Cheeses: From Starter Cultures to Probiotic Functions. Foods 2022, 11, 2276. [Google Scholar] [CrossRef] [PubMed]
- Jeevaratnam, K.; Jamuna, M.; Bawa, A. Biological Preservation of Foods–Bacteriocins of Lactic Acid Bacteria. Indian J. Biotechnol. 2005, 4, 446–454. [Google Scholar]
- And, H.C.; Hoover, D.G. Bacteriocins and Their Food Applications. Compr. Rev. Food Sci. Food Saf. 2003, 2, 82–100. [Google Scholar] [CrossRef] [PubMed]
- Ahansaz, N.; Tarrah, A.; Pakroo, S.; Corich, V.; Giacomini, A. Lactic Acid Bacteria in Dairy Foods: Prime Sources of Antimicrobial Compounds. Fermentation 2023, 9, 964. [Google Scholar] [CrossRef]
- Leroy, F.; De Vuyst, L. Lactic Acid Bacteria as Functional Starter Cultures for the Food Fermentation Industry. Trends Food Sci. Technol. 2004, 15, 67–78. [Google Scholar] [CrossRef]
- Rocha, K.R.; Perini, H.F.; de Souza, C.M.; Schueler, J.; Tosoni, N.F.; Furlaneto, M.C.; Furlaneto-Maia, L. Inhibitory Effect of Bacteriocins from Enterococci on Developing and Preformed Biofilms of Listeria monocytogenes, Listeria ivanovii and Listeria innocua. World J. Microbiol. Biotechnol. 2019, 35, 96. [Google Scholar] [CrossRef]
- Allende, A.; Martínez, B.; Selma, V.; Gil, M.I.; Suárez, J.E.; Rodríguez, A. Growth and Bacteriocin Production by Lactic Acid Bacteria in Vegetable Broth and Their Effectiveness at Reducing Listeria Monocytogenes in Vitro and in Fresh-Cut Lettuce. Food Microbiol. 2007, 24, 759–766. [Google Scholar] [CrossRef]
- Hoover, D.G.; Harlander, S.K. Screening Methods for Detecting Bacteriocin Activity; Elsevier: Amsterdam, The Netherlands, 1993; pp. 23–39. [Google Scholar]
- Medved’ová, A.; Koňuchová, M.; Kvočiková, K.; Hatalová, I.; Valík, L. Effect of Lactic Acid Bacteria Addition on the Microbiological Safety of Pasta-Filata Types of Cheeses. Front. Microbiol. 2020, 11, 612528. [Google Scholar] [CrossRef]
- Ghrairi, T.; Manai, M.; Berjeaud, J.M.; Frere, J. Antilisterial Activity of Lactic Acid Bacteria Isolated from Rigouta, a Traditional Tunisian Cheese. J. Appl. Microbiol. 2004, 97, 621–628. [Google Scholar] [CrossRef]
- Reis, J.A.; Paula, A.T.; Casarotti, S.N.; Penna, A.L.B. Lactic Acid Bacteria Antimicrobial Compounds: Characteristics and Applications. Food Eng. Rev. 2012, 4, 124–140. [Google Scholar] [CrossRef]
- Parada, J.L.; Caron, C.R.; Medeiros, A.B.P.; Soccol, C.R. Bacteriocins from Lactic Acid Bacteria: Purification, Properties and Use as Biopreservatives. Braz. Arch. Biol. Technol. 2007, 50, 512–542. [Google Scholar] [CrossRef]
- Oliveira, M.; Abadias, M.; Colás-Medà, P.; Usall, J.; Viñas, I. Biopreservative Methods to Control the Growth of Foodborne Pathogens on Fresh-Cut Lettuce. Int. J. Food Microbiol. 2015, 214, 4–11. [Google Scholar] [CrossRef]
- Dal Bello, B.; Cocolin, L.; Zeppa, G.; Field, D.; Cotter, P.D.; Hill, C. Technological Characterization of Bacteriocin Producing Lactococcus Lactis Strains Employed to Control Listeria Monocytogenes in Cottage Cheese. Int. J. Food Microbiol. 2012, 153, 58–65. [Google Scholar] [CrossRef] [PubMed]
- Goa, T.; Beyene, G.; Mekonnen, M.; Gorems, K. Isolation and Characterization of Lactic Acid Bacteria from Fermented Milk Produced in Jimma Town, Southwest Ethiopia, and Evaluation of Their Antimicrobial Activity against Selected Pathogenic Bacteria. Int. J. Food Sci. 2022, 2022, 2076021. [Google Scholar] [CrossRef] [PubMed]
- Gokoglu, N. Novel Natural Food Preservatives and Applications in Seafood Preservation: A Review. J. Sci. Food Agric. 2019, 99, 2068–2077. [Google Scholar] [CrossRef]
- Vaithiyanathan, S.; Ethiraj, S.; Subathradevi, C.; Victor, M. Lantibiotic Nisin: Natural Preservative from Lactococcus lactis. Int. Res. J. Pharm. 2012, 3, 13–19. [Google Scholar]
- Yerlikaya, O. Probiotic Potential and Biochemical and Technological Properties of Lactococcus Lactis ssp. Lactis Strains Isolated from Raw Milk and Kefir Grains. J. Dairy Sci. 2019, 102, 124–134. [Google Scholar] [CrossRef] [PubMed]
- Alvarez Badel, B.; Doria Espitia, M.A.; Hodeg Peña, V.; Simanca Sotelo, M.M.; Pastrana Puche, Y.; Denise De Paula, C. Effect of Nisin on the Inhibition of the Growth of Staphylococcus aureus and on the Sensory Properties of Coastal Cheese. Rev. Mex. Cienc. Pecu. 2022, 13, 272–286. [Google Scholar] [CrossRef]
- Silva, B.N.; Faria, A.S.; Cadavez, V.; Teixeira, J.A.; Gonzales-Barron, U. Technological Potential of Lactic Acid Bacteria Isolated from Portuguese Goat’s Raw Milk Cheeses. In Proceedings of the 2nd International Electronic Conference on Foods, Online, 15–30 October 2021; p. 9. [Google Scholar]
- Campagnollo, F.B.; Margalho, L.P.; Kamimura, B.A.; Feliciano, M.D.; Freire, L.; Lopes, L.S.; Alvarenga, V.O.; Cadavez, V.A.P.; Gonzales-Barron, U.; Schaffner, D.W.; et al. Selection of Indigenous Lactic Acid Bacteria Presenting Anti-Listerial Activity, and Their Role in Reducing the Maturation Period and Assuring the Safety of Traditional Brazilian Cheeses. Food Microbiol. 2018, 73, 288–297. [Google Scholar] [CrossRef]
- Jurášková, D.; Ribeiro, S.C.; Silva, C.C.G. Exopolysaccharides Produced by Lactic Acid Bacteria: From Biosynthesis to Health-Promoting Properties. Foods 2022, 11, 156. [Google Scholar] [CrossRef]
- DerSimonian, R.; Laird, N. Meta-Analysis in Clinical Trials. Control. Clin. Trials 1986, 7, 177–188. [Google Scholar] [CrossRef] [PubMed]
- Xavier, C.; Gonzales-Barron, U.; Paula, V.; Estevinho, L.; Cadavez, V. Meta-Analysis of the Incidence of Foodborne Pathogens in Portuguese Meats and Their Products. Food Res. Int. 2014, 55, 311–323. [Google Scholar] [CrossRef]
- Borenstein, M.; Hedges, L.V.; Higgins, J.P.T.; Rothstein, H.R. Introduction to Meta-Analysis; John Wiley & Sons: Chichester, UK, 2009; ISBN 978-0-470-05724-7. [Google Scholar]
- Kohl, C.; McIntosh, E.J.; Unger, S.; Haddaway, N.R.; Kecke, S.; Schiemann, J.; Wilhelm, R. Online Tools Supporting the Conduct and Reporting of Systematic Reviews and Systematic Maps: A Case Study on CADIMA and Review of Existing Tools. Environ. Evid. 2018, 7, 8. [Google Scholar] [CrossRef]
- McKeown, S.; Mir, Z.M. Considerations for Conducting Systematic Reviews: Evaluating the Performance of Different Methods for de-Duplicating References. Syst. Rev. 2021, 10, 38. [Google Scholar] [CrossRef]
- Page, M.J.; Moher, D.; Bossuyt, P.M.; Boutron, I.; Hoffmann, T.C.; Mulrow, C.D.; Shamseer, L.; Tetzlaff, J.M.; Akl, E.A.; Brennan, S.E.; et al. PRISMA 2020 Explanation and Elaboration: Updated Guidance and Exemplars for Reporting Systematic Reviews. BMJ 2021, 372, n160. [Google Scholar] [CrossRef] [PubMed]
- Ouzzani, M.; Hammady, H.; Fedorowicz, Z.; Elmagarmid, A. Rayyan—A Web and Mobile App for Systematic Reviews. Syst. Rev. 2016, 5, 210. [Google Scholar] [CrossRef]
- Wambui, J.; Njage, P.M.K.; Tasara, T.; Buys, E.M. Meta-Analysis and Meta-Regression Indicate Dynamic Prevalence and Moderators of Foodborne Pathogens in African Indigenous Fermented Milk. Microorganisms 2019, 7, 563. [Google Scholar] [CrossRef]
- Pereira, M.G.; Galvão, T.F. Heterogeneidade e viés de publicação em revisões sistemáticas. Epidemiol. Serviços Saúde 2014, 23, 775–778. [Google Scholar] [CrossRef]
- Higgins, J.P.T.; Thompson, S.G.; Deeks, J.J.; Altman, D.G. Measuring Inconsistency in Meta-Analyses. BMJ 2003, 327, 557–560. [Google Scholar] [CrossRef]
- Posit Team. RStudio: Integrated Development Environment for R; Posit Software: Boston, MA, USA, 2023. [Google Scholar]
- Schwarzer, G. An R Package for Meta-Analysis. R News 2007, 7, 40–45. Available online: https://journal.r-project.org/articles/RN-2007-029/RN-2007-029.pdf (accessed on 17 September 2024).
- Viechtbauer, W. Conducting Meta-Analyses in R with the Metafor Package. J. Stat. Softw. 2010, 36, 1–48. [Google Scholar] [CrossRef]
- Viechtbauer, W. Metafor: Meta-Analysis Package for R. Available online: https://cran.r-project.org/web/packages/metafor/index.html (accessed on 14 October 2024).
- Bian, X.; Evivie, S.E.; Muhammad, Z.; Luo, G.-W.; Liang, H.-Z.; Wang, N.-N.; Huo, G.-C. In Vitro Assessment of the Antimicrobial Potentials of Lactobacillus Helveticus Strains Isolated from Traditional Cheese in Sinkiang China against Food-Borne Pathogens. Food Funct. 2016, 7, 789–797. [Google Scholar] [CrossRef]
- Costa, H.H.S.; Souza, M.R.; Acúrcio, L.B.; Cunha, A.F.; Resende, M.F.S.; Nunes, Á.C. Probiotic Potential of Lactic Acid Bacteria Isolated from Minas Artisanal Cheese from Serra Da Canastra, MG. Arq. Bras. Med. Vet. Zootec. 2013, 65, 1858–1866. [Google Scholar] [CrossRef]
- Guedes Neto, L.G.; Souza, M.R.; Nunes, A.C.; Nicoli, J.R.; Santos, W.L.M. Atividade antimicrobiana de bactérias ácido-lácticas isoladas de queijos de coalho artesanal e industrial frente a microrganismos indicadores. Arq. Bras. Med. Veterinária Zootec. 2005, 57, 245–250. [Google Scholar] [CrossRef]
- Meira, S.M.M.; Helfer, V.E.; Velho, R.V.; Lopes, F.C.; Brandelli, A. Probiotic Potential of Lactobacillus spp. Isolated from Brazilian Regional Ovine Cheese. J. Dairy Res. 2012, 79, 119–127. [Google Scholar] [CrossRef]
- Ołdak, A.; Zielińska, D.; Rzepkowska, A.; Kołożyn-Krajewska, D. Comparison of Antibacterial Activity of Lactobacillus plantarum Strains Isolated from Two Different Kinds of Regional Cheeses from Poland: Oscypek and Korycinski Cheese. BioMed Res. Int. 2017, 2017, 6820369. [Google Scholar] [CrossRef]
- Radulović, Z.; Petrović, T.; Nedović, V.; Dimitrijević, S.; Mirković, N.; Petrušić, M.; Paunović, D. Characterization of Autochthonous Lactobacillus paracasei Strains on Potential Probiotic Ability. Mljekarstvo 2010, 60, 86–93. [Google Scholar]
- Silva, J.G.; Castro, R.D.; Sant’Anna, F.M.; Barquete, R.M.; Oliveira, L.G.; Acurcio, L.B.; Luiz, L.; Sales, G.A.; Nicoli, J.R.; Souza, M.R. In Vitro Assessment of the Probiotic Potential of Lactobacilli Isolated from Minas Artisanal Cheese Produced in the Araxá Region, Minas Gerais State, Brazil. Arq. Bras. Med. Vet. Zootec. 2019, 71, 647–657. [Google Scholar] [CrossRef]
- Venegas-Ortega, M.G.; Flores-Gallegos, A.C.; Aguilar, C.N.; Rodríguez-Herrera, R.; Martínez-Hernández, J.L.; Nevárez-Moorillón, G.V. Multi-Functional Potential of Presumptive Lactic Acid Bacteria Isolated from Chihuahua Cheese. Foods 2020, 9, 276. [Google Scholar] [CrossRef]
- Câmara, S.P.; Dapkevicius, A.; Riquelme, C.; Elias, R.B.; Silva, C.C.G.; Malcata, F.X.; Dapkevicius, M.L.N.E. Potential of Lactic Acid Bacteria from Pico Cheese for Starter Culture Development. Food Sci. Technol. Int. 2019, 25, 303–317. [Google Scholar] [CrossRef]
- Falfán-Cortés, R.N.; Mora-Peñaflor, N.; Gómez-Aldapa, C.A.; Rangel-Vargas, E.; Acevedo-Sandoval, O.A.; Franco-Fernández, M.J.; Castro-Rosas, J. Characterization and Evaluation of the Probiotic Potential in Vitro and in Situ of Lacticaseibacillus paracasei Isolated from Tenate Cheese. J. Food Prot. 2022, 85, 112–121. [Google Scholar] [CrossRef] [PubMed]
- Kargozari, M.; Emam-Djomeh, Z.; Gandomi, H.; Partovi, R.; Ghasemlou, M.; Martin, I.R. Identification of Selected Lactobacillus Strains Isolated from Siahmazgi Cheese and Study on Their Behavior after Inoculation in Fermented-Sausage Model Medium. LWT 2015, 62, 1177–1183. [Google Scholar] [CrossRef]
- Muhammad, Z.; Ramzan, R.; Abdelazez, A.; Amjad, A.; Afzaal, M.; Zhang, S.; Pan, S. Assessment of the Antimicrobial Potentiality and Functionality of Lactobacillus Plantarum Strains Isolated from the Conventional Inner Mongolian Fermented Cheese Against Foodborne Pathogens. Pathogens 2019, 8, E71. [Google Scholar] [CrossRef] [PubMed]
- Özkan, E.R.; Demirci, T.; Öztürk, H.İ.; Akın, N. Screening Lactobacillus Strains from Artisanal Turkish Goatskin Casing Tulum Cheeses Produced by Nomads via Molecular and in Vitro Probiotic Characteristics. J. Sci. Food Agric. 2021, 101, 2799–2808. [Google Scholar] [CrossRef] [PubMed]
- Saltaji, S.; Rué, O.; Sopena, V.; Sablé, S.; Tambadou, F.; Didelot, S.; Chevrot, R. Lactococcus lactis Diversity Revealed by Targeted Amplicon Sequencing of purR Gene, Metabolic Comparisons and Antimicrobial Properties in an Undefined Mixed Starter Culture Used for Soft-Cheese Manufacture. Foods 2020, 9, E622. [Google Scholar] [CrossRef]
- Sip, A.; Wieckowicz, M.; Olejnik-Schmidt, A.; Grajek, W. Anti-Listeria Activity of Lactic Acid Bacteria Isolated from Golka, a Regional Cheese Produced in Poland. Food Control 2012, 26, 117–124. [Google Scholar] [CrossRef]
- Gupta, M.; Bajaj, B.K. Functional Characterization of Potential Probiotic Lactic Acid Bacteria Isolated from Kalarei and Development of Probiotic Fermented Oat Flour. Probiotics Antimicrob. Proteins 2018, 10, 654–661. [Google Scholar] [CrossRef]
- Madi, N.; Boushaba, R. Identification of Potential Biopreservative Lactic Acid Bacteria Strains Isolated from Algerian Cow’s Milk and Demonstration of Antagonism against S. Aureus in Cheese. Food Sci. Technol. Res. 2017, 23, 679–688. [Google Scholar] [CrossRef]
- Ngamsomchat, A.; Kaewkod, T.; Konkit, M.; Tragoolpua, Y.; Bovonsombut, S.; Chitov, T. Characterisation of Lactobacillus plantarum of Dairy-Product Origin for Probiotic Chèvre Cheese Production. Foods 2022, 11, 934. [Google Scholar] [CrossRef]
- Matevosyan, L.; Bazukyan, I.; Trchounian, A. Antifungal and Antibacterial Effects of Newly Created Lactic Acid Bacteria Associations Depending on Cultivation Media and Duration of Cultivation. BMC Microbiol. 2019, 19, 102. [Google Scholar] [CrossRef]
- Castro, R.C.S.; de Oliveira, A.P.D.; de Souza, E.A.R.; Correia, T.M.A.; de Souza, J.V.; Dias, F.S. Lactic Acid Bacteria as Biological Control of Staphylococcus aureus in Coalho Goat Cheese. Food Technol. Biotechnol. 2018, 56, 431–440. [Google Scholar] [CrossRef] [PubMed]
- PRISMA 2020 Flow Diagram. Available online: https://www.prisma-statement.org/prisma-2020-flow-diagram (accessed on 17 September 2024).
- Nazzaro, F.; Fratianni, F.; De Martino, L.; Coppola, R.; De Feo, V. Effect of Essential Oils on Pathogenic Bacteria. Pharmaceuticals 2013, 6, 1451–1474. [Google Scholar] [CrossRef]
- Stevens, K.A.; Sheldon, B.W.; Klapes, N.A.; Klaenhammer, T.R. Nisin Treatment for Inactivation of Salmonella Species and Other Gram-Negative Bacteria. Appl. Environ. Microbiol. 1991, 57, 3613–3615. [Google Scholar] [CrossRef] [PubMed]
- Nikaido, H. Molecular Basis of Bacterial Outer Membrane Permeability Revisited. Microbiol. Mol. Biol. Rev. 2003, 67, 593–656. [Google Scholar] [CrossRef] [PubMed]
- Breijyeh, Z.; Jubeh, B.; Karaman, R. Resistance of Gram-Negative Bacteria to Current Antibacterial Agents and Approaches to Resolve It. Molecules 2020, 25, 1340. [Google Scholar] [CrossRef]
- Nikaido, H.; Vaara, M.; Nikaido, H.; Vaara, M. Molecular Basis of Bacterial Outer Membrane Permeability. Microbiol. Rev. 1985, 49, 1–32. [Google Scholar] [CrossRef]
- Hwanhlem, N.; Ivanova, T.; Haertlé, T.; Jaffrès, E.; Dousset, X. Inhibition of Food-Spoilage and Foodborne Pathogenic Bacteria by a Nisin Z-Producing Lactococcus Lactis Subsp. Lactis KT2W2L. LWT Food Sci. Technol. 2017, 82, 170–175. [Google Scholar] [CrossRef]
- Pessione, E. Lactic Acid Bacteria Contribution to Gut Microbiota Complexity: Lights and Shadows. Front. Cell. Infect. Microbiol. 2012, 2, 86. [Google Scholar] [CrossRef]
- Balouiri, M.; Sadiki, M.; Ibnsouda, S.K. Methods for in Vitro Evaluating Antimicrobial Activity: A Review. J. Pharm. Anal. 2016, 6, 71–79. [Google Scholar] [CrossRef]
- Rivera, A.; Viñado, B.; Benito, N.; Docobo-Pérez, F.; Fernández-Cuenca, F.; Fernández-Domínguez, J.; Guinea, J.; López-Navas, A.; Moreno, M.Á.; Larrosa, M.N.; et al. Recommendations of the Spanish Antibiogram Committee (COESANT) for in Vitro Susceptibility Testing of Antimicrobial Agents by Disk Diffusion. Enfermedades Infecc. Y Microbiol. Clínica Engl. Ed. 2023, 41, 571–576. [Google Scholar] [CrossRef]
- Schillinger, U.; Lücke, F.K. Antibacterial Activity of Lactobacillus Sake Isolated from Meat. Appl. Environ. Microbiol. 1989, 55, 1901–1906. [Google Scholar] [CrossRef]
- Macaluso, G.; Fiorenza, G.; Gaglio, R.; Mancuso, I.; Scatassa, M.L. In Vitro Evaluation of Bacteriocin-Like Inhibitory Substances Produced by Lactic Acid Bacteria Isolated During Traditional Sicilian Cheese Making. Ital. J. Food Saf. 2016, 5, 5503. [Google Scholar] [CrossRef]
- Corsetti, A.; Settanni, L.; Van Sinderen, D. Characterization of Bacteriocin-like Inhibitory Substances (BLIS) from Sourdough Lactic Acid Bacteria and Evaluation of Their in Vitro and in Situ Activity. J. Appl. Microbiol. 2004, 96, 521–534. [Google Scholar] [CrossRef] [PubMed]
- Parente, E.; Brienza, C.; Moles, M.; Ricciardi, A. A Comparison of Methods for the Measurement of Bacteriocin Activity. J. Microbiol. Methods 1995, 22, 95–108. [Google Scholar] [CrossRef]
- Kub, T.N.T.; Manaf, N.A.A.; Ibrahim, A.S.C. Comparison of Well Diffusion, Disc Diffusion and Broth Dilution Methods for Antimicrobial Activity of Andrographis Paniculata Herbal Gel against Acne-Associated Pathogen. Malays. J. Microbiol. 2021, 90–96. [Google Scholar] [CrossRef]
- Piddock, L.J.V. Techniques Used for the Determination of Antimicrobial Resistance and Sensitivity in Bacteria. J. Appl. Bacteriol. 1990, 68, 307–318. [Google Scholar] [CrossRef] [PubMed]
- Franz, C.M.A.P.; van Belkum, M.J.; Holzapfel, W.H.; Abriouel, H.; Gálvez, A. Diversity of Enterococcal Bacteriocins and Their Grouping in a New Classification Scheme. FEMS Microbiol. Rev. 2007, 31, 293–310. [Google Scholar] [CrossRef]
- De Vuyst, L.; Vandamme, E.J. Antimicrobial Potential of Lactic Acid Bacteria. In Bacteriocins of Lactic Acid Bacteria: Microbiology, Genetics and Applications; De Vuyst, L., Vandamme, E.J., Eds.; Springer: Boston, MA, USA, 1994; pp. 91–142. ISBN 978-1-4615-2668-1. [Google Scholar]
- Giraffa, G. Enterococcal Bacteriocins: Their Potential as Anti-Listeria Factors in Dairy Technology. Food Microbiol. 1995, 12, 291–299. [Google Scholar] [CrossRef]
- Javed, A.; Masud, T.; Ul Ain, Q.; Imran, M.; Maqsood, S. Enterocins of Enterococcus Faecium, Emerging Natural Food Preservatives. Ann. Microbiol. 2011, 61, 699–708. [Google Scholar] [CrossRef]
- Franz, C.M.A.P.; Huch, M.; Abriouel, H.; Holzapfel, W.; Gálvez, A. Enterococci as Probiotics and Their Implications in Food Safety. Int. J. Food Microbiol. 2011, 151, 125–140. [Google Scholar] [CrossRef]
- Ben Braïek, O.; Smaoui, S. Enterococci: Between Emerging Pathogens and Potential Probiotics. BioMed Res. Int. 2019, 2019, 5938210. [Google Scholar] [CrossRef]
- Giraffa, G. Enterococci from Foods. FEMS Microbiol. Rev. 2002, 26, 163–171. [Google Scholar] [CrossRef]
- Hanchi, H.; Mottawea, W.; Sebei, K.; Hammami, R. The Genus Enterococcus: Between Probiotic Potential and Safety Concerns—An Update. Front. Microbiol. 2018, 9, 1791. [Google Scholar] [CrossRef] [PubMed]
- Foulquié Moreno, M.R.; Sarantinopoulos, P.; Tsakalidou, E.; De Vuyst, L. The Role and Application of Enterococci in Food and Health. Int. J. Food Microbiol. 2006, 106, 1–24. [Google Scholar] [CrossRef] [PubMed]
- Dapkevicius, M.L.E.; Sgardioli, B.; Câmara, S.P.A.; Poeta, P.; Malcata, F.X. Current Trends of Enterococci in Dairy Products: A Comprehensive Review of Their Multiple Roles. Foods 2021, 10, 821. [Google Scholar] [CrossRef]
- Foulquié Moreno, M.R.; Callewaert, R.; Devreese, B.; Van Beeumen, J.; De Vuyst, L. Isolation and Biochemical Characterisation of Enterocins Produced by Enterococci from Different Sources. J. Appl. Microbiol. 2003, 94, 214–229. [Google Scholar] [CrossRef]
- Oliveira, R.B.P.; de L. Oliveira, A.; Glória, M.B.A. Screening of Lactic Acid Bacteria from Vacuum Packaged Beef for Antimicrobial Activity. Braz. J. Microbiol. 2008, 39, 368–374. [Google Scholar] [CrossRef]
- Alvarez, Y.; Sainz, T.; Wacher, C.; Fernández, F.; Ponce-Alquicira, E. Enterocins: Bacteriocins with Applications in the Food Industry. In Science Against Microbial Pathogens: Communicating Current Research and Technological Advances; Formatex Research Center: Norristown, PA, USA, 2011; pp. 1331–1341. ISBN 978-84-939843-2-8. [Google Scholar]
- dos Santos, K.M.O.; Vieira, A.D.S.; Salles, H.O.; da S. Oliveira, J.; Rocha, C.R.C.; de F. Borges, M.; Bruno, L.M.; de M. Franco, B.D.G.; Todorov, S.D. Safety, Beneficial and Technological Properties of Enterococcus Faecium Isolated from Brazilian Cheeses. Braz. J. Microbiol. 2015, 46, 237–249. [Google Scholar] [CrossRef] [PubMed]
- Egervärn, M.; Lindmark, H.; Roos, S.; Huys, G.; Lindgren, S. Effects of Inoculum Size and Incubation Time on Broth Microdilution Susceptibility Testing of Lactic Acid Bacteria. Antimicrob. Agents Chemother. 2007, 51, 394–396. [Google Scholar] [CrossRef]
- Ostrosky, E.; Mizumoto, M.; Lima, M.; Kaneko, T.; Nishikawa, S.; Freitas, B. Métodos Para Avaliação Da Atividade Antimicrobiana e Determinação Da Concentração Mínima Inibitória (CMI) de Plantas Medicinais. Rev. Bras. Farmacogn. Braz. J. Pharmacogn. 2008, 18, 301–307. [Google Scholar] [CrossRef]
- Papageorgiou, D.K.; Marth, E.H. Fate of Listeria Monocytogenes During the Manufacture and Ripening of Blue Cheese. J. Food Prot. 1989, 52, 459–465. [Google Scholar] [CrossRef] [PubMed]
- Lund, P.A.; De Biase, D.; Liran, O.; Scheler, O.; Mira, N.P.; Cetecioglu, Z.; Fernández, E.N.; Bover-Cid, S.; Hall, R.; Sauer, M.; et al. Understanding How Microorganisms Respond to Acid pH Is Central to Their Control and Successful Exploitation. Front. Microbiol. 2020, 11, 556140. [Google Scholar] [CrossRef] [PubMed]
- Cabo, M.L.; Braber, A.F.; Koenraad, P.M.F.J. Apparent Antifungal Activity of Several Lactic Acid Bacteria against Penicillium Discolor Is Due to Acetic Acid in the Medium. J. Food Prot. 2002, 65, 1309–1316. [Google Scholar] [CrossRef] [PubMed]
- Cochrane Handbook for Systematic Reviews of Interventions. Available online: https://training.cochrane.org/handbook/current (accessed on 23 May 2024).










| Pathogen 1 | Lactic Acid Bacteria Genus | Assay | Pooled Inhibition Diameter 2,3 (SE) [mm] | n | N | |
|---|---|---|---|---|---|---|
| L. monocytogenes A | Enterococcus | Overall | 20.13 A (2.21) | 40 | ||
| Spot | 13.07 d (1.41) | 12 | ||||
| Well | 20.12 b (1.24) | 28 | ||||
| Lacticaseibacillus | Overall | 21.49 A (2.65) | 34 | |||
| Spot | 14.05 d (1.42) | 11 | ||||
| Well | 24.07 b (1.32) | 23 | ||||
| Lactobacillus | Overall | 20.36 A (2.65) | 45 | |||
| Spot | 21.98 b (1.31) | 23 | 15 | |||
| Well | 30.73 a (2.53) | 10 | ||||
| Disk | 13.39 d (1.40) | 12 | ||||
| Lactococcus | Overall | 16.17 B (2.66) | 43 | |||
| Well | 16.12 c (1.32) | 42 | ||||
| Leuconostoc | Overall | 17.51 B (2.68) | - | 3 | ||
| S. aureus B | Enterococcus | Overall | 19.85 A (2.07) | 35 | ||
| Well | 16.20 c (2.17) | 29 | ||||
| Disk | 16.15 c (2.79) | 6 | ||||
| Lacticaseibacillus | Overall | 21.06 A (2.06) | 41 | |||
| Spot | 17.26 c (2.79) | 11 | ||||
| Well | 23.40 b (2.11) | 24 | ||||
| Disk | 27.28 a (2.73) | 6 | ||||
| Lactobacillus | Overall | 20.02 A (2.05) | 56 | 17 | ||
| Spot | 15.40 c (1.79) | 22 | ||||
| Well | 22.96 b (1.10) | 22 | ||||
| Disk | 26.17 a b (2.73) | 12 | ||||
| Lactococcus | Overall | 15.98 B(2.09) | 34 | |||
| Spot | 18.89 b (1.36) | 34 | ||||
| Leuconostoc | Overall | 17.97 B (2.08) | 5 | |||
| Spot | 19.67 b (2.12) | 4 | ||||
| Salmonella C | Lacticaseibacillus | Overall | 19.06 A (2.47) | 22 | ||
| Spot | 14.91 b (2.31) | 3 | ||||
| Well | 19.31 a (1.10) | 19 | ||||
| Lactobacillus | Overall | 19.93 A (2.46) | 27 | |||
| Spot | 13.29 b (2.32) | 15 | 8 | |||
| Well | 22.37 a (1.07) | 8 | ||||
| Disk | 20.30 a (2.32) | 4 | ||||
| Lactococcus | Overall | 11.98 B (2.57) | 12 | |||
| Spot | 14.33 b (1.11) | 12 | ||||
| Parameter | Estimate | Standard Error | p-Value | n | Heterogeneity Analysis 1 |
|---|---|---|---|---|---|
| Intercept | 11.26 | 1.69 | <0.001 | ||
| LAB genus | s2 = 43.7 | ||||
| Lacticaseibacillus | −6.19 | 0.55 | <0.001 | 34 | τ2 = 90.3 |
| Lactobacillus | −3.41 | 0.31 | <0.001 | 45 | I2 = 67.4% |
| Lactococcus | −5.12 | 0.61 | <0.001 | 43 | τ2res = 0.00 |
| Leuconostoc | −5.91 | 0.70 | <0.001 | 3 | R2 = 99.9% |
| Enterococcus | - | - | - | 40 | |
| Method | |||||
| Well | −34.89 | 2.03 | <0.001 | Publication bias | |
| Disk | −60.15 | 5.13 | <0.001 | p = 0.509 | |
| Inoculation volume | 0.316 | 0.02 | <0.001 | ||
| Incubation time | 0.237 | 0.06 | <0.001 |
| Parameter | Estimate | Standard Error | p-Value | n | Heterogeneity Analysis 1 |
|---|---|---|---|---|---|
| Intercept | 91.63 | 2.52 | <0.001 | ||
| LAB genus | s2 = 60.59 | ||||
| Lacticaseibacillus | −70.06 | 2.04 | <0.001 | 41 | τ2 = 60.05 |
| Lactobacillus | −71.82 | 1.93 | <0.001 | 56 | I2 = 49.8% |
| Lactococcus | −72.04 | 1.58 | <0.001 | 34 | τ2res = 0.00 |
| Leuconostoc | −74.59 | 2.14 | <0.001 | 5 | R2 = 99.9% |
| Enterococcus | - | - | 35 | ||
| Pathogen concentration | −16.13 | 0.33 | <0.001 | Publication bias | |
| Incubation time | 2.24 | 0.07 | <0.001 | p = 0.001 | |
| Inoculation volume | |||||
| Agar spot | 10.7 | 0.36 | <0.001 | ||
| Well diffusion | 0.675 | 0.02 | <0.001 |
| Parameter | Estimate | Standard Error | p-Value | n | Heterogeneity Analysis 1 |
|---|---|---|---|---|---|
| Intercept | 17.88 | 2.98 | <0.001 | s2 = 39.2 | |
| LAB genus | τ2 = 52.3 | ||||
| Lactobacillus | 1.588 | 1.40 | 0.255 | 27 | I2 = 57.2% |
| Lactococcus | −7.37 | 1.68 | 0.006 | 12 | τ2res = 23.3 |
| Lacticaseibacillus | - | - | - | 22 | s2 = 39.2 |
| Susceptibility method | |||||
| Disk | −14.96 | 6.98 | 0.032 | R2 = 55.4% | |
| Well | 0.845 | 4.48 | 0.850 | ||
| Agar | Publication bias | ||||
| Milk | 10.94 | 8.75 | 0.211 | p < 0.001 | |
| MRS | 9.94 | 8.75 | 0.256 | ||
| Nutrient | 11.91 | 5.48 | 0.029 |
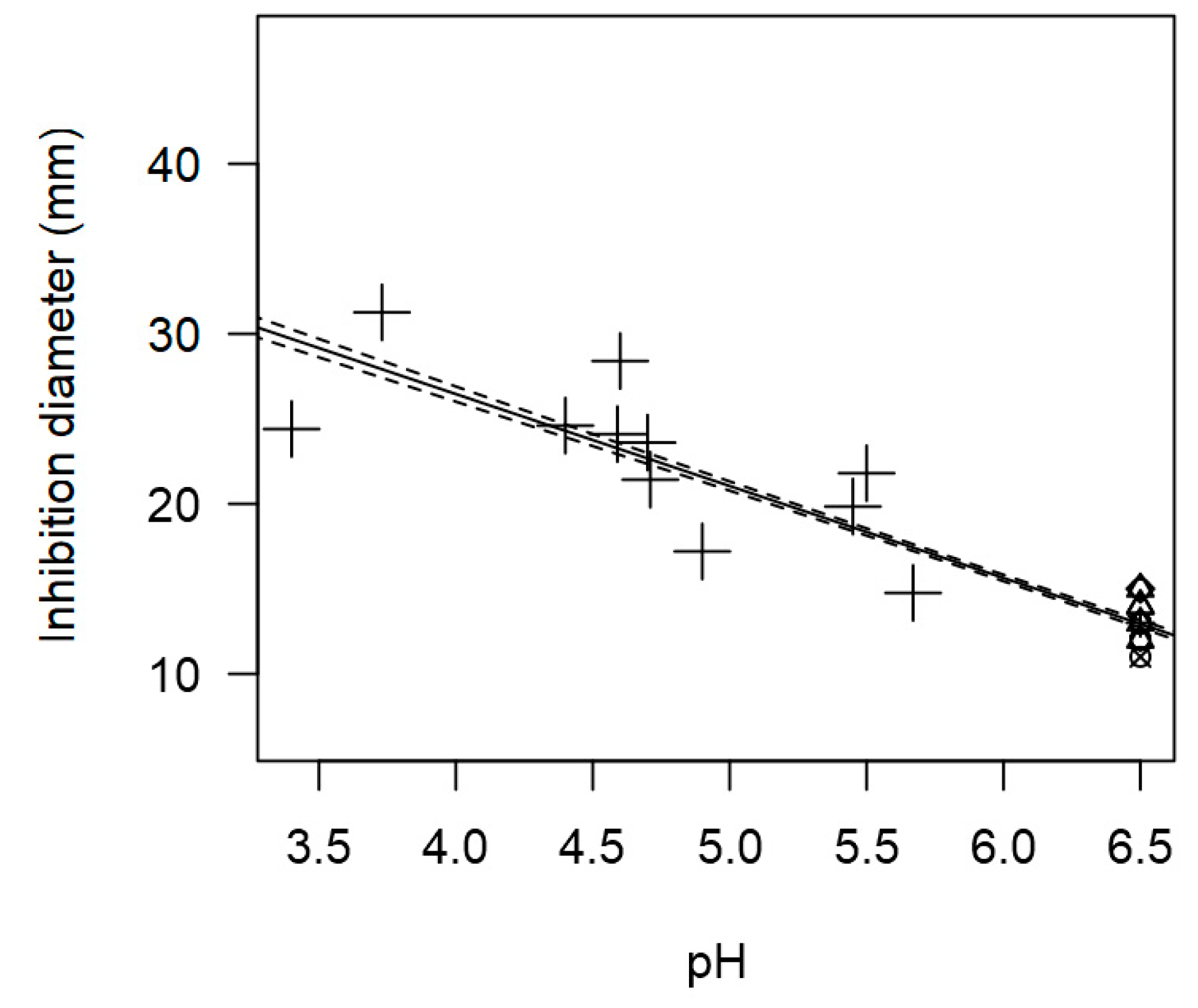
| Parameter | Estimate | Standard Error | p-Value | n | Heterogeneity Analysis 1 |
|---|---|---|---|---|---|
| Intercept | 72.59 | 1.76 | <0.001 | ||
| Pathogen | s2 = 89.22 | ||||
| Salmonella | −3.43 | 0.17 | <0.001 | 79 | τ2 = 74.93 |
| S. aureus | −0.889 | 0.13 | <0.001 | 178 | I2 = 40.2% |
| L. monocytogenes | - | - | 165 | τ2res = 14.00 | |
| LAB genus | R2 = 81.3% | ||||
| Lacticaseibacillus | −1.84 | 0.33 | <0.001 | 105 | |
| Lactobacillus | −1.96 | 0.26 | <0.001 | 139 | |
| Lactococcus | −3.59 | 0.43 | <0.001 | 89 | Publication bias |
| Leuconostoc | −4.97 | 0.40 | <0.001 | 8 | p = 0.001 |
| Enterococcus | - | - | - | 77 | |
| Method | |||||
| Well diffusion | 16.00 | 0.44 | <0.001 | ||
| Disk diffusion | 22.04 | 0.56 | <0.001 | ||
| Pathogen concentration | −15.94 | 0.28 | <0.001 | ||
| Incubation time | 2.23 | 0.04 | <0.001 | ||
| Inoculation volume | |||||
| Agar spot | 0.569 | 0.02 | <0.001 | ||
| Disk diffusion | 0.344 | 0.01 | <0.001 |
Disclaimer/Publisher’s Note: The statements, opinions and data contained in all publications are solely those of the individual author(s) and contributor(s) and not of MDPI and/or the editor(s). MDPI and/or the editor(s) disclaim responsibility for any injury to people or property resulting from any ideas, methods, instructions or products referred to in the content. |
© 2025 by the authors. Licensee MDPI, Basel, Switzerland. This article is an open access article distributed under the terms and conditions of the Creative Commons Attribution (CC BY) license (https://creativecommons.org/licenses/by/4.0/).
Share and Cite
Loforte, Y.; Fernandes, N.; de Almeida, A.M.; Cadavez, V.; Gonzales-Barron, U. A Meta-Analysis on the In Vitro Antagonistic Effects of Lactic Acid Bacteria from Dairy Products on Foodborne Pathogens. Foods 2025, 14, 907. https://doi.org/10.3390/foods14060907
Loforte Y, Fernandes N, de Almeida AM, Cadavez V, Gonzales-Barron U. A Meta-Analysis on the In Vitro Antagonistic Effects of Lactic Acid Bacteria from Dairy Products on Foodborne Pathogens. Foods. 2025; 14(6):907. https://doi.org/10.3390/foods14060907
Chicago/Turabian StyleLoforte, Yara, Nathália Fernandes, André Martinho de Almeida, Vasco Cadavez, and Ursula Gonzales-Barron. 2025. "A Meta-Analysis on the In Vitro Antagonistic Effects of Lactic Acid Bacteria from Dairy Products on Foodborne Pathogens" Foods 14, no. 6: 907. https://doi.org/10.3390/foods14060907
APA StyleLoforte, Y., Fernandes, N., de Almeida, A. M., Cadavez, V., & Gonzales-Barron, U. (2025). A Meta-Analysis on the In Vitro Antagonistic Effects of Lactic Acid Bacteria from Dairy Products on Foodborne Pathogens. Foods, 14(6), 907. https://doi.org/10.3390/foods14060907

