Influence of Interactions Between Drawing Soy Protein and Myofibrillar Proteins on Gel Properties
Abstract
1. Introduction
2. Materials and Methods
2.1. Materials
2.2. Extraction of MP
2.3. Determination of Gel Properties
2.3.1. Preparation of Myofibrillar Protein Gels
2.3.2. Gel Water-Holding Capacity (WHC)
2.3.3. Gel Strength
2.3.4. Texture Profile Analysis (TPA)
2.3.5. Scanning Electron Microscopy (SEM) Examination
2.4. Total Sulfhydryl Content
2.5. Surface Hydrophobicity
2.6. Rheological Properties
2.7. Intermolecular Interaction Forces
2.8. Raman Spectroscopy Scanning
2.9. Data Analysis
3. Results and Discussion
3.1. Analysis of Gel Water Retention
3.2. Gel Strength
3.3. TPA
3.4. Total Sulfhydryl Content
3.5. Surface Hydrophobicity
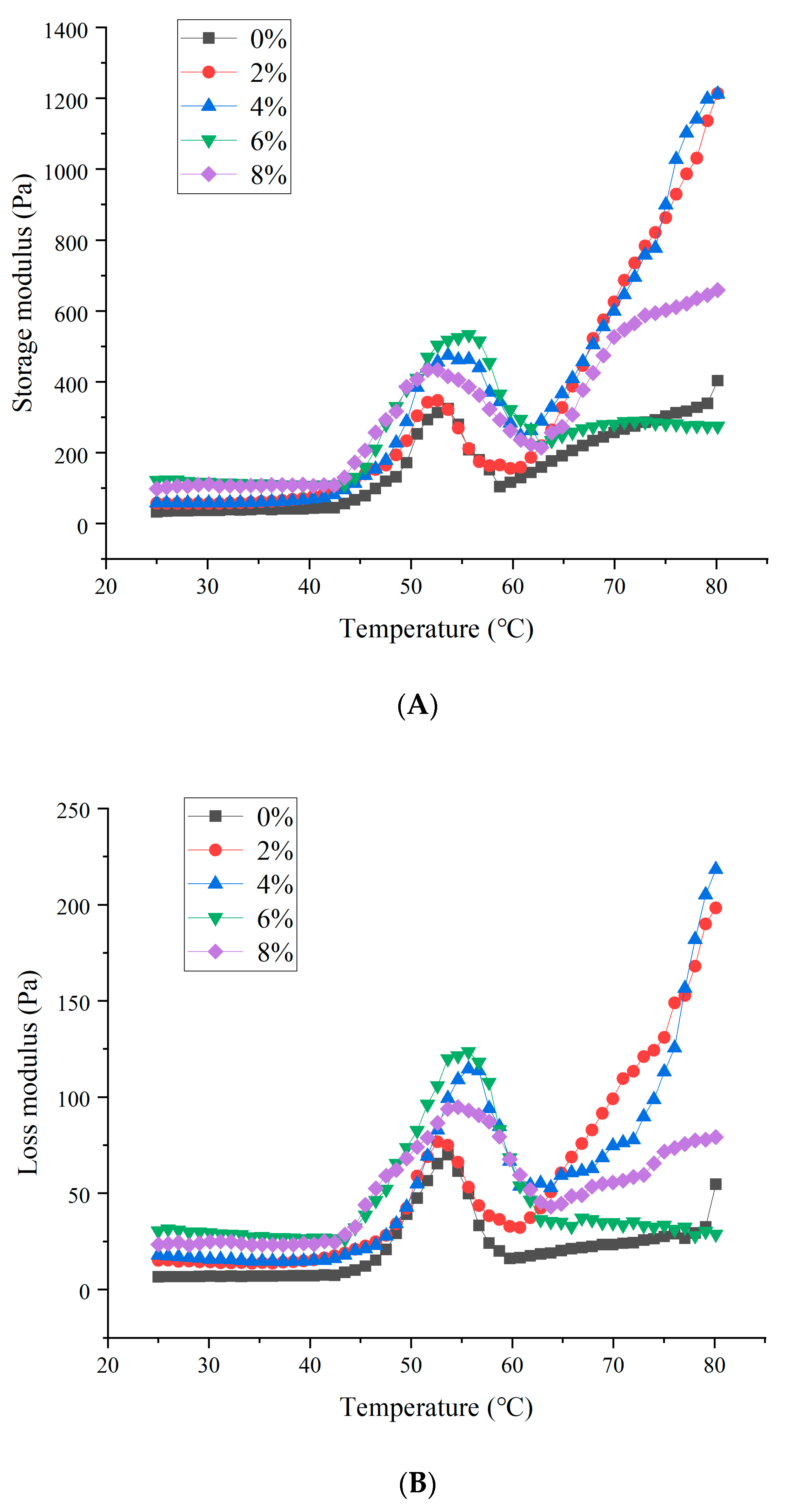
3.6. Rheological Properties
3.7. Intermolecular Forces
3.8. Secondary Structure
3.9. SEM
4. Conclusions
Author Contributions
Funding
Institutional Review Board Statement
Informed Consent Statement
Data Availability Statement
Acknowledgments
Conflicts of Interest
References
- Li, K.; Fu, L.; Zhao, Y.Y.; Xue, S.W.; Wang, P.; Xu, X.L.; Bai, Y.H. Use of high-intensity ultrasound to improve emulsifying properties of chicken myofibrillar protein and enhance the rheological properties and stability of the emulsion. Food Hydrocoll. 2020, 98, 105275. [Google Scholar] [CrossRef]
- Lee, J.; Park, H.W.; Jenkins, R.; Yoon, W.B.; Park, J.W. Image and chemical analyses of freezing-induced aggregates of fish natural actomyosin as affected by various phosphate compounds. Food Biosci. 2017, 19, 57–64. [Google Scholar] [CrossRef]
- Yi, S.M.; Ji, Y.; Guo, Z.H.; Zhu, J.; Xu, Y.X.; Li, X.P.; Li, J.R. Gel properties and flavor characteristics of blended anchovy (Engraulis japonicus) mince and silver carp (Hypophthalmichthys molitrix) surimi. RSC Adv. 2020, 10, 6563–6570. [Google Scholar] [CrossRef] [PubMed]
- Kumar, P.; Chatli, M.K.; Mehta, N.; Singh, P.; Malav, O.P.; Verma, A.K. Meat analogues: Ealth promising sustainable meat substitutes. Crit. Rev. Food Sci. Nutr. 2017, 57, 923–932. [Google Scholar] [CrossRef]
- Han, G.; Li, Y. A Review of inhibition mechanisms of surimi protein hydrolysis by different exogenous additives and their application in improving surimi gel quality. Food Chem. 2024, 456, 40002. [Google Scholar] [CrossRef]
- Borderías, A.J.; Tovar, C.A.; Domínguez-Timón, F.; Diaz, M.T.; Pedrosa, M.M.; Moreno, H.M. Characterization of healthier mixed surimi gels obtained through partial substitution of myofibrillar proteins by pea protein isolates. Food Hydrocoll. 2020, 107, 105976. [Google Scholar] [CrossRef]
- Li, Y.P.; Sukmanov, V.; Kang, Z.; Ma, H.J. Effect of soy protein isolate on the techno-functional properties and protein conformation of low-sodium pork meat batters treated by high pressure. J. Food Process Eng. 2021, 43, 13343. [Google Scholar] [CrossRef]
- Lin, D.Q.; Zhang, L.T.; Li, R.J.; Zeng, B.D.; Rea, M.C.; Miao, S. Effect of plant protein mixtures on the microstructure and rheological properties of myofibrillar protein gel derived from red sea bream (Pagrosomus major). Food Hydrocoll. 2019, 96, 537–545. [Google Scholar] [CrossRef]
- Fei, A.; Hao, X.; Jiang, J.; Gao, Y. Research on the parameters of producing filamentous textured soybean protein with soybean protein isolated and soybean protein concentrate. MATEC Web Conf. 2018, 238, 04006. [Google Scholar] [CrossRef]
- Karim, M.A.A. Nonmeat Protein Alternatives as Meat Extenders and Meat Analogs. Compr. Rev. Food Sci. Food Saf. 2010, 9, 51–53. [Google Scholar] [CrossRef]
- Wang, Z.J.; Liang, J.; Jiang, L.Z.; Li, Y.; Wang, J.; Zhang, H.; Li, D.; Han, F.F.; Li, Q.H.; Wang, R.; et al. Effect of the interaction between myofibrillar protein and heat-induced soy protein isolates on gel properties. CyTA-J. Food 2015, 13, 527–534. [Google Scholar] [CrossRef]
- Jiang, X.J.; Zhang, Z.J.; Cai, H.N.; Hara, K.; Su, W.J.; Cao, M.J. The effect of soybean trypsin inhibitor on the degradation of myofibrillar proteins by an endogenous serine proteinase of crucian carp. Food Chem. 2006, 94, 498–503. [Google Scholar] [CrossRef]
- Xia, X.F.; Kong, B.H.; Xiong, Y.L.; Ren, Y.M. Decreased gelling and emulsifying properties of myofibrillar protein from repeatedly frozen-thawed porcine longissimus muscle are due to protein denaturation and susceptibility to aggregation. Meat Sci. 2019, 85, 481–486. [Google Scholar] [CrossRef]
- Fowler, M.R.; Park, J.W. Effect of salmon plasma protein on Pacific whiting surimi gelation under various ohmic heating conditions. LWT—Food Sci. Technol. 2015, 61, 309–315. [Google Scholar] [CrossRef]
- Zhang, C.; Li, X.A.; Wang, H.; Xia, X.F.; Kong, B.H. Ultrasound-assisted immersion freezing reduces the structure and gel property deterioration of myofibrillar protein from chicken breast. Ultrason. Sonochem. 2020, 67, 105137. [Google Scholar] [CrossRef] [PubMed]
- Ilham, C.; Philippe, G.; Véronique, S. A simplified procedure for myofibril hydrophobicity determination. Meat Sci. 2006, 74, 681–683. [Google Scholar] [CrossRef]
- Cao, L.; Su, S.; Regenstein, J.M.; Xiong, S.; Liu, R. Ca2+-Induced Conformational Changes of Myosin from Silver Carp (Hypophthalmichthys molitrix) in Gelation. Food Biophys. 2015, 10, 447–455. [Google Scholar] [CrossRef]
- Berhe, D.T.; Engelsen, S.B.; Hviid, M.S.; Lametsch, R. Raman spectroscopic study of effect of the cooking temperature and time on meat proteins. Food Res. Int. 2014, 66, 123–131. [Google Scholar] [CrossRef]
- Zhu, D.Y.; Kang, Z.L.; Ma, H.J.; Xu, X.L.; Zhou, G.H. Effect of sodium chloride or sodium bicarbonate in the chicken batters: A physico-chemical and Raman spectroscopy study. Food Hydrocoll. 2018, 83, 222–228. [Google Scholar] [CrossRef]
- Zhou, L.; Zhang, J.; Xing, L.J.; Zhang, W.G. Applications and effects of ultrasound assisted emulsification in the production of food emulsions: A review. Trends Food Sci. Technol. 2021, 110, 493–512. [Google Scholar] [CrossRef]
- Wang, Y.; Zhang, W.G.; Zhou, G.H. Effects of ultrasound-assisted frying on the physiochemical properties and microstructure of fried meatballs. Int. J. Food Sci. Technol. 2019, 54, 2915–2926. [Google Scholar] [CrossRef]
- Zheng, J.B.; Han, Y.R.; Ge, G.; Zhao, M.M.; Sun, W.Z. Partial substitution of NaCl with chloride salt mixtures: Impact on oxidative characteristics of meat myofibrillar protein and their rheological properties. Food Hydrocoll. 2019, 96, 36–42. [Google Scholar] [CrossRef]
- Wu, C.; Wang, J.; Yan, X.; Ma, W.; Wu, D.; Du, M. Effect of partial replacement of water-soluble cod proteins by soy proteins on the heat-induced aggregation and gelation properties of mixed protein systems. Food Hydrocoll. 2020, 100, 105417. [Google Scholar] [CrossRef]
- Mi, J.; Zhao, X.Z.; Huang, P.; Hong, J.X.; Jia, R.; Deng, S.G.; Yu, X.X.; Wei, H.M.; Yang, W.G. Effect of hydroxypropyl distarch phosphate on the physicochemical characteristics and structure of shrimp myofibrillar protein. Food Hydrocoll. 2022, 125, 107417. [Google Scholar] [CrossRef]
- Riebroy, S.; Benjakul, S.; Visessanguan, W.; Erikson, U.; Rustad, T. Acid-induced gelation of natural actomyosin from Atlantic cod (Gadus morhua) and burbot (Lota lota). Food Hydrocoll. 2009, 23, 26–39. [Google Scholar] [CrossRef]
- Omana, D.A.; Plastow, G.; Betti, M. The use of beta-glucan as a partial salt replacer in high pressure processed chicken breast meat. Food Chem. 2011, 129, 768–776. [Google Scholar] [CrossRef] [PubMed]
- Hu, Y.; Wang, Q.; Sun, F.D.; Chen, Q.; Xia, X.F.; Liu, Q.; Kong, B.H. Role of partial replacement of NaCl by KCl combined 464 with other components on structure and gel properties of porcine myofibrillar protein. Meat Sci. 2022, 190, 108832. [Google Scholar] [CrossRef]
- Du, X.; Zhao, M.N.; Pan, N.; Wang, S.P.; Xia, X.F.; Zhang, D.J. Tracking aggregation behaviour and gel properties induced by structural alterations in myofibrillar protein in mirror carp (Cyprinus carpio) under the synergistic effects of pH and heating. Food Chem. 2021, 362, 130222. [Google Scholar] [CrossRef]
- Jiang, L.Z.; Wang, Z.J.; Li, Y.; Meng, X.H.; Sui, X.N.; Qi, B.K.; Zhou, L.Y. Relationship between surface hydrophobicity and structure of soy protein isolate subjected to different ionic strength. Int. J. Food Prop. 2015, 18, 1059–1074. [Google Scholar] [CrossRef]
- Wei, L.; Li, Y.; Wang, C.; Kang, Z.; Ma, H. Thermal gel properties and protein conformation of pork batters as affected by high pressure and temperature. Int. J. Food Prop. 2019, 22, 1492–1500. [Google Scholar] [CrossRef]
- Sun, J.; Wu, Z.; Xu, X.; Li, P. Effect of peanut protein isolate on functional properties of chicken salt-soluble proteins from breast and thigh muscles during heat-induced gelation. Meat Sci. 2012, 91, 88–92. [Google Scholar] [CrossRef] [PubMed]
- Hussain, M.; Bakalis, S.; Gouseti, O.; Zahoor, T.; Anjum, F.M.; Shahid, M. Dynamic and shear stress rheological properties of guar galactomannans and its hydrolyzed derivatives. Int. J. Biol. Macromol. 2015, 72, 687–691. [Google Scholar] [CrossRef]
- Zhou, X.X.; Chen, T.; Lin, H.H.; Chen, H.; Liu, J.H.; Lyu, F.; Ding, Y.T. Physicochemical properties and microstructure of surimi treated with egg white modified by tea polyphenols. Food Hydrocoll. 2019, 90, 82–89. [Google Scholar] [CrossRef]
- Chen, J.X.; Deng, T.Y.; Wang, C.; Mi, H.B.; Yi, S.M.; Li, X.P.; Li, J.R. Effect of hydrocolloids on gel properties and protein secondary structure of silver carp surimi. J. Sci. Food Agric. 2020, 100, 2252–2260. [Google Scholar] [CrossRef] [PubMed]
- Yuan, L.; Yu, J.M.; Mu, J.L.; Shi, T.; Sun, Q.C.; Jin, W.G.; Gao, R.C. Effects of deacetylation of konjac glucomannan on the physico-chemical properties of surimi gels from silver carp (Hypophthalmichthys molitrix). RSC Adv. 2019, 9, 19828–19836. [Google Scholar] [CrossRef]
- Zhang, M.; Li, F.; Diao, X.; Kong, B.; Xia, X. Moisture migration, microstructure damage and protein structure changes in porcine longissimus muscle as influenced by multiple freeze-thaw cycles. Meat Sci. 2017, 133, 10–18. [Google Scholar] [CrossRef]
- Li, T.F.; Zhao, J.X.; Huang, J.; Zhang, W.H.; Huang, J.L.; Fan, D.M.; Zhang, H. Improvement of the quality of surimi products with overdrying potato starches. J. Food Qual. 2017, 2017, 1417856. [Google Scholar] [CrossRef]
- Zhang, Z.; Xiong, Z.; Lu, S.; Walayat, N.; Hu, C.; Xiong, H. Effects of oxidative modification on the functional, conformational and gelling properties of myofibrillar proteins from Culter alburnus. Int. J. Biol. Macromol. 2020, 162, 1442–1452. [Google Scholar] [CrossRef] [PubMed]
- Gao, W.; Hou, R.; Zeng, X. Synergistic effects of ultrasound and soluble soybean polysaccharide on frozen surimi from grass carp. J. Food Eng. 2019, 240, 1–8. [Google Scholar] [CrossRef]
- Shi, Z.; Zhong, S.; Yan, W.; Liu, M.; Yang, Z.; Qiao, X. The effects of ultrasonic treatment on the freezing rate, physicochemical quality, and microstructure of the back muscle of grass carp (Ctenopharyngodon idella). LWT—Food Sci. Technol. 2019, 111, 301–308. [Google Scholar] [CrossRef]
- Zhao, Y.Y.; Wang, P.; Zou, Y.F.; Li, K.; Kang, Z.L.; Xu, X.L.; Zhou, G.H. Effect of pre-emulsification of plant lipid treated by pulsed ultrasound on the functional properties of chicken breast myofibrillar protein composite gel. Food Res. Int. 2014, 58, 98–104. [Google Scholar] [CrossRef]









| Index | The Addition Amount of DSP (%) | p v. | ||||
|---|---|---|---|---|---|---|
| 0 | 2 | 4 | 6 | 8 | ||
| Hardness (g) | 53.62 ± 5.83 d | 57.32 ± 4.93 c | 65.86 ± 5.19 b | 71.48 ± 4.25 a | 68.66 ± 6.15 ab | <0.01 |
| Springiness (g.s) | 0.51 ± 0.07 | 0.60 ± 0.13 | 0.72 ± 0.11 | 0.74 ± 0.08 | 0.65 ± 0.09 | 0.137 |
| Gumminess | 5.65 ± 0.79 d | 8.09 ± 2.27 c | 11.43 ± 2.89 ab | 12.3 ± 1.16 a | 9.76 ± 1.20 bc | <0.01 |
| Cohesiveness | 0.47 ± 0.04 | 0.53 ± 0.13 | 0.52 ± 0.06 | 0.55 ± 0.06 | 0.45 ± 0.11 | 0.714 |
| Chewiness | 5.32 ± 1.50 c | 5.53 ± 1.73 c | 8.21 ± 1.08 ab | 9.13 ± 2.11 a | 6.32 ± 0.89 bc | <0.05 |
| Resilience | 0.064 ± 0.013 b | 0.079 ± 0.027 ab | 0.082 ± 0.021 ab | 0.093 ± 0.036 a | 0.096 ± 0.028 a | <0.05 |
Disclaimer/Publisher’s Note: The statements, opinions and data contained in all publications are solely those of the individual author(s) and contributor(s) and not of MDPI and/or the editor(s). MDPI and/or the editor(s) disclaim responsibility for any injury to people or property resulting from any ideas, methods, instructions or products referred to in the content. |
© 2025 by the authors. Licensee MDPI, Basel, Switzerland. This article is an open access article distributed under the terms and conditions of the Creative Commons Attribution (CC BY) license (https://creativecommons.org/licenses/by/4.0/).
Share and Cite
Jiang, T.; Zhao, Y.; Huang, M.; Zhang, Z.; Mao, Y.; Zuo, H. Influence of Interactions Between Drawing Soy Protein and Myofibrillar Proteins on Gel Properties. Foods 2025, 14, 1064. https://doi.org/10.3390/foods14061064
Jiang T, Zhao Y, Huang M, Zhang Z, Mao Y, Zuo H. Influence of Interactions Between Drawing Soy Protein and Myofibrillar Proteins on Gel Properties. Foods. 2025; 14(6):1064. https://doi.org/10.3390/foods14061064
Chicago/Turabian StyleJiang, Tong, Yujie Zhao, Mingming Huang, Zhiyong Zhang, Yanwei Mao, and Huixin Zuo. 2025. "Influence of Interactions Between Drawing Soy Protein and Myofibrillar Proteins on Gel Properties" Foods 14, no. 6: 1064. https://doi.org/10.3390/foods14061064
APA StyleJiang, T., Zhao, Y., Huang, M., Zhang, Z., Mao, Y., & Zuo, H. (2025). Influence of Interactions Between Drawing Soy Protein and Myofibrillar Proteins on Gel Properties. Foods, 14(6), 1064. https://doi.org/10.3390/foods14061064
