Effects of Liupao Tea with Different Years of Aging on Glycolipid Metabolism, Body Composition, and Gut Microbiota in Adults with Obesity or Overweight: A Randomized, Double-Blind Study
Abstract
1. Introduction
2. Materials and Methods
2.1. Study Design
2.2. Participant Recruitment and Eligibility Criteria
2.3. Sample Size Estimation
2.4. Intervention Materials
2.5. Randomization and Blinding
2.6. Intervention and Adherence Monitoring
2.7. Questionnaire Survey and Clinical Parameter Measurement
2.8. Body Composition Measurement
2.9. DNA Extraction and Amplification Library Construction
2.10. Bioinformatics Analysis and Diversity Analysis
2.11. Statistical Analysis
3. Results
3.1. Basic Characteristics of Participants
3.2. Effects of LPT with Different Aged Years on Metabolic Parameters
3.3. Effects of LPT with Different Years of Aging on Body Weight and Composition
3.4. Comparison of the Effects of LPT with Different Years of Aging on Metabolic and Body Composition Parameters
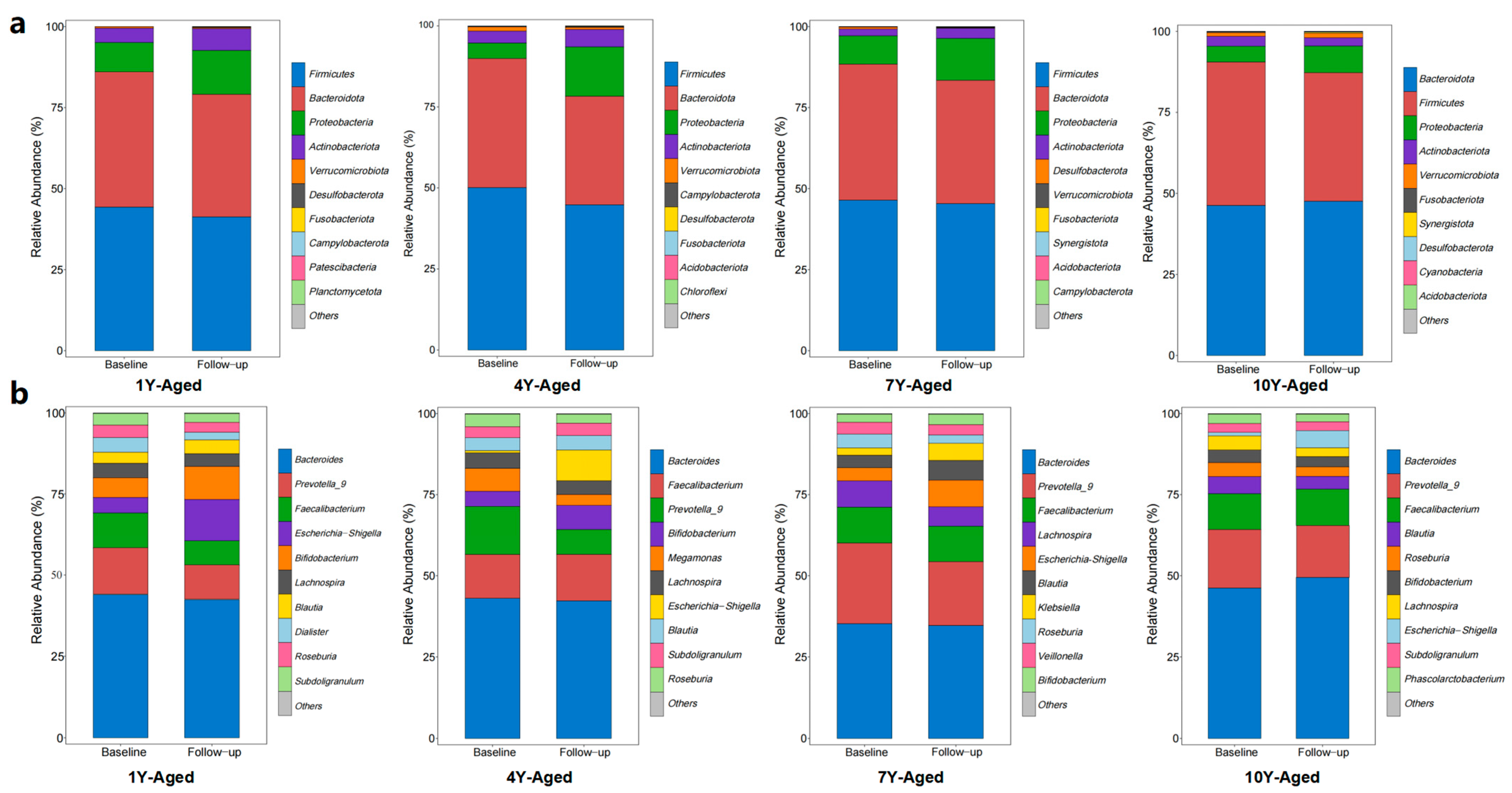
3.5. Characteristics of Gut Microbiota in LPT Groups with Different Years of Aging
4. Discussion
4.1. Main Findings and Comparison with Prior Studies
4.2. The Strengths and Limitations of the Study
4.3. Clinical Implications and Future Directions
5. Conclusions
Supplementary Materials
Author Contributions
Funding
Institutional Review Board Statement
Informed Consent Statement
Data Availability Statement
Acknowledgments
Conflicts of Interest
Abbreviations
References
- Balakrishnan, V.S. Europe’s obesity burden on the rise: WHO report. Lancet Diabetes Endocrinol. 2022, 10, 488. [Google Scholar] [CrossRef] [PubMed]
- Ji, C.; Ge, X.; Zhang, J.; Tong, H. The Stroke Burden in China and Its Long-Term Trends: Insights from the Global Burden of Disease (GBD) Study 1990–2021. Nutr. Metab. Cardiovasc. Dis. 2025, In Press, 103848. [Google Scholar] [CrossRef]
- Collaboration, N.C.D.R.F. Worldwide trends in underweight and obesity from 1990 to 2022: A pooled analysis of 3663 population-representative studies with 222 million children, adolescents, and adults. Lancet 2024, 403, 1027–1050. [Google Scholar] [CrossRef]
- Athanasakis, K.; Bala, C.; Kokkinos, A.; Simonyi, G.; Karoliova, K.H.; Basse, A.; Bogdanovic, M.; Kang, M.; Low, K.; Gras, A. The economic burden of obesity in 4 south-eastern European countries associated with obesity-related co-morbidities. BMC Health Serv. Res. 2024, 24, 354. [Google Scholar] [CrossRef]
- Mendenhall, E.; Singer, M. The global syndemic of obesity, undernutrition, and climate change. Lancet 2019, 393, 741. [Google Scholar] [CrossRef] [PubMed]
- Broussard, J.L.; Garfield, A.; Zarini, S.; Brozinick, J.T.; Perreault, L.; Newsom, S.A.; Kahn, D.; Kerege, A.; Berry, K.Z.; Bui, H.H.; et al. Combined diet and exercise training decreases serum lipids associated with insulin resistance. Obesity 2024, 32, 2334–2344. [Google Scholar] [CrossRef]
- Papakonstantinou, E.; Oikonomou, C.; Nychas, G.; Dimitriadis, G.D. Effects of Diet, Lifestyle, Chrononutrition and Alternative Dietary Interventions on Postprandial Glycemia and Insulin Resistance. Nutrients 2022, 14, 823. [Google Scholar] [CrossRef]
- Castro-Barquero, S.; Ruiz-Leon, A.M.; Sierra-Perez, M.; Estruch, R.; Casas, R. Dietary Strategies for Metabolic Syndrome: A Comprehensive Review. Nutrients 2020, 12, 2983. [Google Scholar] [CrossRef]
- Gao, X.; Xie, Q.; Kong, P.; Liu, L.; Sun, S.; Xiong, B.; Huang, B.; Yan, L.; Sheng, J.; Xiang, H. Polyphenol- and Caffeine-Rich Postfermented Pu-erh Tea Improves Diet-Induced Metabolic Syndrome by Remodeling Intestinal Homeostasis in Mice. Infect. Immun. 2018, 86, e00601-17. [Google Scholar] [CrossRef]
- Liu, J.Y.; He, D.; Xing, Y.F.; Zeng, W.; Ren, K.; Zhang, C.; Lu, Y.; Yang, S.; Ou, S.J.; Wang, Y.; et al. Effects of bioactive components of Pu-erh tea on gut microbiomes and health: A review. Food Chem. 2021, 353, 129439. [Google Scholar] [CrossRef]
- Wang, S.; Qiu, Y.; Gan, R.Y.; Zhu, F. Chemical constituents and biological properties of Pu-erh tea. Food Res. Int. 2022, 154, 110899. [Google Scholar] [CrossRef]
- Yuan, Y.; He, J.; Tang, M.; Chen, H.; Wei, T.; Zhang, B.; Liang, D.; Nie, X. Preventive effect of Ya’an Tibetan tea on obesity in rats fed with a hypercaloric high-fat diet revealed by gut microbiology and metabolomics studies. Food Res. Int. 2023, 165, 112520. [Google Scholar] [CrossRef] [PubMed]
- Costa, M.A.C.; Vilela, D.L.S.; Fraiz, G.M.; Lopes, I.L.; Coelho, A.I.M.; Castro, L.C.V.; Martin, J.G.P. Effect of kombucha intake on the gut microbiota and obesity-related comorbidities: A systematic review. Crit. Rev. Food Sci. Nutr. 2023, 63, 3851–3866. [Google Scholar] [CrossRef]
- Qin, H.; Huang, L.; Teng, J.; Wei, B.; Xia, N.; Ye, Y. Purification, characterization, and bioactivity of Liupao tea polysaccharides before and after fermentation. Food Chem. 2021, 353, 129419. [Google Scholar] [CrossRef]
- Wang, H.; Teng, J.; Huang, L.; Wei, B.; Xia, N. Determination of the variations in the metabolic profile and sensory quality of Liupao tea during fermentation through UHPLC-HR-MS metabolomics. Food Chem. 2023, 404, 134773. [Google Scholar] [CrossRef] [PubMed]
- Huang, S.; Chen, H.; Teng, J.; Wu, Z.; Huang, L.; Wei, B.; Xia, N. Antihyperlipidemic effect and increased antioxidant enzyme levels of aqueous extracts from Liupao tea and green tea in vivo. J. Food Sci. 2022, 87, 4203–4220. [Google Scholar] [CrossRef] [PubMed]
- Ding, Q.; Zhang, B.; Zheng, W.; Chen, X.; Zhang, J.; Yan, R.; Zhang, T.; Yu, L.; Dong, Y.; Ma, B. Liupao tea extract alleviates diabetes mellitus and modulates gut microbiota in rats induced by streptozotocin and high-fat, high-sugar diet. Biomed. Pharmacother. 2019, 118, 109262. [Google Scholar] [CrossRef]
- Ma, L.; Hu, Y.; Alperet, D.J.; Liu, G.; Malik, V.; Manson, J.E.; Rimm, E.B.; Hu, F.B.; Sun, Q. Beverage consumption and mortality among adults with type 2 diabetes: Prospective cohort study. BMJ 2023, 381, e073406. [Google Scholar] [CrossRef]
- Ni, D.; Ai, Z.; Munoz-Sandoval, D.; Suresh, R.; Ellis, P.R.; Yuqiong, C.; Sharp, P.A.; Butterworth, P.J.; Yu, Z.; Corpe, C.P. Inhibition of the facilitative sugar transporters (GLUTs) by tea extracts and catechins. FASEB J. 2020, 34, 9995–10010. [Google Scholar] [CrossRef]
- Perkin, O.J.; Chen, Y.C.; Johnson, D.A.; Thomas, J.E.; Atkinson, G.; Betts, J.A.; Gonzalez, J.T. Postprandial Metabolic Mesponses to High-fat Feeding in Healthy Adults Following Ingestion of Oolong Tea-Derived Polymerized Polyphenols: A Randomized, Double-blinded, Placebo-controlled Crossover Study. Am. J. Clin. Nutr. 2023, 118, 132–140. [Google Scholar] [CrossRef]
- Xia, H.M.; Wang, J.; Xie, X.J.; Xu, L.J.; Tang, S.Q. Green tea polyphenols attenuate hepatic steatosis, and reduce insulin resistance and inflammation in high-fat diet-induced rats. Int. J. Mol. Med. 2019, 44, 1523–1530. [Google Scholar] [CrossRef] [PubMed]
- Wei, L.; Huang, L.; Du, L.; Sun, Q.; Chen, C.; Tang, J.; Teng, J.; Wei, B. Structural Characterization and In Vitro Antioxidant, Hypoglycemic and Hypolipemic Activities of a Natural Polysaccharide from Liupao Tea. Foods 2023, 12, 2226. [Google Scholar] [CrossRef]
- Long, J.; Yu, L.; Huang, L.; Xia, N.; Teng, J.; Wei, B. Isolation, identification, and community diversity of microorganisms during tank fermentation of Liupao tea. J. Food Sci. 2023, 88, 4230–4246. [Google Scholar] [CrossRef]
- Zhou, H.; Wang, X.; She, Z.; Huang, L.; Wei, H.; Yang, S.; Wei, Z.; Chen, H.; Yang, B.; Hu, Z.; et al. Combining bioinformatics and multiomics strategies to investigate the key microbiota and active components of Liupao tea ameliorating hyperlipidemia. J. Ethnopharmacol. 2024, 333, 118438. [Google Scholar] [CrossRef]
- Chu, S.L.; Fu, H.; Yang, J.X.; Liu, G.X.; Dou, P.; Zhang, L.; Tu, P.F.; Wang, X.M. A randomized double-blind placebo-controlled study of Pu’er tea extract on the regulation of metabolic syndrome. Chin. J. Integr. Med. 2011, 17, 492–498. [Google Scholar] [CrossRef] [PubMed]
- Zhao, Y.; Tang, C.; Tang, W.; Zhang, X.; Jiang, X.; Duoji, Z.; Kangzhu, Y.; Zhao, X.; Xu, X.; Hong, F.; et al. The association between tea consumption and blood pressure in the adult population in Southwest China. BMC Public Health 2023, 23, 476. [Google Scholar] [CrossRef] [PubMed]
- Li, Y.; Li, X.; Zhou, W.; Li, C.; Ma, H. Puer tea aqueous extract combined with nifedipine for hypotensive effect study. Tea Sci. 2015, 35, 165–170. [Google Scholar] [CrossRef]
- Guo, J.; Li, K.; Lin, Y.; Liu, Y. Protective effects and molecular mechanisms of tea polyphenols on cardiovascular diseases. Front. Nutr. 2023, 10, 1202378. [Google Scholar] [CrossRef]
- Tang, W.; Yuan, M.; Li, Z.; Lin, Q.; Zhen, Y.; Li, Z.; Zhou, H.; Xia, F. Polyphenol-Rich Liupao Tea Extract Prevents High-Fat Diet-Induced MAFLD by Modulating the Gut Microbiota. Nutrients 2022, 14, 4930. [Google Scholar] [CrossRef]
- Wu, Y.; Sun, H.; Yi, R.; Tan, F.; Zhao, X. Anti-obesity effect of Liupao tea extract by modulating lipid metabolism and oxidative stress in high-fat-diet-induced obese mice. J. Food Sci. 2021, 86, 215–227. [Google Scholar] [CrossRef]
- Yang, S.; Wei, Z.; Luo, J.; Wang, X.; Chen, G.; Guan, X.; She, Z.; Liu, W.; Tong, Y.; Liu, H.; et al. Integrated bioinformatics and multiomics reveal Liupao tea extract alleviating NAFLD via regulating hepatic lipid metabolism and gut microbiota. Phytomedicine 2024, 132, 155834. [Google Scholar] [CrossRef]
- Wu, W.; Hu, Y.; Zhang, S.; Liu, D.; Li, Q.; Lin, Y.; Liu, Z. Untargeted metabolomic and lipid metabolism-related gene expression analyses of the effects and mechanism of aged Liupao tea treatment in HFD-induced obese mice. RSC Adv. 2021, 11, 23791–23800. [Google Scholar] [CrossRef] [PubMed]
- Cai, X.; Liu, Z.; Dong, X.; Wang, Y.; Zhu, L.; Li, M.; Xu, Y. Hypoglycemic and lipid lowering effects of theaflavins in high-fat diet-induced obese mice. Food Funct. 2021, 12, 9922–9931. [Google Scholar] [CrossRef] [PubMed]
- Desjardins, E.M.; Steinberg, G.R. Emerging Role of AMPK in Brown and Beige Adipose Tissue (BAT): Implications for Obesity, Insulin Resistance, and Type 2 Diabetes. Curr. Diabetes Rep. 2018, 18, 80. [Google Scholar] [CrossRef]
- Li, L.; Shi, M.; Salerno, S.; Tang, M.; Guo, F.; Liu, J.; Feng, Y.; Fu, M.; Huang, Q.; Ma, L.; et al. Microbial and metabolomic remodeling by a formula of Sichuan dark tea improves hyperlipidemia in apoE-deficient mice. PLoS ONE 2019, 14, e0219010. [Google Scholar] [CrossRef]
- Qu, J.; Ye, M.; Wen, C.; Cheng, X.; Zou, L.; Li, M.; Liu, X.; Liu, Z.; Wen, L.; Wang, J. Compound dark tea ameliorates obesity and hepatic steatosis and modulates the gut microbiota in mice. Front. Nutr. 2023, 10, 1082250. [Google Scholar] [CrossRef]
- Yoo, A.; Ahn, J.; Seo, H.D.; Hahm, J.H.; Jung, C.H.; Ly, S.Y.; Ha, T.Y. Fuzhuan brick tea extract ameliorates obesity-induced skeletal muscle atrophy by alleviating mitochondrial dysfunction in mice. J. Nutr. Biochem. 2024, 125, 109532. [Google Scholar] [CrossRef]
- Luk, H.Y.; Appell, C.; Chyu, M.C.; Chen, C.H.; Wang, C.Y.; Yang, R.S.; Shen, C.L. Impacts of Green Tea on Joint and Skeletal Muscle Health: Prospects of Translational Nutrition. Antioxidants 2020, 9, 1050. [Google Scholar] [CrossRef] [PubMed]
- Zhou, D.; Liu, X.; Lan, L.; Yu, W.; Qiu, R.; Wu, J.; Teng, C.; Huang, L.; Yu, C.; Zeng, Y. Protective effects of Liupao tea against high-fat diet/cold exposure-induced irritable bowel syndrome in rats. Heliyon 2023, 9, e16613. [Google Scholar] [CrossRef]
- Pan, W.; Li, W.; Wu, H.; Xie, X.; Xie, M.; Nie, Q.; Liu, Z.; Cai, S. Aging-Accelerated Mouse Prone 8 (SAMP8) Mice Experiment and Network Pharmacological Analysis of Aged Liupao Tea Aqueous Extract in Delaying the Decline Changes of the Body. Antioxidants 2023, 12, 685. [Google Scholar] [CrossRef]
- Qiu, S.; Huang, L.; Xia, N.; Teng, J.; Wei, B.; Lin, X.; Khan, M.R. Two Polysaccharides from Liupao Tea Exert Beneficial Effects in Simulated Digestion and Fermentation Model In Vitro. Foods 2022, 11, 2958. [Google Scholar] [CrossRef] [PubMed]
- Zafar, H.; Saier, M.H., Jr. Gut Bacteroides species in health and disease. Gut Microbes 2021, 13, 1848158. [Google Scholar] [CrossRef] [PubMed]
- Kumari, M.; Singh, P.; Nataraj, B.H.; Kokkiligadda, A.; Naithani, H.; Azmal Ali, S.; Behare, P.V.; Nagpal, R. Fostering next-generation probiotics in human gut by targeted dietary modulation: An emerging perspective. Food Res. Int. 2021, 150, 110716. [Google Scholar] [CrossRef]
- Freitas, R.; Vasques, A.C.J.; da Rocha Fernandes, G.; Ribeiro, F.B.; Solar, I.; Shivappa, N.; Hebert, J.R.; de Almeida-Pititto, B.; Geloneze, B.; Ferreira, S.R.G. Gut bacterial markers involved in association of dietary inflammatory index with visceral adiposity. Nutrition 2024, 122, 112371. [Google Scholar] [CrossRef] [PubMed]
- Gao, Y.; Mo, S.; Cao, H.; Zhi, Y.; Ma, X.; Huang, Z.; Li, B.; Wu, J.; Zhang, K.; Jin, L. The efficacy and mechanism of Angelica sinensis (Oliv.) Diels root aqueous extract based on RNA sequencing and 16S rDNA sequencing in alleviating polycystic ovary syndrome. Phytomedicine 2023, 120, 155013. [Google Scholar] [CrossRef]
- Zheng, Z.; Lyu, W.; Ren, Y.; Li, X.; Zhao, S.; Yang, H.; Xiao, Y. Allobaculum Involves in the Modulation of Intestinal ANGPTLT4 Expression in Mice Treated by High-Fat Diet. Front. Nutr. 2021, 8, 690138. [Google Scholar] [CrossRef]
- Gryaznova, M.; Smirnova, Y.; Burakova, I.; Morozova, P.; Lagutina, S.; Chizhkov, P.; Korneeva, O.; Syromyatnikov, M. Fecal Microbiota Characteristics in Constipation-Predominant and Mixed-Type Irritable Bowel Syndrome. Microorganisms 2024, 12, 1414. [Google Scholar] [CrossRef]




| Characteristic | Total Population Group (n = 106) | 1-Year-Aged Group (n = 26) | 4-Year-Aged Group (n = 28) | 7-Year-Aged Group (n = 26) | 10-Year-Aged Group (n = 26) | p |
|---|---|---|---|---|---|---|
| Age (years), mean ± SD | 50.9 ± 17.4 | 51.3 ± 17.9 | 49.5 ± 17.7 | 51.2 ± 17.2 | 51.8 ± 17.5 | 0.968 |
| Gender, n (%) | 0.974 | |||||
| Male | 28 (26.4) | 7 (26.9) | 8 (28.6) | 7 (26.9) | 6 (23.1) | |
| Female | 78 (73.6) | 19 (73.1) | 20 (71.4) | 19 (73.1) | 20 (76.9) | |
| Marital Status, n (%) | 0.790 | |||||
| Single | 17 (16.0) | 4 (15.4) | 6 (21.4) | 4 (15.4) | 3 (11.5) | |
| Married/cohabiting | 79 (74.5) | 21 (80.8) | 20 (71.4) | 19 (73.1) | 19 (73.1) | |
| Divorced/widowed | 10 (9.4) | 1 (3.8) | 2 (7.2) | 3 (11.5) | 4 (15.4) | |
| Educational Level, n (%) | 0.917 | |||||
| Junior high school and below | 8 (7.5) | 2 (7.7) | 2 (7.1) | 2 (7.7) | 2 (7.7) | |
| High school | 16 (15.1) | 3 (11.5) | 3 (10.7) | 4 (15.4) | 6 (23.1) | |
| Bachelor’s degree and above | 82 (77.4) | 21 (80.8) | 23 (82.1) | 20 (76.9) | 18 (69.2) | |
| Average Monthly Income, n (%) | 0.528 | |||||
| <3000 CNY | 18 (17.0) | 4 (15.4) | 4 (14.2) | 5 (19.2) | 5 (19.2) | |
| 3000~8000 CNY | 42 (39.6) | 11 (42.3) | 12 (42.9) | 6 (23.1) | 13 (50.0) | |
| ≥8000 CNY | 46 (43.4) | 11 (42.3) | 12 (42.9) | 15 (57.7) | 8 (30.8) | |
| Smoking, n (%) | 0.021 | |||||
| Never smoked | 99 (93.4) | 23 (88.5) | 24 (85.7) | 26 (100.0) | 26 (100.0.) | |
| Former smoker | 4 (3.8) | 3 (11.5) | 1 (3.6) | 0 (0.0) | 0 (0.0) | |
| Current smoker | 3 (2.8) | 0 (0.0) | 3 (10.7) | 0 (0.0) | 0 (0.0) | |
| Alcohol Consumption, n (%) | 0.273 | |||||
| Never drinks | 94 (88.7) | 23 (88.5) | 22 (78.5) | 24 (92.3) | 25 (96.2) | |
| Former drinker | 9 (8.5) | 3 (11.5) | 5 (17.9) | 1 (3.9) | 0 (0.0) | |
| Current drinker | 3 (2.8) | 0 (0.0) | 1 (3.6) | 1 (3.8) | 1 (3.8) | |
| Frequent Tea Drinking, n (%) | 0.744 | |||||
| Yes | 49 (46.2) | 12 (46.2) | 15 (53.6) | 12 (46.2) | 10 (38.5) | |
| No | 57 (53.8) | 14 (53.8) | 13 (46.4) | 14 (53.8) | 16 (61.5) | |
| Medical History, n (%) | ||||||
| T2DM | 84 (79.2) | 22 (84.6) | 23 (82.1) | 17 (65.4) | 22 (84.6) | 0.100 |
| Hypertension | 71 (67.0) | 16 (61.5) | 19 (67.9) | 18 (69.2) | 18 (69.2) | 0.756 |
| Dyslipidemia | 65 (61.3) | 17 (65.4) | 14 (50) | 15 (57.7) | 19 (73.1) | 0.526 |
| Heart disease | 98 (92.5) | 22 (84.6) | 26 (92.9) | 25 (96.2) | 25 (96.2) | 0.526 |
| Metabolic Parameters b | 1-Year-Aged Group (n = 26) | 4-Year-Aged Group (n = 28) | 7-Year-Aged Group (n = 26) | 10-Year-Aged Group (n = 26) | ||||
|---|---|---|---|---|---|---|---|---|
| Baseline | Follow-Up | Baseline | Follow-Up | Baseline | Follow-Up | Baseline | Follow-Up | |
| Metabolic parameters | ||||||||
| SBP, mmHg | 129.84 ± 22.35 | 122.92 ± 21.47 * | 130.70 ± 14.48 | 121.37 ± 17.15 * | 131.38 ± 13.55 | 115.30 ± 23.93 * | 131.32 ± 16.08 | 121.16 ± 15.16 ** |
| DBP, mmHg | 76.28 ± 12.79 | 73.08 ± 12.67 * | 78.41 ± 8.54 | 73.56 ± 11.59 * | 78.54 ± 10.75 | 74.08 ± 15.91 | 81.72 ± 14.56 | 72.00 ± 10.94 ** |
| TC, mmol/L | 5.10 ± 1.08 | 4.87 ± 0.88 * | 5.01 ± 1.12 | 4.83 ± 1.10 | 5.19 ± 0.91 | 5.38 ± 0.85 | 5.26 ± 0.79 | 4.96 ± 0.86 |
| TG, mmol/L | 1.26 ± 0.82 | 1.35 ± 0.88 | 1.28 ± 1.09 | 1.08 ± 0.51 | 1.63 ± 0.87 | 1.66 ± 1.16 | 1.73 ± 1.86 | 1.63 ± 1.61 |
| HDL-C, mmol/L | 1.34 ± 0.36 | 1.36 ± 0.31 | 1.30 ± 0.23 | 1.36 ± 0.21 | 1.29 ± 0.29 | 1.37 ± 0.25 * | 1.34 ± 0.22 | 1.37 ± 0.18 |
| LDL-C, mmol/L | 2.91 ± 0.68 | 2.63 ± 0.55 * | 2.90 ± 0.83 | 2.65 ± 0.76 * | 3.08 ± 0.64 | 2.94 ± 0.50 | 2.95 ± 0.52 | 2.63 ± 0.55 * |
| APOA1, g/L | 1.33 ± 0.23 | 1.25 ± 0.21 * | 1.30 ± 0.16 | 1.22 ± 0.14 * | 1.31 ± 0.16 | 1.24 ± 0.14 * | 1.36 ± 0.15 | 1.25 ± 0.12 ** |
| APOB, g/L | 0.85 ± 0.17 | 0.82 ± 0.14 | 0.84 ± 0.21 | 0.83 ± 0.24 | 0.88 ± 0.16 | 0.88 ± 0.11 | 0.83 ± 0.15 | 0.82 ± 0.14 |
| HbA1c, % | 5.59 ± 1.00 | 5.68 ± 0.99 * | 5.60 ± 0.68 | 5.63 ± 0.68 | 5.87 ± 1.21 | 5.92 ± 1.12 | 5.79 ± 1.29 | 5.87 ± 1.37 |
| FBG, mmol/L | 5.98 ± 1.87 | 5.88 ± 2.09 | 5.75 ± 1.19 | 5.50 ± 1.07 * | 8.38 ± 11.56 | 6.05 ± 1.69 | 6.05 ± 2.47 | 5.90 ± 1.97 |
| INS, pmol/L | 75.93 ± 33.55 | 71.70 ± 44.12 | 73.31 ± 31.06 | 62.21 ± 28.87 | 72.68 ± 35.16 | 67.78 ± 35.83 | 83.19 ± 50.47 | 74.28 ± 46.00 |
| Body composition | ||||||||
| Weight, kg | 69.70 ± 13.81 | 68.21 ± 13.19 ** | 69.00 ± 11.96 | 66.70 ± 10.77 ** | 67.36 ± 10.62 | 65.33 ± 10.92 * | 67.06 ± 11.3 | 65.57 ± 11.90 ** |
| BFM, kg | 21.78 ± 5.24 | 20.28 ± 4.77 ** | 21.88 ± 5.64 | 19.54 ± 5.59 ** | 21.13 ± 4.66 | 19.15 ± 4.44 ** | 22.09 ± 6.08 | 20.12 ± 5.43 ** |
| LBM, kg | 46.34 ± 9.17 | 46.92 ± 9.77 * | 47.12 ± 9.02 | 47.63 ± 9.44 | 46.61 ± 8.07 | 46.83 ± 8.59 | 46.33 ± 9.93 | 47.01 ± 11.38 |
| MM, kg | 42.48 ± 8.49 | 43.09 ± 9.09 * | 42.08 ± 11.06 | 43.43 ± 9.03 | 42.76 ± 7.52 | 43.06 ± 8.00 | 42.46 ± 9.21 | 43.18 ± 10.61 |
| BMI, kg/m2 | 25.90 ± 3.24 | 25.44 ± 3.12 * | 26.22 ± 2.99 | 25.38 ± 2.76 ** | 25.19 ± 2.65 | 24.47 ± 2.80 * | 25.47 ± 3.17 | 24.93 ± 3.29 * |
| WC, cm | 84.51 ± 8.43 | 82.60 ± 7.33 ** | 85.55 ± 8.21 | 82.04 ± 6.71 ** | 84.66 ± 7.91 | 82.20 ± 7.74 ** | 84.60 ± 9.65 | 79.37 ± 17.19 |
| BFP, % | 31.54 ± 4.98 | 30.21 ± 4.56 * | 31.62 ± 6.37 | 29.10 ± 7.07 ** | 31.18 ± 5.16 | 29.02 ± 4.97 ** | 32.20 ± 5.62 | 30.07 ± 5.66 ** |
| VFA, cm2 | 99.13 ± 40.25 | 86.52 ± 33.63 ** | 100.85 ± 36.11 | 80.56 ± 31.05 ** | 93.96 ± 29.61 | 79.29 ± 27.78 ** | 101.60 ± 39.97 | 85.00 ± 32.52 ** |
Disclaimer/Publisher’s Note: The statements, opinions and data contained in all publications are solely those of the individual author(s) and contributor(s) and not of MDPI and/or the editor(s). MDPI and/or the editor(s) disclaim responsibility for any injury to people or property resulting from any ideas, methods, instructions or products referred to in the content. |
© 2025 by the authors. Licensee MDPI, Basel, Switzerland. This article is an open access article distributed under the terms and conditions of the Creative Commons Attribution (CC BY) license (https://creativecommons.org/licenses/by/4.0/).
Share and Cite
Wang, Y.; Hu, Q.; Chen, B.; Ma, D. Effects of Liupao Tea with Different Years of Aging on Glycolipid Metabolism, Body Composition, and Gut Microbiota in Adults with Obesity or Overweight: A Randomized, Double-Blind Study. Foods 2025, 14, 866. https://doi.org/10.3390/foods14050866
Wang Y, Hu Q, Chen B, Ma D. Effects of Liupao Tea with Different Years of Aging on Glycolipid Metabolism, Body Composition, and Gut Microbiota in Adults with Obesity or Overweight: A Randomized, Double-Blind Study. Foods. 2025; 14(5):866. https://doi.org/10.3390/foods14050866
Chicago/Turabian StyleWang, Yuyang, Qiang Hu, Botian Chen, and Defu Ma. 2025. "Effects of Liupao Tea with Different Years of Aging on Glycolipid Metabolism, Body Composition, and Gut Microbiota in Adults with Obesity or Overweight: A Randomized, Double-Blind Study" Foods 14, no. 5: 866. https://doi.org/10.3390/foods14050866
APA StyleWang, Y., Hu, Q., Chen, B., & Ma, D. (2025). Effects of Liupao Tea with Different Years of Aging on Glycolipid Metabolism, Body Composition, and Gut Microbiota in Adults with Obesity or Overweight: A Randomized, Double-Blind Study. Foods, 14(5), 866. https://doi.org/10.3390/foods14050866

