Physicochemical, Structural, and Digestive Properties of Green Banana Starch from Five Chinese Mutant Banana Species
Abstract
1. Introduction
2. Materials and Methods
2.1. Materials
2.2. Preparation of Banana Starch
2.3. Proximate Composition of Isolated Starch
2.4. Amylose Content
2.5. Analysis of Functional Properties
2.6. Morphology and Particle Size Distribution Analysis of Starch Granules
2.7. X-Ray Diffraction Analysis
2.8. Pasting Properties
2.9. Thermal Properties
2.10. Fourier Transform Infrared (FTIR) Spectrum
2.11. Gel Texture Properties of Starch
2.12. In Vitro Digestion Analysis
2.13. Enzymatic Kinetics
2.14. Postprandial Glycemic Response of Starch
2.15. Principal Component and Correlation Analysis
2.16. Statistical Analysis
3. Results and Discussion
3.1. Proximate Composition
3.2. Morphology and Particle Size Distribution Analysis of Starch Granules
3.3. Crystalline Structure
3.4. Short-Range Ordered Structure
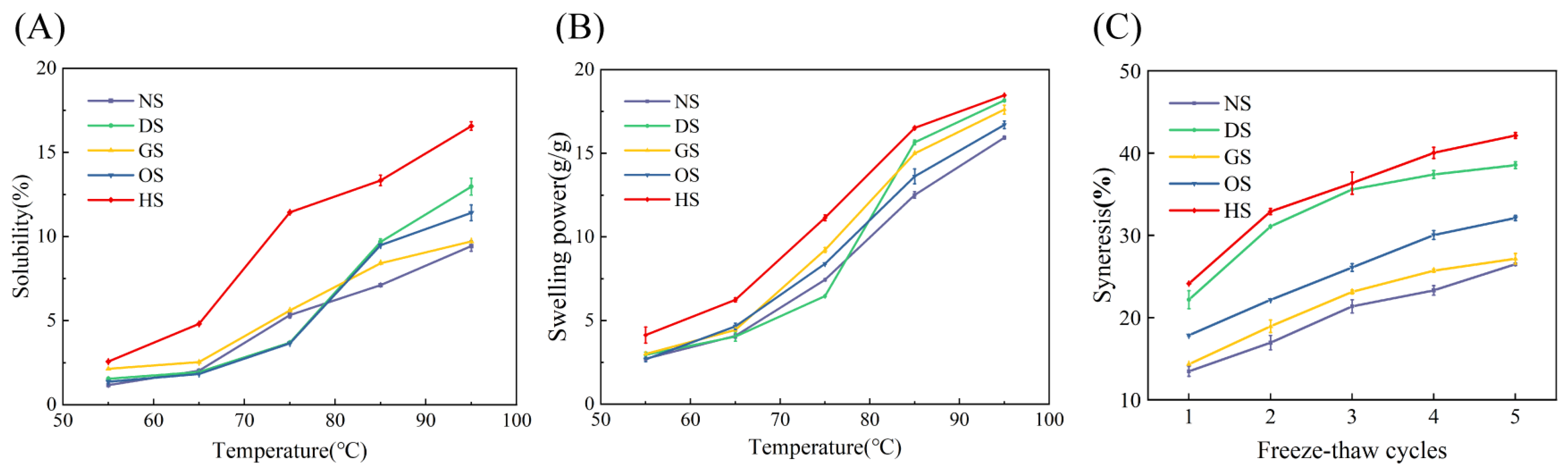
3.5. Solubility, Swelling Power and Freeze–Thaw Stability
3.6. Thermal Properties
3.7. Pasting Properties
3.8. Textural Properties
3.9. In Vitro Digestibility
3.10. Principal Component and Correlation Analysis
4. Conclusions
Supplementary Materials
Author Contributions
Funding
Institutional Review Board Statement
Informed Consent Statement
Data Availability Statement
Acknowledgments
Conflicts of Interest
References
- Jiang, H.; Zhang, Y.; Hong, Y.; Bi, Y.; Gu, Z.; Cheng, L.; Li, Z.; Li, C. Digestibility and Changes to Structural Characteristics of Green Banana Starch during in Vitro Digestion. Food Hydrocoll. 2015, 49, 192–199. [Google Scholar] [CrossRef]
- Yang, M.; Chang, L.; Jiang, F.; Zhao, N.; Zheng, P.; Simbo, J.; Yu, X.; Du, S. Structural, Physicochemical and Rheological Properties of Starches Isolated from Banana Varieties (Musa spp.). Food Chem. X 2022, 16, 100473. [Google Scholar] [CrossRef] [PubMed]
- De Barros Mesquita, C.; Leonel, M.; Franco, C.M.L.; Leonel, S.; Garcia, E.L.; Dos Santos, T.P.R. Characterization of Banana Starches Obtained from Cultivars Grown in Brazil. Int. J. Biol. Macromol. 2016, 89, 632–639. [Google Scholar] [CrossRef] [PubMed]
- Donald, A.M. Plasticization and Self Assembly in the Starch Granule. Cereal Chem. 2001, 78, 307–314. [Google Scholar] [CrossRef]
- Ji, X.; Chen, J.; Jin, X.; Chen, J.; Ding, Y.; Shi, M.; Guo, X.; Yan, Y. Effect of Inulin on Thermal Properties, Pasting, Rheology, and In Vitro Digestion of Potato Starch. Starch Stärke 2023, 75, 2200217. [Google Scholar] [CrossRef]
- Gu, Y.; Hu, Y.; Ying, Y.; Qian, L.; Bao, J. Physicochemical Characteristics of Tea Seed Starches from Twenty-Five Cultivars. Int. J. Biol. Macromol. 2024, 275, 133570. [Google Scholar] [CrossRef]
- Shi, L.; Guo, K.; Xu, X.; Lin, L.; Bian, X.; Wei, C. Physicochemical Properties of Starches from Sweet Potato Root Tubers Grown in Natural High and Low Temperature Soils. Food Chem. X 2024, 22, 101346. [Google Scholar] [CrossRef] [PubMed]
- Du, J.; Pan, R.; Obadi, M.; Li, H.; Shao, F.; Sun, J.; Wang, Y.; Qi, Y.; Xu, B. In Vitro Starch Digestibility of Buckwheat Cultivars in Comparison to Wheat: The Key Role of Starch Molecular Structure. Food Chem. 2022, 368, 130806. [Google Scholar] [CrossRef] [PubMed]
- Li, B.; Wang, H.; Wang, X.; Zhang, Y.; Tan, Y.; Zhang, Y.; Chu, Z.; Zhang, Y. Prediction of the Postprandial Blood Sugar Response Estimated by Enzymatic Kinetics of In Vitro Digestive and Fine Molecular Structure of Artocarpus Heterophyllus Lam Seed Starch and Several Staple Crop Starches. Starch-Stärke 2019, 71, 1800351. [Google Scholar] [CrossRef]
- Miao, M.; Jiang, B.; Cui, S.W.; Zhang, T.; Jin, Z. Slowly Digestible Starch—A Review. Crit. Rev. Food Sci. Nutr. 2015, 55, 1642–1657. [Google Scholar] [CrossRef] [PubMed]
- Li, B.; Xie, B.; Liu, J.; Chen, X.; Zhang, Y.; Tan, L.; Wang, Y.; Zhu, L.; Zhu, K.; Huang, C. A Study of Starch Resources with High-Amylose Content from Five Chinese Mutant Banana Species. Front. Nutr. 2022, 9, 1073368. [Google Scholar] [CrossRef] [PubMed]
- AOAC. AOAC International, Official Methods of Analysis, 18th ed.; Association of Official Analytical Chemists: Arlington, VA, USA, 2012. [Google Scholar]
- Kajubi, A.; Baingana, R.; Matovu, M.; Katwaza, R.; Kubiriba, J.; Namanya, P. Variation and Abundance of Resistant Starch in Selected Banana Cultivars in Uganda. Foods 2024, 13, 2998. [Google Scholar] [CrossRef] [PubMed]
- Zhong, M.; Sun, Y.; Sun, Y.; Huang, Y.; Qi, B.; Li, Y. The Effect of Salt Ion on the Freeze-Thaw Stability and Digestibility of the Lipophilic Protein-Hydroxypropyl Methylcellulose Emulsion. LWT-Food Sci. Technol. 2021, 151, 112202. [Google Scholar] [CrossRef]
- Chen, L.; Hao, Y.; Wang, Y.; Wu, G.; Zhang, Y.; Wang, X. Effect of Different Soluble Pectin in Breadfruit on Starch Digestibility. Food Hydrocoll. 2025, 161, 110892. [Google Scholar] [CrossRef]
- Wang, Y. Pickering Emulsion of Camellia Oil Stabilized by Octenyl Succinic Acid Starch: Interaction, Lipid Oxidation and Digestibility. Int. J. Biol. Macromol. 2024, 279, 135108. [Google Scholar] [CrossRef]
- Rong, L.; Shen, M.; Wen, H.; Xiao, W.; Li, J.; Xie, J. Effects of Xanthan, Guar and Mesona Chinensis Benth Gums on the Pasting, Rheological, Texture Properties and Microstructure of Pea Starch Gels. Food Hydrocoll. 2022, 125, 107391. [Google Scholar] [CrossRef]
- Gao, L.; Van Bockstaele, F.; Lewille, B.; Haesaert, G.; Eeckhout, M. Characterization and Comparative Study on Structural and Physicochemical Properties of Buckwheat Starch from 12 Varieties. Food Hydrocoll. 2023, 137, 108320. [Google Scholar] [CrossRef]
- Wang, Y.; Jin, L.; Xie, B.; Chen, X.; Xu, F.; Zhu, K.; Wang, P.; Zhang, Y. Pickering Emulsion of Pepper Essential Oil Stabilized by Octenyl Succinic Acid Starch: Characterization, in Vitro Release and Anticancer Activity. J. Food Sci. 2024, 89, 6142–6156. [Google Scholar] [CrossRef] [PubMed]
- Liu, Y.; Yu, J.; Copeland, L.; Wang, S.; Wang, S. Gelatinization Behavior of Starch: Reflecting beyond the Endotherm Measured by Differential Scanning Calorimetry. Food Chem. 2019, 284, 53–59. [Google Scholar] [CrossRef] [PubMed]
- Nguyen, G.T.; Sopade, P.A. Modeling Starch Digestograms: Computational Characteristics of Kinetic Models for in Vitro Starch Digestion in Food Research. Compr. Rev. Food Sci. Food Saf. 2018, 17, 1422–1445. [Google Scholar] [CrossRef]
- Nwokocha, L.M.; Senan, C.; Williams, P.A. Structural, Physicochemical and Rheological Characterization of Tacca involucrata Starch. Carbohydr. Polym. 2011, 86, 789–796. [Google Scholar] [CrossRef]
- Olawoye, B.; Fagbohun, O.F.; Popoola, O.O.; Gbadamosi, S.O.; Akanbi, C.T. Understanding How Different Modification Processes Affect the Physiochemical, Functional, Thermal, Morphological Structures and Digestibility of Cardaba Banana Starch. Int. J. Biol. Macromol. 2022, 201, 158–172. [Google Scholar] [CrossRef]
- Paramasivam, S.K.; Saravanan, A.; Narayanan, S.; Shiva, K.N.; Ravi, I.; Mayilvaganan, M.; Pushpa, R.; Uma, S. Exploring Differences in the Physicochemical, Functional, Structural, and Pasting Properties of Banana Starches from Dessert, Cooking, and Plantain Cultivars (Musa spp.). Int. J. Biol. Macromol. 2021, 191, 1056–1067. [Google Scholar] [CrossRef]
- Ssonko, U.L.; Muranga, F.I. Partial Characterization of Starches from Major Banana (Matooke) Cultivars Grown in Uganda. Food Sci. Nutr. 2017, 5, 1145–1153. [Google Scholar] [CrossRef]
- Zhou, X. Physicochemical Properties and Digestibility of Endosperm Starches in Four Indica Rice Mutants. Carbohydr. Polym. 2018, 195, 1–8. [Google Scholar] [CrossRef]
- Chang, L.; Zhao, N.; Jiang, F.; Ji, X.; Feng, B.; Liang, J.; Yu, X.; Du, S. Structure, Physicochemical, Functional and in Vitro Digestibility Properties of Non-Waxy and Waxy Proso Millet Starches. Int. J. Biol. Macromol. 2023, 224, 594–603. [Google Scholar] [CrossRef]
- Wang, B.; Gao, W.; Kang, X.; Dong, Y.; Liu, P.; Yan, S.; Yu, B.; Guo, L.; Cui, B.; Abd El-Aty, A.M. Structural Changes in Corn Starch Granules Treated at Different Temperatures. Food Hydrocoll. 2021, 118, 106760. [Google Scholar] [CrossRef]
- Ao, Z.; Jane, J. Characterization and Modeling of the A- and B-Granule Starches of Wheat, Triticale, and Barley. Carbohydr. Polym. 2007, 67, 46–55. [Google Scholar] [CrossRef]
- Espinosa-Solis, V.; Sanchez-Ambriz, S.L.; Hamaker, B.R.; Bello-Pérez, L.A. Fine Structural Characteristics Related to Digestion Properties of Acid-treated Fruit Starches. Starch Stärke 2011, 63, 717–727. [Google Scholar] [CrossRef]
- Ren, Y.; Guo, K.; Zhang, B.; Wei, C. Comparison of Physicochemical Properties of Very Small Granule Starches from Endosperms of Dicotyledon Plants. Int. J. Biol. Macromol. 2020, 154, 818–825. [Google Scholar] [CrossRef] [PubMed]
- Sudheesh, C.; Varsha, L.; Sunooj, K.V.; Pillai, S. Influence of Crystalline Properties on Starch Functionalization from the Perspective of Various Physical Modifications: A Review. Int. J. Biol. Macromol. 2024, 280, 136059. [Google Scholar] [CrossRef] [PubMed]
- Liang, C.; Han, Y.; Xu, H.; Liu, D.; Jiang, C.; Li, Q.; Hu, Y.; Xiang, X. The High Molecular Weight and Large Particle Size and High Crystallinity of Starch Increase Gelatinization Temperature and Retrogradation in Glutinous Rice. Carbohydr. Polym. 2025, 348, 122756. [Google Scholar] [CrossRef] [PubMed]
- Li, B.; Chen, X.; Zhang, Y.; Xu, F.; Tan, L.; Wu, G.; Zhu, K.; Zhang, Y. The Multi-Scale Structure and in Vitro Digestive Kinetics of Underutilized Chinese Seedless Breadfruit Starch. Int. J. Biol. Macromol. 2024, 281, 136134. [Google Scholar] [CrossRef] [PubMed]
- Huang, Z.; Li, Y.; Guo, T.; Xu, L.; Yuan, J.; Li, Z.; Yi, C. The Physicochemical Properties and Structure of Mung Bean Starch Fermented by Lactobacillus Plantarum. Foods 2024, 13, 3409. [Google Scholar] [CrossRef] [PubMed]
- Cai, Z.; Jiang, Y.; Wang, F.; Liu, J.; Kan, J.; Zhang, M.; Qi, X.; Li, L.; Zhao, S.; Qian, C. Study on Quality and Starch Characteristics of Powdery and Crispy Lotus Roots. Foods 2024, 13, 3335. [Google Scholar] [CrossRef]
- Li, Y.; Shabani, K.I.; Liu, H.; Guo, Q.; Liu, X. Structural, Physicochemical and Rheological Properties of a Novel Native Starch Obtained from Rhizoma Gastrodiae. Food Struct. 2020, 25, 100148. [Google Scholar] [CrossRef]
- Chen, Z.; Yang, Q.; Yang, Y.; Zhong, H. The Effects of High-Pressure Treatment on the Structure, Physicochemical Properties and Digestive Property of Starch—A Review. Int. J. Biol. Macromol. 2023, 244, 125376. [Google Scholar] [CrossRef]
- Junejo, S.A. Starch Structure and Nutritional Functionality—Past Revelations and Future Prospects. Carbohydr. Polym. 2022, 277, 11837. [Google Scholar] [CrossRef] [PubMed]
- Watanabe, S.; Nishitsuji, Y.; Hayakawa, K.; Shi, Y.-C. Pasting Properties of A-and B-Type Wheat Starch Granules and Annealed Starches in Relation to Swelling and Solubility. Int. J. Biol. Macromol. 2024, 261, 129738. [Google Scholar] [CrossRef]
- Jia, R.; Cui, C.; Gao, L.; Qin, Y.; Ji, N.; Dai, L.; Wang, Y.; Xiong, L.; Shi, R.; Sun, Q. A Review of Starch Swelling Behavior: Its Mechanism, Determination Methods, Influencing Factors, and Influence on Food Quality. Carbohydr. Polym. 2023, 321, 121260. [Google Scholar] [CrossRef] [PubMed]
- Qi, W.; Kong, S.; Li, X.; Peng, Z.; Sun, L.; Wang, Z.; Cheng, J. Insight into Characteristics in Rice Starch under Heat- Moisture Treatment: Focus on the Structure of Amylose/Amylopectin. Food Chem. X 2024, 24, 101942. [Google Scholar] [CrossRef] [PubMed]
- Vamadevan, V.; Bertoft, E. Observations on the Impact of Amylopectin and Amylose Structure on the Swelling of Starch Granules. Food Hydrocoll. 2020, 103, 105663. [Google Scholar] [CrossRef]
- Zhang, B.; Bai, B.; Pan, Y.; Li, X.-M.; Cheng, J.-S.; Chen, H.-Q. Effects of Pectin with Different Molecular Weight on Gelatinization Behavior, Textural Properties, Retrogradation and in Vitro Digestibility of Corn Starch. Food Chem. 2018, 264, 58–63. [Google Scholar] [CrossRef]
- Ye, J.; Yang, R.; Liu, C.; Luo, S.; Chen, J.; Hu, X.; Wu, J. Improvement in Freeze-Thaw Stability of Rice Starch Gel by Inulin and Its Mechanism. Food Chem. 2018, 268, 324–333. [Google Scholar] [CrossRef] [PubMed]
- Zhang, Y.; Zhu, K.; He, S.; Tan, L.; Kong, X. Characterizations of High Purity Starches Isolated from Five Different Jackfruit Cultivars. Food Hydrocoll. 2016, 52, 785–794. [Google Scholar] [CrossRef]
- Zhang, Y.; Li, B.; Xu, F.; He, S.; Zhang, Y.; Sun, L.; Zhu, K.; Li, S.; Wu, G.; Tan, L. Jackfruit Starch: Composition, Structure, Functional Properties, Modifications and Applications. Trends Food Sci. Technol. 2021, 107, 268–283. [Google Scholar] [CrossRef]
- Alimi, B.A.; Workneh, T.S.; Oke, M.O. Effect of Hydrothermal Modifications on the Functional, Pasting and Morphological Properties of South African Cooking Banana and Plantain. CyTA-J. Food 2016, 14, 489–495. [Google Scholar] [CrossRef]
- Demiate, I.M.; Figueroa, A.M.; Zortéa Guidolin, M.E.B.; Rodrigues Dos Santos, T.P.; Yangcheng, H.; Chang, F.; Jane, J. Physicochemical Characterization of Starches from Dry Beans Cultivated in Brazil. Food Hydrocoll. 2016, 61, 812–820. [Google Scholar] [CrossRef]
- Falade, K.O.; Okafor, C.A. Physicochemical Properties of Five Cocoyam (Colocasia esculenta and Xanthosoma sagittifolium) Starches. Food Hydrocoll. 2013, 30, 173–181. [Google Scholar] [CrossRef]
- Oyeyinka, S.A.; Adeloye, A.A.; Olaomo, O.O.; Kayitesi, E. Effect of Fermentation Time on Physicochemical Properties of Starch Extracted from Cassava Root. Food Biosci. 2020, 33, 100485. [Google Scholar] [CrossRef]
- Geng, D.-H.; Tang, N.; Zhang, X.; Zhao, M.; Jia, X.; Cheng, Y. Insights into the Textural Properties and Starch Digestibility on Rice Noodles as Affected by the Addition of Maize Starch and Rice Starch. LWT 2023, 173, 114265. [Google Scholar] [CrossRef]
- Zhang, Y.; Hu, M.; Zhu, K.; Wu, G.; Tan, L. Functional Properties and Utilization of Artocarpus Heterophyllus Lam Seed Starch from New Species in China. Int. J. Biol. Macromol. 2018, 107, 1395–1405. [Google Scholar] [CrossRef] [PubMed]
- Shi, M.; Song, X.; Chen, J.; Ji, X.; Yan, Y. Effect of Oat Beta-Glucan on Physicochemical Properties and Digestibility of Fava Bean Starch. Foods 2024, 13, 2046. [Google Scholar] [CrossRef] [PubMed]
- Zhang, Z.; Zhu, M.; Xing, B.; Liang, Y.; Zou, L.; Li, M.; Fan, X.; Ren, G.; Zhang, L.; Qin, P. Effects of Extrusion on Structural Properties, Physicochemical Properties and in Vitro Starch Digestibility of Tartary Buckwheat Flour. Food Hydrocoll. 2023, 135, 108197. [Google Scholar] [CrossRef]
- Shumoy, H.; Raes, K. In Vitro Starch Hydrolysis and Estimated Glycemic Index of Tef Porridge and Injera. Food Chem. 2017, 229, 381–387. [Google Scholar] [CrossRef] [PubMed]
- Bertoft, E.; Annor, G.A.; Shen, X.; Rumpagaporn, P.; Seetharaman, K.; Hamaker, B.R. Small Differences in Amylopectin Fine Structure May Explain Large Functional Differences of Starch. Carbohydr. Polym. 2016, 140, 113–121. [Google Scholar] [CrossRef] [PubMed]
- Gourilekshmi, S.S.; Jyothi, A.N.; Sreekumar, J. Physicochemical and Structural Properties of Starch from Cassava Roots Differing in Growing Duration and Ploidy Level. Starch Stärke 2020, 72, 1900237. [Google Scholar] [CrossRef]







| Sample | Moisture/% | Protein/(%, db) | Fat/(%, db) | Ash/(%, db) | Total Starch/(%, db) | Amylose Content/(%, db) | 
|---|---|---|---|---|---|---|
| NS | 2.85 ± 0.01 a | 0.30 ± 0.03 a | 0.15 ± 0.01 c | 0.13 ± 0.00 a | 95.11 ± 0.18 bc | 30.42 ± 0.77 c | 
| DS | 2.20 ± 0.00 d | 0.18 ± 0.00 b | 0.16 ± 0.00 c | 0.07 ± 0.01 b | 98.59 ± 0.92 a | 49.94 ± 0.15 b | 
| GS | 2.38 ± 0.02 c | 0.16 ± 0.04 b | 0.25 ± 0.06 b | 0.08 ± 0.02 b | 94.16 ± 0.96 c | 21.97 ± 0.31 d | 
| OS | 2.25 ± 0.02 d | 0.21 ± 0.04 ab | 0.16 ± 0.01 c | 0.12 ± 0.00 a | 96.30 ± 0.14 b | 30.67 ± 0.09 c | 
| HS | 2.47 ± 0.00 b | 0.21 ± 0.10 ab | 0.42 ± 0.03 a | 0.08 ± 0.02 b | 95.41 ± 0.50 bc | 55.46 ± 0.60 a | 
| Sample | Short-Ordered Parameters | |
|---|---|---|
| DO(R1047/1022) | DD(R955/1022) | |
| NS | 2.55 ± 0.20 b | 3.37 ± 0.49 b | 
| DS | 3.37 ± 0.04 a | 4.67 ± 0.03 a | 
| GS | 2.46 ± 0.13 b | 3.27 ± 0.13 b | 
| OS | 2.49 ± 0.24 b | 2.65 ± 0.42 b | 
| HS | 2.69 ± 0.10 b | 4.36 ± 0.06 a | 
| Properties | Sample | ||||
|---|---|---|---|---|---|
| NS | DS | GS | OS | HS | |
| To (°C) | 60.22 ± 1.02 a | 58.26 ± 0.57 b | 57.41 ± 0.10 bc | 57.11 ± 0.16 c | 53.31 ± 0.33 d | 
| Tp (°C) | 65.53 ± 0.52 a | 63.37 ± 0.12 b | 63.03 ± 0.20 b | 61.34 ± 0.13 c | 57.33 ± 0.11 d | 
| Tc (°C) | 76.32 ± 0.13 a | 69.85 ± 0.42 b | 68.50 ± 0.08 c | 66.85 ± 0.09 d | 62.82 ± 0.19 e | 
| To-Tc (°C) | 16.10 ± 0.98 a | 11.59 ± 0.91 b | 11.09 ± 0.09 b | 9.73 ± 0.09 c | 9.51 ± 0.17 c | 
| ΔH (J·g−1) | −12.40 ± 0.14 d | −5.95 ± 0.07 a | −7.83 ± 0.08 c | −7.59 ± 0.16 b | −7.48 ± 0.15 b | 
| Peak viscosity (cP) | 6568 ± 18 b | 5895 ± 98 d | 6804 ± 50 a | 6448 ± 135 b | 6204 ± 43 c | 
| Trough viscosity (cP) | 4067 ± 1 b | 3540 ± 16 c | 4067 ± 16 b | 4149 ± 22 a | 2893 ± 34 d | 
| Breakdown (cP) | 2538 ± 35 bc | 2355 ± 86 cd | 2720 ± 90 b | 2295 ± 140 d | 3300 ± 100 a | 
| Final viscosity (cP) | 4521 ± 11 b | 4380 ± 27 c | 4577 ± 1 a | 4607 ± 30 a | 3848 ± 27 d | 
| Setback viscosity (cP) | 464 ± 1 c | 840 ± 33 b | 510 ± 14 c | 459 ± 31 c | 955 ± 44 a | 
| Peak time (min) | 4.73 ± 0.01 a | 4.17 ± 0.03 c | 4.50 ± 0.04 b | 4.60 ± 0.04 ab | 4.00 ± 0.16 c | 
| Setback viscosity (°C) | 74.30 ± 0.07 b | 76.70 ± 0.85 a | 73.10 ± 0.57 b | 74.15 ± 0.85 b | 69.40 ± 0.71 c | 
| Hardness | 148 ± 2 d | 245 ± 7 b | 193 ± 9 c | 188 ± 8 c | 299 ± 13 a | 
| Adhesiveness (g·s−1) | −467 ± 36 b | −429 ± 42 b | −438 ± 42 b | −166 ± 23 a | −458 ± 26 b | 
| Springiness | 0.84 ± 0.00 c | 0.98 ± 0.02 ab | 0.84 ± 0.04 c | 0.98 ± 0.02 a | 0.88 ± 0.07 bc | 
| Cohesiveness (g) | 0.47 ± 0.01 a | 0.43 ± 0.01 ab | 0.46 ± 0.02 a | 0.40 ± 0.03 b | 0.41 ± 0.02 b | 
| Gumminess (g) | 70.01 ± 0.31 a | 106.94 ± 0.59 b | 87.48 ± 0.32 c | 75.80 ± 0.23 d | 121.73 ± 0.22 a | 
| Cohesiveness | 59.04 ± 0.20 c | 105.80 ± 1.65 a | 73.50 ± 3.38 b | 74.64 ± 0.31 b | 107.93 ± 0.64 a | 
| Resilience (g) | 0.07 ± 0.00 a | 0.08 ± 0.00 a | 0.06 ± 0.01 a | 0.06 ± 0.01 a | 0.07 ± 0.03 a | 
| Sample | C∞ (%) | k1 × 10−2 (min−1) | k2 × 10−2 (min−1) | RDS (%) | SDS (%) | RS (%) | GI | 
|---|---|---|---|---|---|---|---|
| NS | 12.25 ± 0.07 b | 2.84 ± 0.55 b | 1.11 ± 0.09 b | 3.06 ± 0.00 b | 7.31 ± 0.04 ab | 89.63 ± 0.04 b | 58.81 ± 0.04 c | 
| DS | 9.44 ± 0.30 c | 0.51 ± 0.13 e | 1.23 ± 0.12 a | 1.81 ± 0.31 c | 5.13 ± 0.05 c | 93.05 ± 0.08 a | 53.44 ± 0.39 d | 
| GS | 12.86 ± 0.19 b | 4.19 ± 0.68 a | 0.72 ± 0.07 e | 3.14 ± 0.00 ab | 7.22 ± 0.22 b | 89.64 ± 0.22 c | 58.77 ± 0.28 c | 
| OS | 14.34 ± 0.20 a | 1.92 ± 0.22 d | 0.92 ± 0.04 d | 3.58 ± 0.34 a | 8.12 ± 0.27 a | 88.30 ± 0.07 b | 62.92 ± 0.45 a | 
| HS | 12.83 ± 0.56 b | 2.20 ± 0.39 c | 0.99 ± 0.07 c | 3.32 ± 0.27 ab | 7.63 ± 0.14 b | 89.05 ± 0.14 b | 60.62 ± 0.35 b | 
| Disclaimer/Publisher’s Note: The statements, opinions and data contained in all publications are solely those of the individual author(s) and contributor(s) and not of MDPI and/or the editor(s). MDPI and/or the editor(s) disclaim responsibility for any injury to people or property resulting from any ideas, methods, instructions or products referred to in the content. | 
© 2025 by the authors. Licensee MDPI, Basel, Switzerland. This article is an open access article distributed under the terms and conditions of the Creative Commons Attribution (CC BY) license (https://creativecommons.org/licenses/by/4.0/).
Share and Cite
Yuan, D.; Zhang, Y.; Chen, X.; Xu, F.; Zhu, K.; Wang, J.; Zhang, Y. Physicochemical, Structural, and Digestive Properties of Green Banana Starch from Five Chinese Mutant Banana Species. Foods 2025, 14, 706. https://doi.org/10.3390/foods14040706
Yuan D, Zhang Y, Chen X, Xu F, Zhu K, Wang J, Zhang Y. Physicochemical, Structural, and Digestive Properties of Green Banana Starch from Five Chinese Mutant Banana Species. Foods. 2025; 14(4):706. https://doi.org/10.3390/foods14040706
Chicago/Turabian StyleYuan, Dexian, Yutong Zhang, Xiaoai Chen, Fei Xu, Kexue Zhu, Jinling Wang, and Yanjun Zhang. 2025. "Physicochemical, Structural, and Digestive Properties of Green Banana Starch from Five Chinese Mutant Banana Species" Foods 14, no. 4: 706. https://doi.org/10.3390/foods14040706
APA StyleYuan, D., Zhang, Y., Chen, X., Xu, F., Zhu, K., Wang, J., & Zhang, Y. (2025). Physicochemical, Structural, and Digestive Properties of Green Banana Starch from Five Chinese Mutant Banana Species. Foods, 14(4), 706. https://doi.org/10.3390/foods14040706
 
        



 
       