Effects of Different Kinds of Fruit Juice on Flavor Quality and Hypoglycemic Activity of Black Tea
Abstract
1. Introduction
2. Materials and Methods
2.1. Materials
2.2. Instruments
2.3. Preparation of Fresh Fruit Juice Containing Polyphenol Oxidase (PPO)
2.4. Determination of PPO Activity
2.5. Processing of Fruity Black Tea
2.6. Sensory Evaluation of Fruity Black Tea
2.7. Inhibition of α-Amylase Activity by Fruity Black Tea Samples
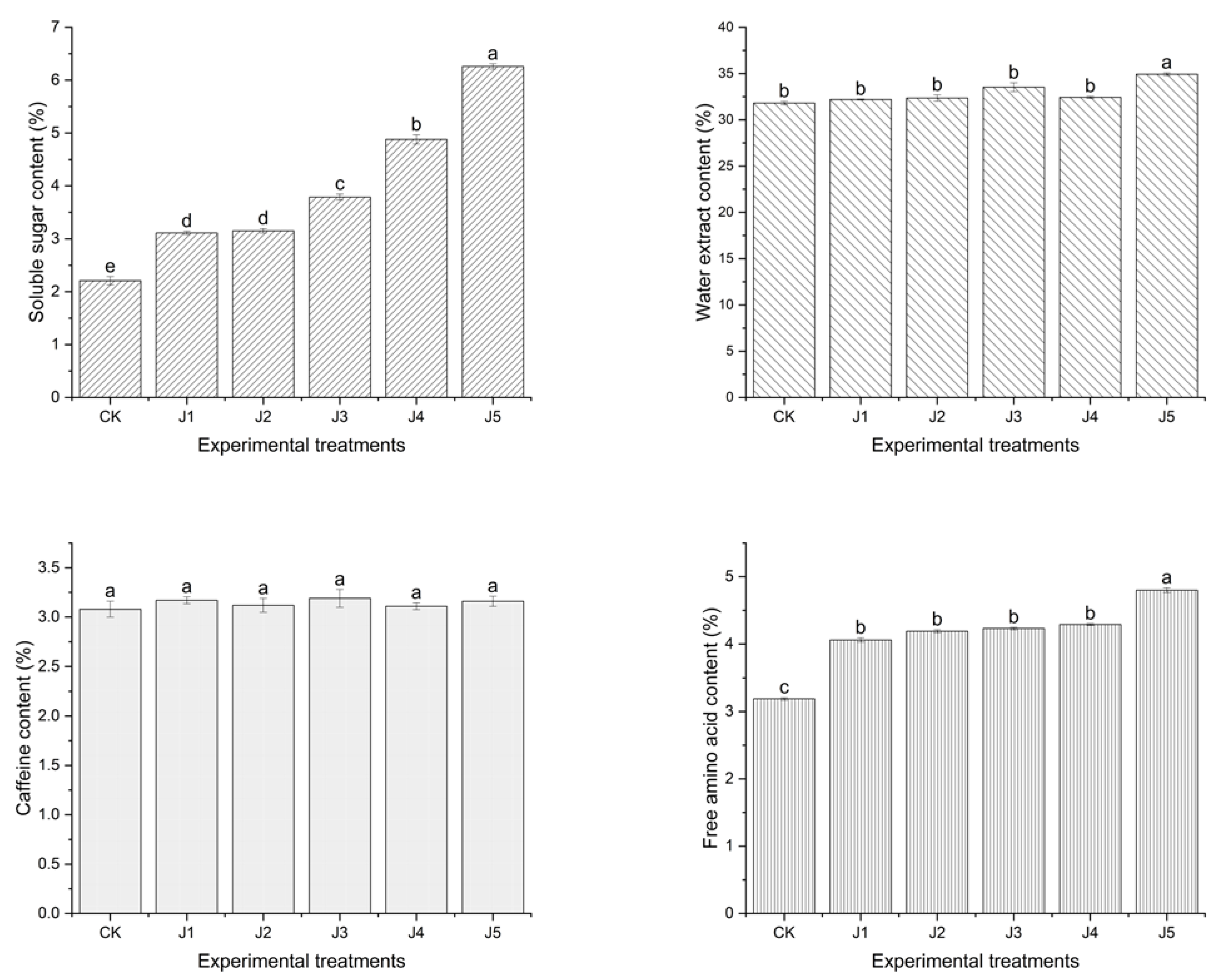
2.8. Determination of Water Extracts, Total Polyphenols, Total Amino Acids, Caffeine and Soluble Sugar
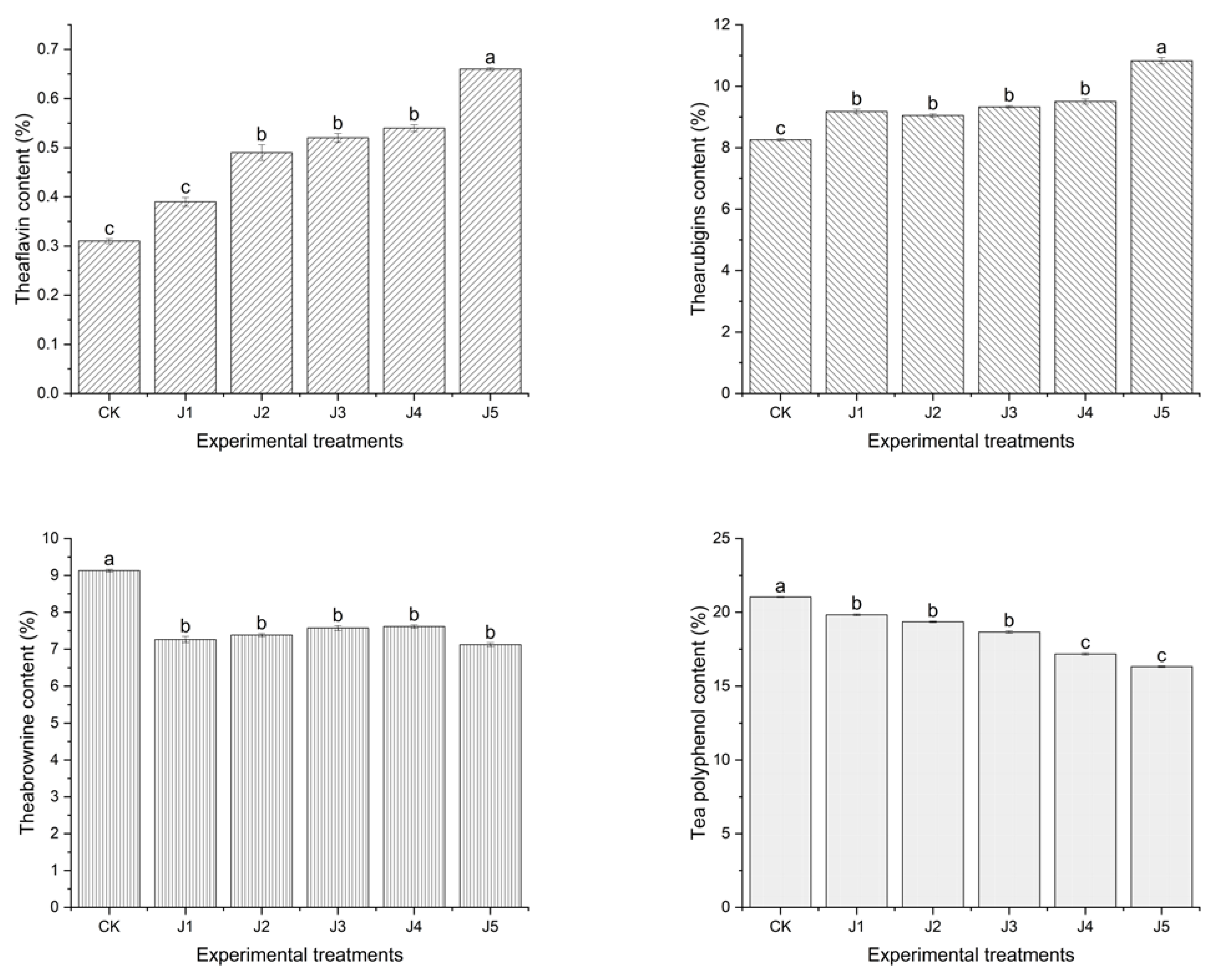
2.9. Determination of Theaflavins, Thearubigins and Theobromines of Fruit Black Tea
2.10. Data Processing
3. Results and Discussion
3.1. Sensory Quality Analysis of Fruit Black Tea Processed from Different Kinds of Juice
3.2. Differences in Polyphenol Oxidase of Black Tea Processed with Different Juices
3.3. Analysis of Flavor Substances of Fruit Black Tea Processed from Different Kinds of Juice
3.4. Content Analysis of Tea Polyphenols and Their Oxidized Polymers of Fruit Black Tea Processed from Different Kinds of Juice
3.5. Inhibition of α-Amylase Activity of Fruit Black Tea Processed from Different Kinds of Juice
4. Conclusions
Author Contributions
Funding
Institutional Review Board Statement
Informed Consent Statement
Data Availability Statement
Conflicts of Interest
References
- Dong, S.S.; Wu, S.T.; He, R.X.; Hao, F.Y.; Xu, P.; Cai, M.Y.; Yu, M.; Zhong, R.M.; Fang, X. Improving quality profiles of summer-autumn tea through the synergistic fermentation with three fungal strains. Food Biosci. 2024, 62, e105453. [Google Scholar] [CrossRef]
- Zheng, X.D.; Xu, S.S.; Yang, Z.C.; Sun, L.; Xu, X.F.; Mu, D.D.; Chen, X.S.; Li, X.J. Mechanisms of single and mixed microbial fermentation to improve summer-autumn green tea. Food Biosci. 2024, 61, e104830. [Google Scholar] [CrossRef]
- Zhou, Z.W.; Wu, Q.Y.; Chen, L.Q.; Ruan, S.L.; Yang, Z.Y.; Sun, Y.; Aikebaier, R. Comparison of different grades of innovative Tanyang Congou black tea (Minkehong) based on metabolomics and sensory evaluation. Horticulturae 2024, 10, 374. [Google Scholar] [CrossRef]
- Gao, C.; Huang, Y.; Li, J.; Lyu, S.; Wang, Z.; Xie, F.; Luo, Y.; Zhang, F.; Chen, Z.; Sun, W. Relationship between the grade and the characteristic flavor of PCT (Panyong Congou Black Tea). Foods 2022, 11, 2815. [Google Scholar] [CrossRef]
- Yener, S.; Sanchez-lopez, J.A.; Granitto, P.M.; Cappellin, L.; Märk, T.D.; Zimmermann, R.; Bonn, G.K.; Yeretzian, C.; Biasioli, F. Rapid and direct volatile compound profiling of black and green teas (Camellia sinensis) from different countries with PTR-ToF-MS. Talanta 2016, 152, 45–53. [Google Scholar] [CrossRef] [PubMed]
- Huang, W.J.; Fang, S.M.; Su, Y.L.; Xia, D.; Wu, Y.; Liu, Q.; Zou, L.; Lu, C.; Deng, W.W.; Ning, J. Insights into the mechanism of different withering methods on flavor formation of black tea based on target metabolomics and transcriptomics. LWT 2023, 189, e115537. [Google Scholar] [CrossRef]
- Yang, Y.F.; Wang, Y.W.; Lin, J.Z. Effect of oxygen on black tea quality and optimization of oxygen-enriched fermentation process. Sci. Technol. Food Ind. 2023, 44, 199–207. (In Chinese) [Google Scholar]
- Zhang, S.; Jiang, X.; Li, C.; Qiu, L.; Chen, Y.; Yu, Z.; Ni, D. Effect of fermentation humidity on quality of Congou black tea. Foods 2023, 12, e1726. [Google Scholar] [CrossRef] [PubMed]
- Hua, J.; Wang, H.; Yuan, H.; Yin, P.; Wang, J.; Guo, G.; Jiang, Y. New insights into the effect of fermentation temperature and duration on catechins conversion and formation of tea pigments and theasinensins in black tea. J. Sci. Food Agric. 2022, 102, 2750–2760. [Google Scholar] [CrossRef]
- Peleg, H.; Gacon, K.; Schlich, P.; Noble, A.C. Bitterness and astringency of flavan-3-ol monomers, dimers and trimers. J. Sci. Food Agric. 1999, 79, 1123–1128. [Google Scholar] [CrossRef]
- Wang, H.; Shen, S.; Wang, J.; Jiang, Y.; Li, J.; Yang, Y.; Hua, J.; Yuan, H. Novel insight into the effect of fermentation time on quality of Yunnan Congou black tea. LWT 2022, 155, e112939. [Google Scholar] [CrossRef]
- Obanda, M.; Okinda, P.; Mangoka, R. Changes in the chemical and sensory quality parameters of black tea due to variations of fermentation time and temperature. Food Chem. 2001, 75, 395–404. [Google Scholar] [CrossRef]
- Samanta, T.; Cheeni, V.; Das, S.; Roy, A.B.; Ghosh, B.C.; Mitra, A. Assessing biochemical changes during standardization of fermentation time and temperature for manufacturing quality black tea. J. Food Sci. Technol. 2015, 52, 2387–2393. [Google Scholar] [CrossRef]
- Qu, F.; Zeng, W.; Tong, X.; Feng, W.; Chen, Y.; Ni, D. The new insight into the influence of fermentation temperature on quality and bioactivities of black tea. LWT 2020, 117, 108646. [Google Scholar] [CrossRef]
- Qiao, X.Y.; Zhang, S.H.; He, S.N.; Liu, S.A. Urate oxidase treatment increases the quality of autumn Yellowish Yinghong 9 black tea. LWT 2023, 184, e115092. [Google Scholar] [CrossRef]
- Tanaka, T.; Matsuo, Y.; Kouno, I. Chemistry of secondary polyphenols produced during processing of tea and selected foods. Int. J. Mol. Sci. 2009, 11, 14–40. [Google Scholar] [CrossRef]
- Panada, R.; Rathod, V.K. Extraction and purification of polyphenol oxidase: A review. Biocatal. Agric. Biotech. 2018, 14, 431–437. [Google Scholar] [CrossRef]
- Ye, F.; Gao, S.W.; Gong, Z.M. Effect of sand pear polyphenol oxidase treatment on the quality of black tea in summer and fall. Food Sci. 2013, 34, 92–95. (In Chinese) [Google Scholar]
- Zhou, L.; Liu, W.; Terefe, N.S. The inactivation kinetics of soluble and membrane-bound polyphenol oxidase in pear during thermal and high-pressure processing. Food Bioprocess Tech. 2018, 11, 1039–1049. [Google Scholar] [CrossRef]
- Jin, G.; Wang, Y.; Li, M.; Li, T.; Huang, W.; Li, L.; Deng, W.W.; Ning, J. Rapid and real-time detection of black tea fermentation quality by using an inexpensive data fusion system. Food Chem. 2021, 358, e129815. [Google Scholar] [CrossRef] [PubMed]
- Ouyang, Q.; Yang, Y.C.; Wu, J.Z.; Liu, Z.; Chen, X.; Dong, C.; Chen, Q.; Zhang, Z.; Guo, Z. Rapid sensing of total theaflavins content in black tea using a portable electronic tongue system coupled to efficient variables selection algorithms. J. Food Compos. Anal. 2019, 75, 43–48. [Google Scholar] [CrossRef]
- Stodt, U.W.; Blauth, N.; Niemann, S.; Stark, J.; Pawar, V.; Jayaraman, S.; Koek, J.; Engelhardt, U.H. Investigation of processes in black tea manufacture through modelfermentation (oxidation) experiments. J. Agric. Food Chem. 2014, 62, 7854–7861. [Google Scholar] [CrossRef]
- Lee, L.S.; Kim, M.Y.C.; Park, J.D.; Kim, Y.B.; Kim, S.H. Changes in major polyphenolic compounds of tea (Camellia sinensis) leaves during the production of black tea. Food Sci. Biotechnol. 2016, 25, 1523–1527. [Google Scholar] [CrossRef] [PubMed]
- Scharberts, S.; Hofmann, T. Molecular definition of black tea taste by means of quantitative studies, taste reconstitution, and omission experiments. J. Agr. Food Chem. 2005, 53, 5377–5384. [Google Scholar] [CrossRef] [PubMed]
- Zhu, J.; Wang, J.; Yuan, H.; Ouyang, W.; Li, J.; Hua, J.; Jiang, Y. Effects of Fermentation temperature and time on the color attributes and tea pigments of Yunnan Congou black Tea. Foods 2022, 11, 1845. [Google Scholar] [CrossRef]
- Li, M.; Dong, Y.; Kang, M.; Tao, T.; Li, W.; Zhang, S.; Quan, W.; Liu, Z. Potential anti-hyperglycemic activity of black tea theaflavins through inhibiting α-amylase. Food Chem. X 2024, 22, e101296. [Google Scholar] [CrossRef]
- Jiang, Y.; Hua, J.; Wang, B.; Yuan, H.; Ma, H. Effects of Variety, Season, and Region on Theaflavins Content of Fermented Chinese Congou Black Tea. J. Food Qual. 2018, 2018, e5427302. [Google Scholar] [CrossRef]
- Zhang, J.Y.; Cui, H.C.; Feng, Z.H.; Wang, W.W.; Zhao, Y.; Deng, Y.L.; Jiang, H.Y.; Yin, J.F.; Engelhardt, U.H. Bitterness quantification and simulated taste mechanism of theasinensin A from tea. Front. Nutr. 2023, 10, e1138023. [Google Scholar] [CrossRef] [PubMed]
- Luo, Q.X.; Luo, L.B.; Zhao, J.M.; Wang, Y.T.; Luo, H. Biological potential and mechanisms of Tea’s bioactive compounds: An Updated review. J. Adv. Res. 2024, 65, 345–363. [Google Scholar] [CrossRef] [PubMed]
- Li, G.; Zhang, J.; Cui, H.; Gao, Y.; Niu, D.; Yin, J. Effect of fermentation temperature on the non-volatile components and in vitro hypoglycemic activity of Jinxuan black tea. Front. Nutr. 2024, 11, e1498605. [Google Scholar] [CrossRef] [PubMed]
- Tao, S.; Chen, G.; Xu, W.; Peng, Y.; Wan, P.; Sun, Y.; Zeng, X.; Liu, Z. Preparation of theasinensin A and theasinensin B and exploration of their inhibitory mechanism on α-glucosidase. Food Funct. 2020, 11, 3527–3538. [Google Scholar] [CrossRef] [PubMed]
- Xu, W.; Huang, Y.; Zhou, W.; Peng, Y.; Kan, X.; Dong, W.; Chen, G.; Zeng, X.; Liu, Z. Theasinensin A attenuated diabetic development by restoring glucose homeostasis, improving hepatic steatosis and modulating gut microbiota in high-fat-diet/streptozotocin-induced diabetic mice. Food Sci. Hum. Well. 2023, 12, 2073–2086. [Google Scholar] [CrossRef]
- Li, G.; Zhang, J.; Cui, H.; Feng, Z.; Gao, Y.; Wang, Y.; Chen, J.; Xu, Y.; Niu, D.; Yin, J. Research progress on the effect and mechanism of tea products with Different Fermentation Degrees in Regulating Type 2 Diabetes Mellitus. Foods 2024, 13, 221. [Google Scholar] [CrossRef] [PubMed]
- GB/T23776–2018; State Food and Drug Administration, National Health and Family Planning Commission of the People’s Republic of China. Standards Press of China: Beijing, China, 2018.
- GB/T 8305-2013; State Food and Drug Administration, National Health and Family Planning Commission of the People’s Republic of China. Standards Press of China: Beijing, China, 2013.
- GB/T 8314-2013; State Food and Drug Administration, National Health and Family Planning Commission of the People’s Republic of China. Standards Press of China: Beijing, China, 2013.
- GB/T 8313-2018; State Food and Drug Administration, National Health and Family Planning Commission of the People’s Republic of China. Standards Press of China: Beijing, China, 2018.





| Sample | Tea Appearance | Tea Infusion Color | Tea Infusion Aroma | Tea Infusion | Tea Residual | Total Score | |||||
|---|---|---|---|---|---|---|---|---|---|---|---|
| Description | Score (10%) | Description | Score (20%) | Description | Score (35%) | Description | Score (35%) | Description | Score (10%) | ||
| Black tea without juice (CK) | tight knot and slightly gold | 87.0 ± 0.1 c | orange-red and brighter | 90.2 ± 0.1 d | highly fresh and slightly astringent | 88.0 ± 0.7 d | rich and mellow | 88.1 ± 0.4 d | Red, soft, bright, more uniform | 89.1 ± 0.4 d | 88.1 ± 0.7 d |
| Black tea with banana juice (J1) | tight knot and slightly gold | 88.0 ± 0.2 b | orange-red and brighter | 92.1 ± 0.8 c | highly fresh and slightly sweet | 88.1 ± 0.4 e | fresh and mellow | 89.3 ± 0.3 c | red, soft, bright and still well-balanced. | 90.3 ± 0.3 c | 89.0 ± 0.4 c |
| Black tea with apple juice (J2) | fine, even emerald green | 89.2 ± 0.1 a | intense green | 93.0 ± 0.5 b | highly fresh, slightly fruity | 89.1 ± 0.2 d | fresh and mellow, slightly sweet | 89.2 ± 0.6 c | red, soft, bright and even | 91.2 ± 0.6 b | 89.3 ± 0.2 c |
| Black tea with fragrant pear juice (J3) | fine, even emerald green | 88.1 ± 0.3 b | intense green | 92.2 ± 0.2 c | highly fresh, slightly fruity | 91.1 ± 0.3 b | fresh and mellow, slightly sweet | 90.4 ± 0.5 b | red, soft, bright and even | 92.3 ± 0.5 a | 90.1 ± 0.5 b |
| Black tea with Sydney pear juice (J4) | fine, even emerald green | 89.1 ± 0.4 a | intense green | 93.2 ± 0.6 b | highly fresh, fruity | 90.1 ± 0.5 c | fresh and mellow, sweet | 90.1 ± 0.7 b | red, soft, bright and even | 92.4 ± 0.7 a | 90.3 ± 0.6 b |
| Black tea with crown pear juice (J5) | tight knot and slightly gold | 89.2 ± 0.2 a | orange-red and brighter | 94.3 ± 0.6 a | highly fresh and more sweet | 92.0 ± 0.5 a | more fresh, rich and mellow, more sweet | 92.4 ± 0.7 a | red, soft, bright and still well-balanced | 92.6 ± 0.7 a | 91.5 ± 0.6 a |
Disclaimer/Publisher’s Note: The statements, opinions and data contained in all publications are solely those of the individual author(s) and contributor(s) and not of MDPI and/or the editor(s). MDPI and/or the editor(s) disclaim responsibility for any injury to people or property resulting from any ideas, methods, instructions or products referred to in the content. |
© 2025 by the authors. Licensee MDPI, Basel, Switzerland. This article is an open access article distributed under the terms and conditions of the Creative Commons Attribution (CC BY) license (https://creativecommons.org/licenses/by/4.0/).
Share and Cite
Cui, H.; Mao, Y.; Zhao, Y.; Huang, W.; Zhang, J. Effects of Different Kinds of Fruit Juice on Flavor Quality and Hypoglycemic Activity of Black Tea. Foods 2025, 14, 588. https://doi.org/10.3390/foods14040588
Cui H, Mao Y, Zhao Y, Huang W, Zhang J. Effects of Different Kinds of Fruit Juice on Flavor Quality and Hypoglycemic Activity of Black Tea. Foods. 2025; 14(4):588. https://doi.org/10.3390/foods14040588
Chicago/Turabian StyleCui, Hongchun, Yuxiao Mao, Yun Zhao, Weihong Huang, and Jianyong Zhang. 2025. "Effects of Different Kinds of Fruit Juice on Flavor Quality and Hypoglycemic Activity of Black Tea" Foods 14, no. 4: 588. https://doi.org/10.3390/foods14040588
APA StyleCui, H., Mao, Y., Zhao, Y., Huang, W., & Zhang, J. (2025). Effects of Different Kinds of Fruit Juice on Flavor Quality and Hypoglycemic Activity of Black Tea. Foods, 14(4), 588. https://doi.org/10.3390/foods14040588

