The Effect of the Use of Unconventional Solutions for Osmotic Dehydration on Selected Properties of Fresh-Cut Oranges
Abstract
1. Introduction
2. Materials and Methods
2.1. Experimental Conditions, Protocol and Materials
2.2. Technological Methods
2.2.1. Preparation of Osmotic Solutions
2.2.2. Osmotic Dehydration
2.3. Analytical Methods
2.3.1. Dry Matter Content
2.3.2. Water Activity
2.3.3. Total Soluble Solids
2.3.4. Color
2.3.5. Texture
2.3.6. Determination of Sugar Content
2.3.7. Determination of Vitamin C Content
2.3.8. Determination of Total Polyphenol Content
2.3.9. Antioxidant Activity
- Preparation of the ABTS•+ reagent solution
- Preparation of the ABTS•+ stock solution
- Determination of Antioxidant Capacity Against ABTS Radicals
- Determination of Antioxidant Capacity as the Reduction of Iron (III)
2.3.10. Determination of Carotenoid Content
2.3.11. Microstructure
2.3.12. Organoleptic Assessment
2.3.13. Statistical Analysis
3. Results and Discussion
3.1. The Effect of Unconventional Solutions on the Kinetics of the Osmotic Dehydration Process of Orange Slices
3.1.1. The Effect of Unconventional Solutions on Weight Loss, Water Loss and Solid Gain During the Osmotic Dehydration Process of Orange Slices
3.1.2. The Effect of Unconventional Solutions on the Effectiveness of the Osmotic Dehydration Process of Orange Slices
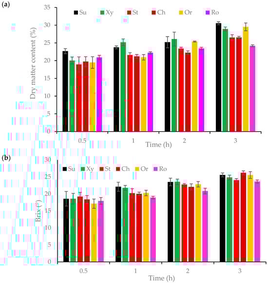
3.2. The Effect of Unconventional Solutions on the Dry Matter Content, Water Activity and Total Soluble Solids of the Osmotic Dehydration Process of Orange Slices
3.3. The Effect of Unconventional Solutions on the Color of the Osmotic Dehydration Process of Orange Slices
3.4. The Effect of Unconventional Solutions on the Texture of the Osmotic Dehydration Process of Orange Slices
3.5. The Effect of Unconventional Solutions on the Sugar Content of the Osmotic Dehydration Process of Orange Slices
3.6. The Effect of Unconventional Solutions on the Bioactive Compounds of the Osmotic Dehydration Process of Orange Slices
3.6.1. Vitamin C Content
3.6.2. Total Polyphenols Content
3.6.3. Antioxidant Activity
3.6.4. Carotenoid Content
3.7. The Effect of Unconventional Solutions on the Microstructure of the Osmotic Dehydration Process of Orange Slices
3.8. The Effect of Unconventional Solutions on the Organoleptic Assessment of the Osmotic Dehydration Process of Orange Slices
3.9. The Principal Component Analysis
4. Conclusions
Supplementary Materials
Author Contributions
Funding
Institutional Review Board Statement
Informed Consent Statement
Data Availability Statement
Acknowledgments
Conflicts of Interest
References
- Liu, Y.; Heying, E.; Tanumihardjo, S. History, Global Distribution, and Nutritional Importance of Citrus Fruits. Compr. Rev. Food Sci. Food Saf. 2012, 11, 530–545. [Google Scholar] [CrossRef]
- Cirrincione, F.; Ferranti, P.; Ferrara, A.; Romano, A. A critical evaluation on the valorization strategies to reduce and reuse orange waste in bakery industry. Food Res. Int. 2024, 187, 114422. [Google Scholar] [CrossRef] [PubMed]
- Monday Akusu, O.; Barine Kiin-Kabari, D.; Onyedikachi Ebere, C. Quality Characteristics of Orange/Pineapple Fruit Juice Blends. Am. J. Food Sci. Technol. 2016, 4, 43–47. [Google Scholar]
- Farag, M.A.; Abib, B.; Ayad, L.; Khattab, A.R. Sweet and bitter oranges: An updated comparative review of their bioactives, nutrition, food quality, therapeutic merits and biowaste valorization practices. Food Chem. 2020, 331, 127306. [Google Scholar] [CrossRef] [PubMed]
- Borghi, S.M.; Pavanelli, W.R. Antioxidant Compounds and Health Benefits of Citrus Fruits. Antioxidants 2023, 12, 1526. [Google Scholar] [CrossRef]
- Zacarías-García, J.; Pérez-Través, L.; Gil, J.-V.; Rodrigo, M.-J.; Zacarías, L. Bioactive Compounds, Nutritional Quality and Antioxidant Capacity of the Red-Fleshed Kirkwood Navel and Ruby Valencia Oranges. Antioxidants 2022, 11, 1905. [Google Scholar] [CrossRef] [PubMed]
- Sahar, A.; ur Rahman, U.; Ishaq, A.; Munir, M.S.; Aadil, R.M. Health-Promoting Perspectives of Fruit-Based Functional Energy Beverages. In Sports and Energy Drinks; Grumezescu, A.M., Holban, A.M., Eds.; Woodhead Publishing: Sawston, UK, 2019; pp. 399–439. [Google Scholar]
- Barth, M.; Hankinson, T.; Zhuang, H.; Breidt, F. Microbiological Spoilage of Fruits and Vegetables. In Compendium of the Microbiological Spoilage of Foods and Beverages; Springer: New York, NY, USA, 2010. [Google Scholar] [CrossRef]
- Abrahão, F.; Corrêa, J. Osmotic dehydration: More than water loss and solid gain. Crit. Rev. Food Sci. Nutr. 2021, 63, 2970–2989. [Google Scholar] [CrossRef] [PubMed]
- Rashid, R.; Roy, S.; Maqbool, N.; Bhat, N.; Altaf, F.; Yadav, A.; Makroo, H.; Aijaz, T. Recent developments in ultrasonication assisted osmotic dehydration of food materials: A review. Food Humanit. 2024, 2, 100195. [Google Scholar] [CrossRef]
- Kowalska, H.; Marzec, A.; Domian, E.; Kowalska, J.; Ciurzyńska, A.; Galus, S. Edible coatings as osmotic dehydration pretreatment in nutrient-enhanced fruit or vegetable snacks development: A review. Compr. Rev. Food Sci. Food Saf. 2021, 20, 5641–5674. [Google Scholar] [CrossRef]
- Ciurzyńska, A.; Kowalska, H.; Czajkowska, K.; Lenart, A. Osmotic dehydration in production of sustainable and healthy food. Trends Food Sci. Technol. 2016, 50, 186–192. [Google Scholar] [CrossRef]
- Isengard, H.-D. Water content, one of the most important properties of food. Food Control 2001, 12, 395–400. [Google Scholar] [CrossRef]
- Ahmed, I.; Qazi, I.M.; Jamal, S. Developments in osmotic dehydration technique for the preservation of fruits and vegetables. Innov. Food Sci. Emerg. Technol. 2016, 34, 29–43. [Google Scholar] [CrossRef]
- Noor Mohammed, A.; Chauhan, O.P.; Semwal, A.D. Emerging technologies for fruits and vegetables dehydration. Food Humanit. 2024, 2, 100303. [Google Scholar] [CrossRef]
- Kowalska, H.; Marzec, A.; Domian, E.; Masiarz, E.; Ciurzyńska, A.; Galus, S.; Malkiewicz, A.; Lenart, A.; Kowalska, J. Physical and Sensory Properties of Japanese Quince Chips Obtained by Osmotic Dehydration in Fruit Juice Concentrates and Hybrid Drying. Molecules 2020, 25, 5504. [Google Scholar] [CrossRef] [PubMed]
- Yadav, A.K.; Singh, S.V. Osmotic dehydration of fruits and vegetables: A review. J. Food Sci. Technol. 2014, 51, 1654–1673. [Google Scholar] [CrossRef] [PubMed]
- Wiktor, A.; Chadzynska, M.; Rybak, K.; Dadan, M.; Witrowa-Rajchert, D.; Nowacka, M. The Influence of Polyols on the Process Kinetics and Bioactive Substance Content in Osmotic Dehydrated Organic Strawberries. Molecules 2022, 27, 1376. [Google Scholar] [CrossRef] [PubMed]
- Diamantopoulou, P.; Papanikolaou, S. Biotechnological production of sugar-alcohols: Focus on Yarrowia lipolytica and edible/medicinal mushrooms. Process Biochem. 2023, 124, 113–131. [Google Scholar] [CrossRef]
- Scettri, A.; Schievano, E. Quantification of polyols in sugar-free foodstuffs by qNMR. Food Chem. 2022, 390, 133125. [Google Scholar] [CrossRef] [PubMed]
- Barba, C.; Angós, I.; Maté, J.I.; Cornejo, A. Effects of polyols at low concentration on the release of sweet aroma compounds in model soda beverages. Food Chem. X 2024, 22, 101440. [Google Scholar] [CrossRef] [PubMed]
- Cichowska, J.; Żubernik, J.; Czyżewski, J.; Kowalska, H.; Witrowa-Rajchert, D. Efficiency of Osmotic Dehydration of Apples in Polyols Solutions. Molecules 2018, 23, 446. [Google Scholar] [CrossRef]
- Konopacka, D.; Jesionkowska, K.; Klewicki, R.; Bonazzi, C. The effect of different osmotic agents on the sensory perception of osmo-treated dried fruit. J. Hort. Sci. Biotech. 2009, 84, 80–84. [Google Scholar] [CrossRef]
- Samborska, K.; Eliasson, L.; Marzec, A.; Kowalska, J.; Piotrowski, D.; Lenart, A.; Kowalska, H. The effect of adding berry fruit juice concentrates and by-product extract to sugar solution on osmotic dehydration and sensory properties of apples. J. Food Sci. Technol. 2019, 56, 1927–1938. [Google Scholar] [CrossRef] [PubMed]
- Pateiro, M.; Vargas-Ramella, M.; Franco, D.; Gomes da Cruz, A.; Zengin, G.; Kumar, M.; Dhama, K.; Lorenzo, J.M. The role of emerging technologies in the dehydration of berries: Quality, bioactive compounds, and shelf life. Food Chem. X 2022, 16, 100465. [Google Scholar] [CrossRef] [PubMed]
- Kowalska, H.; Trusinska, M.; Rybak, K.; Wiktor, A.; Witrowa-Rajchert, D.; Nowacka, M. Shaping the Properties of Osmo-Dehydrated Strawberries in Fruit Juice Concentrates. Appl. Sci. 2023, 13, 2728. [Google Scholar] [CrossRef]
- Sebii, H.; Bouaziz, M.A.; Sghaier, K.; Danthine, S.; Blecker, C.; Besbes, S.; Attia, H.; Bchir, B. The Effect of Selected Fruit (Apple, Bitter Orange and Grape) Juice Concentrates Used as Osmotic Agents on the Osmotic-Dehydration Kinetics and Physico-Chemical Properties of Pomegranate Seeds. Seeds 2022, 1, 198–209. [Google Scholar] [CrossRef]
- Corrêa, J.L.G.; Ernesto, D.B.; de Mendonça, K.S. Pulsed vacuum osmotic dehydration of tomatoes: Sodium incorporation reduction and kinetics modeling. LWT Food Sci. Technol. 2016, 71, 17–24. [Google Scholar] [CrossRef]
- de Mello, R.E., Jr.; Corrêa, J.L.G.; Lopes, F.J.; de Souza, A.U.; da Silva, K.C.R. Kinetics of the pulsed vacuum osmotic dehydration of green fig (Ficus carica L.). Heat Mass Transf. 2019, 55, 1685–1691. [Google Scholar] [CrossRef]
- Barragán-Iglesias, J.; Rodríguez-Ramírez, J.; Sablani, S.S.; Méndez-Lagunas, L.L. Texture analysis of dried papaya (Carica papaya L., cv. Maradol) pretreated with calcium and osmotic dehydration. Dry. Technol. 2019, 37, 906–919. [Google Scholar] [CrossRef]
- Konopacka, D.; Mieszczakowska-Frac, M. Changes in the quantitative and qualitative composition of sugars in cherry fruits subjected to the osmotic-convective drying process. Adv. Agric. Sci. Probl. 2014, 578, 61–70. [Google Scholar]
- Kowalska, H.; Jadczak, S. Osmotic dehydration of apples in sucrose and ascorbic acid solution. FOOD Sci. Technol. Qual. 2007, 3, 119–126. [Google Scholar]
- Lech, K.; Michalska, A.; Wojdyło, A.; Nowicka, P.; Figiel, A. The Influence of the Osmotic Dehydration Process on Physicochemical Properties of Osmotic Solution. Molecules 2017, 22, 2246. [Google Scholar] [CrossRef] [PubMed]
- Elvira-Torales, L.I.; García-Alonso, J.; Periago-Castón, M.J. Nutritional Importance of Carotenoids and Their Effect on Liver Health: A Review. Antioxidants 2019, 8, 229. [Google Scholar] [CrossRef] [PubMed]
- Bialik, M.; Wiktor, A.; Witrowa-Rajchert, D.; Gondek, E. The Influence of Osmotic Dehydration Conditions on Drying Kinetics and Total Carotenoid Content of Kiwiberry (Actinidia Arguta). Int. J. Food Eng. 2020, 16, 20180328. [Google Scholar] [CrossRef]
- Huang, Y.; Zhang, M.; Ju, R.; Law, C.; Fan, D.; Semenov, G.; Luo, Z. Effect of ultrasound assisted vacuum osmotic dehydration on the mass transfer kinetics and qualities of orange slices. Dry. Technol. 2023, 41, 1636–1650. [Google Scholar] [CrossRef]
- Kowalska, H. Effect of solution concentration, temperature, and process time on osmotic dehydration of apples. FOOD Sci. Technol. Nutr. 2009, 16, 73–85. [Google Scholar]
- Dusza, M.; Hara, P. Evaluation of selected quality traits of dried kiwi fruit preosmotically dehydrated. Food Process. Eng. 2018, 27, 20–26. [Google Scholar]
- Piasecka, E.; Uczciwek, M.; Klewicki, R. Osmotic dehydration of fruits in solutions containing fructooligosaccharides. FOOD Sci. Technol. Nutr. 2009, 16, 138–153. [Google Scholar]
- Piluzza, G.; Bullitta, S. Correlations between phenolic content and antioxidant properties in twenty-four plant species of traditional ethnoveterinary use in the Mediterranean area. Pharm. Biol. 2011, 49, 240–247. [Google Scholar] [CrossRef] [PubMed]







| Measurement and Unit | Mean ± Standard Deviation |
|---|---|
| Dry matter (%) | 14.55 ± 1.23 |
| Water activity (-) | 0.942 ± 0.007 |
| Total soluble solids (°Brix) | 10.17 ± 0.40 |
| L* | 49.59 ± 2.39 |
| a* | 1.67 ± 0.32 |
| b* | 22.78 ± 2.87 |
| Texture–Fmax (N) | 0.65 ± 0.05 |
| Texture–(work) surface area (mJ) | 0.60 ± 0.12 |
| Sugars content | |
| Sacharose (g/100 g d.m.) | 2.41 ± 0.03 |
| Glucose (g/100 g d.m.) | 1.54 ± 0.02 |
| Fructose (g/100 g d.m.) | 4.22 ± 0.12 |
| Vitamin C content (mg ascorbic acid/100 g d.m.) | 42.73 ± 0.22 |
| Total polyphenol content (mg chlorogenic/100 g d.m.) | 2527 ± 63 |
| Antioxidant activity against ABTS (mg TE/g d.m.) | 7.7 ± 0.2 |
| Reduction of iron (III) (mg TE/g d.m.) | 4.1 ± 0.1 |
| Carotenoid content (mg/kg d.m.) | 31.41 ± 0.26 |
| Osmotic Solution | Time (h) | |||
|---|---|---|---|---|
| 0.5 | 1 | 2 | 3 | |
| Su | 2.32 ± 0.51 ab.A 1 | 2.19 ± 0.25 a.A | 2.25 ± 0.45 ab.A | 2.33 ± 0.24 a.A |
| Xy | 4.33 ± 0.44 c.B | 3.03 ± 0.14 abc.A | 3.57 ± 0.21 c.AB | 3.02 ± 0.31 ab.A |
| St | 3.91 ± 1.16 bc.A | 3.96 ± 0.39 c.A | 3.41 ± 0.10 c.A | 3.64 ± 0.15 ab.A |
| Ch | 2.27 ± 0.27 ab.A | 3.52 ± 0.28 bc.A | 3.13 ± 0.61 bc.A | 3.46 ± 0.90 ab.A |
| Or | 2.15 ± 0.59 a.A | 2.92 ± 0.48 abc.A | 2.66 ± 0.14 abc.A | 2.45 ± 0.37 a.A |
| Ro | 1.56 ± 0.11 a.A | 2.47 ± 0.60 ab.A | 1.97 ± 0.17 a.A | 3.96 ± 0.53 b.B |
| Osmotic Solution | Water Activity (-) |
|---|---|
| Fresh | 0.942 ± 0.070 b 1 |
| Su | 0.892 ± 0.013 a |
| Xy | 0.900 ± 0.015 a |
| St | 0.914 ± 0.010 ab |
| Ch | 0.904 ± 0.002 a |
| Or | 0.903 ± 0.001 a |
| Ro | 0.927 ± 0.005 ab |
| Osmotic Solution | Fmax (N) | Work as Surface Area (mJ) |
|---|---|---|
| Fresh | 0.65 ± 0.05 bc 1 | 0.60 ± 0.12 cd |
| Su | 0.53 ± 0.16 b | 0.40 ± 0.13 bd |
| Xy | 0.36 ± 0.09 a | 0.31 ± 0.09 ab |
| St | 0.72 ± 0.17 c | 0.56 ± 0.15 c |
| Ch | 0.34 ± 0.05 a | 0.25 ± 0.04 a |
| Or | 0.36 ± 0.10 a | 0.27 ± 0.07 ab |
| Ro | 0.60 ± 0.17 bc | 0.58 ± 0.18 c |
| Osmotic Solution | Total Sugars (g/100 g d.m.) | Sucrose (g/100 g d.m.) | Glucose (g/100 g d.m.) | Fructose (g/100 g d.m.) |
|---|---|---|---|---|
| Fresh | 8.17 ± 0.17 b 1 | 2.41 ± 0.03 a | 1.54 ± 0.02 b | 4.22 ± 0.12 bc |
| Su | 43.92 ± 0.23 c | 41.41 ± 0.06 d | 0.77 ± 0.04 a | 1.75 ± 0.25 a |
| Xy | 4.39 ± 0.38 a | 0.72 ± 0.04 a | 1.21 ± 0.04 ab | 2.47 ± 0.45 ab |
| St | 45.64 ± 0.03 cd | 24.69 ± 0.14 b | 9.22 ± 0.24 f | 11.74 ± 0.12 d |
| Ch | 45.10 ± 1.82 cd | 24.56 ± 0.44 b | 6.68 ± 0.15 e | 13.86 ± 1.53 d |
| Or | 48.22 ± 0.21 d | 41.79 ± 0.06 d | 2.27 ± 0.13 c | 4.16 ± 0.00 abc |
| Ro | 43.71 ± 1.63 c | 34.65 ± 1.63 c | 3.59 ± 0.00 d | 5.47 ± 0.00 c |
| Osmotic Solution | Vitamin C (g/100 g d.m) | Total Polyphenols (mg chlorogenic acid/100 g d.m.) | Carotenoids (mg/kg d.m.) | ABTS (mg TE/d.m.) | Iron (III) Reduction (mg TE/g d.m.) |
|---|---|---|---|---|---|
| Fresh | 42.73 ± 0.22 b 1 | 2527 ± 63 cd | 31.41 ± 0.26 d | 7.7 ± 0.2 b | 4.1 ± 0.1 b |
| Su | 26.91 ± 2.09 a | 1518 ± 110 ab | 20.75 ± 1.29 bc | 2.7 ± 0.1 a | 2.3 ± 0.2 ab |
| Xy | 26.78 ± 0.9 a | 1297 ± 116 a | 16.90 ± 0.83 ab | 2.8 ± 0.1 a | 1.1 ± 0.4 a |
| St | 62.32 ± 3.12 c | 2909 ± 137 d | 15.84 ± 0.80 a | 11.0 ± 0.6 c | 6.9 ± 1.0 c |
| Ch | 40.68 ± 2.58 b | 2366 ± 120 c | 19.67 ± 0.83 ab | 8.5 ± 0.6 b | 3.1 ± 1.5 ab |
| Or | 47.67 ± 2.48 b | 1777 ± 62 b | 17.21 ± 0.19 ab | 3.4 ± 0.3 a | 0.4 ± 0.2 a |
| Ro | 80.27 ± 1.18 d | 1929 ± 95 b | 24.25 ± 1.85 c | 8.8 ± 0.4 b | 1.0 ± 0.1 a |
Disclaimer/Publisher’s Note: The statements, opinions and data contained in all publications are solely those of the individual author(s) and contributor(s) and not of MDPI and/or the editor(s). MDPI and/or the editor(s) disclaim responsibility for any injury to people or property resulting from any ideas, methods, instructions or products referred to in the content. |
© 2025 by the authors. Licensee MDPI, Basel, Switzerland. This article is an open access article distributed under the terms and conditions of the Creative Commons Attribution (CC BY) license (https://creativecommons.org/licenses/by/4.0/).
Share and Cite
Galus, S.; Rybak, K.; Dadan, M.; Witrowa-Rajchert, D.; Nowacka, M. The Effect of the Use of Unconventional Solutions for Osmotic Dehydration on Selected Properties of Fresh-Cut Oranges. Foods 2025, 14, 468. https://doi.org/10.3390/foods14030468
Galus S, Rybak K, Dadan M, Witrowa-Rajchert D, Nowacka M. The Effect of the Use of Unconventional Solutions for Osmotic Dehydration on Selected Properties of Fresh-Cut Oranges. Foods. 2025; 14(3):468. https://doi.org/10.3390/foods14030468
Chicago/Turabian StyleGalus, Sabina, Katarzyna Rybak, Magdalena Dadan, Dorota Witrowa-Rajchert, and Małgorzata Nowacka. 2025. "The Effect of the Use of Unconventional Solutions for Osmotic Dehydration on Selected Properties of Fresh-Cut Oranges" Foods 14, no. 3: 468. https://doi.org/10.3390/foods14030468
APA StyleGalus, S., Rybak, K., Dadan, M., Witrowa-Rajchert, D., & Nowacka, M. (2025). The Effect of the Use of Unconventional Solutions for Osmotic Dehydration on Selected Properties of Fresh-Cut Oranges. Foods, 14(3), 468. https://doi.org/10.3390/foods14030468

