HRMS Characterization and Antioxidant Evaluation of Costa Rican Spent Coffee Grounds as a Source of Bioactive Polyphenolic Extracts
Abstract
1. Introduction
2. Materials and Methodology
2.1. Reagents and Solvents
2.2. Sample Preparation
2.3. UPLC-QTOF-ESI MS Analysis
2.4. Total Phenolics
2.5. UPLC-DAD Analysis
2.6. Antioxidant Activity Evaluation
2.6.1. DPPH Analysis
2.6.2. PFRAP Analysis
2.6.3. TEAC Analysis
2.6.4. ORAC Analysis
2.7. Statistical Analysis
3. Results and Discussion
3.1. UPLC-QTOF-ESI MS Analysis
3.2. Total Polyphenols
3.3. UPLC-DAD Analyses
3.4. Antioxidant Activity Determination
3.4.1. DPPH
3.4.2. PFRAP
3.4.3. ORAC
3.4.4. TEAC
4. Conclusions
Author Contributions
Funding
Institutional Review Board Statement
Informed Consent Statement
Data Availability Statement
Acknowledgments
Conflicts of Interest
References
- Murthy, P.S.; Naidu, M.M. Sustainable management of coffee industry by-products and value addition—A review. Resour. Conserv. Recycl. 2012, 66, 45–58. [Google Scholar] [CrossRef]
- Heckman, M.A.; Weil, J.; De Mejia, E.G. Caffeine (1,3,7-trimethylxanthine) in Foods: A Comprehensive Review on Consumption, Functionality, Safety, and Regulatory Matters. J. Food Sci. 2010, 75, R77–R87. [Google Scholar] [CrossRef]
- Stylianou, M.; Agapiou, A.; Omirou, M.; Vyrides, I.; Ioannides, I.M.; Maratheftis, G.; Fasoula, D. Converting environmental risks to benefits by using spent coffee grounds (SCG) as a valuable resource. Environ. Sci. Pollut. Res. 2018, 25, 35776–35790. [Google Scholar] [CrossRef]
- Andrade, C.; Perestrelo, R.; Câmara, J.S. Valorization of Spent Coffee Grounds as a Natural Source of Bioactive Compounds for Several Industrial Applications—A Volatilomic Approach. Foods 2022, 11, 1731. [Google Scholar] [CrossRef] [PubMed]
- Barbosa, H.M.A.; De Melo, M.M.R.; Coimbra, M.A.; Passos, C.P.; Silva, C.M. Optimization of the supercritical fluid coextraction of oil and diterpenes from spent coffee grounds using experimental design and response surface methodology. J. Supercrit. Fluids 2014, 85, 165–172. [Google Scholar] [CrossRef]
- Pujol, D.; Liu, C.; Gominho, J.; Olivella, M.À.; Fiol, N.; Villaescusa, I. The chemical composition of exhausted coffee waste. Ind. Crops Prod. 2013, 50, 423–429. [Google Scholar] [CrossRef]
- Burniol-Figols, A.; Cenian, K.; Skiadas, I.V.; Gavala, H.N. Integration of chlorogenic acid recovery and bioethanol production from spent coffee grounds. Biochem. Eng. J. 2016, 116, 54–64. [Google Scholar] [CrossRef]
- Lee, X.J.; Ong, H.C.; Gao, W.; Ok, Y.S.; Chen, W.-H.; Goh, B.H.H.; Chong, C.T. Solid biofuel production from spent coffee ground wastes: Process optimization, characterization and kinetic studies. Fuel 2021, 292, 120309. [Google Scholar] [CrossRef]
- Giraldo, L.; Moreno-Piraján, J.C. Synthesis of Activated Carbon Mesoporous from Coffee Waste and Its Application in Adsorption Zinc and Mercury Ions from Aqueous Solution. J. Chem. 2012, 9, 938–948. [Google Scholar] [CrossRef]
- Figueroa Campos, G.A.; Perez, J.P.H.; Block, I.; Sagu, S.T.; Saravia Celis, P.; Taubert, A.; Rawe, H.M. Preparation of Activated Carbons from Spent Coffee Grounds and Coffee Parchment and Assessment of Their Adsorbent Efficiency. Processes 2021, 9, 1396. [Google Scholar] [CrossRef]
- García-Roldán, A.; Piriou, L.; Jauregi, P. Natural deep eutectic solvents as a green extraction of polyphenols from spent coffee ground with enhanced bioactivities. Front. Plant Sci. 2023, 13, 1072592. [Google Scholar] [CrossRef] [PubMed]
- Vandeponseele, A.; Draye, M.; Piot, C.; Chatel, G. Study of Influential Parameters of the Caffeine Extraction from Spent Coffee Grounds: From Brewing Coffee Method to the Waste Treatment Conditions. Clean Technol. 2021, 3, 335–350. [Google Scholar] [CrossRef]
- Mirón-Mérida, V.A.; Barragán-Huerta, B.E.; Gutiérrez-Macías, P. Coffee waste: A source of valuable technologies for sustainable development. In Valorization of Agri-Food Wastes and By-Products; Bhat, R., Ed.; Academic Press: London, UK, 2021; pp. 173–198. ISBN 978-0-12-824044-1. [Google Scholar]
- Taghvaei, M.; Jafari, S.M. Application and stability of natural antioxidants in edible oils in order to substitute synthetic additives. J. Food Sci. Technol. 2015, 52, 1272–1282. [Google Scholar] [CrossRef]
- De Rosso, M.; Colomban, S.; Flamini, R.; Navarini, L. UHPLC-ESI-QqTOF-MS/MS characterization of minor chlorogenic acids in roasted Coffea arabica from different geographical origin. J. Mass Spectrom. 2018, 53, 763–771. [Google Scholar] [CrossRef]
- Clifford, M.N. Chlorogenic acids and other cinnamates-nature, occurrence, dietary burden, absorption and metabolism. J. Sci. Food Agric. 2000, 80, 1033–1043. [Google Scholar] [CrossRef]
- Clifford, M.N.; Kerimi, A.; Williamson, G. Bioavailability and metabolism of chlorogenic acids (acyl-quinic acids) in humans. Comp. Rev. Food Sci. Food Safe 2020, 19, 1299–1352. [Google Scholar] [CrossRef] [PubMed]
- Monteiro, M.; Farah, A.; Perrone, D.; Trugo, L.C.; Donangelo, C. Chlorogenic Acid Compounds from Coffee Are Differentially Absorbed and Metabolized in Humans. J. Nut. 2007, 137, 2196–2201. [Google Scholar] [CrossRef]
- Liang, N.; Kitts, D. Role of Chlorogenic Acids in Controlling Oxidative and Inflammatory Stress Conditions. Nutrients 2015, 8, 16. [Google Scholar] [CrossRef]
- Rodriguez De Sotillo, D.V.; Hadley, M. Chlorogenic acid modifies plasma and liver concentrations of: Cholesterol, triacylglycerol, and minerals in (fa/fa) Zucker rats. J. Nutr. Biochem. 2022, 13, 717–726. [Google Scholar] [CrossRef] [PubMed]
- Suzuki, A.; Fujii, A.; Jokura, H.; Tokimitsu, I.; Hase, T.; Saito, I. Hydroxyhydroquinone Interferes with the Chlorogenic Acid-induced Restoration of Endothelial Function in Spontaneously Hypertensive Rats. Am. J. Hypertens. 2008, 21, 23–27. [Google Scholar] [CrossRef]
- Huang, S.; Wang, L.L.; Xue, N.N.; Li, C.; Guo, H.H.; Ren, T.K.; Zhan, Y.; Li, W.B.; Zhang, J.; Chen, X.G.; et al. Chlorogenic acid effectively treats cancers through induction of cancer cell differentiation. Theranostics 2019, 9, 6745–6763. [Google Scholar] [CrossRef]
- Ao, X.; Yan, J.; Liu, S.; Chen, S.; Zou, L.; Yang, Y.; He, L.; Li, S.; Liu, A.; Zhao, K. Extraction, isolation and identification of four phenolic compounds from Pleioblastus amarus shoots and their antioxidant and anti-inflammatory properties in vitro. Food Chem. 2022, 374, 131743. [Google Scholar] [CrossRef]
- Boulebd, H.; Carmena-Bargueño, M.; Pérez-Sánchez, H. Exploring the Antioxidant Properties of Caffeoylquinic and Feruloylquinic Acids: A Computational Study on Hydroperoxyl Radical Scavenging and Xanthine Oxidase Inhibition. Antioxidants 2023, 12, 1669. [Google Scholar] [CrossRef]
- Wen, M.; Han, Z.; Cui, Y.; Ho, C.-T.; Wan, X.; Zhang, L. Identification of 4-O-p-coumaroylquinic acid as astringent compound of Keemun black tea by efficient integrated approaches of mass spectrometry, turbidity analysis and sensory evaluation. Food Chem. 2022, 368, 130803. [Google Scholar] [CrossRef] [PubMed]
- Zhao, Q.; Li, Y.; Li, S.; He, X.; Gu, R. Comparative bioactivity evaluation and metabolic profiling of different parts of Duhaldea nervosa based on GC-MS and LC-MS. Front. Nutr. 2023, 10, 1301715. [Google Scholar] [CrossRef]
- Martini, S.; Conte, A.; Tagliazucchi, D. Bioactivity and cell metabolism of in vitro digested sweet cherry (Prunus avium) phenolic compounds. Int. J. Food Sci. Nutr. 2019, 70, 335–348. [Google Scholar] [CrossRef] [PubMed]
- Obatomi, D.K.; Bach, P.H. Biochemistry and Toxicology of the Diterpenoid Glycoside Atractyloside. Food Chem. Toxicol. 1998, 36, 335–346. [Google Scholar] [CrossRef]
- Zhang, P.; Cheng, X.; Sun, H.; Li, Y.; Mei, W.; Zeng, C. Atractyloside Protect Mice Against Liver Steatosis by Activation of Autophagy via ANT-AMPK-mTORC1 Signaling Pathway. Front. Pharmacol. 2021, 12, 736655. [Google Scholar] [CrossRef]
- Li, H.; Shi, X.; Jiang, H.; Kang, J.; Yu, M.; Li, Q.; Yu, K.; Chen, Z.; Pan, H.; Chen, W. CMap analysis identifies Atractyloside as a potential drug candidate for type 2 diabetes based on integration of metabolomics and transcriptomics. J. Cell. Mol. Med. 2020, 24, 7417–7426. [Google Scholar] [CrossRef] [PubMed]
- Xuan, S.H.; Lee, N.H.; Park, S.N. Atractyligenin, a terpenoid isolated from coffee silverskin, inhibits cutaneous photoaging. J. Photochem. Photobiol. B 2019, 194, 166–173. [Google Scholar] [CrossRef] [PubMed]
- Navarro, M.; Arnaez, E.; Moreira, I.; Hurtado, A.; Monge, D.; Monagas, M. Polyphenolic Composition and Antioxidant Activity of Uncaria tomentosa Commercial Bark Products. Antioxidants 2019, 8, 339. [Google Scholar] [CrossRef] [PubMed]
- Quirós-Fallas, M.I.; Wilhelm-Romero, K.; Quesada-Mora, S.; Azofeifa-Cordero, G.; Vargas-Huertas, L.F.; Alvarado-Corella, D.; Mora-Román, J.J.; Vega-Baudrit, J.R.; Navarro, M.; Araya-Sibaja, A.M. Curcumin Hybrid Lipid Polymeric Nanoparticles: Antioxidant Activity, Immune Cellular Response, and Cytotoxicity Evaluation. Biomedicines 2022, 10, 2431. [Google Scholar] [CrossRef] [PubMed]
- Işil Berker, K.; Güçlü, K.; Tor, I.; Demirata, B.; Apak, R. Total antioxidant capacity assay using optimized ferricyanide/Prussian blue method. Food Anal. Methods 2010, 3, 154–168. [Google Scholar] [CrossRef]
- Thaipong, K.; Boonprakob, U.; Crosby, K.; Cisneros-Zevallos, L.; Hawkins Byrne, D. Comparison of ABTS, DPPH, FRAP, and ORAC assays for estimating antioxidant activity from guava fruit extracts. J. Food Compos. Anal. 2006, 19, 669–675. [Google Scholar] [CrossRef]
- Dávalos, A.; Gómez-Cordovés, C.; Bartolomé, B. Extending Applicability of the Oxygen Radical Absorbance Capacity (ORAC-Fluorescein) Assay. J. Agric. Food Chem. 2004, 52, 48–54. [Google Scholar] [CrossRef]
- Panusa, A.; Zuorro, A.; Lavecchia, R.; Marrosu, G.; Petrucci, R. Recovery of natural antioxidants from spent coffee grounds. J. Agric. Food Chem. 2013, 61, 4162–4168. [Google Scholar] [CrossRef]
- Fang, N.; Yu, S.; Prior, R.L. LC/MS/MS Characterization of Phenolic Constituents in Dried Plums. J. Agric. Food Chem. 2002, 50, 3579–3585. [Google Scholar] [CrossRef]
- Jaiswal, R.; Matei, M.F.; Ullrich, F.; Kuhnert, N. How to distinguish between cinnamoylshikimate esters and chlorogenic acid lactones by liquid chromatography-tandem mass spectrometry. J. Mass Spectrom. 2011, 46, 933–942. [Google Scholar] [CrossRef] [PubMed]
- Angeloni, S.; Nzekoue, F.K.; Navarini, L.; Sagratini, G.; Torregiani, E.; Vittori, S.; Caprioli, G. An analytical method for the simultaneous quantification of 30 bioactive compounds in spent coffee ground by HPLC-MS/MS. J. Mass Spectrom. 2020, 55, e4519. [Google Scholar] [CrossRef]
- Lang, R.; Beusch, A.; Dirndorfer, S. Metabolites of dietary atractyligenin glucoside in coffee drinkers’ urine. Food Chem. 2023, 405 Pt B, 135026. [Google Scholar] [CrossRef]
- Tsukui, A.; Vendramini, P.H.; Garrett, R.; Scholz, M.B.S.; Eberlin, M.N.; Bizzo, H.R.; Rezende, C.M. Direct-infusion electrospray ionization-mass spectrometry analysis reveals atractyligenin derivatives as potential markers for green coffee postharvest discrimination. LWT—Food Sci. Technol. 2019, 103, 205–211. [Google Scholar] [CrossRef]
- Panusa, A.; Petrucci, R.; Lavecchia, R.; Zuorro, A. UHPLC-PDA-ESI-TOF/MS metabolic profiling and antioxidant capacity of arabica and robusta coffee silverskin: Antioxidants vs. phytotoxins. Food Res. Int. 2017, 99, 155–165. [Google Scholar] [CrossRef] [PubMed]
- Munteanu, I.G.; Apetrei, C. Analytical methods used in determining antioxidant activity: A review. Int. J. Mol. Sci. 2021, 22, 3380. [Google Scholar] [CrossRef]
- Wu, C.T.; Agrawal, D.C.; Huang, W.Y.; Hsu, H.C.; Yang, S.J.; Huang, S.L.; Lin, Y.S. Functionality Analysis of Spent Coffee Ground Extracts Obtained by the Hydrothermal Method. J. Chem. 2019, 10, 4671438. [Google Scholar] [CrossRef]
- Mussatto, S.I.; Ballesteros, L.F.; Martins, S.; Teixeira, J.A. Extraction of antioxidant phenolic compounds from spent coffee grounds. Sep. Purif. Technol. 2011, 83, 173–179. [Google Scholar] [CrossRef]
- Choi, B.; Koh, E. Spent coffee as a rich source of antioxidative compounds. Food Sci. Biotechnol. 2017, 26, 921–927. [Google Scholar] [CrossRef]
- Ramón-Gonçalves, M.; Gómez-Mejía, E.; Rosales-Conrado, N.; León-González, M.E.; Madrid, Y. Extraction, identification and quantification of polyphenols from spent coffee grounds by chromatographic methods and chemometric analyses. Waste Manag. 2019, 96, 15–24. [Google Scholar] [CrossRef] [PubMed]
- Cruz, R.; Cardoso, M.M.; Fernandes, L.; Oliveira, M.; Mendes, E.; Baptista, P.; Morais, S.; Casal, S. Espresso coffee residues: A valuable source of unextracted compounds. J. Agric. Food Chem. 2012, 60, 7777–7784. [Google Scholar] [CrossRef] [PubMed]
- Ho, K.V.; Schreiber, K.L.; Park, J.; Vo, P.H.; Lei, Z.; Sumner, L.W.; Brown, C.R.; Lin, C.H. Identification and Quantification of Bioactive Molecules Inhibiting Pro-Inflammatory Cytokine Production in Spent Coffee Grounds Using Metabolomics Analyses. Front. Pharmacol. 2020, 11, 229. [Google Scholar] [CrossRef] [PubMed]
- Ludwig, I.A.; Sanchez, L.; Caemmerer, B.; Kroh, L.W.; De Peña, M.P.; Cid, C. Extraction of coffee antioxidants: Impact of brewing time and method. Food Res. Int. 2012, 48, 57–64. [Google Scholar] [CrossRef]
- Číž, M.; Čížová, H.; Denev, P.; Kratchanova, M.; Slavov, A.; Lojek, A. Different methods for control and comparison of the antioxidant properties of vegetables. Food Control 2010, 21, 518–523. [Google Scholar] [CrossRef]
- Yashin, A.; Yashin, Y.; Wang, J.Y.; Nemzer, B. Antioxidant and Antiradical Activity of Coffee. Antioxidants 2013, 2, 230–245. [Google Scholar] [CrossRef]
- Prior, R.L.; Wu, X.; Schaich, K. Standardized methods for the determination of antioxidant capacity and phenolics in foods and dietary supplements. J. Agric. Food Chem. 2005, 53, 4290–4302. [Google Scholar] [CrossRef] [PubMed]
- Dudonné, S.; Vitrac, X.; Coutiére, P.; Woillez, M.; Mérillon, J.M. Comparative study of antioxidant properties and total phenolic content of 30 plant extracts of industrial interest using DPPH, ABTS, FRAP, SOD, and ORAC assays. J. Agric. Food Chem. 2009, 57, 1768–1774. [Google Scholar] [CrossRef] [PubMed]
- Lizcano, L.J.; Bakkali, F.; Ruiz-Larrea, M.B.; Ruiz-Sanz, J.I. Antioxidant activity and polyphenol content of aqueous extracts from Colombian Amazonian plants with medicinal use. Food Chem. 2010, 119, 1566–1570. [Google Scholar] [CrossRef]
- Wong, S.P.; Leong, L.P.; Koh, J.H. Antioxidant activities of aqueous extracts of selected plants. Food Chem. 2006, 99, 775–783. [Google Scholar] [CrossRef]
- Vargas-Huertas, L.F.; Alvarado-Corella, L.D.; Sánchez-Kopper, A.; Araya-Sibaja, A.M.; Navarro-Hoyos, M. Characterization and Isolation of Piperamides from Piper nigrum Cultivated in Costa Rica. Horticulturae 2023, 9, 1323. [Google Scholar] [CrossRef]
- Janissen, B.; Huynh, T. Chemical composition and value-adding applications of coffee industry by-products: A review. Resour. Conserv. Recycl. 2018, 128, 110–117. [Google Scholar] [CrossRef]











| No. | Compound | Rt (min) | [M-H]− | Molecular Formula | ms2 Fragments |
|---|---|---|---|---|---|
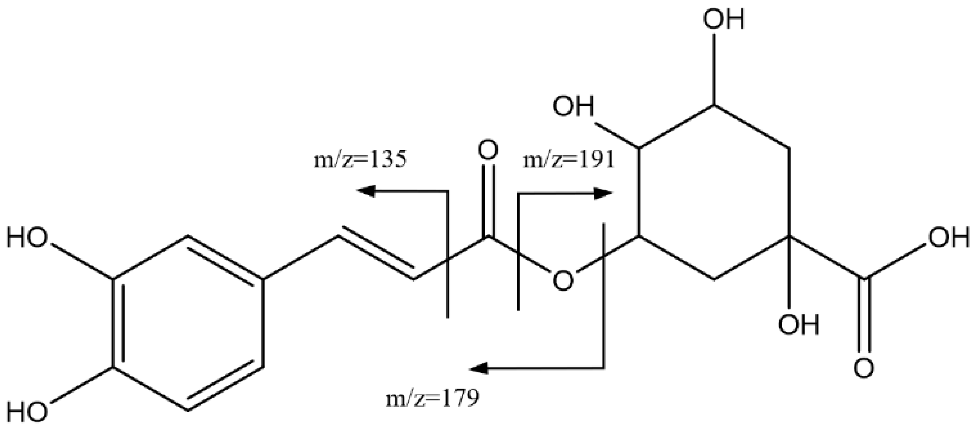
| 1 | Caffeolylquinic acid (isomer 1 of 4) | 16.43 | 353.0876 | C16H17O9 | 201, 191, 179, 135 |
| 2 | Caffeoylquinic acid (isomer 2 of 4) | 20.96 | 353.0869 | C16H17O9 | 191 |
| 3 | Coumaroylquinic acid (isomer 1 of 3) | 22.69 | 337.0921 | C16H17O8 | 163 |
| 4 | Caffeoylquinic acid (isomer 3 of 4) | 24.86 | 353.0872 | C16H17O9 | 191 |
| 5 | Feruloylquinic acid (isomer 1 of 3) | 27.31 | 367.1026 | C17H19O9 | 193, 173, 134 |
| 6 | Caffeoylquinic acid (isomer 4 of 4) | 27.84 | 353.0869 | C16H17O9 | 201, 191, 179, 173, 135 |
| 7 | Coumaroylquinic acid (isomer 2 of 3) | 33.17 | 337.0923 | C16H17O8 | 191, 163 |
| 8 | Feruloylquinic acid (isomer 2 of 3) | 33.54 | 367.1025 | C17H19O9 | 191, 173, 134 |
| 9 | Coumaroylquinic acid (isomer 2 of 3) | 33.61 | 337.0921 | C16H17O8 | 191, 173, 163 |
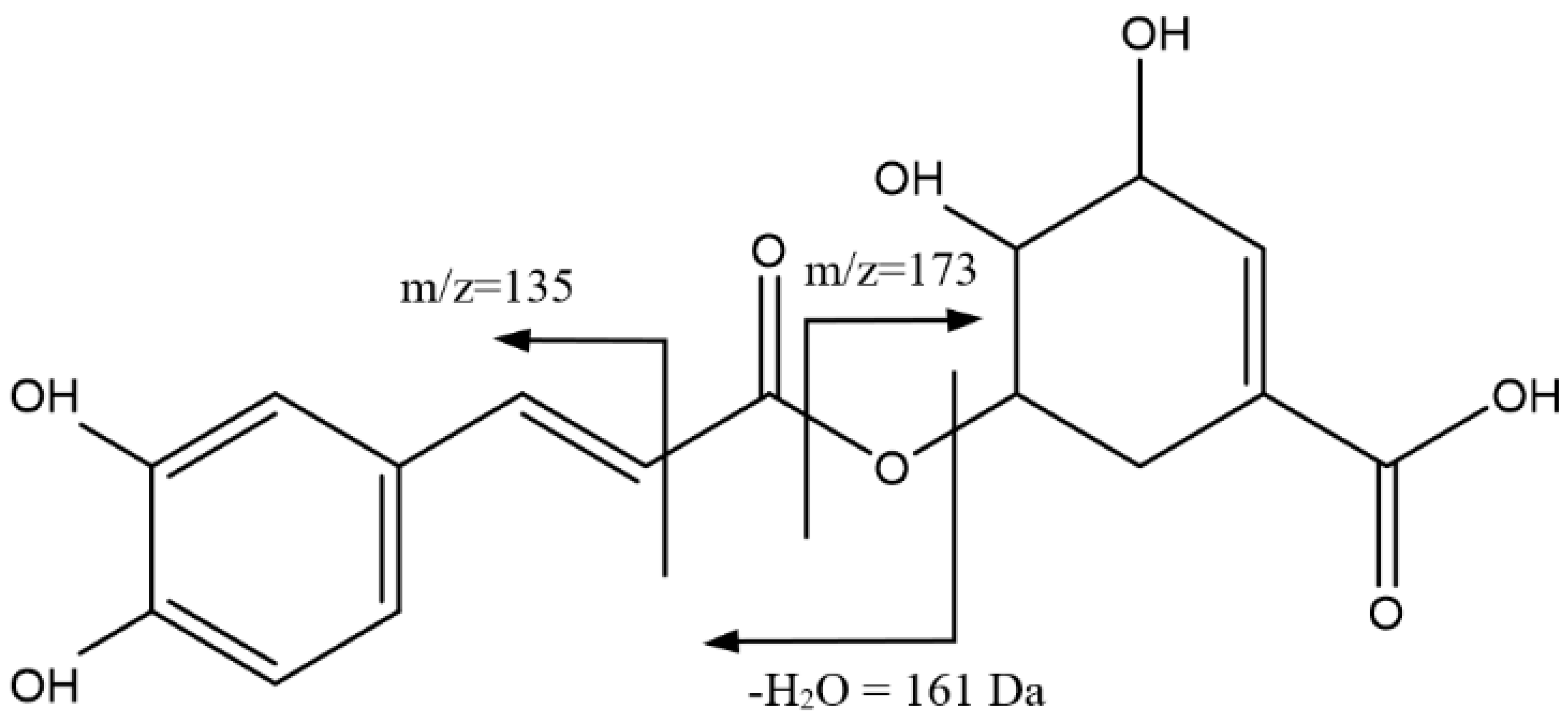
| 10 | Caffeoylshikimic acid | 34.78 | 335.0767 | C16H15O8 | 173, 161, 135,133 |
| 11 | Feruloylquinic acid (isomer 3 of 3) | 35.08 | 367.1026 | C17H19O9 | 191, 173, 134 |
| 12 | Caffeoylquinic lactone (isomer 1 of 3) | 35.57 | 335.0766 | C16H15O8 | 161, 135, 133 |
| 13 | Caffeoylquinic lactone (isomer 2 of 3) | 36.30 | 335.0763 | C16H15O8 | 161, 135, 133 |
| 14 | Caffeoylquinic lactone (isomer 3 of 3) | 36.71 | 335.0768 | C16H15O8 | 161, 133 |
| 15 | Atractyligenin-2-O-glucopyranoside | 37.08 | 481.2448 | C25H37O9 | 301, 119 |
| 16 | Dicaffeoylquinic acid (isomer 1 of 3) | 41.15 | 515.1190 | C25H23O12 | 353, 335, 191, 179, 173, 161, 135 |
| 17 | Dicaffeoylquinic acid (isomer 2 of 3) | 41.89 | 515.1187 | C25H23O12 | 375, 353, 191, 179, 135 |
| 18 | Dicaffeoylquinic acid (isomer 3 of 3) | 42.91 | 515.1185 | C25H23O12 | 353, 191, 179, 173, 135 |
| 19 | Atractyligenin | 43.10 | 319.1903 | C19H27O4 | 275, 273 |
| 20 | Atractyligenin-3′-O-glucopyranosyl-2′-isovaleryl-2-O-glucopiranoside | 45.24 | 727.3541 | C36H55O15 | 643, 625 |
| 21 | Atractyligenin-2′-isovaleryl-2-O-glucopiranoside | 47.46 | 565.3007 | C30H45O10 | 473, 3 |
| Sample | Total Polyphenols (mg GAE/g Extract) 1,2 | Total Polyphenols (mg GAE/g Dry Weight) 1,2 |
|---|---|---|
| EXP | 88.1 a ± 3.8 | 9.59 a ± 0.42 |
| GR | 70.0 b ± 0.9 | 2.13 b ± 0.03 |
| PRC | 53.1 c ± 0.5 | 1.70 c ± 0.01 |
| Sample | Concentration (mg/g Extract) 1,2 | Concentration (mg/g DW) 1,2 |
|---|---|---|
| EXP | 31.435 a ± 0.012 | 3.4201 a ± 0.0014 |
| GR | 18.040 b ± 0.008 | 0.5496 b ±0.0002 |
| PRC | 54.020 c ± 0.065 | 1.7294 c ± 0.0021 |
| Compound No. | Concentration (mg/g Extract) 1,2 | Concentration (mg/g DW) 1,2 | ||||
|---|---|---|---|---|---|---|
| EXP | GR | PRC | EXP | GR | PRC | |
| 1 | 12.026 a ± 0.026 | 5.495 a ± 0.036 | 1.854 a ± 0.060 | 1.3085 a ± 0.0026 | 0.1674 a ± 0.0014 | 0.0593 a ± 0.0024 |
| 4 | 18.101 b ± 0.13 | 3.800 b ± 0.033 | 1.861 a ± 0.016 | 1.9695 b ± 0.0141 | 0.1158 b ± 0.0012 | 0.0596 a ± 0.0006 |
| 5 | 1.617 c ± 0.003 | 4.098 c ± 0.001 | 3.742 b ± 0.043 | 0.1760 c ± 0.0003 | 0.1249 c ± 0.0001 | 0.1198 b ± 0.0017 |
| 6 | 12.768 d ± 0.070 | 4.127 c ± 0.010 | 1.554 c ± 0.013 | 1.3893 d ± 0.0070 | 0.1257 c ± 0.0004 | 0.0497 c ± 0.0005 |
| 8 | 2.697 e ± 0.022 | 3.001 d ± 0.017 | 2.628 d ± 0.042 | 0.2934 e ± 0.0022 | 0.0914 d ± 0.0006 | 0.0842 d ± 0.0016 |
| 11 | 1.859 f ± 0.039 | 3.524 e ± 0.021 | 2.897 e ± 0.068 | 0.2023 f ± 0.0039 | 0.1074 e ± 0.0008 | 0.0927 e ± 0.0008 |
| Total | 49.068 | 24.045 | 14.536 | 5.3390 | 0.7326 | 0.4653 |
| Sample | DPPH | PFRAP | ORAC | TEAC | |
|---|---|---|---|---|---|
| IC50 (mg Extract/L) 1,2 | mg Trolox/g Extract 1,2 | mmol FeSO4/g Extract 1,2 | μmol Trolox/mg Extract 1,2 | mg Trolox/g Extract 1,2 | |
| EXP | 10.5 a ± 0.4 | 158.1 a ± 1.7 | 1.273 a ± 0.020 | 2.847 a ± 0.087 | 215.7 a ± 1.2 |
| GR | 78.1 b ± 1.0 | 106.6 b ± 2.1 | 0.921 b ± 0.025 | 1.590 b ± 0.033 | 152.2 b ± 2.4 |
| PRC | 192.2 c± 3.3 | 78.5 c ± 0.5 | 0.672 c ± 0.006 | 1.427 b ± 0.012 | 123.1 c ± 0.4 |
| Sample | DPPH | PFRAP | ORAC | TEAC | |
|---|---|---|---|---|---|
| IC50 (g DW/L) 1,2 | mg Trolox/g DW 1,2 | mmol FeSO4/g DW 1,2 | μmol Trolox/g DW 1,2 | mg Trolox/g DW 1,2 | |
| EXP | 0.096 a ± 0.003 | 17.20 a ± 0.19 | 0.1385 a ± 0.0022 | 309.7 a ± 9.4 | 23.47 a ± 0.14 |
| GR | 2.562 b ± 0.034 | 3.25 b ± 0.06 | 0.0281 b ± 0.0008 | 48.4 b ± 1.0 | 4.64 b ± 0.07 |
| PRC | 6.005 c ± 0.104 | 2.51 c ± 0.02 | 0.0215 c ± 0.0002 | 45.7 b ± 0.4 | 3.94 c ± 0.01 |
| HPLC-DAD | TP | DPPH | PFRAP | ORAC | |
|---|---|---|---|---|---|
| TP | 0.962 | ||||
| DPPH | −0.920 | −0.975 | |||
| PFRAP | 0.995 | 0.981 | −0.950 | ||
| ORAC | 0.984 | 0.920 | −0.842 | 0.967 | |
| TEAC | 0.998 | 0.973 | −0.936 | 0.999 | 0.977 |
Disclaimer/Publisher’s Note: The statements, opinions and data contained in all publications are solely those of the individual author(s) and contributor(s) and not of MDPI and/or the editor(s). MDPI and/or the editor(s) disclaim responsibility for any injury to people or property resulting from any ideas, methods, instructions or products referred to in the content. |
© 2025 by the authors. Licensee MDPI, Basel, Switzerland. This article is an open access article distributed under the terms and conditions of the Creative Commons Attribution (CC BY) license (https://creativecommons.org/licenses/by/4.0/).
Share and Cite
Navarro-Hoyos, M.; Vargas-Huertas, L.F.; Chacón-Vargas, J.D.; Leandro-Aguilar, V.; Alvarado-Corella, D.; Vega-Baudrit, J.R.; Romero-Esquivel, L.G.; Sánchez-Kopper, A.; Monge-Navarro, A.; Araya-Sibaja, A.M. HRMS Characterization and Antioxidant Evaluation of Costa Rican Spent Coffee Grounds as a Source of Bioactive Polyphenolic Extracts. Foods 2025, 14, 448. https://doi.org/10.3390/foods14030448
Navarro-Hoyos M, Vargas-Huertas LF, Chacón-Vargas JD, Leandro-Aguilar V, Alvarado-Corella D, Vega-Baudrit JR, Romero-Esquivel LG, Sánchez-Kopper A, Monge-Navarro A, Araya-Sibaja AM. HRMS Characterization and Antioxidant Evaluation of Costa Rican Spent Coffee Grounds as a Source of Bioactive Polyphenolic Extracts. Foods. 2025; 14(3):448. https://doi.org/10.3390/foods14030448
Chicago/Turabian StyleNavarro-Hoyos, Mirtha, Luis Felipe Vargas-Huertas, Juan Diego Chacón-Vargas, Valeria Leandro-Aguilar, Diego Alvarado-Corella, Jose Roberto Vega-Baudrit, Luis Guillermo Romero-Esquivel, Andrés Sánchez-Kopper, Andrea Monge-Navarro, and Andrea Mariela Araya-Sibaja. 2025. "HRMS Characterization and Antioxidant Evaluation of Costa Rican Spent Coffee Grounds as a Source of Bioactive Polyphenolic Extracts" Foods 14, no. 3: 448. https://doi.org/10.3390/foods14030448
APA StyleNavarro-Hoyos, M., Vargas-Huertas, L. F., Chacón-Vargas, J. D., Leandro-Aguilar, V., Alvarado-Corella, D., Vega-Baudrit, J. R., Romero-Esquivel, L. G., Sánchez-Kopper, A., Monge-Navarro, A., & Araya-Sibaja, A. M. (2025). HRMS Characterization and Antioxidant Evaluation of Costa Rican Spent Coffee Grounds as a Source of Bioactive Polyphenolic Extracts. Foods, 14(3), 448. https://doi.org/10.3390/foods14030448

