Evaluation of Buriti (Mauritia flexuosa L.) Oil as an Additive for Carbohydrate-Based Biodegradable Films
Abstract
1. Introduction
2. Materials and Methods
2.1. Materials
2.2. Starch Extraction
2.3. Film Preparation
2.4. Film Characterization
2.4.1. Chromatic Properties
2.4.2. FTIR Spectroscopy
2.4.3. Thermal Profile
2.4.4. Mechanical Properties
2.4.5. Moisture Content (MC) and Water Solubility (WS)
2.4.6. Barrier Properties
2.4.7. Film Biodegradation
2.4.8. Statistical Analysis
3. Results and Discussion
3.1. Chromatic Properties
3.2. FTIR Spectroscopy
3.3. Thermal Profile
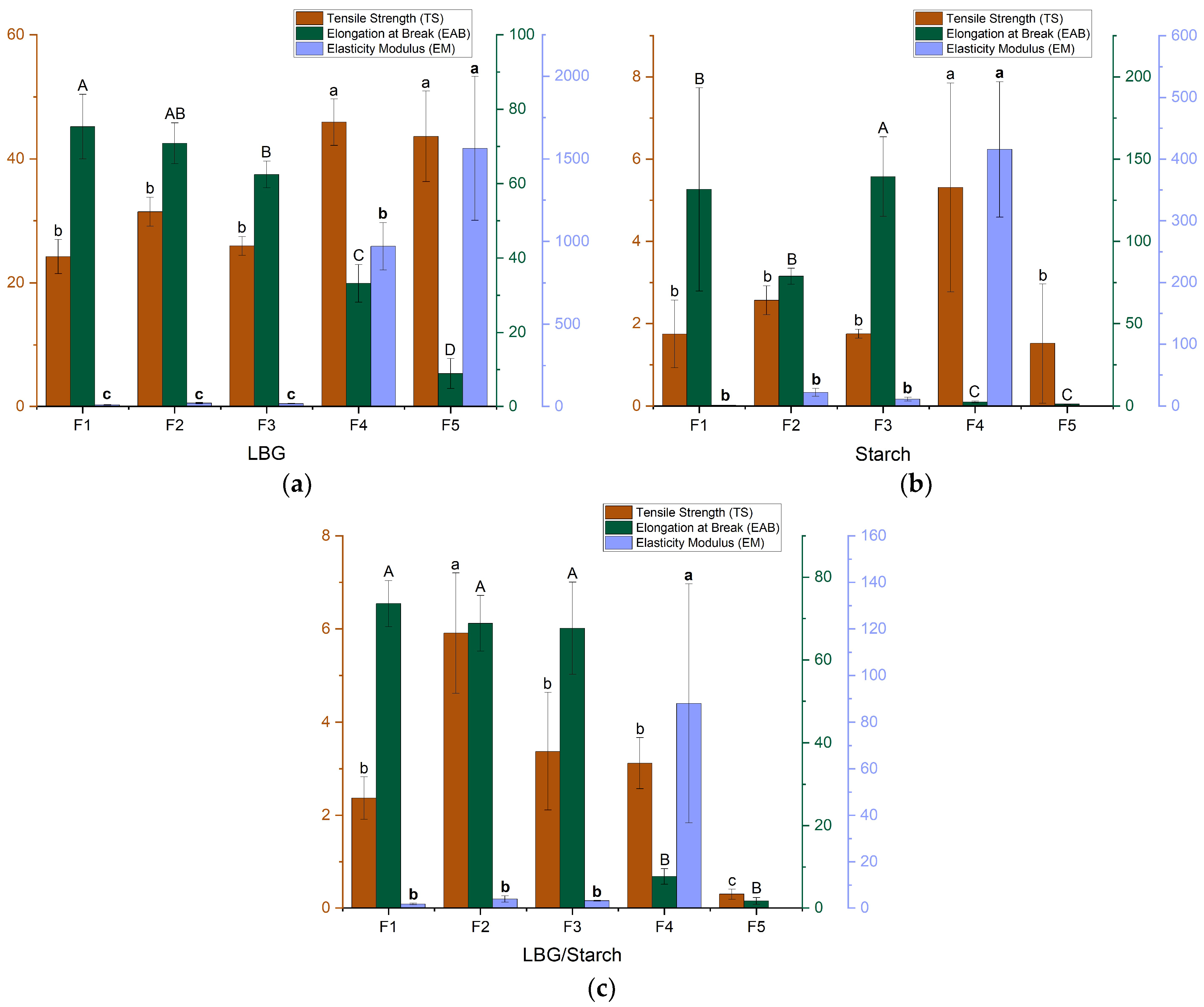
3.4. Mechanical Properties
3.5. Moisture Content (MC), Water Solubility (WS) and Barrier Properties
3.6. Film Biodegradation
4. Conclusions
Supplementary Materials
Author Contributions
Funding
Institutional Review Board Statement
Informed Consent Statement
Data Availability Statement
Acknowledgments
Conflicts of Interest
Abbreviations
| BO | Buriti oil |
| DCA | Departamento de Ciência de Alimentos |
| DEMEC | Departamento de Engenharia Mecânica |
| EM | Elasticity Modulus |
| FTIR | Fourier Transform Infrared |
| EAB | Elongation at Break |
| LBG | Locust bean gum |
| LLPDE | Linear low-density polyethylene |
| MC | Moisture content |
| OXP | Oxygen permeability |
| PPGCA | Programa de Pós-Graduação em Ciência de Alimentos |
| TGA | Thermogravimetric analysis |
| TS | Tensile strength |
| WLD | Weight loss derivative |
| WS | Water solubility |
| WVP | Water vapor permeability |
| WVTR | Water vapor transmission rate |
References
- Anjos, H.A.; Castro, D.A.; dos Santos-Neto, A.G.; da Luz, J.R.; das Graças Almeida, M.; Leite Neta, M.T.; Narain, N.; Pagani, A.A.C.; Franceschi, E.; Hernández-Macedo, M.L.; et al. Gelatin-based films incorporated with buriti oil (Mauritia flexuosa L.) as active packaging for artisanal cheese conservation. Bioresour. Technol. Rep. 2023, 23, 101526. [Google Scholar] [CrossRef]
- Perera, K.Y.; Jaiswal, A.K.; Jaiswal, S. Biopolymer-Based Sustainable Food Packaging Materials: Challenges, Solutions, and Applications. Foods 2023, 12, 2422. [Google Scholar] [CrossRef] [PubMed]
- Fan, Y.; Ren, J.; Xiao, X.; Cao, Y.; Zou, Y.; Qi, B.; Luo, X.; Liu, F. Recent advances in polysaccharide-based edible films/coatings for food preservation: Fabrication, characterization, and applications in packaging. Carbohydr. Polym. 2025, 364, 123779. [Google Scholar] [CrossRef] [PubMed]
- Wang, T.; Zhao, Y. Optimization of bleaching process for cellulose extraction from apple and kale pomace and evaluation of their potentials as film forming materials. Carbohydr. Polym. 2021, 253, 117225. [Google Scholar] [CrossRef] [PubMed]
- Chandrasekar, C.M.; Krishnamachari, H.; Farris, S.; Romano, D. Development and characterization of starch-based bioactive thermoplastic packaging films derived from banana peels. Carbohydr. Polym. Tech. Appl. 2023, 5, 100328. [Google Scholar] [CrossRef]
- Fronza, P.; Batista, M.J.; Franca, A.S.; Oliveira, L.S. Bionanocomposite based on cassava waste starch, locust bean galactomannan, and cassava waste cellulose nanofibers. Foods 2024, 13, 202. [Google Scholar] [CrossRef]
- Verma, P.; Rani, R.; Das, D.; Rai, K.K.; Gogoi, P.; Badwaik, L.S. Transformation of banana peel into biodegradable film added with starch and carboxymethyl cellulose and its characterization. Sustain. Chem. Pharm. 2024, 37, 101356. [Google Scholar] [CrossRef]
- De Carli, C.; Aylanc, V.; Mouffok, K.M.; Santamaria-Echart, A.; Barreiro, F.; Tomás, A.; Pereira, C.; Rodrigues, P.; Vilas-Boas, M.; Falcão, S.I. Production of chitosan-based biodegradable active films using bio-waste enriched with polyphenol propolis extract envisaging food packaging applications. Int. J. Biol. Macromol. 2022, 213, 486–497. [Google Scholar] [CrossRef]
- Batista, M.J.; Marques, M.B.; Franca, A.S.; Oliveira, L.S. Development of films from spent coffee grounds’ polysaccharides crosslinked with calcium ions and 1,4-phenylenediboronic acid: A comparative analysis of film properties and biodegradability. Foods 2023, 12, 2520. [Google Scholar] [CrossRef]
- Hernandez-Hosaka, C.; Park, B.-R.; Kim, H.; Jung, J. Cellulose-based pickering emulsion films incorporating oregano essential Oil: Valorization of spent coffee grounds for active food packaging. LWT 2025, 228, 118128. [Google Scholar] [CrossRef]
- Moghadas, H.C.; Chauhan, R.; Smith, J.S. Application of plant oils as functional additives in edible films and coatings for food packaging: A review. Foods 2024, 13, 997. [Google Scholar] [CrossRef] [PubMed]
- Cheng, J.; Gao, R.; Zhu, Y.; Lin, Q. Applications of biodegradable materials in food packaging: A review. Alex. Eng. J. 2024, 91, 70–83. [Google Scholar] [CrossRef]
- Wang, C.; Chang, T.; Dong, S.; Zhang, D.; Ma, C.; Chen, S.; Li, H. Biopolymer films based on chitosan/potato protein/linseed oil/ZnO NPs to maintain the storage quality of raw meat. Food Chem. 2020, 332, 127375. [Google Scholar] [CrossRef]
- Xiao, M.; Luo, L.; Tang, B.; Qin, J.; Wu, K.; Jiang, F. Physical, structural, and water barrier properties of emulsified blend film based on konjac glucomannan/agar/gum Arabic incorporating virgin coconut oil. LWT 2022, 154, 112683. [Google Scholar] [CrossRef]
- Melikoğlu, A.Y.; Hayatioğlu, N.; Hendekçi, M.C.; Tekin, İ.; Ersus, S. Development and characterization of edible films based on carboxymethyl cellulose enriched with pomegranate seed oil and the coating of strawberries. J. Food Process. Preserv. 2022, 46, e16607. [Google Scholar] [CrossRef]
- Mohamed, A.M.; Ramaswamy, H.S. Caseinate–carboxymethyl chitosan composite edible coating with soybean oil for extending the shelf life of blueberry fruit. Foods 2025, 14, 2598. [Google Scholar] [CrossRef]
- Resende, L.M.; Franca, A.S.; Oliveira, L.S. Buriti (Mauritia flexuosa L. f.) fruit by-products flours: Evaluation as source of dietary fibers and natural antioxidants. Food Chem. 2019, 270, 53–60. [Google Scholar] [CrossRef]
- Assis, R.Q.; Maciel, F.S.; Queiroz, B.B.; Rios, A.d.; Pertuzatti, P.B. Active films incorporated with pequi (Caryocar brasiliense Camb.) or buriti (Mauritia flexuosa L.) oil as strategy to protection of lipid oxidation and carotenoids photodegradation. Food Chem. 2025, 482, 144085. [Google Scholar] [CrossRef]
- de Souza Aquino, J.; Batista, K.S.; Araujo-Silva, G.; dos Santos, D.C.; de Brito, N.J.; López, J.A.; da Silva, J.A.; das Graças Almeida, M.; Pincheira, C.G.; Magnani, M.; et al. Antioxidant and lipid-lowering effects of buriti oil (Mauritia flexuosa L.) administered to iron-overloaded rats. Molecules 2023, 28, 2585. [Google Scholar] [CrossRef]
- Leite-Barbosa, O.; Oliveira, M.F.; Braga, F.C.; Monteiro, S.N.; Oliveira, M.G.; Veiga-Junior, V.F. Impact of buriti oil from Mauritia flexuosa palm tree on the rheological, thermal, and mechanical properties of linear low-density polyethylene for improved sustainability. Polymers 2024, 16, 3037. [Google Scholar] [CrossRef]
- de Souza, M.N.; Piedade, A.B.; Santos, T.P.; de Britto, V.F.; Nascimento, E.; de Faria, J.L.; de Faria, R.A. Interaction effect of cassava starch × buriti oil on the physical properties of edible films. eFood 2022, 3, e53. [Google Scholar] [CrossRef]
- Fronza, P.; Costa, A.L.; Franca, A.S.; Oliveira, L.S. Extraction and characterization of starch from cassava peels. Starch/Stärke 2022, 75, 2100245. [Google Scholar] [CrossRef]
- Alves, L.T.; Fronza, P.; Gonçalves, I.; da Silva, W.A.; Oliveira, L.S.; Franca, A.S. Development of polymeric films based on sunflower seed proteins and locust bean gum. Polymers 2024, 16, 1905. [Google Scholar] [CrossRef] [PubMed]
- Cheng, H.; Cao, J.; Liu, W.; Mei, J.; Xie, J. Characterization of sodium alginate—Locust bean gum films reinforced with daphnetin emulsions for the development of active packaging. Polymers 2022, 14, 731. [Google Scholar] [CrossRef]
- ASTM G160-03; Standard Practice for Evaluating Microbial Susceptibility of Nonmetallic Materials by Laboratory Soil Burial. ASTM: West Conshohocken, PA, USA, 2019.
- Gomes, A.; Cangussu, L.B.; Cunha, R.L.; Oliveira, L.S.; Franca, A.S.; Costa, A.L. Investigating the impact of chlorogenic acid content and cellulose nanoparticles on sunflower protein-based emulsions and films. Foods 2025, 14, 824. [Google Scholar] [CrossRef]
- Vela, A.J.; Villanueva, M.; Ronda, F. Ultrasonication: An efficient alternative for the physical modification of starches, flours and grains. Foods 2024, 13, 2325. [Google Scholar] [CrossRef]
- Chamorro, A.F.; Palencia, M.; Lerma, T.A. Physicochemical Characterization and Properties of Cassava Starch: A Review. Polymers 2025, 17, 1663. [Google Scholar] [CrossRef]
- Souto, R.N.; Pinho, J.d.; Peixe, C.L.; Trindade, M.E.; de Souza, P.G.; da Silva, P.E.; Teixeira-Costa, B.E.; Castelo-Branco, V.N.; Teodoro, A.J. Buriti (Mauritia flexuosa Lf) and Acuri (Attalea phalerata Mart. ex Spreng) oils as functional lipid sources in bakery products: Bioactive composition, sensory evaluation, and technological performance. Foods 2025, 14, 3089. [Google Scholar] [CrossRef]
- Liu, X.; Renard, C.M.; Bureau, S.; Le Bourvellec, C. Revisiting the contribution of ATR-FTIR spectroscopy to characterize plant cell wall polysaccharides. Carbohydr. Polym. 2021, 262, 117935. [Google Scholar] [CrossRef]
- Lu, H.; Ma, R.; Chang, R.; Tian, Y. Evaluation of starch retrogradation by infrared spectroscopy. Food Hydrocoll. 2021, 120, 106975. [Google Scholar] [CrossRef]
- Mohamed, S.A.; Elsherbini, A.M.; Alrefaey, H.R.; Adelrahman, K.; Moustafa, A.; Egodawaththa, N.M.; Crawford, K.E.; Nesnas, N.; Sabra, S.A. Gum Arabic: A commodity with versatile formulations and applications. Nanomaterials 2025, 15, 290. [Google Scholar] [CrossRef] [PubMed]
- Sethuraman, S.; Rajendran, K. Is Gum Arabic a Good Emulsifier Due to CH...π Interactions? How Urea Effectively Destabilizes the Hydrophobic CH...π Interactions in the Proteins of Gum Arabic than Amides and GuHCl? ACS Omega 2019, 4, 16418–16428. [Google Scholar] [CrossRef] [PubMed]
- Tintor, Đ.; Ninković, K.; Milošević, J.; Polović, N.Đ. Gaining insight into protein structure via ATR-FTIR spectroscopy. Vib. Spectrosc. 2024, 134, 103726. [Google Scholar] [CrossRef]
- De Meutter, J.; Goormaghtigh, E. Amino acid side chain contribution to protein FTIR spectra: Impact on secondary structure evaluation. Eur. Biophys. J. 2021, 50, 641–651. [Google Scholar] [CrossRef]
- Ahmed, J.; Santhosh, R.; Thakur, R.; Mulla, M.; Sarkar, P. Thermo-mechanical, rheological, microstructural, and barrier properties of gum-based edible packaging: A review. Food Packag. Shelf Life 2023, 38, 101117. [Google Scholar] [CrossRef]
- Lopes, J.; Ferreira, P.; Coimbra, M.A.; Gonçalves, I. Influence of glycerol, eggshells, and genipin on hydrophobicity and rigidity of antioxidant locust bean milling dust-derived bioplastics. LWT 2023, 188, 115409. [Google Scholar] [CrossRef]
- Criollo-Feijoo, J.; Salas-Gomez, V.; Cornejo, F.; Auras, R.; Salazar, R. Cassava bagasse starch and oregano essential oil as a potential active food packaging material: A physicochemical, thermal, mechanical, antioxidant, and antimicrobial study. Heliyon 2024, 10, e36150. [Google Scholar] [CrossRef]
- Wardak, M.H.; Kingwascharapong, P.; Aryan, S.; Tanaka, F.; Tanaka, F. Preparation and characterization of corn starch-based film: Effect of citric acid or sunflower oil and its combination. J. Food Meas. Charact. 2021, 15, 1907–1915. [Google Scholar] [CrossRef]
- Wang, Y.; Wang, X.; Hu, G.; Al-Romaima, A.; Liu, X.; Bai, X.; Li, J.; Li, Z.; Qiu, M. Effect of green coffee oil as a natural active emulsifying agent on the properties of corn starch-based films. LWT 2022, 170, 114087. [Google Scholar] [CrossRef]
- Chen, H.; Zhong, S.; Chi, G.; Li, H.; Chen, K.; Wang, Z.; Kan, J. Preparation and functional characteristics of starch-lipid complexes with different oleic acid-rich glycerolipids. Food Chem. 2025, 476, 143450. [Google Scholar] [CrossRef]
- Liu, J.; Cao, A.; Liu, Y.; Zheng, X.; Tang, K. Development and characterization of soluble soybean polysaccharide/pullulan blend films enriched with essential oils. Int. J. Biol. Macromol. 2024, 309, 143092. [Google Scholar] [CrossRef]
- Zhou, Y.; Wu, X.; Chen, J.; He, J. Effects of cinnamon essential oil on the physical, mechanical, structural and thermal properties of cassava starch-based edible films. Int. J. Biol. Macromol. 2024, 184, 574–583. [Google Scholar] [CrossRef]
- Silveira, Y.D.; Franca, A.S.; Oliveira, L.S. Cassava waste starch as a source of bioplastics: Development of a polymeric film with antimicrobial properties. Foods 2025, 14, 113. [Google Scholar] [CrossRef]
- Wu, X.; Yan, X.; Zhang, B.; Zhang, Q.; Zhang, X.; Zhang, J.; Wu, X. Effect of strengthening agents on properties of dual-modified cassava starch-based degradable films. Int. J. Biol. Macromol. 2025, 291, 139142. [Google Scholar] [CrossRef]








| Carbohydrate | Film | LBG | Starch | Glycerin | Buriti Oil | Arabic Gum |
|---|---|---|---|---|---|---|
| F1 | 3 g | - | 0.6 g | - | - | |
| F2 | 3 g | - | 0.6 g | - | 0.045 g | |
| LBG | F3 | 3 g | - | 0.6 g | 0.15 g | 0.045 g |
| (galactomannan) | F4 | 3 g | - | 0.3 g | 0.3 g | 0.09 g |
| F5 | 3 g | - | - | 0.6 g | 0.18 g | |
| F1 | - | 3 g | 0.6 g | - | - | |
| Starch | F2 | - | 3 g | 0.6 g | - | 0.045 g |
| F3 | - | 3 g | 0.6 g | 0.15 g | 0.045 g | |
| F4 | - | 3 g | 0.3 g | 0.3 g | 0.09 g | |
| F5 | - | 3 g | - | 0.6 g | 0.18 g | |
| F1 | 0.75 g | 2.25 g | 0.6 g | - | - | |
| LBG/Starch | F2 | 0.75 g | 2.25 g | 0.6 g | - | 0.045 g |
| (25:75) | F3 | 0.75 g | 2.25 g | 0.6 g | 0.15 g | 0.045 g |
| F4 | 0.75 g | 2.25 g | 0.3 g | 0.3 g | 0.09 g | |
| F5 | 0.75 g | 2.25 g | - | 0.6 g | 0.18 g |
| Opacity | Thickness | |||||
|---|---|---|---|---|---|---|
| Carbohydrate | Film | L* | c* | h* | (mm−1) | (mm) |
| F1 | 28.22 ± 0.82 c | 5.27 ± 0.19 cd | 90.35 ± 0.84 a | 13.920 ± 0.136 a | 0.046 ± 0.006 b | |
| LBG | F2 | 27.34 ± 0.34 c | 4.61 ± 0.26 d | 86.99 ± 1.76 b | 11.702 ± 0.526 b | 0.056 ± 0.006 a |
| (galactomannan) | F3 | 30.49 ± 0.49 b | 6.03 ± 0.21 bc | 90.93 ± 1.03 a | 11.236 ± 0.188 b | 0.056 ± 0.006 a |
| F4 | 31.10 ± 1.29 b | 6.50 ± 0.52 b | 91.46 ± 0.55 a | 11.585 ± 0.569 b | 0.056 ± 0.006 a | |
| F5 | 33.34 ± 0.35 a | 9.60 ± 0.556 a | 90.57 ± 0.35 a | 14.146 ± 1.235 a | 0.057 ± 0.009 a | |
| F1 | 20.91 ± 1.45 c | 8.63 ± 0.08 a | 82.57 ± 1.83 b | 21.461 ± 1.137 a | 0.038 ± 0.007 c | |
| Starch | F2 | 30.49 ± 0.83 a | 6.18 ± 0.20 d | 82.55 ± 0.96 b | 11.906 ± 1.211 c | 0.039 ± 0.005 c |
| F3 | 27.45 ± 0.16 b | 6.22 ± 0.12 d | 85.63 ± 1.58 ab | 12.765 ± 1.503 bc | 0.048 ± 0.004 b | |
| F4 | 26.46 ± 0.54 b | 6.90 ± 0.18 c | 88.26 ± 1.57 a | 15.591 ± 0.574 b | 0.048 ± 0.005 b | |
| F5 | 26.69 ± 1.81 b | 7.77 ± 0.22 b | 88.09 ± 0.85 a | 10.720 ± 1.089 c | 0.058 ± 0.008 a | |
| F1 | 24.86 ± 1.53 c | 5.04 ± 0.85 b | 86.50 ± 1.50 a | 16.422 ± 0.503 a | 0.041 ± 0.014 b | |
| LBG/Starch | F2 | 27.21 ± 0.33 bc | 5.07 ± 0.22 b | 85.84 ± 3.19 a | 16.266 ± 0.230 b | 0.042 ± 0.006 b |
| (25:75) | F3 | 30.71 ± 0.70 a | 10.02 ± 0.12 ab | 86.41 ± 0.27 a | 16.505 ± 0.237 a | 0.046 ± 0.004 b |
| F4 | 29.47 ± 0.34 ab | 7.13 ± 0.76 ab | 87.73 ± 0.47 a | 9.670 ± 0.265 c | 0.076 ± 0.015 ab | |
| F5 | 31.86 ± 2.16 a | 14.29 ± 6.82 a | 87.25 ± 3.23 a | 9.679 ± 0.115 c | 0.088 ± 0.055 a |
| Carbohydrate | Film | MC (%) | WS (%) | WVTR × 103 (g/s·m2) | WVP × 1010 (g/s·m·Pa) | OXP × 109 (g/s·mm2) |
|---|---|---|---|---|---|---|
| F1 | 11.748 ± 0.307 a | 77.010 ± 3.350 a | 4.884 ± 0.721 a | 0.957 ± 0.141 ab | 5.908 ± 0.542 a | |
| LBG | F2 | 11.070 ± 1.151 ab | 61.040 ± 3.420 b | 4.681 ± 0.873 a | 1.130 ± 0.211 a | 6.466 ± 0.252 a |
| (galactomannan) | F3 | 9.557 ± 0.452 b | 61.960 ± 5.150 b | 3.504 ± 0.143 ab | 0.833 ± 0.034 abc | 6.348 ± 0.183 a |
| F4 | 9.511 ± 0.656 b | 43.850 ± 2.170 c | 2.692 ± 0.628 b | 0.647 ± 0.151 bc | 2.985 ± 0.113 b | |
| F5 | 10.223 ± 0.518 a | 54.270 ± 3.040 b | 2.223 ± 0.353 b | 0.548 ± 0.087 c | 2.917 ± 0.576 b | |
| F1 | 10.286 ± 0.354 a | 17.000 ± 5.370 a | 3.268 ± 0.684 a | 0.486 ± 0.102 a | 6.276 ± 0.083 a | |
| Starch | F2 | 7.798 ± 0.662 b | 16.788 ± 1.304 a | 3.139 ± 0.336 a | 0.526 ± 0.056 a | 3.166 ± 0.197 c |
| F3 | 7.414 ± 0.579 b | 11.037 ± 1.711 ab | 3.378 ± 0.477 a | 0.695 ± 0.098 a | 3.670 ± 0.212 c | |
| F4 | 6.796 ± 1.079 b | 9.341 ± 1.057 b | 3.077 ± 1.280 a | 0.633 ± 0.263 a | 3.092 ± 0.383 c | |
| F5 | 7.567 ± 0.369 b | 14.830 ± 0.929 ab | 2.566 ± 0.580 a | 0.638 ± 0.144 a | 4.550 ± 0.369 b | |
| F1 | 9.597 ± 0.690 a | 25.596 ± 1.573 a | 3.438 ± 0.925 a | 0.603 ± 0.162 b | 3.363 ± 0.141 a | |
| LBG/Starch | F2 | 8.711 ± 0.534 ab | 12.015 ± 1.166 b | 3.165 ± 0.245 ab | 0.572 ± 0.044 b | 3.307 ± 0.034 a |
| (25:75) | F3 | 8.265 ± 0.087 ab | 22.850 ± 5.920 a | 2.971 ± 0.191 ab | 0.587 ± 0.038 b | 3.495 ± 0.705 a |
| F4 | 7.785 ± 0.252 b | 14.549 ± 1.597 b | 2.123 ± 0.261 b | 0.694 ± 0.085 b | 3.355 ± 0.946 a | |
| F5 | 5.574 ± 0.960 c | 9.057 ± 0.371 b | 3.580 ± 0.359 a | 1.352 ± 0.135 a | 2.896 ± 0.765 a |
Disclaimer/Publisher’s Note: The statements, opinions and data contained in all publications are solely those of the individual author(s) and contributor(s) and not of MDPI and/or the editor(s). MDPI and/or the editor(s) disclaim responsibility for any injury to people or property resulting from any ideas, methods, instructions or products referred to in the content. |
© 2025 by the authors. Licensee MDPI, Basel, Switzerland. This article is an open access article distributed under the terms and conditions of the Creative Commons Attribution (CC BY) license (https://creativecommons.org/licenses/by/4.0/).
Share and Cite
Freitas, B.L.S.; Almeida, N.P.; Haddad, F.F.; Oliveira, L.S.; Franca, A.S. Evaluation of Buriti (Mauritia flexuosa L.) Oil as an Additive for Carbohydrate-Based Biodegradable Films. Foods 2025, 14, 4330. https://doi.org/10.3390/foods14244330
Freitas BLS, Almeida NP, Haddad FF, Oliveira LS, Franca AS. Evaluation of Buriti (Mauritia flexuosa L.) Oil as an Additive for Carbohydrate-Based Biodegradable Films. Foods. 2025; 14(24):4330. https://doi.org/10.3390/foods14244330
Chicago/Turabian StyleFreitas, Bárbara L. S., Noemi P. Almeida, Felipe F. Haddad, Leandro S. Oliveira, and Adriana S. Franca. 2025. "Evaluation of Buriti (Mauritia flexuosa L.) Oil as an Additive for Carbohydrate-Based Biodegradable Films" Foods 14, no. 24: 4330. https://doi.org/10.3390/foods14244330
APA StyleFreitas, B. L. S., Almeida, N. P., Haddad, F. F., Oliveira, L. S., & Franca, A. S. (2025). Evaluation of Buriti (Mauritia flexuosa L.) Oil as an Additive for Carbohydrate-Based Biodegradable Films. Foods, 14(24), 4330. https://doi.org/10.3390/foods14244330

