Effect of Combined Treatment of Heat Moisture and Ultrafine Grinding on the Quality of Gluten-Free Brown Rice Biscuits
Abstract
1. Introduction
2. Materials and Methods
2.1. Materials
2.2. Heat Moisture Treatment (HMT)
2.3. Ultrafine Grinding and Preparation of Biscuits
2.4. Proximate Composition Analysis of Biscuits
2.5. Analysis of the Diameter of Biscuits
2.6. Color Analysis
2.7. Textural Properties
2.8. Sensory Evaluation Analysis
2.9. Scanning Electron Microscope (SEM)
2.10. Storage Properties
2.11. Statistical Analysis
3. Results
3.1. Nutritional Analysis
3.2. Appearance and Texture Analysis
3.3. Microstructure Analysis
3.4. Sensory Evaluation of Biscuits
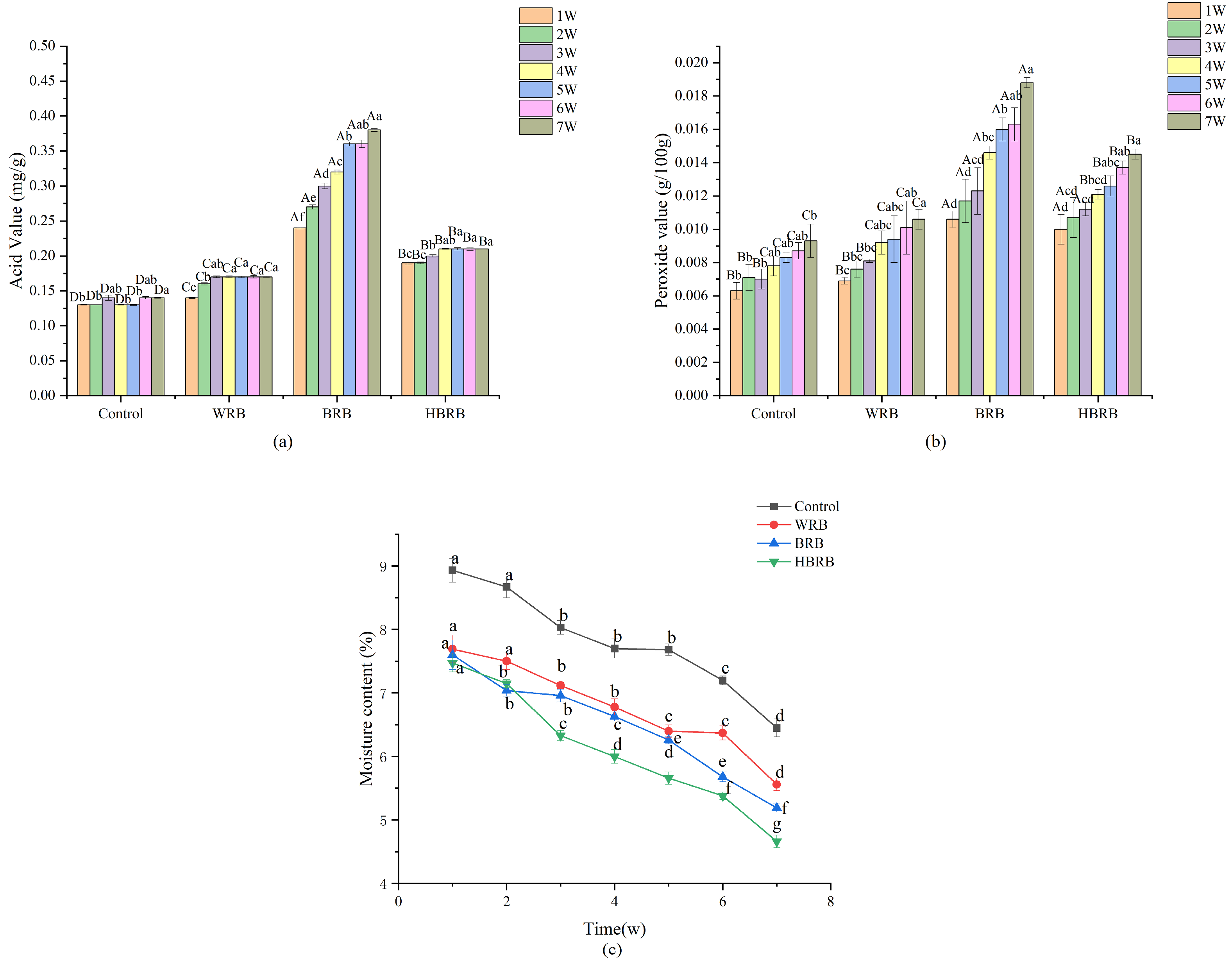
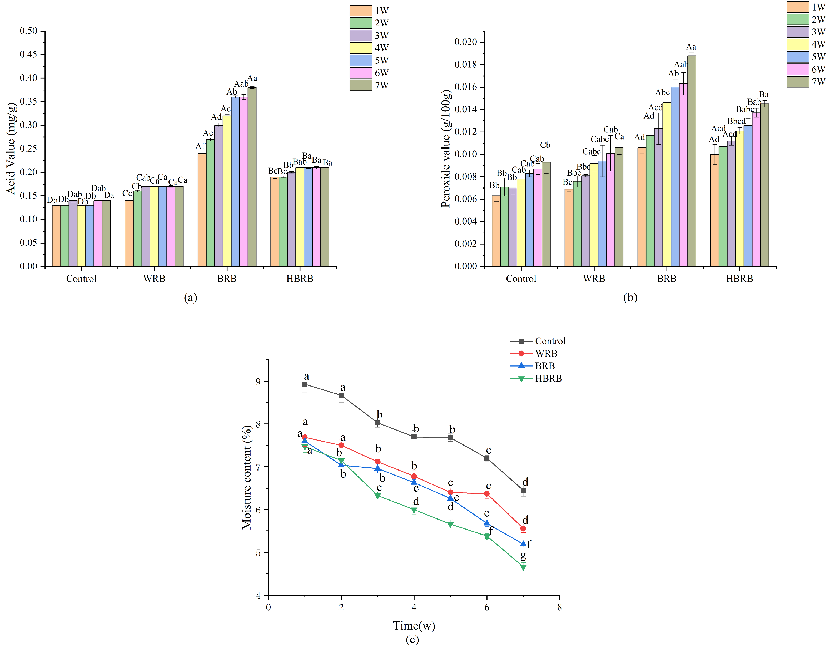
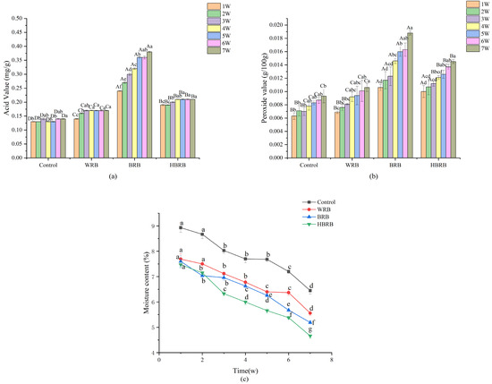
3.5. Storage Characteristics of Biscuits
4. Conclusions
Author Contributions
Funding
Institutional Review Board Statement
Informed Consent Statement
Data Availability Statement
Conflicts of Interest
References
- Anggraeni, A.A.; Triwitono, P.; Lestari, L.A.; Harmayani, E. Evaluation of glucomannan as a fat replacer in the dough and cookies made from fermented cassava flour and soy protein concentrate. Food Chem. 2024, 434, 137452. [Google Scholar] [CrossRef]
- Benanti, A.; Rabie Ashkezary, M.; Gugino, I.M.; Canale, M.; Yeganehzad, S.; Todaro, A. Evaluation of biscuits obtained from novel composite flour containing Maiorca malt flour. Ital. J. Food Sci. 2023, 35, 49–56. [Google Scholar] [CrossRef]
- Sharma, N.; Bhatia, S.; Chunduri, V.; Kaur, S.; Sharma, S.; Kapoor, P.; Kumari, A.; Garg, M. Pathogenesis of Celiac Disease and Other Gluten Related Disorders in Wheat and Strategies for Mitigating Them. Front. Nutr. 2020, 7, 6. [Google Scholar] [CrossRef]
- Schmelter, L.; Rohm, H.; Struck, S. Gluten-free bakery products: Cookies made from different Vicia faba bean varieties. Future Foods 2021, 4, 100038. [Google Scholar] [CrossRef]
- Yang, L.; Wang, S.; Li, S.; Zhao, G.; Du, C. Effect of Heat-Moisture Treatment on the Physicochemical Properties and Starch Digestibility of Mix Powder (Wheat Flour-Black Soybean Flour) and Corresponding Cookies. Gels 2022, 8, 429. [Google Scholar] [CrossRef]
- Cheng, Z.; Li, N.; Chen, Z.; Li, K.; Qiao, D.; Zhao, S.; Zhang, B. Ingesting retrograded rice (Oryza sativa) starch relieves high-fat diet induced hyperlipidemia in mice by altering intestinal bacteria. Food Chem. 2023, 426, 136540. [Google Scholar] [CrossRef]
- Guo, Y.; Fang, R.; Wu, Z.; Xi, G.; Qiao, D.; Wang, G.; Cui, T.; Zhang, L.; Zhao, S.; Zhang, B. Incorporating edible oil during cooking tailors the microstructure and quality features of brown rice following heat moisture treatment. Food Res. Int. 2024, 180, 114069. [Google Scholar] [CrossRef]
- Saleh, A.S.M.; Wang, P.; Wang, N.; Yang, L.; Xiao, Z. Brown Rice Versus White Rice: Nutritional Quality, Potential Health Benefits, Development of Food Products, and Preservation Technologies. Compr. Rev. Food Sci. Food Saf. 2019, 18, 1070–1096. [Google Scholar] [CrossRef]
- Pletsch, E.A.; Hamaker, B.R. Brown rice compared to white rice slows gastric emptying in humans. Eur. J. Clin. Nutr. 2018, 72, 367–373. [Google Scholar] [CrossRef]
- Liu, Y.Q.; Strappe, P.; Zhou, Z.K.; Blanchard, C. Impact on the nutritional attributes of rice bran following various stabilization procedures. Crit. Rev. Food Sci. Nutr. 2019, 59, 2458–2466. [Google Scholar] [CrossRef]
- Kalahal, S.P.; Gavahian, M.; Lin, J. Development of innovative tigernut-based nutritional snack by extrusion process: Effects of die temperature, screw speed, and formulation on physicochemical characteristics. Qual. Assur. Saf. Crops Foods 2024, 16, 1–22. [Google Scholar] [CrossRef]
- Wei, S.; Wang, N.; Huang, X.; Xu, G.; Xu, X.; Xu, D.; Jin, Y.; Yang, N.; Wu, F. Effect of germination on the quality characteristics and volatile compounds of fermented brown rice cake. Food Biosci. 2022, 50, 102165. [Google Scholar] [CrossRef]
- Erinc, H.; Mert, B.; Tekin, A. Different sized wheat bran fibers as fat mimetic in biscuits: Its effects on dough rheology and biscuit quality. J. Food Sci. Technol. 2018, 55, 3960–3970. [Google Scholar] [CrossRef]
- Zhao, X.; Yang, Z.; Gai, G.; Yang, Y. Effect of superfine grinding on properties of ginger powder. J. Food Eng. 2009, 91, 217–222. [Google Scholar] [CrossRef]
- Muttakin, S.; Kim, M.S.; Lee, D.-U. Tailoring physicochemical and sensorial properties of defatted soybean flour using jet-milling technology. Food Chem. 2015, 187, 106–111. [Google Scholar] [CrossRef]
- Lin, S.; Gao, J.; Jin, X.; Wang, Y.; Dong, Z.; Ying, J.; Zhou, W. Whole-wheat flour particle size influences dough properties, bread structure and in vitro starch digestibility. Food Funct. 2020, 11, 3610–3620. [Google Scholar] [CrossRef]
- Klein, B.; Pinto, V.Z.; Vanier, N.L.; Zavareze, E.d.R.; Colussi, R.; Evangelho, J.A.d.; Gutkoski, L.C.; Dias, A.R.G. Effect of single and dual heat–moisture treatments on properties of rice, cassava, and pinhao starches. Carbohydr. Polym. 2013, 98, 1578–1584. [Google Scholar] [CrossRef]
- Xie, X.; Qi, L.; Xu, C.; Shen, Y.; Wang, H.; Zhang, H. Understanding how the cooking methods affected structures and digestibility of native and heat-moisture treated rice starches. J. Cereal Sci. 2020, 95, 103085. [Google Scholar] [CrossRef]
- Aluthge, D.S.U.; Ranaweera, K.K.D.S.; Gunathilake, I.A.D.S.R. The effect of stabilization heat treatment on rice bran quality parameters, including total phenolic content, gamma oryzanol content, antioxidant potential, oxidative stability and extraction yield during storage. Food Chem. Adv. 2023, 3, 100531. [Google Scholar] [CrossRef]
- Wei, Q.; Guo, Y.; Liu, X.; Wang, S.; Xu, Z.; Chen, S. Improving the eating quality of brown rice by defatting combined with hydrothermal treatment. Food Res. Int. 2022, 162, 112020. [Google Scholar] [CrossRef]
- Liu, Y.; Jia, Z.; Li, M.; Bian, K.; Guan, E.; Huang, W. Effect of heat-moisture treatment of wheat (Triticum aestivum L.) grain on micronutrient content of flour, and noodles and bread qualities. J. Cereal Sci. 2024, 115, 103836. [Google Scholar] [CrossRef]
- Zhang, G.; Xuan, Y.; Lyu, F.; Ding, Y. Microstructural, physicochemical properties and starch digestibility of brown rice flour treated with extrusion and heat moisture. Int. J. Biol. Macromol. 2023, 242, 124594. [Google Scholar] [CrossRef]
- Islam, M.Z.; Taneya, M.L.J.; Shams-Ud-Din, M.; Syduzzaman, M.; Hoque, M.M. Physicochemical and Functional Properties of Brown Rice (Oryza sativa) and Wheat (Triticum aestivum) Flour and Quality of Composite Biscuit Made Thereof. Agriculturists 2012, 10, 20–28. [Google Scholar] [CrossRef]
- AOAC. AOAC (association of official agricultural chemists). In The Official Methods of Analysis of AOAC International, 20th ed.; Horwitz, W., Latimer, G., Eds.; AOAC International: Gaithersburg, MD, USA, 2016. [Google Scholar]
- Biswas, R.; Sarkar, A.; Alam, M.; Roy, M.; Mahdi Hasan, M.M. Microwave and ultrasound-assisted extraction of bioactive compounds from Papaya: A sustainable green process. Ultrason. Sonochem. 2023, 101, 106677. [Google Scholar] [CrossRef]
- Norhayati, M.K.; Fairulnizal, M.N.M.; Zaiton, A.; Syuriahti, W.Z.W.; Rusidah, S.; Aswir, A.R.; Ang, J.L.; Naeem, M.N.M.; Suraiami, M.; Azerulazree, J.M.; et al. Nutritional Composition of Selected Commercial Biscuits in Malaysia. Sains Malays. 2015, 44, 581–591. [Google Scholar] [CrossRef]
- AACC. American Association for Cereal Chemistry, 11th ed.; AACC international: St. Paul, MN, USA, 2016. [Google Scholar]
- Sulieman, A.A.; Zhu, K.-X.; Peng, W.; Hassan, H.A.; Obadi, M.; Siddeeg, A.; Zhou, H.-M. Rheological and quality characteristics of composite gluten-free dough and biscuits supplemented with fermented and unfermented Agaricus bisporus polysaccharide flour. Food Chem. 2019, 271, 193–203. [Google Scholar] [CrossRef]
- Dey, B.C.; Abedin, M.Z.; Haque, M.A.; Molla, M.M.; Alam, M.; Bari, L.; Zubair, M.A.; Sikder, M.A. Nutritional profile and bioactive potential of Ivy gourd (Coccinia grandis L. Voigt) fruit and quality evaluation of its developed biscuits. Food Chem. Adv. 2025, 6, 100887. [Google Scholar] [CrossRef]
- Yang, L.; Wang, S.; Zhang, W.; Zhang, H.; Guo, L.; Zheng, S.; Du, C. Effect of black soybean flour particle size on the nutritional, texture and physicochemical characteristics of cookies. LWT 2022, 164, 113649. [Google Scholar] [CrossRef]
- ISO 11136: 2014; Sensory Analysis—Methodology—General Guidance for Conducting Hedonic Tests with Consumers in a Controlled Area. International Organization for Standardization: Vernier, Switzerland. Available online: https://www.iso.org/standard/50125.html (accessed on 20 March 2025).
- Wang, X.; Lu, L.; Hayat, K.; Xia, S. Effect of chickpea thermal treatments on the starch digestibility of the fortified biscuits. Food Biosci. 2024, 61, 104794. [Google Scholar] [CrossRef]
- Kumar, P.K.P.; Manohar, R.S.; Indiramma, A.R.; Krishna, A.G.G. Stability of oryzanol fortified biscuits on storage. J. Food Sci. Technol. 2014, 51, 2552–2559. [Google Scholar] [CrossRef]
- Malekian, F. Lipase and lipoxygenase activity, functionality, and nutrient losses in rice bran during storage. LSU AgCenter 2000, 870, 1–68. [Google Scholar]
- Rashid, N.Y.A.; Razak, D.L.A.; Jamaluddin, A.; Sharifuddin, S.A.; Long, K. Bioactive compounds and antioxidant activity of rice bran fermented with lactic acid bacteria. Malays. J. Microbiol. 2015, 11, 156–162. [Google Scholar] [CrossRef]
- Lin, Z.; Zhang, R.; Wu, Z.; Qiao, D.; Zhao, S.; Pi, X.; Zhang, B. Prolonging heat-moisture treatment time at medium moisture content optimizes the quality attributes of cooked brown rice through starch structural alteration. Int. J. Biol. Macromol. 2024, 279, 135561. [Google Scholar] [CrossRef]
- Balbinoti, T.C.V.; Jorge, L.M.d.M.; Jorge, R.M.M. Modeling the hydration step of the rice (Oryza sativa) parboiling process. J. Food Eng. 2018, 216, 81–89. [Google Scholar] [CrossRef]
- Zhang, S.; Ma, Y.; Ren, X.; Wu, W.; Liao, L. Combined Lactobacillus plantarum fermentation and heat-moisture treatment: Correlation analysis of physicochemical properties of rice flour and quality of rice noodles. Int. J. Gastron. Food Sci. 2025, 39, 101120. [Google Scholar] [CrossRef]
- Pareyt, B.; Talhaoui, F.; Kerckhofs, G.; Brijs, K.; Goesaert, H.; Wevers, M.; Delcour, J.A. The role of sugar and fat in sugar-snap cookies: Structural and textural properties. J. Food Eng. 2009, 90, 400–408. [Google Scholar] [CrossRef]
- Gómez, M. Chapter Five—Gluten-free bakery products: Ingredients and processes. In Advances in Food and Nutrition Research; Zhou, W., Gao, J., Eds.; Academic Press: Cambridge, MA, USA, 2022; Volume 99, pp. 189–238. [Google Scholar]
- Paesani, C.; Bravo-Núñez, Á.; Gómez, M. Effect of extrusion of whole-grain maize flour on the characteristics of gluten-free cookies. LWT 2020, 132, 109931. [Google Scholar] [CrossRef]
- Cakir, E.; Ozülkü, G.; Bekiroglu, H.; Arici, M.; Sagdic, O. Technological quality, bioactive features, and glycemic index of gluten-free cakes formulated with lyophilized wild Prunus spinosa fruit. Qual. Assur. Saf. Crops Foods 2024, 16, 1–11. [Google Scholar] [CrossRef]
- Chung, H.-J.; Cho, A.; Lim, S.-T. Effect of heat-moisture treatment for utilization of germinated brown rice in wheat noodle. LWT 2012, 47, 342–347. [Google Scholar] [CrossRef]
- Culetu, A.; Stoica-Guzun, A.; Duta, D.E. Impact of fat types on the rheological and textural properties of gluten-free oat dough and cookie. Int. J. Food Sci. Technol. 2021, 56, 126–137. [Google Scholar] [CrossRef]
- Thuengtung, S.; Ketnawa, S.; Ding, Y.; Cai, Y.; Ogawa, Y. Effect of mild heat-moisture treatment for harvested raw paddy rice on physicochemical properties and in vitro starch digestibility of cooked rice. Food Hydrocoll. Hlth. 2023, 3, 100133. [Google Scholar] [CrossRef]
- Chung, H.-J.; Cho, A.; Lim, S.-T. Utilization of germinated and heat-moisture treated brown rices in sugar-snap cookies. LWT 2014, 57, 260–266. [Google Scholar] [CrossRef]
- Sun, Z.; Lyu, Q.; Chen, L.; Zhuang, K.; Wang, G.; Ding, W.; Wang, Y.; Chen, X. An HS-GC-IMS analysis of volatile flavor compounds in brown rice flour and brown rice noodles produced using different methods. LWT 2022, 161, 113358. [Google Scholar] [CrossRef]
- Nakamura, S.; Okumura, H.; Sugawara, M.; Noro, W.; Homma, N.; Ohtsubo, K. Effects of different heat–moisture treatments on the physicochemical properties of brown rice flour. Biosci. Biotechnol. Biochem. 2017, 81, 2370–2385. [Google Scholar] [CrossRef]




| Index | Control | WRB | BRB | HBRB |
|---|---|---|---|---|
| Protein % | 8.83 ± 0.12 a | 7.75 ± 0.11 c | 8.44 ± 0.10 b | 8.60 ± 0.15 ab |
| Fat % | 14.73 ± 0.14 b | 14.22 ± 0.19 b | 16.51 ± 0.23 a | 16.59 ± 0.23 a |
| Carbohydrate % | 62.98 ± 0.45 b | 67.26 ± 0.53 a | 62.02 ± 0.44 bc | 61.49 ± 0.15 c |
| Moisture % | 8.93 ± 0.19 a | 7.69 ± 0.22 b | 7.60 ± 0.23 b | 7.47 ± 0.14 b |
| Total dietary fiber % | 2.67 ± 0.19 b | 1.27 ± 0.20 c | 3.27 ± 0.12 a | 3.62 ± 0.15 a |
| VB2 mg/100 g | -- | -- | 0.069 ± 0.0017 | 0.065 ± 0.0016 |
| Total phenolics % | 0.053 ± 0.003 d | 0.094 ± 0.003 c | 0.127 ± 0.009 b | 0.154 ± 0.007 a |
| VB1 mg/100 g | -- | -- | 0.179 ± 0.013 | 0.126 ± 0.008 |
| VE mg/100 g | 0.574 ± 0.009 c | 0.588 ± 0.015 c | 0.965 ± 0.017 b | 1.483 ± 0.035 a |
| Ash % | 1.86 ± 0.10 b | 1.82 ± 0.12 b | 2.16 ± 0.13 a | 2.23 ± 0.10 a |
| Properties | Index | Control | WRB | BRB | HBRB |
|---|---|---|---|---|---|
| Physical analysis | Thickness/mm | 10.50 ± 0.23 a | 6.26 ± 0.22 b | 6.11 ± 0.19 b | 5.56 ± 0.10 c |
| Diameter/mm | 42.63 ± 1.01 c | 46.20 ± 0.89 b | 48.00 ± 0.36 ab | 49.40 ± 0.36 a | |
| Spread ratio | 4.06 ± 0.18 c | 7.40 ± 0.41 b | 7.86 ± 0.28 b | 8.89 ± 0.22 a | |
| Hardness/g | 700.82 ± 11.88 c | 921.30 ± 17.62 b | 1177.53 ± 39.86 a | 1085.91 ± 58.06 a | |
| Brittleness/g/sec | 1068.89 ± 53.55 c | 1593.67 ± 39.35 b | 1973.20 ± 29.67 a | 2067.18 ± 52.76 a | |
| Color parameters | a* (redness) | 1.75 ± 0.39 b | 2.45 ± 2.47 ab | 3.04 ± 0.39 a | 2.91 ± 0.54 a |
| b* (yellowness) | 29.15 ± 0.35 a | 29.96 ± 0.57 a | 29.38 ± 0.34 a | 29.47 ± 0.75 a | |
| L* (lightness) | 81.46 ± 0.53 a | 79.58 ± 0.49 b | 76.44 ± 0.36 c | 75.07 ± 0.54 d | |
| ∆E | -- | 1.80 ± 0.25 c | 4.73 ± 0.31 b | 5.91 ± 0.04 a |
Disclaimer/Publisher’s Note: The statements, opinions and data contained in all publications are solely those of the individual author(s) and contributor(s) and not of MDPI and/or the editor(s). MDPI and/or the editor(s) disclaim responsibility for any injury to people or property resulting from any ideas, methods, instructions or products referred to in the content. |
© 2025 by the authors. Licensee MDPI, Basel, Switzerland. This article is an open access article distributed under the terms and conditions of the Creative Commons Attribution (CC BY) license (https://creativecommons.org/licenses/by/4.0/).
Share and Cite
Zhang, S.; Yuan, D.; Hong, B.; Shan, S.; Zhang, J.; Yan, S.; Gao, S.; Liu, Q.; Lu, S.; Ren, C. Effect of Combined Treatment of Heat Moisture and Ultrafine Grinding on the Quality of Gluten-Free Brown Rice Biscuits. Foods 2025, 14, 3763. https://doi.org/10.3390/foods14213763
Zhang S, Yuan D, Hong B, Shan S, Zhang J, Yan S, Gao S, Liu Q, Lu S, Ren C. Effect of Combined Treatment of Heat Moisture and Ultrafine Grinding on the Quality of Gluten-Free Brown Rice Biscuits. Foods. 2025; 14(21):3763. https://doi.org/10.3390/foods14213763
Chicago/Turabian StyleZhang, Shan, Di Yuan, Bin Hong, Shan Shan, Jingyi Zhang, Song Yan, Shiwei Gao, Qing Liu, Shuwen Lu, and Chuanying Ren. 2025. "Effect of Combined Treatment of Heat Moisture and Ultrafine Grinding on the Quality of Gluten-Free Brown Rice Biscuits" Foods 14, no. 21: 3763. https://doi.org/10.3390/foods14213763
APA StyleZhang, S., Yuan, D., Hong, B., Shan, S., Zhang, J., Yan, S., Gao, S., Liu, Q., Lu, S., & Ren, C. (2025). Effect of Combined Treatment of Heat Moisture and Ultrafine Grinding on the Quality of Gluten-Free Brown Rice Biscuits. Foods, 14(21), 3763. https://doi.org/10.3390/foods14213763

