Comparative Study of Crucial Properties of Packaging Based on Polylactide and Selected Essential Oils
Abstract
1. Introduction
2. Materials and Methods
2.1. Materials
2.2. Formation of Polylactide-Based Films
2.3. Methods of Analysis
2.3.1. Structure Measurements
2.3.2. Surface and Morphology Measurements
2.3.3. Thermal Properties
2.3.4. Mechanical Properties
2.3.5. Assessment of Antioxidative Properties
2.3.6. Water Vapor Transmission Rate
2.3.7. Global Migration Test
2.3.8. UV Protection
2.3.9. Statistics
3. Results and Discussion
3.1. SEM and AFM Analysis
3.2. Influence of Essential Oils on Structure
3.3. Determination of Thermal Properties of PLA-Based Materials
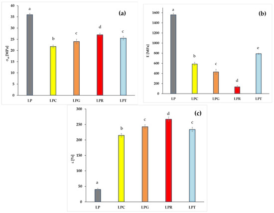
3.4. Changes in Mechanical Properties
3.5. Examination of WVTR
3.6. Differences in Antioxidative Properties
3.7. Evaluation of Global Migration
3.8. UV Barrier Properties
4. Conclusions
Author Contributions
Funding
Data Availability Statement
Conflicts of Interest
References
- Rodilla, J.M.; Rosado, T.; Gallardo, E. Essential Oils: Chemistry and Food Applications. Foods 2024, 13, 1074. [Google Scholar] [CrossRef]
- Carpena, M.; Nuñez-Estevez, B.; Soria-Lopez, A.; Garcia-Oliveira, P.; Prieto, M.A. Essential Oils and Their Application on Active Packaging Systems: A Review. Resources 2021, 10, 7. [Google Scholar] [CrossRef]
- Ju, J.; Chen, X.; Xie, Y.; Yu, H.; Guo, Y.; Cheng, Y.; Qian, H.; Yao, W. Application of Essential Oil as a Sustained Release Preparation in Food Packaging. Trends Food Sci. Technol. 2019, 92, 22–32. [Google Scholar] [CrossRef]
- Shamene, B.; Tee, S.M.; Rosli, N.A. Strategic Addition of Rosemary Essential Oil in Natural Rubber-Toughened Poly(Lactic Acid)/Cinnamon Oil Blends for Antimicrobial Packaging. Futur. Foods 2024, 10, 100506. [Google Scholar] [CrossRef]
- Sardar, N.R.; Akbari, S.H.; Modi, R.B.; Tiwari, M.; Tagalpallewar, G.P. Application of Essential Oils in Food Packaging: A Concise Review. Eur. J. Nutr. Food Saf. 2024, 16, 60–67. [Google Scholar] [CrossRef]
- Yousuf, B.; Wu, S.; Siddiqui, M.W. Incorporating Essential Oils or Compounds Derived Thereof into Edible Coatings: Effect on Quality and Shelf Life of Fresh/Fresh-Cut Produce. Trends Food Sci. Technol. 2021, 108, 245–257. [Google Scholar] [CrossRef]
- Varghese, S.A.; Siengchin, S.; Parameswaranpillai, J. Essential Oils as Antimicrobial Agents in Biopolymer-Based Food Packaging—A Comprehensive Review. Food Biosci. 2020, 38, 100785. [Google Scholar] [CrossRef]
- Sharma, S.; Barkauskaite, S.; Jaiswal, A.K.; Jaiswal, S. Essential Oils as Additives in Active Food Packaging. Food Chem. 2021, 343, 128403. [Google Scholar] [CrossRef] [PubMed]
- El Khetabi, A.; Lahlali, R.; Ezrari, S.; Radouane, N.; Lyousfi, N.; Banani, H.; Askarne, L.; Tahiri, A.; El Ghadraoui, L.; Belmalha, S.; et al. Role of Plant Extracts and Essential Oils in Fighting against Postharvest Fruit Pathogens and Extending Fruit Shelf Life: A Review. Trends Food Sci. Technol. 2022, 120, 402–417. [Google Scholar] [CrossRef]
- Akram, M.Z.; Yaman Fırıncıoğlu, S.; Jalal, H.; Canoğulları Doğan, S. The Use of Essential Oils in Active Food Packaging: A Review of Recent Studies. Turk. J. Agric.-Food Sci. Technol. 2019, 7, 1799–1804. [Google Scholar] [CrossRef]
- Atarés, L.; Chiralt, A. Essential Oils as Additives in Biodegradable Films and Coatings for Active Food Packaging. Trends Food Sci. Technol. 2016, 48, 51–62. [Google Scholar] [CrossRef]
- Mulla, M.; Ahmed, J.; Al-Attar, H.; Castro-Aguirre, E.; Arfat, Y.A.; Auras, R. Antimicrobial Efficacy of Clove Essential Oil Infused into Chemically Modified LLDPE Film for Chicken Meat Packaging. Food Control 2017, 73, 663–671. [Google Scholar] [CrossRef]
- Rui, L.; Li, Y.; Wu, X.; Wang, Y.; Xia, X. Effect of Clove Essential Oil Nanoemulsion on Physicochemical and Antioxidant Properties of Chitosan Film. Int. J. Biol. Macromol. 2024, 263, 130286. [Google Scholar] [CrossRef] [PubMed]
- Ahmed, J.; Hiremath, N.; Jacob, H. Efficacy of Antimicrobial Properties of Polylactide/Cinnamon Oil Film with and without High-Pressure Treatment against Listeria Monocytogenes and Salmonella Typhimurium Inoculated in Chicken Sample. Food Packag. Shelf Life 2016, 10, 72–78. [Google Scholar] [CrossRef]
- Qin, Y.; Li, W.; Liu, D.; Yuan, M.; Li, L. Development of Active Packaging Film Made from Poly (Lactic Acid) Incorporated Essential Oil. Prog. Org. Coat. 2017, 103, 76–82. [Google Scholar] [CrossRef]
- Javidi, Z.; Hosseini, S.F.; Rezaei, M. Development of Flexible Bactericidal Films Based on Poly(Lactic Acid) and Essential Oil and Its Effectiveness to Reduce Microbial Growth of Refrigerated Rainbow Trout. LWT 2016, 72, 251–260. [Google Scholar] [CrossRef]
- Tarach, I.; Olewnik-Kruszkowska, E.; Richert, A.; Gierszewska, M.; Rudawska, A. Influence of Tea Tree Essential Oil and Poly(Ethylene Glycol) on Antibacterial and Physicochemical Properties of Polylactide-Based Films. Materials 2020, 13, 4953. [Google Scholar] [CrossRef] [PubMed]
- Tao, R.; Sedman, J.; Ismail, A. Antimicrobial Activity of Various Essential Oils and Their Application in Active Packaging of Frozen Vegetable Products. Food Chem. 2021, 360, 129956. [Google Scholar] [CrossRef] [PubMed]
- Stoleru, E.; Brebu, M. Stabilization Techniques of Essential Oils by Incorporation into Biodegradable Polymeric Materials for Food Packaging. Molecules 2021, 26, 6307. [Google Scholar] [CrossRef]
- Ejaz, M.; Arfat, Y.A.; Mulla, M.; Ahmed, J. Zinc Oxide Nanorods/Clove Essential Oil Incorporated Type B Gelatin Composite Films and Its Applicability for Shrimp Packaging. Food Packag. Shelf Life 2018, 15, 113–121. [Google Scholar] [CrossRef]
- Woźniak, M.; Młodziejewska, J.; Stefanowska, K.; Mrówczyńska, L.; Sip, A.; Dobrucka, R.; Ratajczak, I. Chitosan-Based Films with Essential Oil Components for Food Packaging. Coatings 2024, 14, 830. [Google Scholar] [CrossRef]
- Li, H.; Wu, C.; Yin, Z.; Wu, J.; Zhu, L.; Gao, M.; Zhan, X. Emulsifying Properties and Bioavailability of Clove Essential Oil Pickering Emulsions Stabilized by Octadecylaminated Carboxymethyl Curdlan. Int. J. Biol. Macromol. 2022, 216, 629–642. [Google Scholar] [CrossRef]
- Thungphotrakul, N.; Prapainainar, P. Development of Polyvinyl Alcohol/Carboxymethylcellulose-Based Bio-Packaging Film with Citric Acid Crosslinking and Clove Essential Oil Encapsulated Chitosan Nanoparticle Pickering Emulsion. Int. J. Biol. Macromol. 2024, 282, 137223. [Google Scholar] [CrossRef]
- Nagaraju, P.G.; Sengupta, P.; Chicgovinda, P.P.; Rao, P.J. Nanoencapsulation of Clove Oil and Study of Physicochemical Properties, Cytotoxic, Hemolytic, and Antioxidant Activities. J. Food Process Eng. 2021, 44, e13645. [Google Scholar] [CrossRef]
- Rusková, M.; Opálková Šišková, A.; Mosnáčková, K.; Gago, C.; Guerreiro, A.; Bučková, M.; Puškárová, A.; Pangallo, D.; Antunes, M.D. Biodegradable Active Packaging Enriched with Essential Oils for Enhancing the Shelf Life of Strawberries. Antioxidants 2023, 12, 755. [Google Scholar] [CrossRef]
- Ferreira, R.R.; Souza, A.G.; Rosa, D.S. Essential Oil-Loaded Nanocapsules and Their Application on PBAT Biodegradable Films. J. Mol. Liq. 2021, 337, 116488. [Google Scholar] [CrossRef]
- De Bruno, A.; Gattuso, A.; Ritorto, D.; Piscopo, A.; Poiana, M. Effect of Edible Coating Enriched with Natural Antioxidant Extract and Bergamot Essential Oil on the Shelf Life of Strawberries. Foods 2023, 12, 488. [Google Scholar] [CrossRef]
- Pandey, V.K.; Islam, R.U.; Shams, R.; Dar, A.H. A Comprehensive Review on the Application of Essential Oils as Bioactive Compounds in Nano-Emulsion Based Edible Coatings of Fruits and Vegetables. Appl. Food Res. 2022, 2, 100042. [Google Scholar] [CrossRef]
- Li, X.L.; Shen, Y.; Hu, F.; Zhang, X.X.; Thakur, K.; Rengasamy, K.R.R.; Khan, M.R.; Busquets, R.; Wei, Z.J. Fortification of Polysaccharide-Based Packaging Films and Coatings with Essential Oils: A Review of Their Preparation and Use in Meat Preservation. Int. J. Biol. Macromol. 2023, 242, 124767. [Google Scholar] [CrossRef]
- Grande-Tovar, C.D.; Chaves-Lopez, C.; Serio, A.; Rossi, C.; Paparella, A. Chitosan Coatings Enriched with Essential Oils: Effects on Fungi Involve in Fruit Decay and Mechanisms of Action. Trends Food Sci. Technol. 2018, 78, 61–71. [Google Scholar] [CrossRef]
- de Oliveira, M.S.; da Costa, W.A.; Pereira, D.S.; Botelho, J.R.S.; de Alencar Menezes, T.O.; de Aguiar Andrade, E.H.; da Silva, S.H.M.; da Silva Sousa Filho, A.P.; de Carvalho, R.N. Chemical Composition and Phytotoxic Activity of Clove (Syzygium aromaticum) Essential Oil Obtained with Supercritical CO2. J. Supercrit. Fluids 2016, 118, 185–193. [Google Scholar] [CrossRef]
- Haro-González, J.N.; Castillo-Herrera, G.A.; Martínez-Velázquez, M.; Espinosa-Andrews, H. Clove Essential Oil (Syzygium aromaticum L. Myrtaceae): Extraction, Chemical Composition, Food Applications, and Essential Bioactivity for Human Health. Molecules 2021, 26, 6387. [Google Scholar] [CrossRef] [PubMed]
- Deng, W.; Liu, K.; Cao, S.; Sun, J.; Zhong, B.; Chun, J. Chemical Composition, Antimicrobial, Antioxidant, and Antiproliferative Properties of Grapefruit Essential Oil Prepared by Molecular Distillation. Molecules 2020, 25, 217. [Google Scholar] [CrossRef] [PubMed]
- Ahmed, S.; Rattanpal, H.S.; Gul, K.; Dar, R.A.; Sharma, A. Chemical Composition, Antioxidant Activity and GC-MS Analysis of Juice and Peel Oil of Grapefruit Varieties Cultivated in India. J. Integr. Agric. 2019, 18, 1634–1642. [Google Scholar] [CrossRef]
- Micić, D.; Đurović, S.; Riabov, P.; Tomić, A.; Šovljanski, O.; Filip, S.; Tosti, T.; Dojčinović, B.; Božović, R.; Jovanović, D.; et al. Rosemary Essential Oils as a Promising Source of Bioactive Compounds: Chemical Composition, Thermal Properties, Biological Activity, and Gastronomical Perspectives. Foods 2021, 10, 2734. [Google Scholar] [CrossRef] [PubMed]
- Sienkiewicz, M.; Łysakowska, M.; Pastuszka, M.; Bienias, W.; Kowalczyk, E. The Potential of Use Basil and Rosemary Essential Oils as Effective Antibacterial Agents. Molecules 2013, 18, 9334–9351. [Google Scholar] [CrossRef]
- Manzanelli, F.A.; Ravetti, S.; Brignone, S.G.; Garro, A.G.; Martínez, S.R.; Vallejo, M.G.; Palma, S.D. Enhancing the Functional Properties of Tea Tree Oil: In Vitro Antimicrobial Activity and Microencapsulation Strategy. Pharmaceutics 2023, 15, 2489. [Google Scholar] [CrossRef] [PubMed]
- Yadav, D.K.; Singh, J.P.; Singh, S.R.; Yadav, S. Identification of Phytoconstituents in Oil of Melaleuca Alternifolia through Fourier Transform Infrared Spectroscopy. Int. J. Adv. Biochem. Res. 2024, 8, 1024–1026. [Google Scholar] [CrossRef]
- Ait Ouahioune, L.; Wrona, M.; Becerril, R.; Salafranca, J.; Nerín, C.; Djenane, D. Ceratonia Siliqua L. Kibbles, Seeds and Leaves as a Source of Volatile Bioactive Compounds for Antioxidant Food Biopackaging Applications. Food Packag. Shelf Life 2022, 31, 100764. [Google Scholar] [CrossRef]
- Olewnik-Kruszkowska, E.; Ferri, M.; Cardeira, M.C.; Gierszewska, M.; Rudawska, A. Comparison of Polylactide-Based Active Films Containing Berberine and Quercetin as Systems for Maintaining the Quality and Safety of Blueberries. Polymers 2024, 16, 1577. [Google Scholar] [CrossRef] [PubMed]
- Commission Regulation (EU). 2016/1416 of 24 August 2016 Amending and Correcting Regulation (EU) No 10/2011 on Plastic Materials and Articles Intended to Come into Contact with Food. Off. J. Eur. Union 2016, 22, 22–42. [Google Scholar]
- Laskowski, D.; Strzelecki, J.; Pawlak, K.; Dahm, H.; Balter, A. Effect of Ampicillin on Adhesive Properties of Bacteria Examined by Atomic Force Microscopy. Micron 2018, 112, 84–90. [Google Scholar] [CrossRef] [PubMed]
- Olewnik-Kruszkowska, E.; Gierszewska, M.; Wrona, M.; Richert, A.; Rudawska, A. Polylactide-Based Films Incorporated with Berberine—Physicochemical and Antibacterial Properties. Foods 2023, 12, 91. [Google Scholar] [CrossRef] [PubMed]
- Sánchez-González, L.; Vargas, M.; González-Martínez, C.; Chiralt, A.; Cháfer, M. Characterization of Edible Films Based on Hydroxypropylmethylcellulose and Tea Tree Essential Oil. Food Hydrocoll. 2009, 23, 2102–2109. [Google Scholar] [CrossRef]
- Sánchez-González, L.; González-Martínez, C.; Chiralt, A.; Cháfer, M. Physical and Antimicrobial Properties of Chitosan-Tea Tree Essential Oil Composite Films. J. Food Eng. 2010, 98, 443–452. [Google Scholar] [CrossRef]
- Perumal, A.B.; Huang, L.; Nambiar, R.B.; He, Y.; Li, X.; Sellamuthu, P.S. Application of Essential Oils in Packaging Films for the Preservation of Fruits and Vegetables: A Review. Food Chem. 2022, 375, 131810. [Google Scholar] [CrossRef]
- Ribeiro-Santos, R.; Andrade, M.; de Melo, N.R.; Sanches-Silva, A. Use of Essential Oils in Active Food Packaging: Recent Advances and Future Trends. Trends Food Sci. Technol. 2017, 61, 132–140. [Google Scholar] [CrossRef]
- Dhifi, W.; Bellili, S.; Jazi, S.; Bahloul, N.; Mnif, W. Essential Oils’ Chemical Characterization and Investigation of Some Biological Activities: A Critical Review. Medicines 2016, 3, 25. [Google Scholar] [CrossRef] [PubMed]
- Southwell, I.A. Chemistry of Essential Oils and Food Flavours; MDPI: Basel, Switzerland, 2023; ISBN 9783036558721. [Google Scholar]
- Can Baser, H.; Buchbauer, G. Handbook of Essential Oils; Baser, K.H.C., Buchbauer, G., Eds.; CRC Press: Boca Raton, FL, USA, 2015; ISBN 9780429155666. [Google Scholar]
- Olewnik-Kruszkowska, E.; Gierszewska, M.; Richert, A.; Grabska-Zielińska, S.; Rudawska, A.; Bouaziz, M. Antibacterial Films Based on Polylactide with the Addition of Quercetin and Poly(Ethylene Glycol). Materials 2021, 14, 1643. [Google Scholar] [CrossRef]
- Jirovetz, L.; Buchbauer, G.; Stoilova, I.; Stoyanova, A.; Krastanov, A.; Schmidt, E. Chemical Composition and Antioxidant Properties of Clove Leaf Essential Oil. J. Agric. Food Chem. 2006, 54, 6303–6307. [Google Scholar] [CrossRef]
- Pramod, K.; Suneesh, C.V.; Shanavas, S.; Ansari, S.H.; Ali, J. Unveiling the Compatibility of Eugenol with Formulation Excipients by Systematic Drug-Excipient Compatibility Studies. J. Anal. Sci. Technol. 2015, 6, 34. [Google Scholar] [CrossRef]
- Medvecká, V.; Mošovská, S.; Mikulajová, A.; Valík, Ľ.; Zahoranová, A. Cold Atmospheric Pressure Plasma Decontamination of Allspice Berries and Effect on Qualitative Characteristics. Eur. Food Res. Technol. 2020, 246, 2215–2223. [Google Scholar] [CrossRef]
- Nuchuchua, O.; Saesoo, S.; Sramala, I.; Puttipipatkhachorn, S.; Soottitantawat, A.; Ruktanonchai, U. Physicochemical Investigation and Molecular Modeling of Cyclodextrin Complexation Mechanism with Eugenol. Food Res. Int. 2009, 42, 1178–1185. [Google Scholar] [CrossRef]
- Woranuch, S.; Yoksan, R. Eugenol-Loaded Chitosan Nanoparticles: I. Thermal Stability Improvement of Eugenol through Encapsulation. Carbohydr. Polym. 2013, 96, 578–585. [Google Scholar] [CrossRef]
- López-Sosa, L.B.; González-Avilés, M.; Hernández-Ramírez, L.M.; Medina-Flores, A.; López-Luke, T.; Bravo-Sánchez, M.; Zárate-Medina, J. Ecological Solar Absorber Coating: A Proposal for the Use of Residual Biomass and Recycled Materials for Energy Conversion. Sol. Energy 2020, 202, 238–248. [Google Scholar] [CrossRef]
- Thais, C.; Manthey, J.A. Spectral Characterics of Grapefruit Peel Oil Furanocoumarins and Coumarins. Proc. Fla. State Hortic. Soc. 2007, 120, 295–298. [Google Scholar]
- Schulz, H.; Schrader, B.; Quilitzsch, R.; Steuer, B. Quantitative Analysis of Various Citrus Oils by ATR/FT-IR and NIR-FT Raman Spectroscopy. Appl. Spectrosc. 2002, 56, 117–124. [Google Scholar] [CrossRef]
- Agatonovic-Kustrin, S.; Ristivojevic, P.; Gegechkori, V.; Litvinova, T.M.; Morton, D.W. Essential Oil Quality and Purity Evaluation via Ft-Ir Spectroscopy and Pattern Recognition Techniques. Appl. Sci. 2020, 10, 7294. [Google Scholar] [CrossRef]
- Boughendjioua, H.; Boughendjioua, Z.; Zahra Boughendjioua, C. Fourier Transformed Infrared Spectroscopy Analysis of Constituents of Rosmarinus officinalis L. Essential Oil from Algeria. Int. J. Herb. Med. 2017, 5, 110–113. [Google Scholar]
- Kaur, R.; Gupta, T.B.; Bronlund, J.; Singh, J.; Kaur, L. Synthesis and Characterisation of Mānuka and Rosemary Oil-Based Nano-Entities and Their Application in Meat. Food Chem. 2024, 436, 137600. [Google Scholar] [CrossRef]
- Agnieszka, N.; Danuta, K.; Malgorzata, P.; Agata, C. Effects of Thyme (Thymus vulgaris L.) and Rosemary (Rosmarinus officinalis L.) Essential Oils on Growth of Brochothrix Thermosphacta. Afr. J. Microbiol. Res. 2013, 7, 3396–3404. [Google Scholar] [CrossRef]
- Borotová, P.; Galovičová, L.; Vukovic, N.L.; Vukic, M.; Tvrdá, E.; Kačániová, M. Chemical and Biological Characterization of Melaleuca Alternifolia Essential Oil. Plants 2022, 11, 558. [Google Scholar] [CrossRef] [PubMed]
- Ahmed, J.; Hiremath, N.; Jacob, H. Antimicrobial, Rheological, and Thermal Properties of Plasticized Polylactide Films Incorporated with Essential Oils to Inhibit Staphylococcus Aureus and Campylobacter Jejuni. J. Food Sci. 2016, 81, E419–E429. [Google Scholar] [CrossRef] [PubMed]
- Cerdá-Gandia, R.; Agüero, Á.; Arrieta, M.P.; Fenollar, O. Effect of Different Porous Size of Porous Inorganic Fillers on the Encapsulation of Rosemary Essential Oil for PLA-Based Active Packaging. Polymers 2024, 16, 2632. [Google Scholar] [CrossRef] [PubMed]
- Ahmed, J.; Mulla, M.; Jacob, H.; Luciano, G.; Bini, T.B.; Almusallam, A. Polylactide/Poly(ε-Caprolactone)/Zinc Oxide/Clove Essential Oil Composite Antimicrobial Films for Scrambled Egg Packaging. Food Packag. Shelf Life 2019, 21, 100355. [Google Scholar] [CrossRef]
- Borges, J.C.; de Almeida Campos, L.A.; Kretzschmar, E.A.M.; Cavalcanti, I.M.F. Incorporation of Essential Oils in Polymeric Films for Biomedical Applications. Int. J. Biol. Macromol. 2024, 269, 132108. [Google Scholar] [CrossRef] [PubMed]
- Solano, A.C.V.; de Gante, C.R. Two Different Processes to Obtain Antimicrobial Packaging Containing Natural Oils. Food Bioprocess Technol. 2012, 5, 2522–2528. [Google Scholar] [CrossRef]
- Hossen, M.A.; Shimul, I.M.; Sameen, D.E.; Rasheed, Z.; Dai, J.; Li, S.; Qin, W.; Tang, W.; Chen, M.; Liu, Y. Essential Oil–Loaded Biopolymeric Particles on Food Industry and Packaging: A Review. Int. J. Biol. Macromol. 2024, 265, 130765. [Google Scholar] [CrossRef]
- Aitboulahsen, M.; El Galiou, O.; Laglaoui, A.; Bakkali, M.; Hassani Zerrouk, M. Effect of Plasticizer Type and Essential Oils on Mechanical, Physicochemical, and Antimicrobial Characteristics of Gelatin, Starch, and Pectin-Based Films. J. Food Process. Preserv. 2020, 44, e14480. [Google Scholar] [CrossRef]
- Djebbi, T.; Ascrizzi, R.; Bedini, S.; Farina, P.; Sanmartin, C.; Mediouni Ben Jemâa, J.; Bozzini, M.F.; Flamini, G.; Conti, B. Physicochemical and Repellent Properties of Chitosan Films Loaded with Essential Oils for Producing an Active Packaging Effective against the Food Pest Sitophilus Oryzae. J. Stored Prod. Res. 2024, 106, 102297. [Google Scholar] [CrossRef]
- Shahbazi, Y. The Properties of Chitosan and Gelatin Films Incorporated with Ethanolic Red Grape Seed Extract and Ziziphora Clinopodioides Essential Oil as Biodegradable Materials for Active Food Packaging. Int. J. Biol. Macromol. 2017, 99, 746–753. [Google Scholar] [CrossRef]
- Noshirvani, N.; Ghanbarzadeh, B.; Gardrat, C.; Rezaei, M.R.; Hashemi, M.; Le Coz, C.; Coma, V. Cinnamon and Ginger Essential Oils to Improve Antifungal, Physical and Mechanical Properties of Chitosan-Carboxymethyl Cellulose Films. Food Hydrocoll. 2017, 70, 36–45. [Google Scholar] [CrossRef]
- Lenzi, L.; Degli Esposti, M.; Braccini, S.; Siracusa, C.; Quartinello, F.; Guebitz, G.M.; Puppi, D.; Morselli, D.; Fabbri, P. Further Step in the Transition from Conventional Plasticizers to Versatile Bioplasticizers Obtained by the Valorization of Levulinic Acid and Glycerol. ACS Sustain. Chem. Eng. 2023, 11, 9455–9469. [Google Scholar] [CrossRef]
- Duan, Z.; Thomas, N.L. Water Vapour Permeability of Poly(Lactic Acid): Crystallinity and the Tortuous Path Model. J. Appl. Phys. 2014, 115, 064903. [Google Scholar] [CrossRef]
- Brdlík, P.; Novák, J.; Borůvka, M.; Běhálek, L.; Lenfeld, P. The Influence of Plasticizers and Accelerated Ageing on Biodegradation of PLA under Controlled Composting Conditions. Polymers 2023, 15, 140. [Google Scholar] [CrossRef]
- Chaos, A.; Sangroniz, A.; Gonzalez, A.; Iriarte, M.; Sarasua, J.R.; del Río, J.; Etxeberria, A. Tributyl Citrate as an Effective Plasticizer for Biodegradable Polymers: Effect of Plasticizer on Free Volume and Transport and Mechanical Properties. Polym. Int. 2019, 68, 125–133. [Google Scholar] [CrossRef]
- Ait-Ouazzou, A.; Cherrat, L.; Espina, L.; Lorán, S.; Rota, C.; Pagán, R. The Antimicrobial Activity of Hydrophobic Essential Oil Constituents Acting Alone or in Combined Processes of Food Preservation. Innov. Food Sci. Emerg. Technol. 2011, 12, 320–329. [Google Scholar] [CrossRef]
- Bertella, A.; Gavril, G.L.; Wrona, M.; Pezo, D.; Sidaoui, A.; Benlahcen, K.; Kihal, M.; Olewnik-Kruszkowska, E.; Salafranca, J.; Nerín, C. Analysis of Bioactive Aroma Compounds in Essential Oils from Algerian Plants: Implications for Potential Antioxidant Applications. Foods 2024, 13, 749. [Google Scholar] [CrossRef]
- Alparslan, Y. Antimicrobial and Antioxidant Capacity of Biodegradable Gelatin Film Forming Solutions Incorporated with Different Essential Oils. J. Food Meas. Charact. 2018, 12, 317–322. [Google Scholar] [CrossRef]
- Al Jaafreh, A.M. Evaluation of Antioxidant Activities of Rosemary (Rosmarinus officinalis L.) Essential Oil and Different Types of Solvent Extractions. Biomed. Pharmacol. J. 2024, 17, 323–339. [Google Scholar] [CrossRef]
- Malik, P.; Upadhyay, P. GC-MS Chemical Profile, Antioxidant Activity, and Sun Protection Factor of Essential Oil of Tea Tree (Melaleuca alternifolia) and Rosemary (Rosmarinus officinalis L.). Orient. J. Chem. 2022, 38, 1266–1275. [Google Scholar] [CrossRef]
- Vasile, C.; Sivertsvik, M.; Miteluţ, A.C.; Brebu, M.A.; Stoleru, E.; Rosnes, J.T.; Tănase, E.E.; Khan, W.; Pamfil, D.; Cornea, C.P.; et al. Comparative Analysis of the Composition and Active Property Evaluation of Certain Essential Oils to Assess Their Potential Applications in Active Food Packaging. Materials 2017, 10, 45. [Google Scholar] [CrossRef] [PubMed]
- Flamini, G.; Cioni, P.L. Odour Gradients and Patterns in Volatile Emission of Different Plant Parts and Developing Fruits of Grapefruit (Citrus paradisi L.). Food Chem. 2010, 120, 984–992. [Google Scholar] [CrossRef]
- Olszowy, M.; Dawidowicz, A.L. Essential Oils as Antioxidants: Their Evaluation by DPPH, ABTS, FRAP, CUPRAC, and β-Carotene Bleaching Methods. Monatsh. Chem. 2016, 147, 2083–2091. [Google Scholar] [CrossRef]
- Alonso, P.; Fernández-Pastor, S.; Guerrero, A. Application of Cinnamon Essential Oil in Active Food Packaging: A Review. Appl. Sci. 2024, 14, 6554. [Google Scholar] [CrossRef]
- Martínez-Hernández, G.B.; López-Gómez, A. Potential of Released Essential Oils from Active Packaging to Reduce Refrigeration Needs of Fruit and Vegetables. Clean Technol. 2022, 4, 1255–1268. [Google Scholar] [CrossRef]
- Lelis de Souza, A.; Araujo Vieira, M.J.; do Amaral e Paiva, M.J.; Bittencourt, M.T.; Vieira, É.N.R.; de Castro Leite, B.R.J. Antimicrobial Biodegradable Packaging with Nanotechnology Application. Res. Soc. Dev. 2022, 11, e3511830406. [Google Scholar] [CrossRef]
- Prakash, A.; Baskaran, R.; Paramasivam, N.; Vadivel, V. Essential Oil Based Nanoemulsions to Improve the Microbial Quality of Minimally Processed Fruits and Vegetables: A Review. Food Res. Int. 2018, 111, 509–523. [Google Scholar] [CrossRef]
- Souza, V.G.L.; Rodrigues, P.F.; Duarte, M.P.; Fernando, A.L. Antioxidant Migration Studies in Chitosan Films Incorporated with Plant Extracts. J. Renew. Mater. 2018, 6, 548–558. [Google Scholar] [CrossRef]
- Martynov, V.O.; Titov, O.G.; Kolombar, T.M.; Brygadyrenko, V.V. Influence of Essential Oils of Plants on the Migration Activity of Tribolium Confusum (Coleoptera, Tenebrionidae). Biosyst. Divers. 2019, 27, 177–185. [Google Scholar] [CrossRef]
- Pei, L.; Zhang, X.; Peng, Y.; Shi, J. Food Simulants Affected the Migration of Essential Oil and Film Structure in Chitosan Based Composite Films. J. Food Sci. Technol. 2024, 61, 1–12. [Google Scholar] [CrossRef]
- Roy, S.; Ramakrishnan, R.; Goksen, G.; Singh, S.; Łopusiewicz, Ł. Recent Progress on UV-Light Barrier Food Packaging Films—A Systematic Review. Innov. Food Sci. Emerg. Technol. 2024, 91, 103550. [Google Scholar] [CrossRef]
- Guzman-Puyol, S.; Hierrezuelo, J.; Benítez, J.J.; Tedeschi, G.; Porras-Vázquez, J.M.; Heredia, A.; Athanassiou, A.; Romero, D.; Heredia-Guerrero, J.A. Transparent, UV-Blocking, and High Barrier Cellulose-Based Bioplastics with Naringin as Active Food Packaging Materials. Int. J. Biol. Macromol. 2022, 209, 1985–1994. [Google Scholar] [CrossRef]
- Kwon, S.; Orsuwan, A.; Bumbudsanpharoke, N.; Yoon, C.; Choi, J.; Ko, S. A Short Review of Light Barrier Materials for Food and Beverage Packaging. Korean J. Packag. Sci. Technol. 2018, 24, 141–148. [Google Scholar] [CrossRef]










| Sample | Tg (°C) | Tc (°C) | ΔHc (J/g) | Tm (°C) | ΔHm (J/g) | Xc [%] |
|---|---|---|---|---|---|---|
| LP | 51.09 | 101.11 | 22.01 | 142.82/151.79 | 27.44 | 26.50 |
| LPC | - | 91.16 | 15.45 | 149.30 | 18.6 | 20.08 |
| LPG | 42.68 | 92.68 | 19.92 | 141.22/151.92 | 23.14 | 24.98 |
| LPR | 39.19 | 97.33 | 18.21 | 152.09 | 21.18 | 22.86 |
| LPT | 39.03 | 93.67 | 16.08 | 152.09 | 19.12 | 20.64 |
Disclaimer/Publisher’s Note: The statements, opinions and data contained in all publications are solely those of the individual author(s) and contributor(s) and not of MDPI and/or the editor(s). MDPI and/or the editor(s) disclaim responsibility for any injury to people or property resulting from any ideas, methods, instructions or products referred to in the content. |
© 2025 by the authors. Licensee MDPI, Basel, Switzerland. This article is an open access article distributed under the terms and conditions of the Creative Commons Attribution (CC BY) license (https://creativecommons.org/licenses/by/4.0/).
Share and Cite
Olewnik-Kruszkowska, E.; Vishwakarma, A.; Wrona, M.; Bertella, A.; Rudawska, A.; Gierszewska, M.; Schmidt, B. Comparative Study of Crucial Properties of Packaging Based on Polylactide and Selected Essential Oils. Foods 2025, 14, 204. https://doi.org/10.3390/foods14020204
Olewnik-Kruszkowska E, Vishwakarma A, Wrona M, Bertella A, Rudawska A, Gierszewska M, Schmidt B. Comparative Study of Crucial Properties of Packaging Based on Polylactide and Selected Essential Oils. Foods. 2025; 14(2):204. https://doi.org/10.3390/foods14020204
Chicago/Turabian StyleOlewnik-Kruszkowska, Ewa, Astha Vishwakarma, Magdalena Wrona, Anis Bertella, Anna Rudawska, Magdalena Gierszewska, and Beata Schmidt. 2025. "Comparative Study of Crucial Properties of Packaging Based on Polylactide and Selected Essential Oils" Foods 14, no. 2: 204. https://doi.org/10.3390/foods14020204
APA StyleOlewnik-Kruszkowska, E., Vishwakarma, A., Wrona, M., Bertella, A., Rudawska, A., Gierszewska, M., & Schmidt, B. (2025). Comparative Study of Crucial Properties of Packaging Based on Polylactide and Selected Essential Oils. Foods, 14(2), 204. https://doi.org/10.3390/foods14020204

