Acrylamide and Advanced Glycation End Products in Frying Food: Formation, Effects, and Harmfulness
Abstract
1. Introduction
2. Formation of Risk Factors
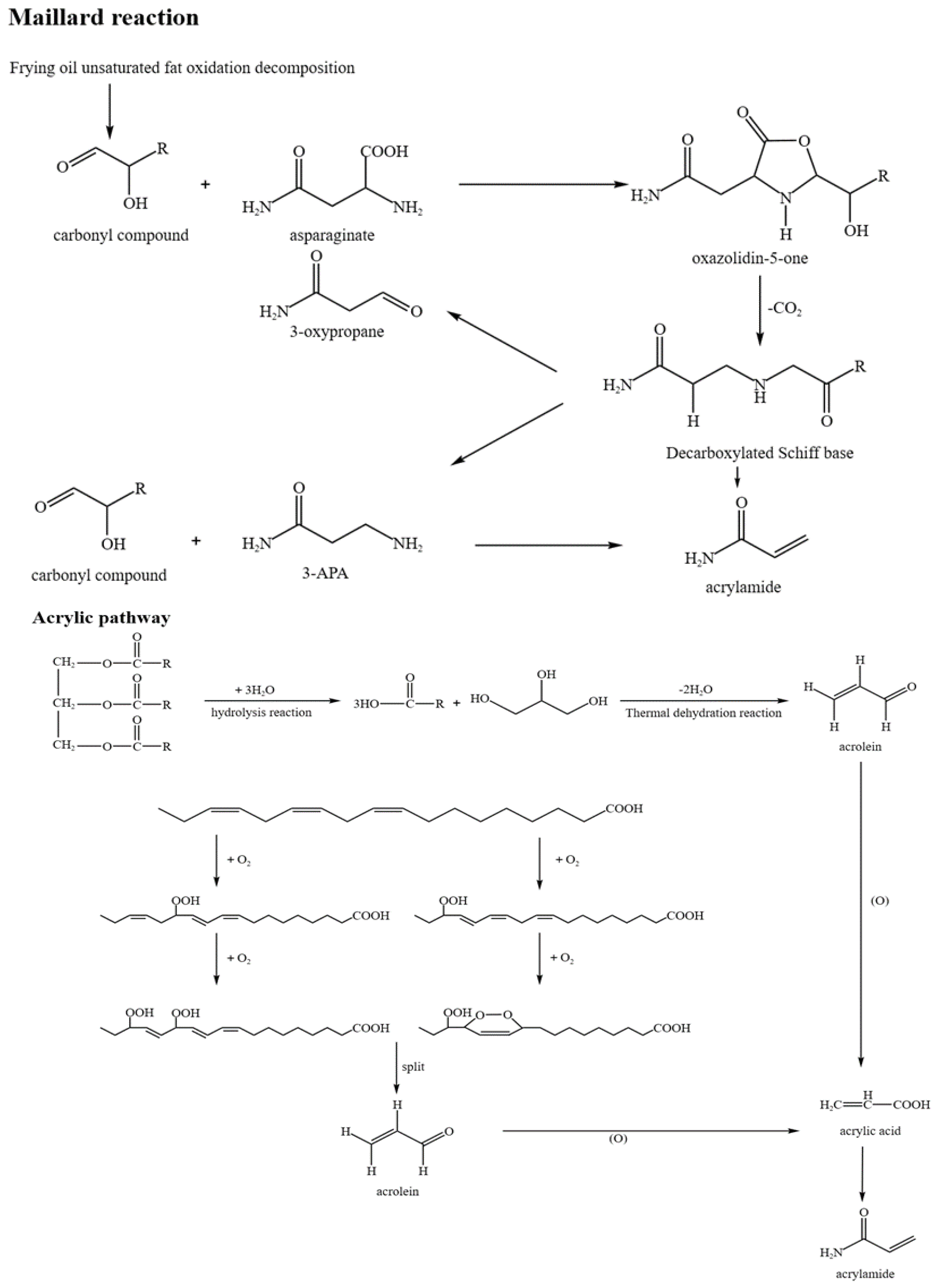
2.1. Formation of Acrylamide
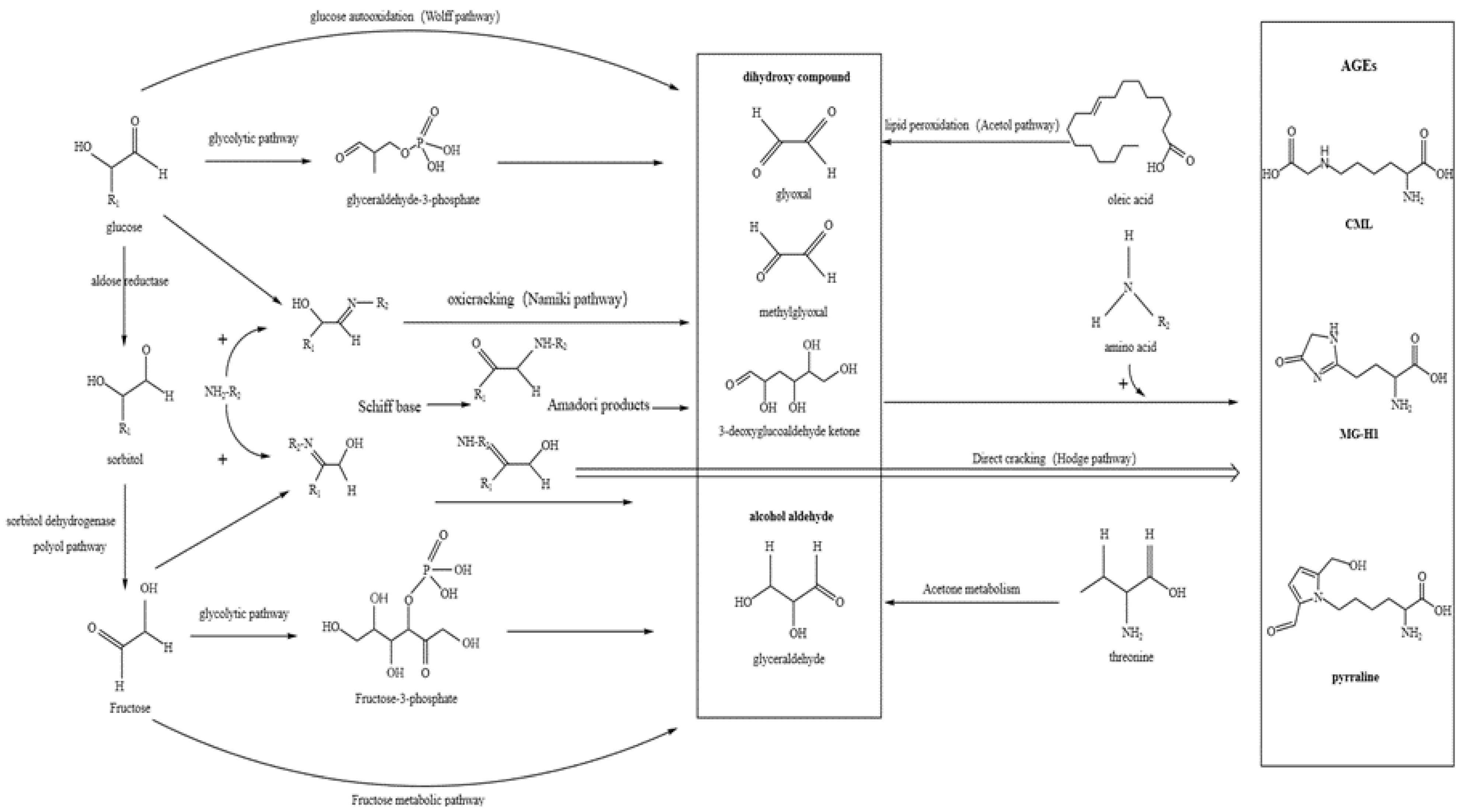
2.2. Formation of AGEs
3. Effects on the Formation of Risk Factors and Inhibition Methods
3.1. Effects on the Formation of Acrylamide in Food
3.1.1. Processing Conditions
3.1.2. Food Composition
3.2. Methods to Hinder the Acrylamide Formation in Food
3.3. Effects on the AGE Formation in Food
3.3.1. Factors Influencung AGE Formation
3.3.2. Food Components
3.4. Methods to Hinder the AGE Formation in Food
4. The Harmfulness of Risk Factors in Fried Foods
4.1. Harmfulness of AA in Fried Food
4.1.1. The Action Pathway of AA
4.1.2. Acrylamide Toxicity
Reproductive Toxicity
Neurotoxicity
Immune Toxicity
Carcinogenicity
4.2. Harmfulness of AGEs in Fried Food
4.2.1. The Action Pathway of AGEs
4.2.2. AGEs and Chronic Diseases
Obesity
Diabetes Mellitus and Related Complications
Cardiovascular Disease and Its Associated Problems
4.3. Health Implications of Acrylamide–AGEs Interactions
5. Conclusions
Author Contributions
Funding
Institutional Review Board Statement
Informed Consent Statement
Data Availability Statement
Conflicts of Interest
Abbreviations
References
- Dana, D.; Saguy, I.S. Mechanism of oil uptake during deep-fat frying and the surfactant effect-theory and myth. Adv. Colloid Interface Sci. 2006, 128–130, 267–272. [Google Scholar] [CrossRef] [PubMed]
- Trevisan, A.J.B.; de Almeida Lima, D.; Sampaio, G.R.; Soares, R.A.; Markowicz Bastos, D.H. Influence of home cooking conditions on Maillard reaction products in beef. Food Chem. 2016, 196, 161–169. [Google Scholar] [CrossRef] [PubMed]
- Sun, X.; Tang, J.; Wang, J.; Rasco, B.A.; Lai, K.; Huang, Y. Formation of free and protein-bound carboxymethyllysine and carboxyethyllysine in meats during commercial sterilization. Meat Sci. 2016, 116, 1–7. [Google Scholar] [CrossRef] [PubMed]
- Kavousi, P.; Mirhosseini, H.; Ghazali, H.; Ariffin, A.A. Formation and reduction of 5-hydroxymethylfurfural at frying temperature in model system as a function of amino acid and sugar composition. Food Chem. 2015, 182, 164–170. [Google Scholar] [CrossRef]
- Fei, L.; Kuhnle, G.K.; Qiaofen, C. The effect of common spices and meat type on the formation of heterocyclic amines and polycyclic aromatic hydrocarbons in deep-fried meatballs. Food Control 2018, 92, 399–411. [Google Scholar] [CrossRef]
- Andačić, I.M.; Tot, A.; Ivešić, M.; Krivohlavek, A.; Thirumdas, R.; Barba, F.J.; Sabolović, M.B.; Kljusurić, J.G.; Brnčić, S.R. Exposure of the Croatian adult population to acrylamide through bread and bakery products. Food Chem. 2020, 322, 126771. [Google Scholar] [CrossRef]
- Kathuria, D.; Hamid; Gautam, S.; Thakur, A. Maillard reaction in different food products: Effect on product quality, human health and mitigation strategies. Food Control 2023, 153, 109911. [Google Scholar] [CrossRef]
- Baskar, G.; Aiswarya, R. Overview on mitigation of acrylamide in starchy fried and baked foods. J. Sci. Food Agric. 2018, 98, 4385–4394. [Google Scholar] [CrossRef]
- Zilic, S.; Aktag, I.G.; Dodig, D.; Filipovic, M.; Gokmen, V. Acrylamide formation in biscuits made of different wholegrain flours depending on their free asparagine content and baking conditions. Food Res. Int. 2020, 132, 109109. [Google Scholar] [CrossRef]
- Lee, S.H.; Choi, W.; Jun, S. Conventional and Emerging Combination Technologies for Food Processing. Food Eng. Rev. 2016, 8, 414–434. [Google Scholar] [CrossRef]
- Poulsen, M.W.; Hedegaard, R.V.; Andersen, J.M.; de Courten, B.; Bugel, S.; Nielsen, J.; Skibsted, L.H.; Dragsted, L.O. Advanced glycation endproducts in food and their effects on health. Food Chem. Toxicol. 2013, 60, 10–37. [Google Scholar] [CrossRef]
- Yubero-Serrano, E.M.; Pérez-Martínez, P. Advanced Glycation End Products and Their Involvement in Cardiovascular Disease. Angiology 2020, 71, 698–700. [Google Scholar] [CrossRef] [PubMed]
- Delgado-Andrade, C.; Fogliano, V. Dietary Advanced Glycosylation End-Products (dAGEs) and Melanoidins Formed through the Maillard Reaction: Physiological Consequences of their Intake. Annu. Rev. Food Sci. Technol. 2018, 9, 271–291. [Google Scholar] [CrossRef] [PubMed]
- Wei, Q.; Liu, T.; Sun, D.-W. Advanced glycation end-products (AGEs) in foods and their detecting techniques and methods: A review. Trends Food Sci. Technol. 2018, 82, 32–45. [Google Scholar] [CrossRef]
- Uribarri, J.; Woodruff, S.; Goodman, S.; Cai, W.; Chen, X.; Pyzik, R.; Yong, A.; Striker, G.E.; Vlassara, H. Advanced Glycation End Products in Foods and a Practical Guide to Their Reduction in the Diet. J. Am. Diet. Assoc. 2010, 110, 911–916.e12. [Google Scholar] [CrossRef]
- Delgado-Andrade, C.; Mesías, M.; Morales, F.J. Introduction to the Special Issue: New Frontiers in Acrylamide Study in Foods-Formation, Analysis and Exposure Assessment. Foods 2020, 9, 1506. [Google Scholar] [CrossRef]
- Augustine, D.A.; Bent, G.-A. Acrylamide, a toxic maillard by-product and its inhibition by sulfur-containing compounds: A mini review. Front. Food Sci. Technol. 2022, 2, 1072675. [Google Scholar] [CrossRef]
- Xu, P.; Zheng, Y.; Zhu, X.; Li, S.; Zhou, C. L-lysine and L-arginine inhibit the oxidation of lipids and proteins of emulsion sausage by chelating iron ion and scavenging radical. Asian-Australas. J. Anim. Sci. 2018, 31, 905–913. [Google Scholar] [CrossRef]
- Jin, C.; Wu, X.; Zhang, Y. Relationship between antioxidants and acrylamide formation: A review. Food Res. Int. 2013, 51, 611–620. [Google Scholar] [CrossRef]
- Martín-Vertedor, D.; Fernández, A.; Mesías, M.; Martínez, M.; Martín-Tornero, E. Identification of mitigation strategies to reduce acrylamide levels during the production of black olives. J. Food Compos. Anal. 2021, 102, 104009. [Google Scholar] [CrossRef]
- Edna Hee, P.-T.; Liang, Z.; Zhang, P.; Fang, Z. Formation mechanisms, detection methods and mitigation strategies of acrylamide, polycyclic aromatic hydrocarbons and heterocyclic amines in food products. Food Control 2024, 158, 110236. [Google Scholar] [CrossRef]
- Lee, J.-S.; Han, J.-W.; Jung, M.; Lee, K.-W.; Chung, M.-S. Effects of Thawing and Frying Methods on the Formation of Acrylamide and Polycyclic Aromatic Hydrocarbons in Chicken Meat. Foods 2020, 9, 573. [Google Scholar] [CrossRef]
- Basaran, B.; Turk, H. The influence of consecutive use of different oil types and frying oil in French fries on the acrylamide level. J. Food Compos. Anal. 2021, 104, 104177. [Google Scholar] [CrossRef]
- Stadler, R.H.; Blank, I.; Varga, N.; Robert, F.; Hau, J.; Guy, P.A.; Robert, M.-C.; Riediker, S. Acrylamide from Maillard reaction products. Nature 2002, 419, 449–450. [Google Scholar] [CrossRef]
- Xu, Y.; Cui, B.; Ran, R.; Liu, Y.; Chen, H.; Kai, G.; Shi, J. Risk assessment, formation, and mitigation of dietary acrylamide: Current status and future prospects. Food Chem. Toxicol. 2014, 69, 1–12. [Google Scholar] [CrossRef]
- Schouten, M.A.; Genovese, J.; Tappi, S.; Di Francesco, A.; Baraldi, E.; Cortese, M.; Caprioli, G.; Angeloni, S.; Vittori, S.; Rocculi, P. Effect of innovative pre-treatments on the mitigation of acrylamide formation in potato chips. Innov. Food Sci. Emerg. Technol. 2020, 64, 102397. [Google Scholar] [CrossRef]
- Anese, M.; Suman, M.; Nicoli, M.C. Acrylamide removal from heated foods. Food Chem. 2010, 119, 791–794. [Google Scholar] [CrossRef]
- Dias, F.F.G.; Junior, S.B.; Hantao, L.W.; Augusto, F.; Sato, H.H. Acrylamide mitigation in French fries using native L-asparaginase from Aspergillus oryzae CCT 3940. LWT Food Sci. Technol. 2017, 76, 222–229. [Google Scholar] [CrossRef]
- Al-Asmar, A.; Naviglio, D.; Giosafatto, C.V.L.; Mariniello, L. Hydrocolloid-based coatings are effective at reducing acrylamide and oil content of French fries. Coatings 2018, 8, 147. [Google Scholar] [CrossRef]
- Tareke, E.; Rydberg, P.; Karlsson, P.; Eriksson, S.; Törnqvist, M. Analysis of acrylamide, a carcinogen formed in heated foodstuffs. J. Agric. Food Chem. 2002, 50, 4998–5006. [Google Scholar] [CrossRef] [PubMed]
- Aktağ, I.G.; Hamzalıoğlu, A.; Kocadağlı, T.; Gökmen, V. Dietary exposure to acrylamide: A critical appraisal on the conversion of disregarded intermediates into acrylamide and possible reactions during digestion. Curr. Res. Food Sci. 2022, 5, 1118–1126. [Google Scholar] [CrossRef] [PubMed]
- The European Commission. Commission Regulation (EU) 2017/2158 of 20 November 2017 establishing mitigation measures and benchmark levels for the reduction of the presence of acrylamide in food. Off. J. Eur. Union 2017, 304, 24–44. [Google Scholar]
- Zhang, Q.; Wang, Y.; Fu, L. Dietary advanced glycation end-products: Perspectives linking food processing with health implications. Compr. Rev. Food Sci. Food Saf. 2020, 19, 2559–2587. [Google Scholar] [CrossRef] [PubMed]
- Garay-Sevilla, M.E.; Rojas, A.; Portero-Otin, M.; Uribarri, J. Dietary AGEs as Exogenous Boosters of Inflammation. Nutrients 2021, 13, 2802. [Google Scholar] [CrossRef]
- Li, Y.; Li, H.; Zhu, Y.; Feng, C.; He, Z.; Chen, J.; Zeng, M. Processing Stage-Induced Formation of Advanced Glycation End Products in Cooked Sausages with the Addition of Spices. Foods 2023, 12, 3788. [Google Scholar] [CrossRef]
- Sun, X.; Tang, J.; Wang, J.; Rasco, B.A.; Lai, K.; Huang, Y. Formation of advanced glycation endproducts in ground beef under pasteurisation conditions. Food Chem. 2015, 172, 802–807. [Google Scholar] [CrossRef]
- Perrone, A.; Giovino, A.; Benny, J.; Martinelli, F. Advanced Glycation End Products (AGEs): Biochemistry, Signaling, Analytical Methods, and Epigenetic Effects. Oxidative Med. Cell. Longev. 2020, 2020, 3818196. [Google Scholar] [CrossRef]
- Tavares, W.P.S.; Dong, S.; Jin, W.; Yang, Y.; Han, K.; Zha, F.; Zhao, Y.; Zeng, M. Effect of different cooking conditions on the profiles of Maillard reaction products and nutrient composition of hairtail (Thichiurus lepturus) fillets. Food Res. Int. 2018, 103, 390–397. [Google Scholar] [CrossRef]
- Han, Y.; Hu, Y.-Y.; He, J.-L.; Wang, H.; Chen, Q.; Qin, L.-G. Progress in understanding the inhibitory mechanism of plant extracts on advanced glycation end products. Food Sci. 2021, 42, 233–240. [Google Scholar]
- Sergi, D.; Boulestin, H.; Campbell, F.M.; Williams, L.M. The Role of Dietary Advanced Glycation End Products in Metabolic Dysfunction. Mol. Nutr. Food Res. 2021, 65, e1900934. [Google Scholar] [CrossRef] [PubMed]
- Hu, L.; Ren, S.; Shen, Q.; Chen, J.; Ye, X.; Ling, J. Proteomic study of the effect of different cooking methods on protein oxidation in fish fillets. RSC Adv. 2017, 7, 27496–27505. [Google Scholar] [CrossRef]
- Vhangani, L.N.; Van Wyk, J. Antioxidant activity of Maillard reaction products (MRPs) in a lipid-rich model system. Food Chem. 2016, 208, 301–308. [Google Scholar] [CrossRef] [PubMed]
- Yu, L.; Chai, M.; Zeng, M.; He, Z.; Chen, J. Effect of lipid oxidation on the formation of Nε-carboxymethyl-lysine and Nε-carboxyethyl-lysine in Chinese-style sausage during storage. Food Chem. 2018, 269, 466–472. [Google Scholar] [CrossRef]
- Hull, G.L.; Woodside, J.V.; Ames, J.M.; Cuskelly, G.J. Nε-(carboxymethyl) lysine content of foods commonly consumed in a Western style diet. Food Chem. 2012, 131, 170–174. [Google Scholar] [CrossRef]
- Chen, G.; Smith, J.S. Determination of advanced glycation endproducts in cooked meat products. Food Chem. 2015, 168, 190–195. [Google Scholar] [CrossRef]
- Medeiros Vinci, R.; Mestdagh, F.; De Meulenaer, B. Acrylamide formation in fried potato products–Present and future, a critical review on mitigation strategies. Food Chem. 2012, 133, 1138–1154. [Google Scholar] [CrossRef]
- Michalak, J.; Czarnowska-Kujawska, M.; Gujska, E. Acrylamide and Thermal-Processing Indexes in Market-Purchased Food. Int. J. Environ. Res. Public Health 2019, 16, 4724. [Google Scholar] [CrossRef]
- Cheng, L.; Jin, C.; Zhang, Y. Investigation of Variations in the Acrylamide and Nε-(Carboxymethyl) Lysine Contents in Cookies during Baking. J. Food Sci. 2014, 79, T1030–T1038. [Google Scholar] [CrossRef]
- Chai, X.; Wang, J.; Zhang, Y.; Li, S. Formation of Acrylamide in the Glucose-Asparagine Food Model Systems. J. Chin. Inst. Food Sci. Technol. 2018, 18, 16–22. [Google Scholar]
- Capuano, E.; Oliviero, T.; Acar, O.C.; Gokmen, V.; Fogliano, V. Lipid oxidation promotes acrylamide formation in fat-rich model systems. Food Res. Int. 2010, 43, 1021–1026. [Google Scholar] [CrossRef]
- Passos, C.P.; Ferreira, S.S.; Serodio, A.; Basil, E.; Markova, L.; Kukurova, K.; Ciesarova, Z.; Coimbra, M.A. Pectic polysaccharides as an acrylamide mitigation strategy–Competition between reducing sugars and sugar acids. Food Hydrocoll. 2018, 81, 113–119. [Google Scholar] [CrossRef]
- Liu, H.; Roasa, J.; Mats, L.; Zhu, H.; Shao, S. Effect of acid on glycoalkaloids and acrylamide in French fries. Food Addit. Contam. Part A-Chem. Anal. Control Expo. Risk Assess. 2020, 37, 938–945. [Google Scholar] [CrossRef] [PubMed]
- Sansano, M.; De los Reyes, R.; Andres, A.; Heredia, A. Effect of Microwave Frying on Acrylamide Generation, Mass Transfer Color, and Texture in French Fries. Food Bioprocess Technol. 2018, 11, 1934–1939. [Google Scholar] [CrossRef]
- Ahmed, Z.A.; Mohammed, N.K. Investigating influencing factors on acrylamide content in fried potatoes and mitigating measures: A review. Food Prod. Process. Nutr. 2024, 6, 24. [Google Scholar] [CrossRef]
- Verma, V.; Singh, V.; Chauhan, O.P.; Yadav, N. Comparative evaluation of conventional and advanced frying methods on hydroxymethylfurfural and acrylamide formation in French fries. Innov. Food Sci. Emerg. Technol. 2023, 83, 103233. [Google Scholar] [CrossRef]
- Yang, Y.; Achaerandio, I.; Pujola, M. Influence of the frying process and potato cultivar on acrylamide formation in French fries. Food Control 2016, 62, 216–223. [Google Scholar] [CrossRef]
- Jia, R.; Wan, X.; Geng, X.; Xue, D.; Xie, Z.; Chen, C. Microbial L-asparaginase for Application in Acrylamide Mitigation from Food: Current Research Status and Future Perspectives. Microorganisms 2021, 9, 1659. [Google Scholar] [CrossRef] [PubMed]
- Rottmann, E.; Hauke, K.F.; Krings, U.; Berger, R.G. Enzymatic acrylamide mitigation in French fries—An industrial-scale case study. Food Control 2021, 123, 107739. [Google Scholar] [CrossRef]
- da Rocha, W.R.V.; Costa-Silva, T.A.; Agamez-Montalvo, G.S.; Feitosa, V.A.; Machado, S.E.F.; de Souza Lima, G.M.; Pessoa, A., Jr.; Alves, H.S. Screening and optimizing fermentation production of l-asparaginase by Aspergillus terreus strain S-18 isolated from the Brazilian Caatinga Biome. J. Appl. Microbiol. 2019, 126, 1426–1437. [Google Scholar] [CrossRef] [PubMed]
- Gülcan, Ü.; Uslu, C.C.; Mutlu, C.; Arslan-Tontul, S.; Erba, M. Impact of inert and inhibitor baking atmosphere on HMF and acrylamide formation in bread. Food Chem. 2020, 332, 127434. [Google Scholar] [CrossRef]
- EFSA Panel on Contaminants in the Food Chain (CONTAM). Scientific Opinion on acrylamide in food. EFSA J. 2015, 13, 4104. [Google Scholar] [CrossRef]
- Babu, P.A.S.; Aafrin, B.V.; Archana, G.; Sabina, K.; Sudharsan, K.; Sivarajan, M.; Sukumar, M. Effects of polyphenols from Caralluma fimbriata on acrylamide formation and lipid oxidation—An integrated approach of nutritional quality and degradation of fried food. Int. J. Food Prop. 2017, 20, 1378–1390. [Google Scholar] [CrossRef]
- Liu, H.; Li, J. Formation and inhibition of advanced glycation end products in fried dough twist during frying and storage. Mod. Food Sci. Technol. 2014, 30, 30–36. [Google Scholar]
- Han, P.; Zhang, Q.; Wang, X.; Zhou, P.; Dong, S.; Zha, F.; Zeng, M. Formation of advanced glycation end products in sturgeon patties affected by pan-fried and deep-fried conditions. Food Res. Int. 2022, 162, 112105. [Google Scholar] [CrossRef] [PubMed]
- Qin, R.; Wu, R.; Shi, H.; Jia, C.; Rong, J.; Liu, R. Formation of AGEs in fish cakes during air frying and other traditional heating methods. Food Chem. 2022, 391, 133213. [Google Scholar] [CrossRef] [PubMed]
- Goldberg, T.; Cai, W.J.; Peppa, M.; Dardaine, V.; Baliga, B.S.; Uribarri, J.; Vlassara, H. Advanced glycoxidation end products in commonly consumed foods. J. Am. Diet. Assoc. 2004, 104, 1287–1291. [Google Scholar] [CrossRef]
- Fang, H.; Wang, L.; Zhang, S.; Liu, H.; Li, J. Advanced glycation end products(AGEs) formation in high-protein foods processing model system. J. Chin. Inst. Food Sci. Technol. 2014, 14, 28–34. [Google Scholar]
- Ciesarová, Z.; Kiss, E.; Kolek, E. Study of factors affecting acrylamide levels in model systems. Czech J. Food Sci. 2006, 24, 133–137. [Google Scholar] [CrossRef]
- Khalifa, I.; Xia, D.; Dutta, K.; Peng, J.; Jia, Y.; Li, C. Mulberry anthocyanins exert anti-AGEs effects by selectively trapping glyoxal and structural-dependently blocking the lysyl residues of β-lactoglobulins. Bioorganic Chem. 2020, 96, 103615. [Google Scholar] [CrossRef]
- Li, X.; Zheng, T.; Sang, S.; Lv, L. Quercetin inhibits advanced glycation end product formation by trapping methylglyoxal and glyoxal. J. Agric. Food Chem. 2014, 62, 12152–12158. [Google Scholar] [CrossRef]
- Chen, H.; Virk, M.S.; Chen, F. Phenolic acids inhibit the formation of advanced glycation end products in food simulation systems depending on their reducing powers and structures. Int. J. Food Sci. Nutr. 2016, 67, 400–411. [Google Scholar] [CrossRef] [PubMed]
- Jiang, Y.; Qin, R.; Jia, C.; Rong, J.; Hu, Y.; Liu, R. Hydrocolloid effects on Nε-carboxymethyllysine and acrylamide of deep-fried fish nuggets. Food Biosci. 2021, 39, 100797. [Google Scholar] [CrossRef]
- Supawong, S.; Park, J.W.; Thawornchinsombut, S. Fat blocking roles of fish proteins in fried fish cake. LWT 2018, 97, 462–468. [Google Scholar] [CrossRef]
- Zeng, H.; Chen, J.; Zhai, J.; Wang, H.; Xia, W.; Xiong, Y.L. Reduction of the fat content of battered and breaded fish balls during deep-fat frying using fermented bamboo shoot dietary fiber. LWT 2016, 73, 425–431. [Google Scholar] [CrossRef]
- Sá, A.G.A.; House, J.D. Adding pulse flours to cereal-based snacks and bakery products: An overview of free asparagine quantification methods and mitigation strategies of acrylamide formation in foods. Compr. Rev. Food Sci. Food Saf. 2024, 23, e13260. [Google Scholar] [CrossRef]
- Muttucumaru, N.; Powers, S.J.; Elmore, J.S.; Dodson, A.; Briddon, A.; Mottram, D.S.; Halford, N.G. Acrylamide-forming potential of potatoes grown at different locations, and the ratio of free asparagine to reducing sugars at which free asparagine becomes a limiting factor for acrylamide formation. Food Chem. 2017, 220, 76–86. [Google Scholar] [CrossRef]
- Xie, Y.; Malunga, L.N.; Ames, N.P.; Waterer, J.; Khorshidi, A.S.; Scanlon, M.G. Effects of growing environment, genotype, and commercial fertilization levels on free asparagine concentration in Western Canadian wheat. Cereal Chem. 2021, 98, 89–99. [Google Scholar] [CrossRef]
- Rifai, L.; Saleh, F.A. A Review on Acrylamide in Food: Occurrence, Toxicity, and Mitigation Strategies. Int. J. Toxicol. 2020, 39, 93–102. [Google Scholar] [CrossRef]
- Perera, D.N.; Hewavitharana, G.G.; Navaratne, S.B. Comprehensive Study on the Acrylamide Content of High Thermally Processed Foods. BioMed Res. Int. 2021, 2021, 6258508. [Google Scholar] [CrossRef]
- Bušová, M.; Bencko, V.; Kromerová, K.; Nadjo, I.; Babjakova, J. Occurrence of acrylamide in selected food products. Cent. Eur. J. Public Health 2020, 28, 320–324. [Google Scholar] [CrossRef]
- Seify, M.; Abedpour, N.; Talebi, S.F.; Hazari, V.; Mehrara, M.; Koohestanidehaghi, Y.; Shoorei, H.; Bhandari, R.K. Impacts of Acrylamide on testis and spermatozoa. Mol. Biol. Rep. 2024, 51, 739. [Google Scholar] [CrossRef]
- Aldawood, N.; Alrezaki, A.; Alanazi, S.; Amor, N.; Alwasel, S.; Sirotkin, A.; Harrath, A.H. Acrylamide impairs ovarian function by promoting apoptosis and affecting reproductive hormone release, steroidogenesis and autophagy-related genes: An in vivo study. Ecotoxicol. Environ. Saf. 2020, 197, 110595. [Google Scholar] [CrossRef] [PubMed]
- Idris, A.O.; Alabi, Q.K.; Ologe, M.F.; Oluogun, W.A.; Akanbi, M.H.J.; Iwalewa, E.O. Evaluation of acrylamide exposure in pregnant Wistar rats as a risk of developing renal disease in their litters. Environ. Sci. Pollut. Res. 2021, 28, 39680–39691. [Google Scholar] [CrossRef] [PubMed]
- Zhao, M.; Zhang, B.; Deng, L. The Mechanism of Acrylamide-Induced Neurotoxicity: Current Status and Future Perspectives. Front. Nutr. 2022, 9, 859189. [Google Scholar] [CrossRef] [PubMed]
- Yan, D.; Yao, J.; Liu, Y.; Zhang, X.; Wang, Y.; Chen, X.; Liu, L.; Shi, N.; Yan, H. Tau hyperphosphorylation and P-CREB reduction are involved in acrylamide-induced spatial memory impairment: Suppression by curcumin. Brain Behav. Immun. 2018, 71, 66–80. [Google Scholar] [CrossRef]
- Tian, S.M.; Ma, Y.X.; Shi, J.; Lou, T.Y.; Liu, S.S.; Li, G.Y. Acrylamide neurotoxicity on the cerebrum of weaning rats. Neural Regen. Res. 2015, 10, 938–943. [Google Scholar] [CrossRef]
- Yang, L.; Dong, L.; Zhang, L.; Bai, J.; Chen, F.; Luo, Y. Acrylamide Induces Abnormal mtDNA Expression by Causing Mitochondrial ROS Accumulation, Biogenesis, and Dynamics Disorders. J. Agric. Food Chem. 2021, 69, 7765–7776. [Google Scholar] [CrossRef]
- Zamani, E.; Shokrzadeh, M.; Ziar, A.; Abedian-Kenari, S.; Shaki, F. Acrylamide attenuated immune tissues’ function via induction of apoptosis and oxidative stress: Protection by l-carnitine. Hum. Exp. Toxicol. 2018, 37, 859–869. [Google Scholar] [CrossRef]
- Komoike, Y.; Nomura-Komoike, K.; Matsuoka, M. Intake of acrylamide at the dietary relevant concentration causes splenic toxicity in adult zebrafish. Environ. Res. 2020, 189, 109977. [Google Scholar] [CrossRef]
- Fang, J.; Liang Chun, L.; Jia Xu, D.; Li, N. Immunotoxicity of Acrylamide in Female BALB/c Mice. Biomed. Environ. Sci. 2014, 27, 401–409. [Google Scholar] [PubMed]
- Guo, J.; Yu, D.; Lv, N.; Bai, R.; Xu, C.; Chen, G.; Cao, W. Relationships between acrylamide and glycidamide hemoglobin adduct levels and allergy-related outcomes in general US population, NHANES 2005–2006. Environ. Pollut. 2017, 225, 506–513. [Google Scholar] [CrossRef] [PubMed]
- Sarion, C.; Codină, G.G.; Dabija, A. Acrylamide in Bakery Products: A Review on Health Risks, Legal Regulations and Strategies to Reduce Its Formation. Int. J. Environ. Res. Public Health 2021, 18, 4332. [Google Scholar] [CrossRef] [PubMed]
- Manjanatha, M.G.; Guo, L.-W.; Shelton, S.D.; Doerge, D.R. Acrylamide-induced carcinogenicity in mouse lung involves mutagenicity: cII gene mutations in the lung of big blue mice exposed to acrylamide and glycidamide for up to 4 weeks. Environ. Mol. Mutagen. 2015, 56, 446–456. [Google Scholar] [CrossRef]
- Beland, F.A.; Mellick, P.W.; Olson, G.R.; Mendoza, M.C.B.; Marques, M.M.; Doerge, D.R. Carcinogenicity of acrylamide in B6C3F(1) mice and F344/N rats from a 2-year drinking water exposure. Food Chem. Toxicol. 2013, 51, 149–159. [Google Scholar] [CrossRef]
- Raffan, S.; Halford, N.G. Acrylamide in food: Progress in and prospects for genetic and agronomic solutions. Ann. Appl. Biol. 2019, 175, 259–281. [Google Scholar] [CrossRef]
- Hogervorst, J.G.F.; van den Brandt, P.A.; Godschalk, R.W.L.; van Schooten, F.-J.; Schouten, L.J. Interactions between dietary acrylamide intake and genes for ovarian cancer risk. Eur. J. Epidemiol. 2017, 32, 431–441. [Google Scholar] [CrossRef]
- Zhang, L.; Yang, L.; Luo, Y.; Dong, L.; Chen, F. Acrylamide-Induced Hepatotoxicity Through Oxidative Stress: Mechanisms and Interventions. Antioxid. Redox Signal. 2023, 38, 1122–1137. [Google Scholar] [CrossRef]
- Virk-Baker, M.K.; Nagy, T.R.; Barnes, S.; Groopman, J. Dietary Acrylamide and Human Cancer: A Systematic Review of Literature. Nutr. Cancer-Int. J. 2014, 66, 774–790. [Google Scholar] [CrossRef]
- Vlassara, H.; Uribarri, J. Advanced Glycation End Products (AGE) and Diabetes: Cause, Effect, or Both? Curr. Diabetes Rep. 2014, 14, 453. [Google Scholar] [CrossRef]
- Bastos, D.H.M.; Gugliucci, A. Contemporary and controversial aspects of the Maillard reaction products. Curr. Opin. Food Sci. 2015, 1, 13–20. [Google Scholar] [CrossRef]
- Sharma, C.; Kaur, A.; Thind, S.S.; Singh, B.; Raina, S. Advanced glycation End-products (AGEs): An emerging concern for processed food industries. J. Food Sci. Technol. 2015, 52, 7561–7576. [Google Scholar] [CrossRef] [PubMed]
- Gu, M.J.; Lee, Y.R.; Kim, D.; Kim, Y.; Ha, S.K. Comprehensive research on the properties of advanced glycation end products in food and biological samples and their harmful role in inducing metabolic diseases. Compr. Rev. Food Sci. Food Saf. 2024, 23, e13412. [Google Scholar] [CrossRef]
- Muthyalaiah, Y.S.; Jonnalagadda, B.; John, C.M.; Arockiasamy, S. Impact of Advanced Glycation End products (AGEs) and its receptor (RAGE) on cancer metabolic signaling pathways and its progression. Glycoconj. J. 2021, 38, 717–734. [Google Scholar] [CrossRef] [PubMed]
- Poti, J.M.; Braga, B.; Qin, B. Ultra-processed Food Intake and Obesity: What Really Matters for Health-Processing or Nutrient Content? Curr. Obes. Rep. 2017, 6, 420–431. [Google Scholar] [CrossRef]
- Cordova, R.; Knaze, V.; Viallon, V.; Rust, P.; Schalkwijk, C.G.; Weiderpass, E.; Wagner, K.-H.; Mayen-Chacon, A.-L.; Aglago, E.K.; Dahm, C.C.; et al. Dietary intake of advanced glycation end products (AGEs) and changes in body weight in European adults. Eur. J. Nutr. 2020, 59, 2893–2904. [Google Scholar] [CrossRef]
- Xie, Y.; van der Fels-Klerx, H.J.; van Leeuwen, S.P.J.; Fogliano, V. Dietary advanced glycation end-products, 2-monochloropropane-1,3-diol esters and 3-monochloropropane-1,2-diol esters and glycidyl esters in infant formulas: Occurrence, formulation and processing effects, mitigation strategies. Compr. Rev. Food Sci. Food Saf. 2021, 20, 5489–5515. [Google Scholar] [CrossRef]
- Mirmiran, P.; Hadavi, H.; Mottaghi, A.; Azizi, F. Advanced glycation end products and risk of general and abdominal obesity in Iranian adults: Tehran lipid and glucose study. Med. J. Islam. Repub. Iran 2019, 33, 21. [Google Scholar] [CrossRef]
- Fotheringham, A.K.; Gallo, L.A.; Borg, D.J.; Forbes, J.M. Advanced Glycation End Products (AGEs) and Chronic Kidney Disease: Does the Modern Diet AGE the Kidney? Nutrients 2022, 14, 2675. [Google Scholar] [CrossRef]
- Brings, S.; Fleming, T.; Freichel, M.; Muckenthaler, M.U.; Herzig, S.; Nawroth, P.P. Dicarbonyls and Advanced Glycation End-Products in the Development of Diabetic Complications and Targets for Intervention. Int. J. Mol. Sci. 2017, 18, 984. [Google Scholar] [CrossRef]
- Uribarri, J.; Cai, W.; Ramdas, M.; Goodman, S.; Pyzik, R.; Chen, X.; Zhu, L.; Striker, G.E.; Vlassara, H.J. Restriction of Advanced Glycation End Products Improves Insulin Resistance in Human Type 2 Diabetes. Diabetes Care 2011, 34, 1610–1616. [Google Scholar] [CrossRef]
- Cai, W.; Ramdas, M.; Zhu, L.; Chen, X.; Striker, G.E.; Vlassara, H. Oral advanced glycation endproducts (AGEs) promote insulin resistance and diabetes by depleting the antioxidant defenses AGE receptor-1 and sirtuin 1. Proc. Natl. Acad. Sci. USA 2012, 109, 15888–15893. [Google Scholar] [CrossRef] [PubMed]
- Heidari, F.; Rabizadeh, S.; Rajab, A.; Heidari, F.; Mouodi, M.; Mirmiranpour, H.; Esteghamati, A.; Nakhjavani, M. Advanced glycation end-products and advanced oxidation protein products levels are correlates of duration of type 2 diabetes. Life Sci. 2020, 260, 118422. [Google Scholar] [CrossRef]
- Stirban, A.; Gawlowski, T.; Roden, M. Vascular effects of advanced glycation endproducts: Clinical effects and molecular mechanisms. Mol. Metab. 2014, 3, 94–108. [Google Scholar] [CrossRef] [PubMed]
- Huang, M.; Jiao, J.; Wang, J.; Xia, Z.; Zhang, Y. Exposure to acrylamide induces cardiac developmental toxicity in zebrafish during cardiogenesis. Environ. Pollut. 2018, 234, 656–666. [Google Scholar] [CrossRef] [PubMed]






| Food Product | Cooking Method | Acrylamide Contents | Risk Category a | Detection Method | Reference |
|---|---|---|---|---|---|
| Potatoes chips | Vaccum-treated | 1166 μg/kg | High | HPLC-MS | [27] |
| Cookies | Vaccum-treated | 366 μg/kg | Moderate | HPLC-MS | [27] |
| Fried potatoes | Frying | 2022 μg/kg | High | GC-MS | [28] |
| Potatoe tubers (W) | Frying | 1292 μg/kg | High | HPLC-MS | [26] |
| Potatoe tubers (PW) | Frying | 886 μg/kg | Moderate | HPLC-MS | [26] |
| Potatoe tubers (Y) | Frying | 1375 μg/kg | High | HPLC-MS | [26] |
| French fries | Deep-frying | 2089 μg/kg | High | HPLC-UV | [29] |
| Hamburger | Frying | 14 μg/kg | Low | GC-MS | [30] |
| Potato crips | Frying | 1538 μg/kg | High | GC-MS | [30] |
| Bread | Oven-baked | 49 μg/kg | Low | LC-MS | [30] |
| Crips bread | Oven-baked | 1731 μg/kg | High | LC-MS | [30] |
| Roasted coffee | Roasting | 203 μg/kg | Low | HPLC-MS | [31] |
| Instant coffee | Roasting | 620 μg/kg | Low | HPLC-MS | [31] |
| Beef | Frying | 20 μg/kg | Low | GC-MS | [30] |
| Pork | Frying | 52 μg/kg | Low | GC-MS | [30] |
| Food Products | Cooking Method | AGE Contents | Marker | Risk Category a | Detection Method | Reference |
|---|---|---|---|---|---|---|
| Bread and biscuits | Baking | 178.36 μg/kg | CML | Low | UPLC-MS | [44] |
| Cereals | Roasting | 281.29 μg/kg | CML | Moderate | UPLC-MS | [44] |
| Potatoes | Frying | 25.16 μg/kg | CML | Moderate | UPLC-MS | [44] |
| Coffee | Roasting | 84.12 μg/kg | CML | High | UPLC-MS | [44] |
| Chicken breast | Fried | 23.54 μg/kg | CML | Moderate | UPLC-MS | [44] |
| Milk (fat free) | pasteurized | 1 KU/100 g | CML | Low | ELISA | [15] |
| Milk (Whole) | Pasteurized | 5 KU/100 g | CML | Low | ELISA | [15] |
| Fried pork | Frying | 17.53 μg/kg | CML | High | HPLC-FLD | [45] |
| Baked salmon | Baking | 8.59 μg/kg | CML | Moderate | HPLC-FLD | [45] |
| Apple | - | 45 μg/kg | CML | High | ELISA | [15] |
| Banana | - | 9 μg/kg | CML | Low | ELISA | [15] |
| Tomato | - | 11 μg/kg | CML | Moderate | ELISA | [15] |
| Green beans, canned | - | 18 μg/kg | CML | Moderate | ELISA | [15] |
| Soup and sauces | Boiling | 24.33 μg/kg | CML | Low | UPLC-MS | [44] |
Disclaimer/Publisher’s Note: The statements, opinions and data contained in all publications are solely those of the individual author(s) and contributor(s) and not of MDPI and/or the editor(s). MDPI and/or the editor(s) disclaim responsibility for any injury to people or property resulting from any ideas, methods, instructions or products referred to in the content. |
© 2025 by the authors. Licensee MDPI, Basel, Switzerland. This article is an open access article distributed under the terms and conditions of the Creative Commons Attribution (CC BY) license (https://creativecommons.org/licenses/by/4.0/).
Share and Cite
Rasool, A.; Luo, X.; Zhang, Q.; Jia, C.; Zhao, S.; Liu, R.; Rong, J.; Zhou, G.; Wang, B.; Kuai, J.; et al. Acrylamide and Advanced Glycation End Products in Frying Food: Formation, Effects, and Harmfulness. Foods 2025, 14, 3313. https://doi.org/10.3390/foods14193313
Rasool A, Luo X, Zhang Q, Jia C, Zhao S, Liu R, Rong J, Zhou G, Wang B, Kuai J, et al. Acrylamide and Advanced Glycation End Products in Frying Food: Formation, Effects, and Harmfulness. Foods. 2025; 14(19):3313. https://doi.org/10.3390/foods14193313
Chicago/Turabian StyleRasool, Arslan, Xiaoyu Luo, Qiqi Zhang, Caihua Jia, Siming Zhao, Ru Liu, Jianhua Rong, Guangsheng Zhou, Bo Wang, Jie Kuai, and et al. 2025. "Acrylamide and Advanced Glycation End Products in Frying Food: Formation, Effects, and Harmfulness" Foods 14, no. 19: 3313. https://doi.org/10.3390/foods14193313
APA StyleRasool, A., Luo, X., Zhang, Q., Jia, C., Zhao, S., Liu, R., Rong, J., Zhou, G., Wang, B., Kuai, J., Wang, J., & Zhao, J. (2025). Acrylamide and Advanced Glycation End Products in Frying Food: Formation, Effects, and Harmfulness. Foods, 14(19), 3313. https://doi.org/10.3390/foods14193313

