Zinc Oxide Nanoparticles Enhance Grain Yield and Nutritional Quality in Rice via Improved Photosynthesis and Zinc Bioavailability
Abstract
1. Introduction
2. Methods and Materials
2.1. Experimental Site
2.2. Agronomic Management Systems
2.3. Sampling and Data Collection
2.3.1. Yield and Yield Components
2.3.2. Net Photosynthetic Rate and SPAD Value
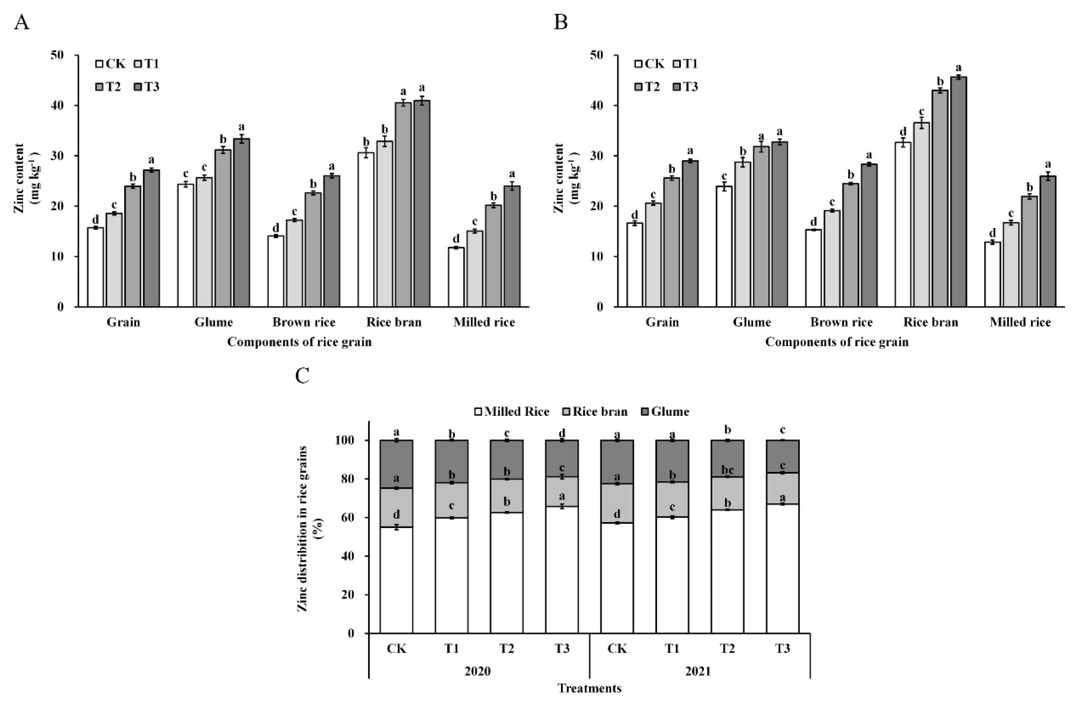
2.3.3. Determination of Zinc Content and Zinc Distribution in Rice
2.3.4. Determination of the Phytic Acid Content and Molar Ratio of Phytic Acid to Zn
2.3.5. Rice Processing Quality and Appearance Quality
2.3.6. Rice Cooking Taste Quality
2.3.7. Protein and Amylose Content in Rice
2.3.8. Statistical Analysis
3. Results
3.1. Grain Yield and Yield Components
3.2. Net Photosynthetic Rate and SPAD Value
3.3. Processing and Appearance Quality
3.4. Tasting and Cooking Qualities
3.5. Zinc Content, Distribution, and Bioavailability
4. Discussion
4.1. Effects of ZnO NPs on Rice Yield and Grain Quality
4.2. Effects of ZnO NPs on Zn Enrichment and Bioavailability
5. Conclusions
Author Contributions
Funding
Institutional Review Board Statement
Informed Consent Statement
Data Availability Statement
Acknowledgments
Conflicts of Interest
References
- Yang, S.; Zhu, Y.; Zhang, R.; Liu, G.; Wei, H.; Zhang, H.; Zhang, H. Mid-stage nitrogen application timing regulates yield formation, quality traits and 2-acetyl-1-pyrroline biosynthesis of fragrant rice. Field Crops Res. 2022, 287, 108667. [Google Scholar] [CrossRef]
- Aimi, A.; Claudia, G.V.; Alexis, P.; Sigfredo, F. Review of technology advances to assess rice quality traits and consumer perception. Food Res. Int. 2023, 172, 113105. [Google Scholar] [CrossRef]
- Liu, J.; Zheng, X.; Khattak, S.; Qv, Y.; Wang, Y.; Uyanga, V.A.; Huo, Y.; Liu, Z.; Cui, Y.; Chen, Y.; et al. A systematic review of post-harvest rice fortification: Technologies, sensory characteristics, consumer acceptance, and bioavailability. Food Chem. 2025, 485, 144491. [Google Scholar] [CrossRef] [PubMed]
- Wairich, A.; Ricachenevsky, F.K.; Lee, S. A tale of two metals: Biofortification of rice grains with iron and zinc. Front. Plant Sci. 2022, 13, 944624. [Google Scholar] [CrossRef]
- Lowe, N.M.; Hall, A.G.; Broadley, M.R.; Foley, J.; Boy, E.; Bhutta, Z.A. Preventing and Controlling Zinc Deficiency Across the Life Course: A Call to Action. Adv. Nutr. 2024, 15, 100181. [Google Scholar] [CrossRef]
- Noman, Y.; Iza, F.; Ali, A.I.; Khubaib, A.M. Alleviation of zinc deficiency in plants and humans through an effective technique; biofortification: A detailed review. Acta Ecol. Sin. 2023, 43, 419–425. [Google Scholar]
- Oswalt, S.; Durand-Morat, A.; Rivera, T.; Gallego, S.; Andrade, R.; Mcfadden, B.; Bonatti, M. From deficiency to demand: Consumer preferences for zinc-biofortified rice in Colombia. J. Agric. Food Res. 2025, 221, 102034. [Google Scholar] [CrossRef]
- Tabrez, K.S.; Abdul, M.; Abdulrahman, A.; Rafi, S.M. The enormity of the zinc deficiency problem and available solutions; an overview. Arab. J. Chem. 2022, 15, 103668. [Google Scholar] [CrossRef]
- Moura, F.F.D.; Moursi, M.; Angel, M.D.; Agdeppa, I.A.; Muslimatun, S.; Atmarita, A.; Gironella, G.M.; Boy, E.; Carriquiry, A. An Ex-Ante Analysis of the Impact of Biofortified Zinc Rice on Dietary Zinc Inadequacy: Evidence from Bangladesh, Indonesia, and the Philippines. J. Nutr. 2024, 154, 2575–2582. [Google Scholar] [CrossRef] [PubMed]
- Wang, S.; Fang, R.; Yuan, X.; Chen, J.; Mi, K.; Wang, R.; Zhang, H.; Zhang, H. Foliar Spraying of ZnO Nanoparticles Enhanced the Yield, Quality, and Zinc Enrichment of Rice Grains. Foods 2023, 12, 3677. [Google Scholar] [CrossRef]
- Zhang, H.; Yuan, X.; Liu, X.; Chen, J.; Wang, R.; Zhang, H.; Yang, Y. Optimizing ZnO nanoparticles basal application for enhancing rice yield, quality, and zinc enrichment. Environ. Sci. Nano 2025, 12, 2687–2698. [Google Scholar] [CrossRef]
- Camilla, S.; Dale, S.; Ute, K.; Dorina, P. Zinc in plants: Integrating homeostasis and biofortification. Mol. Plant 2021, 15, 65–85. [Google Scholar]
- Li, L.; Huang, Z.; Zhou, Z.; Tao, Y.; Zhang, Y.; Mu, Y.; Wu, S.; Nie, L. Foliar application of zinc oxide nanoparticles improved yield and 2-acetyl-1-pyrroline content in fragrant rice under salt stress. Crop Environ. 2025, 4, 107–117. [Google Scholar] [CrossRef]
- Saha, S.; Chakraborty, M.; Padhan, D.; Saha, B.; Murmu, S.; Batabyal, K.; Seth, A.; Hazra, G.C.; Mandal, B.; Bell, R.W. Agronomic biofortification of zinc in rice: Influence of cultivars and zinc application methods on grain yield and zinc bioavailability. Field Crops Res. 2017, 210, 52–60. [Google Scholar] [CrossRef]
- Kumar, A.; Sen, A.; Upadhyay, P.K.; Singh, R.K. Effect of Zinc, Iron and Manganese Levels on Quality, Micro and Macro Nutrients Content of Rice and Their Relationship with Yield. Commun. Soil Sci. Plant Anal. 2017, 48, 1539–1551. [Google Scholar] [CrossRef]
- Adisa, I.O.; Pullagurala, V.L.R.; Peralta-Videa, J.R.; Dimkpa, C.O.; Elmer, W.H.; Gardea-Torresdey, J.L.; White, J.C. Recent advances in nano-enabled fertilizers and pesticides: A critical review of mechanisms of action. Environ. Sci. Nano 2019, 6, 2002–2030. [Google Scholar] [CrossRef]
- Xu, M.; Liu, M.; Liu, F.; Zheng, N.; Tang, S.; Zhou, J.; Ma, Q.; Wu, L. A safe, high fertilizer-efficiency and economical approach based on a low-volume spraying UAV loaded with chelated-zinc fertilizer to produce zinc-biofortified rice grains. J. Clean. Prod. 2021, 323, 129188. [Google Scholar] [CrossRef]
- Xu, M.; Du, L.; Liu, M.; Zhou, J.; Pan, W.; Fu, H.; Zhang, X.; Ma, Q.; Wu, L. Glycine-chelated zinc rather than glycine-mixed zinc has lower foliar phytotoxicity than zinc sulfate and enhances zinc biofortification in waxy corn. Food Chem. 2022, 370, 131031. [Google Scholar] [CrossRef]
- Du, W.; Yang, J.; Peng, Q.; Liang, X.; Mao, H. Comparison study of zinc nanoparticles and zinc sulphate on wheat growth: From toxicity and zinc biofortification. Chemosphere 2019, 227, 109–116. [Google Scholar] [CrossRef]
- Dimkpa, C.O.; Andrews, J.; Fugice, J.; Singh, U.; Bindraban, P.S.; Elmer, W.H.; Gardea-Torresdey, J.L.; White, J.C. Facile Coating of Urea With Low-Dose ZnO Nanoparticles Promotes Wheat Performance and Enhances Zn Uptake Under Drought Stress. Front. Plant Sci. 2020, 11, 168. [Google Scholar] [CrossRef]
- Babaei, K.; Sharifi, R.S.; Pirzad, A.; Khalilzadeh, R. Effects of bio fertilizer and nano Zn-Fe oxide on physiological traits, antioxidant enzymes activity and yield of wheat (Triticum aestivum L.) under salinity stress. J. Plant Interact. 2017, 12, 381–389. [Google Scholar] [CrossRef]
- Kah, M.; Tufenkji, N.; White, J.C. Nano-enabled strategies to enhance crop nutrition and protection. Nat. Nanotechnol. 2019, 14, 532–540. [Google Scholar] [CrossRef]
- Rani, N.; Sagar, N.A.; Chauhan, A.; Mondal, A. Green synthesis of ZnO nanoparticles: Characterization and emerging applications in sustainable agriculture. Ind. Crops Prod. 2025, 233, 121393. [Google Scholar] [CrossRef]
- Zhang, H.; Chen, J.; Liu, X.; Wang, R.; Zhang, H.; Yang, Y. Enhancing rice (Oryza sativa L.) yield and quality by improving photosynthesis with foliar application of zinc oxide nanoparticles. Environ. Sci. Nano 2025, 12, 2331. [Google Scholar] [CrossRef]
- Gupta, A.; Bharati, R.; Kubes, J.; Popelkova, D.; Praus, L.; Yang, X.; Severova, L.; Skalicky, M.; Brestic, M. Zinc oxide nanoparticles application alleviates salinity stress by modulating plant growth, biochemical attributes and nutrient homeostasis in Phaseolus vulgaris L. Front. Plant Sci. 2024, 15, 1432258. [Google Scholar] [CrossRef] [PubMed]
- Mo, Z.; Huang, J.; Xiao, D.; Ashraf, U.; Duan, M.; Pan, S.; Tian, H.; Xiao, L.; Zhong, K.; Tang, X.; et al. Supplementation of 2-Ap, Zn and La Improves 2-Acetyl-1-Pyrroline Concentrations in Detached Aromatic Rice Panicles In Vitro. PLoS ONE 2016, 11, e0149523. [Google Scholar] [CrossRef] [PubMed]
- Muhammad, A.; Nawaz, B.H.; Amina, K.; Laiba, Z.; Munawar, I. Zinc oxide nano-fertilizer application (foliar and soil) effect on the growth, photosynthetic pigments and antioxidant system of maize cultivar. Biocatal. Agric. Biotechnol. 2022, 42, 102343. [Google Scholar] [CrossRef]
- Prabha, R.-K.; Anjana, J. Priming with zinc oxide nanoparticles improve germination and photosynthetic performance in wheat. Plant Physiol. Biochem. 2021, 160, 341–351. [Google Scholar] [CrossRef]
- Afzal, S.; Singh, N.K. Effect of zinc and iron oxide nanoparticles on plant physiology, seed quality and microbial community structure in a rice-soil-microbial ecosystem. Environ. Pollut. 2022, 314, 120224. [Google Scholar] [CrossRef]
- Chutipaijit, S.; Whalley, A.J.S.; Sutjaritvorakul, T. In vitro plant growth promotion by ZnO nanomaterials in indica rice seedlings (Oryza sativa L.). Mater. Today: Proc. 2018, 5, 14944–14949. [Google Scholar] [CrossRef]
- Huang, J.; Pan, Y.; Chen, H.; Zhang, Z.; Fang, C.; Shao, C.; Amjad, H.; Lin, W.; Lin, W. Physiochemical mechanisms involved in the improvement of grain-filling, rice quality mediated by related enzyme activities in the ratoon cultivation system. Field Crops Res. 2020, 258, 107962. [Google Scholar] [CrossRef]
- Dogan, Y.; Alam, P.; Sultan, H.; Sharma, R.; Soysal, S.; Baran, M.F.; Faizan, M. Zinc oxide nanoparticles for sustainable agriculture: A tool to combat salinity stress in rice (Oryza sativa) by modulating the nutritional profile and redox homeostasis mechanisms. J. Agric. Food Res. 2025, 19, 101598. [Google Scholar] [CrossRef]
- Zubair, A.; Jamal, A.; Kallel, M.; He, S. Empowering agriculture: The promise of zinc biofortification in rice. Plant Physiol. Biochem. 2024, 216, 109085. [Google Scholar] [CrossRef]
- Wang, R.; Zhang, M.; Chen, T.; Shen, W.; Dai, J.; Zhang, H.; Zhang, H. Enhanced leaf photosynthesis, grain yield, rice quality and aroma characteristics in rice grains (Oryza sativa L.) with foliar application of selenium nanoparticles. Plant Physiol. Biochem. 2025, 223, 109812. [Google Scholar] [CrossRef]
- Gao, S.; Zhou, M.; Zhou, Q.; Xu, F.; Zhang, W. Effects of exogenous zinc (ZnSO4·7H2O) on photosynthetic characteristics and grain quality of hybrid rice. Plant Physiol. Biochem. 2023, 205, 9. [Google Scholar]
- Ahmad, N.; Ahmad, S.; Kaplan, A.B.U.; Ercisli, S.; Ahmad, M.A.; Adeaga, A.A.S.; Murtaza, G.; Rizwana, H.; Almutairi, S.M.; Iqbal, R. Enhancement of Rice Zinc Content Using Green Synthesized ZnO-NPs by Foliar and Nano-Priming Applications. Appl. Biochem. Biotechnol. 2024, 197, 1906–1922. [Google Scholar] [CrossRef]
- Dang, K.; Wang, Y.; Tian, H.; Bai, J.; Cheng, X.; Guo, L.; Zhang, Q.; Geng, Y.; Shao, X. Impact of ZnO NPs on photosynthesis in rice leaves plants grown in saline-sodic soil. Sci. Rep. 2024, 14, 16233. [Google Scholar] [CrossRef] [PubMed]
- Gobinath, R.; Manasa, V.; Surekha, K.; Brajendra; Babu, M.B.B.P.; Vijayakumar, S.; Bandeppa, S. Nano-sized ZnO enhances photosynthetic parameters, yield and Zn content in rice (Oryza sativa). Indian J. Agric. Sci. 2024, 94, 1136–1139. [Google Scholar]
- Wang, R.; Pu, J.; Chen, J.; Lu, H.; Cui, P.; Yang, Y.; Zhang, H.; Zhang, H. Enhancing Rice Taste Quality and Selenium Availability through Foliar Application of Selenium Nanoparticles. J. Agric. Food Chem. 2025, 73, 15270–15280. [Google Scholar] [CrossRef]
- Wang, R.; Zhang, M.; Chen, T.; Shen, W.; Dai, J.; Zhang, H.; Zhang, H. Enhanced selenium enrichment and flavors in rice (Oryza sativa L.) with selenium nanoparticles foliar application. J. Food Compos. Anal. 2025, 145, 107837. [Google Scholar] [CrossRef]
- Chen, L.; Li, X.; Zheng, M.; Hu, R.; Dong, J.; Zhou, L.; Liu, W.; Liu, D.; Yang, W. Genes controlling grain chalkiness in rice. Crop J. 2024, 12, 979–991. [Google Scholar] [CrossRef]
- Falguni, B.; Rita, K. Foliar application of selenium affecting pollen viability, grain chalkiness, and transporter genes in cadmium accumulating rice cultivar: A pot study. Chemosphere 2023, 313, 137538. [Google Scholar]
- Custodio, M.C.; Cuevas, R.P.; Ynion, J.; Laborte, A.G.; Velasco, M.L.; Demont, M. Rice quality: How is it defined by consumers, industry, food scientists, and geneticists? Trends Food Sci. Technol. 2019, 92, 122–137. [Google Scholar] [CrossRef]
- Li, C.; Luo, J.-X.; Zhang, C.-Q.; Yu, W.-W. Causal relations among starch chain-length distributions, short-term retrogradation and cooked rice texture. Food Hydrocoll. 2020, 108, 106064. [Google Scholar] [CrossRef]
- Yin, X.; Zheng, Y.; Kong, X.; Cao, S.; Chen, S.; Liu, D.; Ye, X.; Tian, J. RG- I pectin affects the physicochemical properties and digestibility of potato starch. Food Hydrocoll. 2021, 117, 106687. [Google Scholar] [CrossRef]
- Ma, Z.; Zhu, Y.; Wang, Z.; Chen, X.; Cao, J.; Liu, G.; Li, G.; Wei, H.; Zhang, H. Effect of starch and protein on eating quality of japonica rice in Yangtze River Delta. Int. J. Biol. Macromol. 2024, 261, 129918. [Google Scholar] [CrossRef]
- Wilson, D.; Gonzalez, V.; Sharifan, H. Evaluating the Efficacy of ZnO and MgO Nanoparticles on Post-harvested Rice to Enhance Food Security Against Agroterrorism. Rice Sci. 2025; in press. [Google Scholar]
- Wang, R.; Mi, K.; Yuan, X.; Chen, J.; Pu, J.; Shi, X.; Yang, Y.; Zhang, H.; Zhang, H. Zinc Oxide Nanoparticles Foliar Application Effectively Enhanced Zinc and Aroma Content in Rice (Oryza sativa L.) Grains. Rice 2023, 16, 36. [Google Scholar] [CrossRef] [PubMed]
- Doolette, C.L.; Read, T.L.; Howell, N.R.; Cresswell, T.; Lombi, E. Zinc from foliar-applied nanoparticle fertiliser is translocated to wheat grain: A 65Zn radiolabelled translocation study comparing conventional and novel foliar fertilisers. Sci. Total Environ. 2020, 749, 142369. [Google Scholar] [CrossRef]
- Parashar, R.; Afzal, S.; Mishra, M.; Singh, N.K. Improving biofortification success rates and productivity through zinc nanocomposites in rice (Oryza sativa L.). Environ. Sci. Pollut. Res. 2023, 30, 44223–44233. [Google Scholar] [CrossRef]
- Muhammad, A.; Ayesha, Y.; Abdul, W.; Yasir, J.; Abid, R.M. Synthesis and application of optimized ZnO nanoparticles for improving yield and Zn content of rice (Oryza sativa L.) grain. J. Plant Nutr. 2023, 46, 1077–1090. [Google Scholar]
- Arun, M.N.; Kumar, R.M.; Sreedevi, B. Impact of Rice (Oryza sativa L.) to Nano Zinc Oxide for Enhancing Productivity, Nutrient Use Efficiency and Grain Quality. Ecol. Environ. Conserv. 2024, 30, 1311–1321. [Google Scholar]
- Singaravel, R.; Prabhu, V.; Balasubramanian, R.A.B.; Mathivanan, N. Influence of nano-zinc oxide and fortified rice residue compost on rice productivity, zinc biofortification, zinc use efficiency, soil quality, zinc fractions and profitability in different rice production systems. J. Plant Nutr. 2023, 46, 4063–4084. [Google Scholar] [CrossRef]
- Ali, S.; Rizwan, M.; Noureen, S.; Anwar, S.; Ali, B.; Naveed, M.; Abd_Allah, E.F.; Alqarawi, A.A.; Ahmad, P. Combined use of biochar and zinc oxide nanoparticle foliar spray improved the plant growth and decreased the cadmium accumulation in rice (Oryza sativa L.) plant. Environ. Sci. Pollut. Res. 2019, 26, 11288–11299. [Google Scholar] [CrossRef]
- Itroutwar, P.D.; Kasivelu, G.; Raguraman, V.; Malaichamy, K.; Sevathapandian, S.K. Effects of biogenic zinc oxide nanoparticles on seed germination and seedling vigor of maize (Zea mays). Biocatal. Agric. Biotechnol. 2020, 29, 101778. [Google Scholar] [CrossRef]
- Mona, S.; Tooba, D.; Zahra, N.B.; Ali, M. Effect of zinc nanoparticles on the growth and biofortification capability of mungbean (Vigna radiata) seedlings. Biologia 2022, 78, 951–960. [Google Scholar] [CrossRef]
- Amanullah; Inamullah; Alwahibi, M.S.; Elshikh, M.S.; Alkahtani, J.; Muhammad, A.; Khalid, S.; Imran; Ahmad, M.; Khan, N.; et al. Phosphorus and Zinc Fertilization Improve Zinc Biofortification in Grains and Straw of Coarse vs. Fine Rice Genotypes. Agronomy 2020, 10, 1155. [Google Scholar] [CrossRef]
- Srivastava, P.C.; Ansari, U.I.; Pachauri, S.P.; Tyagi, A.K. Effect of zinc application methods on apparent utilization efficiency of zinc and potassium fertilizers under rice-wheat rotation. J. Plant Nutr. 2016, 39, 348–364. [Google Scholar] [CrossRef]
- Zhang, H.; Wang, R.; Chen, Z.; Cui, P.; Lu, H.; Yang, Y.; Zhang, H. The Effect of Zinc Oxide Nanoparticles for Enhancing Rice (Oryza sativa L.) Yield Quality. Agriculture 2021, 11, 1247. [Google Scholar] [CrossRef]
- Ishara, P.; Saman, S.; Naoki, H. Manipulating the Phytic Acid Content of Rice Grain Toward Improving Micronutrient Bioavailability. Rice 2018, 11, 4. [Google Scholar] [CrossRef] [PubMed]
- Alba, K.; Campbell, G.M.; Kontogiorgos, V. Dietary fibre from berry-processing waste and its impact on bread structure: A review. J. Sci. Food Agric. 2019, 99, 4189–4199. [Google Scholar] [CrossRef]
- Vilanculos, S.L.; Svanberg, U. Degradation of phytate in composite wheat/cassava/sorghum bread by activation of intrinsic cereal phytase. Afr. J. Food Sci. 2021, 15, 1–9. [Google Scholar]
- Basma, D.; Tahani, A.-W.; Batool, A.-F.; Rawan, K.; Barak, A.-A.; Mohammed, E. Establishment of a phytate database in kuwait for frequently consumed traditional and composite dishes in Kuwait: A study on the role of phytate in the bioavailability of iron and zinc using phytate-mineral molar ratios. J. Food Compos. Anal. 2023, 121, 105387. [Google Scholar] [CrossRef]
- Kankunlanach, K.; Sithisavet, L.; Bernard, D.; Chanakan, P.-U.-T. Foliar zinc application improved grain zinc accumulation and bioavailable zinc in unpolished and polished rice. Plant Prod. Sci. 2021, 24, 94–102. [Google Scholar]



| Year | Treatment | Panicles (×104 hm−2) | Spikelets per Panicle | Filled-Grain Rate (%) | 1000-Grain Weight (g) | Grain Yield (t hm−2) |
|---|---|---|---|---|---|---|
| 2020 | CK | 327.44 ± 7.96 a | 118.63 ± 3.51 a | 91.54 ± 0.28 e | 27.32 ± 0.10 f | 9.85 ± 0.21 f |
| T1 | 326.23 ± 9.17 a | 118.07 ± 6.97 a | 92.15 ± 0.30 cd | 27.78 ± 0.14 de | 9.98 ± 0.16 ef | |
| T2 | 329.07 ± 9.58 a | 119.39 ± 4.78 a | 92.56 ± 0.27 bc | 28.18 ± 0.31 bc | 10.16 ± 0.21 cd | |
| T3 | 327.96 ± 8.06 a | 117.97 ± 6.28 a | 92.83 ± 0.20 ab | 28.43 ± 0.26 ab | 10.31 ± 0.13 bc | |
| 2021 | CK | 326.76 ± 9.59 a | 119.57 ± 3.54 a | 91.99 ± 0.29 de | 27.47 ± 0.10 ef | 10.07 ± 0.14 de |
| T1 | 327.34 ± 9.14 a | 120.30 ± 6.02 a | 92.62 ± 0.47 abc | 27.90 ± 0.08 cd | 10.22 ± 0.11 cd | |
| T2 | 325.92 ± 7.28 a | 119.80 ± 3.15 a | 93.00 ± 0.29 ab | 28.24 ± 0.28 abc | 10.40 ± 0.12 ab | |
| T3 | 328.06 ± 8.72 a | 118.91 ± 4.00 a | 93.19 ± 0.19 a | 28.60 ± 0.11 a | 10.52 ± 0.15 a | |
| Y | NS | NS | ** | NS | ** | |
| T | NS | NS | ** | ** | ** | |
| Y × T | NS | NS | NS | NS | NS |
| Year | Treatment | Net Photosynthetic Rate (μmol m−2 s−1) | SPAD Value | ||||||
|---|---|---|---|---|---|---|---|---|---|
| Heading | 20 Days After Heading | 40 Days After Heading | Maturity | Heading | 20 Days After Heading | 40 Days After Heading | Maturity | ||
| 2020 | CK | 25.85 ± 0.14 e | 20.16 ± 0.09 f | 13.73 ± 0.12 e | 7.35 ± 0.22 a | 44.17 ± 0.59 e | 34.83 ± 0.35 f | 23.27 ± 0.32 f | 10.77 ± 0.15 e |
| T1 | 26.22 ± 0.17 d | 20.55 ± 0.13 de | 14.11 ± 0.18 cd | 7.46 ± 0.21 a | 45.00 ± 0.26 cd | 35.50 ± 0.26 d | 23.93 ± 0.15 d | 10.83 ± 0.21 de | |
| T2 | 26.80 ± 0.20 b | 20.92 ± 0.19 c | 14.24 ± 0.13 cd | 7.43 ± 0.12 a | 45.50 ± 0.36 bc | 36.00 ± 0.20 c | 24.40 ± 0.20 c | 10.90 ± 0.10 cde | |
| T3 | 27.25 ± 0.07 a | 21.24 ± 0.18 ab | 14.70 ± 0.18 ab | 7.50 ± 0.22 a | 46.17 ± 0.25 a | 36.33 ± 0.15 b | 24.70 ± 0.10 b | 10.97 ± 0.12 bcde | |
| 2021 | CK | 26.14 ± 0.11 d | 20.30 ± 0.14 ef | 14.02 ± 0.15 d | 7.57 ± 0.19 a | 44.80 ± 0.20 d | 35.17 ± 0.31 e | 23.63 ± 0.15 e | 11.03 ± 0.06 abcd |
| T1 | 26.52 ± 0.18 c | 20.74 ± 0.14 cd | 14.37 ± 0.14 c | 7.61 ± 0.12 a | 45.60 ± 0.26 b | 35.83 ± 0.40 c | 24.30 ± 0.20 c | 11.10 ± 0.10 abc | |
| T2 | 26.92 ± 0.18 b | 21.01 ± 0.16 bc | 14.63 ± 0.15 b | 7.67 ± 0.16 a | 46.03 ± 0.15 ab | 36.33 ± 0.21 b | 24.77 ± 0.15 b | 11.17 ± 0.06 ab | |
| T3 | 27.47 ± 0.20 a | 21.37 ± 0.16 a | 14.96 ± 0.12 a | 7.71 ± 0.25 a | 46.30 ± 0.40 a | 36.67 ± 0.15 a | 25.03 ± 0.21 a | 11.20 ± 0.10 a | |
| Y | ** | * | ** | ** | ** | ** | ** | ** | |
| T | ** | ** | ** | NS | ** | ** | ** | ** | |
| Y × T | NS | NS | NS | NS | NS | NS | NS | NS | |
| Year | Treatment | Brown Rice Rate (%) | Polished Rice Rate (%) | Head Rice Rate (%) | Chalkiness Grain Rate (%) | Chalkiness Degree (%) |
|---|---|---|---|---|---|---|
| 2020 | CK | 83.98 ± 0.26 e | 73.60 ± 0.16 e | 60.33 ± 0.23 e | 31.86 ± 1.39 a | 11.40 ± 0.70 a |
| T1 | 84.12 ± 0.16 de | 73.83 ± 0.23 d | 60.64 ± 0.29 d | 30.15 ± 0.83 b | 10.14 ± 0.35 b | |
| T2 | 84.52 ± 0.19 bc | 74.29 ± 0.25 c | 60.84 ± 0.14 d | 27.31 ± 0.65 d | 9.59 ± 0.42 b | |
| T3 | 84.64 ± 0.22 bc | 74.44 ± 0.09 bc | 61.15 ± 0.12 c | 25.66 ± 0.44 e | 8.69 ± 0.25 c | |
| 2021 | CK | 84.37 ± 0.15 cd | 73.98 ± 0.22 d | 60.71 ± 0.13 d | 28.79 ± 0.92 c | 9.45 ± 0.71 b |
| T1 | 84.51 ± 0.18 bc | 74.25 ± 0.14 c | 61.11 ± 0.18 c | 27.04 ± 0.38 d | 8.31 ± 0.50 cd | |
| T2 | 84.77 ± 0.18 b | 74.57 ± 0.18 b | 61.43 ± 0.13 b | 25.48 ± 0.76 e | 7.80 ± 0.39 d | |
| T3 | 85.10 ± 0.10 a | 74.86 ± 0.20 a | 61.84 ± 0.22 a | 23.67 ± 0.67 f | 6.56 ± 0.44 e | |
| Y | NS | ** | ** | ** | ** | |
| T | ** | ** | ** | ** | ** | |
| Y × T | NS | NS | NS | * | ** |
| Year | Treatment | Protein Content (%) | Amylose Content (%) | Tasting Value | Appearance Value | Hardness Value | Viscosity Value | Balance Value |
|---|---|---|---|---|---|---|---|---|
| 2020 | CK | 7.34 ± 0.10 ab | 12.56 ± 0.12 a | 82.80 ± 0.62 f | 8.47 ± 0.06 f | 6.00 ± 0.10 a | 8.93 ± 0.06 e | 8.57 ± 0.06 f |
| T1 | 7.40 ± 0.10 ab | 12.13 ± 0.11 b | 83.97 ± 0.15 e | 8.60 ± 0.13 e | 5.83 ± 0.06 b | 9.10 ± 0.10 d | 8.67 ± 0.06 e | |
| T2 | 7.47 ± 0.06 ab | 11.93 ± 0.12 c | 87.53 ± 0.40 c | 9.07 ± 0.06 c | 5.33 ± 0.06 e | 9.40 ± 0.10 b | 9.17 ± 0.10 b | |
| T3 | 7.55 ± 0.14 a | 11.70 ± 0.20 d | 89.07 ± 0.25 b | 9.30 ± 0.10 b | 5.13 ± 0.06 f | 9.63 ± 0.06 a | 9.37 ± 0.06 a | |
| 2021 | CK | 7.27 ± 0.10 b | 12.15 ± 0.16 b | 84.43 ± 0.12 e | 8.63 ± 0.06 e | 5.83 ± 0.06 b | 8.90 ± 0.10 e | 8.70 ± 0.13 e |
| T1 | 7.33 ± 0.11 b | 11.66 ± 0.14 d | 85.97 ± 0.06 d | 8.83 ± 0.10 d | 5.67 ± 0.06 c | 9.23 ± 0.06 c | 8.90 ± 0.06 d | |
| T2 | 7.45 ± 0.09 ab | 11.50 ± 0.16 de | 87.87 ± 0.31 c | 9.23 ± 0.06 b | 5.47 ± 0.06 d | 9.30 ± 0.13 bc | 9.03 ± 0.06 c | |
| T3 | 7.49 ± 0.09 ab | 11.34 ± 0.12 e | 90.23 ± 0.42 a | 9.47 ± 0.13 a | 5.07 ± 0.06 f | 9.53 ± 0.06 a | 9.23 ± 0.10 b | |
| Y | NS | ** | ** | ** | * | NS | NS | |
| T | NS | ** | ** | ** | ** | ** | ** | |
| Y × T | NS | NS | ** | NS | ** | * | ** |
| Year | Treatment | Peak Viscosity (cP) | Trough Viscosity (cP) | Breakdown Value (cP) | Final Viscosity (cP) | Setback Value (cP) | Consistence Value (cP) |
|---|---|---|---|---|---|---|---|
| 2020 | CK | 2884.00 ± 36.17 d | 1703.67 ± 21.57 a | 1180.33 ± 26.89 d | 2283.33 ± 22.05 a | −600.67 ± 16.74 a | 579.67 ± 22.51 abc |
| T1 | 2959.00 ± 39.34 bcd | 1702.67 ± 25.42 a | 1256.33 ± 17.79 c | 2297.33 ± 30.66 a | −661.67 ± 11.93 b | 594.67 ± 17.01 ab | |
| T2 | 3001.33 ± 42.48 bc | 1691.33 ± 16.01 a | 1310.00 ± 26.91 b | 2310.67 ± 44.99 a | −690.67 ± 12.52 bc | 619.33 ± 29.40 a | |
| T3 | 3098.33 ± 41.67 a | 1740.00 ± 17.58 a | 1358.33 ± 40.82 a | 2341.33 ± 31.21 a | −757.00 ± 14.73 d | 601.33 ± 26.63 ab | |
| 2021 | CK | 2932.33 ± 55.59 cd | 1730.67 ± 31.56 a | 1201.67 ± 30.75 d | 2274.33 ± 30.73 a | −658.00 ± 24.88 b | 543.67 ± 13.58 c |
| T1 | 3002.00 ± 23.52 bc | 1749.00 ± 20.95 a | 1253.00 ± 19.00 c | 2292.67 ± 19.43 a | −709.33 ± 18.56 c | 543.67 ± 17.52 c | |
| T2 | 3031.33 ± 41.79 ab | 1724.00 ± 36.37 a | 1307.33 ± 11.50 b | 2284.33 ± 38.28 a | −747.00 ± 15.39 d | 560.33 ± 14.53 bc | |
| T3 | 3112.00 ± 25.53 a | 1716.00 ± 31.58 a | 1396.00 ± 17.06 a | 2302.33 ± 21.55 a | −809.67 ± 12.90 e | 586.33 ± 29.02 abc | |
| Y | NS | NS | NS | NS | * | ** | |
| T | ** | NS | ** | NS | ** | NS | |
| Y × T | NS | NS | NS | NS | NS | NS |
Disclaimer/Publisher’s Note: The statements, opinions and data contained in all publications are solely those of the individual author(s) and contributor(s) and not of MDPI and/or the editor(s). MDPI and/or the editor(s) disclaim responsibility for any injury to people or property resulting from any ideas, methods, instructions or products referred to in the content. |
© 2025 by the authors. Licensee MDPI, Basel, Switzerland. This article is an open access article distributed under the terms and conditions of the Creative Commons Attribution (CC BY) license (https://creativecommons.org/licenses/by/4.0/).
Share and Cite
Chen, J.; Zhang, M.; Sun, J.; Liu, X.; Yuan, X.; Wang, R.; Zhang, H.; Yang, Y. Zinc Oxide Nanoparticles Enhance Grain Yield and Nutritional Quality in Rice via Improved Photosynthesis and Zinc Bioavailability. Foods 2025, 14, 3018. https://doi.org/10.3390/foods14173018
Chen J, Zhang M, Sun J, Liu X, Yuan X, Wang R, Zhang H, Yang Y. Zinc Oxide Nanoparticles Enhance Grain Yield and Nutritional Quality in Rice via Improved Photosynthesis and Zinc Bioavailability. Foods. 2025; 14(17):3018. https://doi.org/10.3390/foods14173018
Chicago/Turabian StyleChen, Jie, Muyan Zhang, Jingtong Sun, Xinyue Liu, Xijun Yuan, Rui Wang, Haipeng Zhang, and Yanju Yang. 2025. "Zinc Oxide Nanoparticles Enhance Grain Yield and Nutritional Quality in Rice via Improved Photosynthesis and Zinc Bioavailability" Foods 14, no. 17: 3018. https://doi.org/10.3390/foods14173018
APA StyleChen, J., Zhang, M., Sun, J., Liu, X., Yuan, X., Wang, R., Zhang, H., & Yang, Y. (2025). Zinc Oxide Nanoparticles Enhance Grain Yield and Nutritional Quality in Rice via Improved Photosynthesis and Zinc Bioavailability. Foods, 14(17), 3018. https://doi.org/10.3390/foods14173018

