Effect of Pulsed Electric Fields on the Shelf Stability and Sensory Acceptability of Osmotically Dehydrated Spinach: A Mathematical Modeling Approach
Abstract
1. Introduction
2. Materials and Methods
2.1. Raw Material Selection
2.2. Selection of OD Treatment Conditions
2.3. Selection of PEF Pre-Treatment Conditions
2.4. OD Treatment of Non- and PEF-Pre-Treated Samples
2.4.1. Mathematical Modeling of Water Loss and Solid Gain
2.4.2. Determination of Physicochemical Parameters
2.4.3. Determination of Leaf Burst Strength
2.4.4. Color Measurement
2.4.5. Sensory Analysis
2.4.6. Determination of Microbial Load
2.5. Shelf-Life Calculation
2.6. Statistical Analysis
3. Results
3.1. Electric Field Strength Selection for Spinach Pre-Treatment
3.2. Selection of Osmotic Medium Formulation and PEF Treatment Conditions for Spinach
3.3. Shelf-Life Calculation of Non- and Pre-Treated Spinach Samples
3.3.1. Evolution of Microbial Load in Non-, OD-Treated, and PEF-Pre-Treated–OD-Treated Spinach Samples
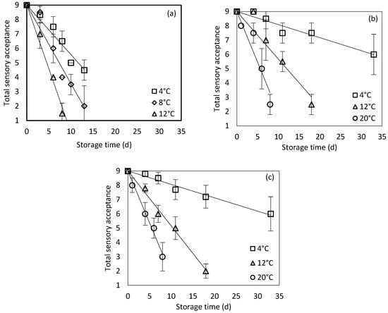
3.3.2. Evolution of Sensory Characteristics for Untreated, OD-Treated, and PEF-OD-Treated Spinach Samples
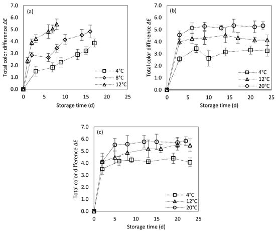
3.3.3. Evolution of Selected Quality Indices of Untreated, OD-Treated, and PEF-OD-Treated Spinach Samples
3.4. Shelf-Life Modeling of Treated Spinach
4. Conclusions
Supplementary Materials
Author Contributions
Funding
Institutional Review Board Statement
Informed Consent Statement
Data Availability Statement
Conflicts of Interest
References
- Grace, M.H.; Hoskin, R.T.; Hayes, M.; Iorizzo, M.; Kay, C.; Ferruzzi, M.G.; Lila, M.A. Spray-dried and freeze-dried protein-spinach particles; effect of drying technique and protein type on the bioaccessibility of carotenoids, chlorophylls, and phenolics. Food Chem. 2022, 388, 133017. [Google Scholar] [CrossRef] [PubMed]
- Chu, Y.-F.; Sun, J.; Wu, X.; Liu, R.H. Antioxidant and Antiproliferative Activities of Common Vegetables. J. Agric. Food Chem. 2002, 50, 6910–6916. [Google Scholar] [CrossRef] [PubMed]
- Gil, M.I.; Ferreres, F.; Tomás-Barberán, F.A. Effect of postharvest storage and processing on the antioxidant constituents (flavonoids and vitamin C) of freshcut spinach. J. Agric. Food Chem. 1999, 47, 2213–2217. [Google Scholar] [CrossRef] [PubMed]
- Bergquist, S.Å.; Gertsson, U.E.; Olsson, M.E. Influence of growth stage and postharvest storage on ascorbic acid and carotenoid content and visual quality of baby spinach (Spinacia oleracea L.). J. Sci. Food Agric. 2006, 86, 346–355. [Google Scholar]
- Oliveira, A.L.S.; Amaro, A.L.; de Sain, J.; Pintado, M. Impact of different calcium dips and solution pH on quality of ready-to -eat baby-leaf spinach. Postharvest Biol. Technol. 2016, 121, 36–42. [Google Scholar]
- Ahmed, I.; Qazi, I.M.; Jamal, S. Developments in osmotic dehydration technique for the preservation of fruits and vegetables. Innov. Food Sci. Emerg. Technol. 2016, 34, 29–43. [Google Scholar] [CrossRef]
- Ciurzyńska, A.; Kowalska, H.; Czajkowska, K.; Lenart, A. Osmotic dehydration in production of sustainable and healthy food. Trends Food Sci. Technol. 2016, 50, 186–192. [Google Scholar] [CrossRef]
- Lončar, B.; Nićetin, M.; Filipović, V.; Knežević, V.; Pezo, L.; Šuput, D.; Kuljanin, T. Osmotic dehydration in sugarbeet molasses-Food safety and quality benefits. J. Hyg. Eng. Des. 2021, 34, 16–20. [Google Scholar]
- Rastogi, N.K. Developments in osmotic dehydration of foods. In Drying Technology in Food Processing. Unit Operations and Processing Equipment in the Food Industry; Jafari, S.M., Malekjani, N., Eds.; Woodhead Publishing: Cambridge, UK, 2023; pp. 241–304. [Google Scholar] [CrossRef]
- Wiktor, A.; Lammerskitten, A.; Barba, G.; Michalski, M.; Toepfl, S.; Parniakov, O. 1.15-Drying Processes Assisted by PEF for Plant-Based Materials. Innov. Food Process. Technol. 2021, 1, 271–280. [Google Scholar] [CrossRef]
- Barba, F.J.; Parniakov, O.; Pereira, S.A.; Wiktor, A.; Grimi, N.; Boussetta, N.; Saraiva, J.; Raso, J.; Martin-Belloso, O.; Witrowa-Rajchert, D.; et al. Current applications and new opportunities for the use of pulsed electric fields in food science and industry. Food Res. Int. 2015, 77, 773–798. [Google Scholar]
- Wiktor, A.; Singh, A.P.; Parniakov, O.; Mykhailyk, V.; Mandal, R.; Witrowa-Rajchert, D. Pulsed Electric Fields to Obtain Healthier and Sustainable Food for Tomorrow, 1st ed.; Barba, F.J., Parniakov, O., Wiktor, A., Eds.; Academic Press: Cambridge, MA, USA, 2020; pp. 155–202. [Google Scholar] [CrossRef]
- Dermesonlouoglou, E.; Chalkia, A.; Dimopoulos, G.; Taoukis, P. Combined effect of pulsed electric field and osmotic dehydration pre-treatments on mass transfer and quality of air dried goji berry. Innov. Food Sci. Emerg. Technol. 2018, 49, 106–115. [Google Scholar] [CrossRef]
- Katsimichas, A.; Dimopoulos, G.; Dermesonlouoglou, E.; Taoukis, P. Modelling and Evaluation of the Effect of Pulsed Electric Fields and High Pressure Processing Conditions on the Quality Parameters of Osmotically Dehydrated Tomatoes. Appl. Sci. 2023, 13, 11397. [Google Scholar] [CrossRef]
- Akdemir, E.G.; Agcam, E.; Akyildiz, A. Effects of pulsed electric fields on sour cherry juice properties and formations of furfural and hydroxymethylfurfural. Int. J. Eng. 2021, 17, 217–226. [Google Scholar]
- Yildiz, S.; Pokhrel, P.R.; Unluturk, S.; Barbosa-Canovas, G.V. Shelf life extension of strawberry juice by equivalent ultrasound, high pressure, and pulsed electric fields processes. Food Res. Int. 2021, 140, 110040. [Google Scholar] [CrossRef] [PubMed]
- Dziadek, K.; Kopec, A.; Drozdz, T.; Kiełbasa, P.; Ostafin, M.; Bulski, K.; Oziembłowski, M. Effect of pulsed electric field treatment on shelf life and nutritional value of apple juice. J. Food Sci. Tehnol. 2018, 56, 1184–1191. [Google Scholar] [CrossRef] [PubMed]
- Rahaman, A.; Zeng, X.-A.; Farooq, M.A.; Kumari, A.; Murtaza, M.A.; Ahmad, N.; Siddeeg, A. Effect of pulsed electric fields processing on physiochemical properties and bioactive compounds of apricot juice. J. Food Process. Eng. 2020, 43, e13449. [Google Scholar] [CrossRef]
- Manzoor, M.F.; Zeng, X.; Ahmad, N.; Ahmed, Z.; Rehman, A.; Aadil, R.M.; Roobab, U.; Siddique, R.; Rahaman, A. Effect of pulsed electric field and thermal treatments on the bioactive compounds, enzymes, microbial, and physical stability of almond milk during storage. J. Food Process. Preserv. 2020, 44, e14541. [Google Scholar] [CrossRef]
- Brito, I.P.C.; Silva, E.K. Pulsed electric field technology in vegetable and fruit juice processing: A review. Food Res. Int. 2024, 184, 114207. [Google Scholar] [CrossRef] [PubMed]
- Leong, S.Y.; Oey, I. Effect of pulsed electric field treatment on enzyme kinetics and thermostability of endogenous ascorbic acid oxidase in carrots (Daucus carota cv. Nantes). Food Chem. 2014, 146, 538–547. [Google Scholar] [CrossRef]
- Khan, A.A.; Randhaw, M.A.; Carn, A.; Ahmed, I.A.M.; Al-Juhaimi, F.Y.; Barr, D.; Reid, M.; Bekhit, A.E.-D.A. Effect of low and high pulsed electric field processing on macro and micro minerals in beef and chicken. , Innov. Food Sci. Emerg. Technol. 2018, 45, 273–279. [Google Scholar] [CrossRef]
- Ade-Omowaye, B.I.O.; Angersbach, A.; Taiwo, K.A.; Knorr, D. Use of pulsed electric field pre-treatment to improve dehydration characteristics of plant based foods. Trends Food Sci. Technol. 2001, 2, 285–295. [Google Scholar] [CrossRef]
- Tylewicz, U.; Oliveira, G.; Alminger, M.; Nohynek, L.; Dalla Rosa, M.; Romani, S. Antioxidant and antimicrobial properties of organic fruits subjected to PEF-assisted osmotic dehydration. Innov. Food Sci. Emerg. Technol. 2020, 62, 102341. [Google Scholar] [CrossRef]
- Dermesonlouoglou, E.K.; Zachariou, I.; Andreou, V.; Taoukis, P.S. Effect of pulsed electric fields on mass transfer and quality of osmotically dehydrated kiwifruit. Food Bioprod. Process. 2016, 100, 535–554. [Google Scholar] [CrossRef]
- Tylewicz, U.; Tappi, S.; Mannozzi, C.; Romani, S.; Dellarosa, N.; Laghi, L.; Ragni, L.; Rocculi, P.; Dalla Rosa, M. Effect of pulsed electric field (PEF) pre-treatment coupled with osmotic dehydration on physico-chemical characteristics of organic strawberries. J. Food Eng. 2017, 213, 2–9. [Google Scholar] [CrossRef]
- Yamakage, K.; Yamada, T.; Takahashi, K.; Takaki, K.; Komuro, M.; Sasaki, K.; Aoki, K.; Kamagata, J.; Koide, S.; Orikasa, T. Impact of pre-treatment with pulsed electric field on drying rate and changes in spinach quality during hot air drying. Innov. Food Sci. Emerg. Technol. 2021, 68, 102615. [Google Scholar] [CrossRef]
- Yin, Y.; Han, Y.; Liu, J. A novel protectingmethod for visual green color in spinach puree treated by high intensity pulsed electric fields. J. Food Eng. 2007, 79, 1256–1260. [Google Scholar] [CrossRef]
- Zhang, S.; Zeng, X.; Ren, M.; Mao, X.; Qiao, S. Novel metabolic and physiological functions of branched chain amino acids: A review. J. Anim. Sci. Biotechnol. 2017, 8, 10. [Google Scholar] [CrossRef] [PubMed]
- Dymek, K.; Panarese, V.; Herremans, E.; Cantre, D.; School, R.; Toraño, J.S.; Schluepmann, H.; Wadso, L.; Verboven, P.; Nicolai, B.M.; et al. Investigation of the metabolic consequences of impregnating spinach leaves with trehalose and applying a pulsed electric field. Bioelectrochemistry 2016, 112, 153–157. [Google Scholar] [CrossRef] [PubMed]
- Telfser, A.; Galindo, F.G. Effect of reversible permeabilization in combination with different drying methods on the structure and sensorial quality of dried basil (Ocimum basilicum L.) leaves. LWT 2019, 99, 148–155. [Google Scholar] [CrossRef]
- Phoon, P.Y.; Galindo, F.G.; Vicente, A.; Dejmek, P. Pulsed electric field in combination with vacuum impregnation with trehalose improves the freezing tolerance of spinach leaves. Food Eng. 2008, 88, 144–148. [Google Scholar] [CrossRef]
- Singh, B.; Panesar, P.S.; Nanda, V. Osmotic dehydration kinetics of carrot cubes in sodium chloride solution. Int. J. Food Sci. Technol. 2008, 43, 1361–1370. [Google Scholar] [CrossRef]
- Kaleemullah, S.; Kailappan, R.; Varadharaju, N. Studies on osmotic-air drying characteristics of papaya cubes. J. Food Sci. Technol. 2002, 39, 83–85. [Google Scholar]
- Mohammadkhani, M.; Koocheki, A.; Mohebbi, M. Effect of Lepidium perfoliatum seed gum—Oleic acid emulsion coating on osmotic dehydration and subsequent air-drying of apple cubes. Prog. Org. Coat. 2024, 186, 107986. [Google Scholar] [CrossRef]
- Bradley, R.L., Jr. Chapter 1. Moisture and Total Solids Analysis. In Food Analysis; Springer: Berlin/Heidelberg, Germany, 2010. [Google Scholar]
- Commision Internationale de I’Eclairage (CIE). Recommendations on uniform color spaces-color difference equations, psychometric color terms. Supplement No 2 to CIE publication No 15 (E-1.3.1) 1971/(TC-1-3). Commission Internationale de l’ Eclairage: Paris, France, 1978. [Google Scholar]
- Vega-Gálvez, A.; Miranda, M.; Clavería, R.; Quispe, I.; Vergara, J.; Uribe, E.; Paez, H.; Di Scala, K. Effect of air temperature on drying kinetics and quality characteristics of osmo-treated jumbo squid (Dosidicus gigas). Food Sci. Technol. 2011, 44, 16–23. [Google Scholar] [CrossRef]
- Jasper, J.; Elmore, J.S.; Wagstaff, C. Detrmining the quality of leafy salads: Past, present and future. Postharvest Biol. Technol. 2021, 180, 111630. [Google Scholar] [CrossRef]
- Gil, M.M.; Brandão, T.R.S.; Silva, C.L.M. A modified Gompertz model to predict microbial inactivation under time-varying temperature conditions. J. Food Eng. 2006, 76, 89–94. [Google Scholar] [CrossRef]
- Dermesonlouoglou, E.K.; Giannakourou, M.C. Evaluation and modelling of osmotic pre-treatment of peach using alternative agents in a multiple-component solution. J. Sci. Food Agric. 2019, 99, 1240–1249. [Google Scholar] [CrossRef]
- Rizvi, A.M.D.; Lyng, J.G.; Frontuto, D.; Marra, F.; Cinquanta, L. Effect of Pulsed Electric Field Pretreatment on Drying Kinetics, Color, and Texture of Parsnip and Carrot. J. Food Sci. 2018, 83, 2159–2166. [Google Scholar] [CrossRef]
- Calonica, C.; Delfino, V.; Pesavento, G.; Mundo, M.; Nostro, A.L. Microbiological Quality of Ready-to-eat Salads from Processing Plant to the Consumers. J. Food Nutr. Res. 2019, 7, 427–434. [Google Scholar]
- Health Protection Agency. Guidelines for Assessing the Microbiological Safety of Ready-to-Eat Foods. 2009. Available online: http://www.hpa.org.uk/webc/HPAwebFile/HPAweb_C/1259151921557 (accessed on 1 November 2009).
- EC 2073/2005; Commision Regulation (EC) No 2073/2005 of 15 November 2005 on Microbiological Criteria for Foodstuffs, 32005R2073. European Commission: Brussels, Belgium, 2014. Available online: https://eur-lex.europa.eu/legal958content/EN/ALL/?uri=CELEX%3A32005R (accessed on 1 June 2005).
- Horev, B.; Sela, S.; Vinokur, Y.; Gorbatsevich, E.; Pinto, R.; Rodov, V. The effects of active and passive modified atmosphere packaging on the survival of Salmonella enterica serotype Typhimurium on washed romaine lettuce leaves. Food Res. Int. 2012, 45, 1129–1132. [Google Scholar] [CrossRef]
- Abdul-Raouf, U.M.; Beuchat, L.R.; Ammar, M.S. Survival and growth of Escherichia coli O157:H7 on salad vegetables. Appl. Environ. Microbiol. 1993, 59, 1999–2006. [Google Scholar] [CrossRef] [PubMed]
- Artés, F.; Allende, A. Processing lines and alternative preservation techniques to prolong the shelf-life of minimally fresh processed leafy vegetables. Eur. J. Hortic. Sci. 2005, 70, 231. [Google Scholar]
- Tapia, M.S.; Alzamora, S.M.; Chirife, J. Effects of Water Activity (aw) on Microbial Stability: As a Hurdle in Food Preservation. In Water Activity in Foods: Fundamentals and Applications; Wiley: Hoboken, NJ, USA, 2008; pp. 239–271. [Google Scholar]
- Dermesonlouoglou, E.; Bimpilas, A.; Andreou, V.; Katsaros, G.J.; Giannakourou, M.C.; Taoukis, P.S. Processoptimization and kinetic modeling of quality of fresh-cut strawberry cubes pretreated by high pressure andosmosis. J. Food Process. Preserv. 2016, 41, e13137. [Google Scholar] [CrossRef]
- Dermesonlouoglou, E.; Paraskevopoulou, E.; Andreou, V.; Taoukis, P. Osmotic Dehydration for the Production of Novel Pumpkin Cut Products of Enhanced Nutritional Value and Sustainability. Appl. Sci. 2020, 10, 6225. [Google Scholar] [CrossRef]
- Nowacka, M.; Tylewicz, U.; Romani, S.; Dalla Rosa, M.; Witrowa-Rajchert, D. Influence of ultrasound-assisted osmotic dehydration on the main quality parameters of kiwifruit. Innov. Food Sci. Emerg. 2017, 41, 71–78. [Google Scholar] [CrossRef]








| Treatment | Experimental Conditions | |||
|---|---|---|---|---|
| Pulsed Electric Fields (PEFs) | Electric (kV/cm) | Pulses (p) | Temperature (°C) | Other |
| 0.6, 1.2, 2.2 | 0, 10, 20, 50, 100, 200 | 25 | Pulse width: 15 μ; pulse frequency: 20 Hz | |
| Osmotic Dehydration (OD) | Glycerol concentration (%) | Temperature (°C) | Time (min) | Other |
| 50, 60 | 25 | 0, 20, 40, 60, 90, 120 | 1.5% calcium chloride, 1% sodium chloride, 2.5% vinegar, 0.05% w/w sodium sulfite Solid-to-liquid ratio 1:20 | |
| PEF Pre-Treatment | ||||||||
|---|---|---|---|---|---|---|---|---|
| 50% w/w Glycerol | R2 | 60% w/w Glycerol | R2 | 50% w/w Glycerol | R2 | 60% w/w Glycerol | R2 | |
| 0 pulses | 0.235 ± 0.010 a | 0.930 | 0.357 ± 0.012 e | 0.930 | 0.061 ± 0.005 a | 0.912 | 0.118 ± 0.008 c | 0.914 |
| 10 pulses | 0.254 ± 0.016 ab | 0.920 | 0.371 ± 0.010 ef | 0.927 | 0.068 ± 0.004 a | 0.911 | 0.118 ± 0.009 c | 0.934 |
| 20 pulses | 0.258 ± 0.008 ab | 0.933 | 0.407 ± 0.018 fg | 0.934 | 0.068 ± 0.006 a | 0.933 | 0.128 ± 0.008 c | 0.918 |
| 50 pulses | 0.294 ± 0.016 c | 0.925 | 0.423 ± 0.010 gh | 0.922 | 0.070 ± 0.005 a | 0.925 | 0.125 ± 0.009 c | 0.927 |
| 100 pulses | 0.283 ± 0.014 bc | 0.934 | 0.443 ± 0.020 h | 0.925 | 0.072 ± 0.004 a | 0.928 | 0.126 ± 0.011 c | 0.941 |
| 200 pulses | 0.325 ± 0.013 d | 0.928 | 0.526 ± 0.028 i | 0.921 | 0.085 ± 0.006 b | 0.923 | 0.121 ± 0.010 c | 0.911 |
| Storage Temperature (°C) | R2 | |||||||
|---|---|---|---|---|---|---|---|---|
| Untreated | OD-Treated | Untreated | OD-Treated | Untreated | OD-Treated | Untreated | OD-Treated | |
| 4 | 0.32 ± 0.02 d | 0.16 ± 0.01 a | 6.48 ± 0.10 a | 6.06 ± 0.06 d | 3.70 ± 0.06 c | 2.02 ± 0.07 e | 0.979 | 0.994 |
| 8 | 0.41 ± 0.02 e | - | 6.37 ± 0.09 ab | - | 4.91 ± 0.05 b | - | 0.986 | - |
| 12 | 0.52 ± 0.03 f | 0.26 ± 0.01 b | 6.26 ± 0.05 c | 6.11 ± 0.04 d | 6.69 ± 0.06 a | 1.67 ± 0.08 f | 0.982 | 0.959 |
| 20 | - | 0.31 ± 0.02 c | - | 5.97 ± 0.10 d | - | 2.27 ± 0.05 d | - | 0.968 |
| −39.9 ± 4.1 | −28.8 ± 3.5 | - | - | - | - | - | - | |
| R2 = 0.997 | R2 = 0.953 | |||||||
| Storage Temperature (°C) | Non-Pre-Treated Spinach | OD-Treated Spinach | PEF-Pre-Treated–OD-Treated Spinach | |||
|---|---|---|---|---|---|---|
| R2 | R2 | R2 | ||||
| 4 | 0.375 ± 0.015 b | 0.959 | 0.094 ± 0.002 a | 0.939 | 0.090 ± 0.003 a | 0.977 |
| 8 | 0.588 ± 0.042 c | 0.963 | - | - | ||
| 12 | 0.935 ± 0.063 e | 0.984 | 0.387 ± 0.011 b | 0.957 | 0.367 ± 0.027 b | 0.991 |
| 20 | - | 0.750 ± 0.041 d | 0.910 | 0.722 ± 0.038 d | 0.990 | |
| −74.9 ± 6.1 | 0.997 | −79.8 ± 7.8 | 0.964 | −85.2 ± 9.2 | 0.967 | |
| Storage Temperature (°C) | Untreated Spinach | OD-Treated Spinach | PEF-OD-Treated Spinach | |||
|---|---|---|---|---|---|---|
| SL Microbial Growth (d) | SL Sensory Deterioration (d) | SL Microbial Growth (d) | SL Sensory Deterioration (d) | SL Microbial Growth (d) | SL Sensory Deterioration (d) | |
| 4 | 4.7 ± 0.4 B | 10.6 ± 0.9 b | 12.2 ± 1.0 C | 42.5 ± 2.1 d | - | 38.1 ± 3.2 c |
| 8 | 4.0 ± 0.3 AB | 6.8 ± 0.5 a | - | - | - | - |
| 12 | 3.3 ± 0.3 A | 4.2 ± 0.3 a | 7.3 ± 0.5 C | 10.3 ± 0.9 b | - | 10.2 ± 1.1 b |
| 20 | - | - | 6.6 ± 0.4 D | 5.3 ± 0.3 a | - | 5.8 ± 0.5 a |
Disclaimer/Publisher’s Note: The statements, opinions and data contained in all publications are solely those of the individual author(s) and contributor(s) and not of MDPI and/or the editor(s). MDPI and/or the editor(s) disclaim responsibility for any injury to people or property resulting from any ideas, methods, instructions or products referred to in the content. |
© 2024 by the authors. Licensee MDPI, Basel, Switzerland. This article is an open access article distributed under the terms and conditions of the Creative Commons Attribution (CC BY) license (https://creativecommons.org/licenses/by/4.0/).
Share and Cite
Dimopoulos, G.; Katsimichas, A.; Balachtsis, K.; Dermesonlouoglou, E.; Taoukis, P. Effect of Pulsed Electric Fields on the Shelf Stability and Sensory Acceptability of Osmotically Dehydrated Spinach: A Mathematical Modeling Approach. Foods 2024, 13, 1410. https://doi.org/10.3390/foods13091410
Dimopoulos G, Katsimichas A, Balachtsis K, Dermesonlouoglou E, Taoukis P. Effect of Pulsed Electric Fields on the Shelf Stability and Sensory Acceptability of Osmotically Dehydrated Spinach: A Mathematical Modeling Approach. Foods. 2024; 13(9):1410. https://doi.org/10.3390/foods13091410
Chicago/Turabian StyleDimopoulos, George, Alexandros Katsimichas, Konstantinos Balachtsis, Efimia Dermesonlouoglou, and Petros Taoukis. 2024. "Effect of Pulsed Electric Fields on the Shelf Stability and Sensory Acceptability of Osmotically Dehydrated Spinach: A Mathematical Modeling Approach" Foods 13, no. 9: 1410. https://doi.org/10.3390/foods13091410
APA StyleDimopoulos, G., Katsimichas, A., Balachtsis, K., Dermesonlouoglou, E., & Taoukis, P. (2024). Effect of Pulsed Electric Fields on the Shelf Stability and Sensory Acceptability of Osmotically Dehydrated Spinach: A Mathematical Modeling Approach. Foods, 13(9), 1410. https://doi.org/10.3390/foods13091410

