Efficient and Selective Extraction of Rhamnogalacturonan-I-Enriched Pectic Polysaccharides from Tartary Buckwheat Leaves Using Deep-Eutectic-Solvent-Based Techniques
Abstract
1. Introduction
2. Materials and Methods
2.1. Materials and Chemicals
2.2. Extraction and Isolation of Pectic Polysaccharides from Tartary Buckwheat Green Leaves
2.2.1. Pre-Treatment of Raw Materials
2.2.2. Conventional Hot-Water Extraction (CHWE)
2.2.3. Deep-Eutectic-Solvent-Assisted Extraction (DESE)
2.2.4. High-Pressure-Assisted Deep Eutectic Solvent Extraction (HPDEE)
2.3. Physicochemical and Structural Characterization of Pectic Polysaccharides from Tartary Buckwheat Green Leaves Extracted Using Different Techniques
2.4. Evaluation of Beneficial Effects of Pectic Polysaccharides from Tartary Buckwheat Green Leaves Extracted Using Different Techniques
2.5. Statistical Analysis
3. Results and Discussion
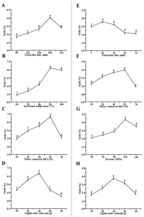
3.1. Extraction Optimization of Deep-Eutectic-Solvent-Assisted Extraction (DESE) and High-Pressure-Assisted Deep Eutectic Solvent Extraction (HPDEE)
3.1.1. Extraction Optimization for the DESE Method
3.1.2. Extraction Optimization for the HPDEE Method
3.2. Physicochemical and Structural Properties of Pectic Polysaccharides from Tartary Buckwheat Green Leaves Extracted Using Different Methods
3.2.1. Comparison of Chemical Components of TBP-W, TBP-D, and TBP-PD
3.2.2. Comparison of Molecular Masses and Monosaccharide Compositions of TBP-W, TBP-D, and TBP-PD
3.2.3. Comparison of Molecular Weights and Monosaccharide Units of TBP-W, TBP-D, and TBP-PD
3.3. Comparison of Antioxidant Activities of TBP-W, TBP-D, and TBP-PD In Vitro
3.4. Comparison of Anti-Glycosylation Activities of TBP-W, TBP-D, and TBP-PD In Vitro
3.5. Comparison of Immunostimulatory Effects of TBP-W, TBP-D, and TBP-PD
4. Conclusions
Author Contributions
Funding
Institutional Review Board Statement
Informed Consent Statement
Data Availability Statement
Conflicts of Interest
References
- Jin, M.-Y.; Li, M.-Y.; Huang, R.-M.; Wu, X.-Y.; Sun, Y.-M.; Xu, Z.-L. Structural features and anti-inflammatory properties of pectic polysaccharides: A review. Trends Food Sci. Technol. 2021, 107, 284–298. [Google Scholar] [CrossRef]
- Wu, D.; Zheng, J.; Mao, G.; Hu, W.; Ye, X.; Linhardt, R.J.; Chen, S. Rethinking the impact of RG-I mainly from fruits and vegetables on dietary health. Crit. Rev. Food Sci. Nutr. 2020, 60, 2938–2960. [Google Scholar] [CrossRef]
- Niu, H.; Dou, Z.; Hou, K.; Wang, W.; Chen, X.; Chen, X.; Chen, H.; Fu, X. A critical review of RG-I pectin: Sources, extraction methods, structure, and applications. Crit. Rev. Food Sci. Nutr. 2023, 28, 1–21. [Google Scholar] [CrossRef] [PubMed]
- Mao, G.; Wu, D.; Wei, C.; Tao, W.; Ye, X.; Linhardt, R.J.; Orfila, C.; Chen, S. Reconsidering conventional and innovative methods for pectin extraction from fruit and vegetable waste: Targeting rhamnogalacturonan I. Trends Food Sci. Technol. 2019, 94, 65–78. [Google Scholar] [CrossRef]
- Zhang, H.; Chen, J.; Li, J.; Yan, L.; Li, S.; Ye, X.; Liu, D.; Ding, T.; Linhardt, R.J.; Orfila, C.; et al. Extraction and characterization of RG-I enriched pectic polysaccharides from mandarin citrus peel. Food Hydrocoll. 2018, 79, 579–586. [Google Scholar] [CrossRef]
- Hou, Z.; Hu, X.; Luan, L.; Yu, C.; Wang, X.; Chen, S.; Ye, X. Prebiotic potential of RG-I pectic polysaccharides from Citrus subcompressa by novel extraction methods. Food Hydrocoll. 2022, 124, e107213. [Google Scholar] [CrossRef]
- Giménez-Bastida, J.A.; Zieliński, H. Buckwheat as a functional food and its effects on health. J. Agric. Food Chem. 2015, 63, 7896–7913. [Google Scholar] [CrossRef]
- Zou, L.; Wu, D.T.; Ren, G.X.; Hu, Y.C.; Peng, L.X.; Zhao, J.L.; Garcia-Perez, P.; Carpena, M.; Prieto, M.A.; Cao, H.; et al. Bioactive compounds, health benefits, and industrial applications of Tartary buckwheat (Fagopyrum tataricum). Crit. Rev. Food Sci. Nutr. 2023, 63, 657–673. [Google Scholar] [CrossRef]
- Song, Y.; Lei, J.; Li, J.; Wang, J.; Hu, J.-L.; Zheng, X.-Q.; Hu, Y.-C.; Zou, L.; Wu, D.-T. Structural properties and biological activities of soluble dietary fibers rich in pectic-polysaccharides from different buckwheat green leaves. Int. J. Biol. Macromol. 2023, 253, 126686. [Google Scholar] [CrossRef] [PubMed]
- Shafie, M.H.; Yusof, R.; Gan, C.-Y. Deep eutectic solvents (DES) mediated extraction of pectin from Averrhoa bilimbi: Optimization and characterization studies. Carbohydr. Polym. 2019, 216, 303–311. [Google Scholar] [CrossRef] [PubMed]
- Chen, M.; Lahaye, M. Natural deep eutectic solvents pretreatment as an aid for pectin extraction from apple pomace. Food Hydrocoll. 2021, 115, 106601. [Google Scholar] [CrossRef]
- Zdanowicz, M.; Wilpiszewska, K.; Spychaj, T. Deep eutectic solvents for polysaccharides processing. A review. Carbohydr. Polym. 2018, 200, 361–380. [Google Scholar] [CrossRef] [PubMed]
- Gu, J.Y.; Lin, L.Z.; Zhao, M.M. Demonstration of feasibility and effectiveness of deep eutectic solvent-water system extraction of RG-I type pectin from wolfberry based on target polysaccharide, solvent and their interactions. Food Hydrocoll. 2023, 144, 109027. [Google Scholar] [CrossRef]
- Wu, D.T.; Fu, M.X.; Guo, H.; Hu, Y.C.; Zheng, X.Q.; Gan, R.Y.; Zou, L. Microwave-assisted deep eutectic solvent extraction, structural characteristics, and biological functions of polysaccharides from sweet tea (Lithocarpus litseifolius) leaves. Antioxidants 2022, 11, 1578. [Google Scholar] [CrossRef]
- Zou, X.; Xiao, J.; Chi, J.; Zhang, M.; Zhang, R.; Jia, X.; Mei, D.; Dong, L.; Yi, Y.; Huang, F. Physicochemical properties and prebiotic activities of polysaccharides from Zizyphus jujube based on different extraction techniques. Int. J. Biol. Macromol. 2022, 223, 663–672. [Google Scholar] [CrossRef] [PubMed]
- Wu, D.T.; Feng, K.L.; Huang, L.; Gan, R.Y.; Hu, Y.C.; Zou, L. Deep eutectic solvent-assisted extraction, partially structural characterization, and bioactivities of acidic polysaccharides from lotus leaves. Foods 2021, 10, 2330. [Google Scholar] [CrossRef] [PubMed]
- Zhang, Y.; He, L.; Li, Q.; Cheng, J.; Wang, Y.; Zhao, J.; Yuan, S.; Chen, Y.; Shi, R. Optimization of ultrasonic-assisted deep eutectic solvent for the extraction of polysaccharides from Indocalamus tessellatus leaves and their biological studies. Sustain. Chem. Pharm. 2022, 30, 100855. [Google Scholar] [CrossRef]
- Qu, H.; Wu, Y.; Luo, Z.; Dong, Q.; Yang, H.; Dai, C. An efficient approach for extraction of polysaccharide from abalone (Haliotis Discus Hannai Ino) viscera by natural deep eutectic solvent. Int. J. Biol. Macromol. 2023, 244, 125336. [Google Scholar] [CrossRef]
- Hou, Z.Q.; Chen, S.G.; Ye, X.Q. High pressure processing accelarated the release of RG-I pectic polysaccharides from citrus peel. Carbohydr. Polym. 2021, 263, 118005. [Google Scholar] [CrossRef]
- Ahmadi, S.; Yu, C.X.; Zaeim, D.; Wu, D.M.; Hu, X.X.; Ye, X.Q.; Chen, S.G. Increasing RG-I content and lipase inhibitory activity of pectic polysaccharides extracted from goji berry and raspberry by high-pressure processing. Food Hydrocoll. 2022, 126, 107477. [Google Scholar] [CrossRef]
- Ke, Y.; Lin, L.Z.; Zhao, M.M. Lotus leaf polysaccharides prepared by alkaline water, deep eutectic solvent and high pressure homogenization-assisted dual enzyme extraction: A comparative study of structural features, prebiotic activities and functionalities. Food Hydrocoll. 2023, 143, 108870. [Google Scholar] [CrossRef]
- Wu, D.T.; Li, J.; Wang, J.; Lei, J.; Gan, R.Y.; Qin, P.Y.; Hu, Y.C.; Wu, X.Y.; Zou, L. Comparison of soluble dietary fibers from various quinoa microgreens: Structural characteristics and bioactive properties. Food Res. Int. 2024, 181, 114108. [Google Scholar] [CrossRef]
- Shang, X.-C.; Chu, D.; Zhang, J.-X.; Zheng, Y.-F.; Li, Y. Microwave-assisted extraction, partial purification and biological activity in vitro of polysaccharides from bladder-wrack (Fucus vesiculosus) by using deep eutectic solvents. Sep. Purif. Technol. 2021, 259, 118169. [Google Scholar] [CrossRef]
- Luo, Y.; Peng, B.; Liu, Y.; Wu, Y.; Wu, Z. Ultrasound extraction of polysaccharides from guava leaves and their antioxidant and antiglycation activity. Process Biochem. 2018, 73, 228–234. [Google Scholar] [CrossRef]
- Shang, H.; Wu, H.; Dong, X.; Shi, X.; Wang, X.; Tian, Y. Effects of different extraction methods on the properties and activities of polysaccharides from Medicago sativa L. and extraction condition optimization using response surface methodology. Process Biochem. 2019, 82, 179–188. [Google Scholar] [CrossRef]
- Simayi, Z.; Aierken, W.; Rozi, P.; Ababaikeri, G.; Cao, B.; Zhou, C.L.; Askar, G.; Yang, X.J. Optimization of ultrasound-assisted extraction, structural, functional, and antioxidant properties of Glycyrrhiza uralensis seed protein. Process Biochem. 2023, 124, 1–12. [Google Scholar] [CrossRef]
- Lei, J.; Li, W.; Fu, M.X.; Wang, A.Q.; Wu, D.T.; Guo, H.; Hu, Y.C.; Gan, R.Y.; Zou, L.; Liu, Y. Pressurized hot water extraction, structural properties, biological effects, and in vitro microbial fermentation characteristics of sweet tea polysaccharide. Int. J. Biol. Macromol. 2022, 222, 3215–3228. [Google Scholar] [CrossRef] [PubMed]
- Ruesgas-Ramón, M.; Figueroa-Espinoza, M.C.; Durand, E. Application of deep eutectic solvents (DES) for phenolic compounds extraction: Overview, challenges, and opportunities. J. Agric. Food Chem. 2017, 65, 3591–3601. [Google Scholar] [CrossRef] [PubMed]
- Huang, H.; Chen, J.; Hu, X.; Chen, Y.; Xie, J.; Ao, T.; Wang, H.; Xie, J.; Yu, Q. Elucidation of the interaction effect between dietary fiber and bound polyphenol components on the anti-hyperglycemic activity of tea residue dietary fiber. Food Funct. 2022, 13, 2710–2728. [Google Scholar] [CrossRef] [PubMed]
- Fernandes, P.A.R.; Coimbra, M.A. The antioxidant activity of polysaccharides: A structure-function relationship overview. Carbohydr. Polym. 2023, 314, 120965. [Google Scholar] [CrossRef] [PubMed]
- Yan, J.-K.; Wang, C.; Qiu, W.-Y.; Chen, T.-T.; Yang, Y.; Wang, W.-H.; Zhang, H.-N. Ultrasonic treatment at different pH values affects the macromolecular, structural, and rheological characteristics of citrus pectin. Food Chem. 2021, 341, 128216. [Google Scholar] [CrossRef]
- Yao, H.Y.Y.; Wang, J.Q.; Yin, J.Y.; Nie, S.P.; Xie, M.Y. A review of NMR analysis in polysaccharide structure and conformation: Progress, challenge and perspective. Food Res. Int. 2021, 143, 110290. [Google Scholar] [CrossRef]
- Redgwell, R.J.; Curti, D.; Wang, J.; Dobruchowska, J.M.; Gerwig, G.J.; Kamerling, J.P.; Bucheli, P. Cell wall polysaccharides of Chinese Wolfberry (Lycium barbarum): Part 2. Characterisation of arabinogalactan-proteins. Carbohydr. Polym. 2011, 84, 1075–1083. [Google Scholar] [CrossRef]
- Liu, J.; Zhao, Y.; Wu, Q.; John, A.; Jiang, Y.; Yang, J.; Liu, H.; Yang, B. Structure characterisation of polysaccharides in vegetable “okra” and evaluation of hypoglycemic activity. Food Chem. 2018, 242, 211–216. [Google Scholar] [CrossRef]
- Guo, W.; Rao, G.; Wen, X. Arabinogalactan in banana: Chemical characterization and pharmaceutical effects. Int. J. Biol. Macromol. 2021, 167, 1059–1065. [Google Scholar] [CrossRef]
- Wu, D.T.; Wang, J.; Li, J.; Hu, J.L.; Yan, H.L.; Zhao, J.L.; Zou, L.; Hu, Y.C. Physicochemical properties and biological functions of soluble dietary fibers isolated from common and Tartary buckwheat sprouts. LWT-Food Sci. Technol. 2023, 183, 114944. [Google Scholar] [CrossRef]
- Ji, X.L.; Han, L.; Liu, F.; Yin, S.; Peng, Q.; Wang, M. A mini-review of isolation, chemical properties and bioactivities of polysaccharides from buckwheat (Fagopyrum Mill). Int. J. Biol. Macromol. 2019, 127, 204–209. [Google Scholar] [CrossRef]
- Jia, W.; Guo, A.; Zhang, R.; Shi, L. Mechanism of natural antioxidants regulating advanced glycosylation end products of Maillard reaction. Food Chem. 2023, 404, 134541. [Google Scholar] [CrossRef] [PubMed]
- Ferreira, S.S.; Passos, C.P.; Madureira, P.; Vilanova, M.; Coimbra, M.A. Structure function relationships of immunostimulatory polysaccharides: A review. Carbohydr. Polym. 2015, 132, 378–396. [Google Scholar] [CrossRef] [PubMed]
- Ho, G.T.T.; Ahmed, A.; Zou, Y.-F.; Aslaksen, T.; Wangensteen, H.; Barsett, H. Structure–activity relationship of immunomodulating pectins from elderberries. Carbohydr. Polym. 2015, 125, 314–322. [Google Scholar] [CrossRef] [PubMed]
- Zou, Y.-F.; Fu, Y.-P.; Chen, X.-F.; Austarheim, I.; Inngjerdingen, K.T.; Huang, C.; Lei, F.-Y.; Song, X.; Li, L.; Ye, G.; et al. Polysaccharides with immunomodulating activity from roots of Gentiana crassicaulis. Carbohydr. Polym. 2017, 172, 306–314. [Google Scholar] [CrossRef]
- Song, Y.-R.; Han, A.-R.; Lim, T.-G.; Lee, E.-J.; Hong, H.-D. Isolation, purification, and characterization of novel polysaccharides from lotus (Nelumbo nucifera) leaves and their immunostimulatory effects. Int. J. Biol. Macromol. 2019, 128, 546–555. [Google Scholar] [CrossRef] [PubMed]
- Yuan, P.; Aipire, A.; Yang, Y.; Wei, X.; Fu, C.; Zhou, F.; Mahabati, M.; Li, J.; Li, J. Comparison of the structural characteristics and immunostimulatory activities of polysaccharides from wild and cultivated Pleurotus feruleus. J. Funct. Food 2020, 72, 104050. [Google Scholar] [CrossRef]
- Li, W.; Li, J.; Wang, J.; He, Y.; Hu, Y.-C.; Wu, D.-T.; Zou, L. Effects of various degrees of esterification on antioxidant and immunostimulatory activities of okra pectic-polysaccharides. Front. Nutr. 2022, 9, 1025897. [Google Scholar] [CrossRef] [PubMed]






| Experiments | Levels of Extraction Parameters (DESE) a | Yields (mg/g) | Levels of Extraction Parameters (HPDEE) b | Yields (mg/g) | ||||||
|---|---|---|---|---|---|---|---|---|---|---|
| X11 | X12 | X13 | X14 | X21 | X22 | X23 | X24 | |||
| 1 | 0 (180) | 1 (70) | −1 (30) | 0 (90) | 48.6 | 1 (13) | 0 (55) | 0 (40) | −1 (90) | 28.3 |
| 2 | −1 (150) | 0 (55) | 0 (40) | −1 (80) | 35.9 | 0 (10) | 1 (70) | −1 (30) | 0 (110) | 17.0 |
| 3 | 1 (210) | 0 (55) | 0 (40) | 1 (100) | 66.1 | 0 (10) | 0 (55) | 0 (40) | 0 (110) | 38.8 |
| 4 | 0 (180) | −1 (40) | 0 (40) | 1 (100) | 60.4 | −1 (7) | 0 (55) | 1 (50) | 0 (110) | 28.8 |
| 5 | 1 (210) | −1 (40) | 0 (40) | 0 (90) | 58.9 | 0 (10) | 0 (55) | −1 (30) | 1 (130) | 23.9 |
| 6 | 1 (210) | 1 (70) | 0 (40) | 0 (90) | 53.9 | 1 (13) | 0 (55) | 1 (50) | 0 (110) | 30.1 |
| 7 | 0 (180) | 0 (55) | 0 (40) | 0 (90) | 74.5 | 0 (10) | 0 (55) | 0 (40) | 0 (110) | 39.4 |
| 8 | 0 (180) | 0 (55) | 1 (50) | −1 (80) | 30.7 | 1 (13) | 1 (70) | 0 (40) | 0 (110) | 22.3 |
| 9 | 0 (180) | 0 (55) | 1 (50) | 1 (100) | 57.1 | −1 (7) | −1 (40) | 0 (40) | 0 (110) | 31.6 |
| 10 | 0 (180) | 1 (70) | 0 (40) | 1 (100) | 49.8 | −1 (7) | 0 (55) | 0 (40) | 1 (130) | 29.8 |
| 11 | 0 (180) | 0 (55) | 0 (40) | 0 (90) | 73.8 | 0 (10) | −1 (40) | −1 (30) | 0 (110) | 26.3 |
| 12 | −1 (150) | 0 (55) | 0 (40) | 1 (100) | 61.9 | 0 (10) | 0 (55) | 0 (40) | 0 (110) | 39.5 |
| 13 | 0 (180) | −1 (40) | 0 (40) | −1 (80) | 41.1 | 1 (13) | 0 (55) | 0 (40) | 1 (130) | 30.4 |
| 14 | 0 (180) | 1 (70) | 1 (50) | 0 (90) | 36.8 | 0 (10) | 0 (55) | −1 (30) | −1 (90) | 22.9 |
| 15 | 1 (210) | 0 (55) | 1 (50) | 0 (90) | 57.6 | 0 (10) | −1 (40) | 1 (50) | 0 (110) | 30.9 |
| 16 | −1 (150) | −1 (40) | 0 (40) | 0 (90) | 56.8 | 1 (13) | 0 (55) | −1 (30) | 0 (110) | 27.1 |
| 17 | −1 (150) | 0 (55) | −1 (30) | 0 (90) | 63.2 | 0 (10) | 0 (55) | 1 (50) | 1 (130) | 29.5 |
| 18 | 0 (180) | 0 (55) | 0 (40) | 0 (90) | 72.9 | 0 (10) | 0 (55) | 0 (40) | 0 (110) | 38.5 |
| 19 | 0 (180) | 0 (55) | 0 (40) | 0 (90) | 75.8 | 0 (10) | −1 (40) | 0 (40) | 1 (130) | 32.7 |
| 20 | 1 (210) | 0 (55) | −1 (30) | 0 (90) | 61.1 | 0 (10) | 1 (70) | 1 (50) | 0 (110) | 18.9 |
| 21 | 0 (180) | 0 (55) | −1 (30) | 1 (100) | 64.5 | −1 (7) | 0 (55) | 0 (40) | −1 (90) | 24.6 |
| 22 | 0 (180) | 0 (55) | 0 (40) | 0 (90) | 72.3 | 1 (13) | −1 (40) | 0 (40) | 0 (110) | 32.1 |
| 23 | 0 (180) | −1 (40) | −1 (30) | 0 (90) | 55.5 | −1 (7) | 1 (70) | 0 (40) | 0 (110) | 19.9 |
| 24 | 0 (180) | −1 (40) | 1 (50) | 0 (90) | 53.6 | −1 (7) | 0 (55) | −1 (30) | 0 (110) | 23.7 |
| 25 | 0 (180) | 1 (70) | 0 (40) | −1 (80) | 24.3 | 0 (10) | 1 (70) | 0 (40) | 1 (130) | 19.3 |
| 26 | 0 (180) | 0 (55) | −1 (30) | −1 (80) | 39.7 | 0 (10) | 0 (55) | 0 (40) | 0 (110) | 39.2 |
| 27 | −1 (150) | 0 (55) | 1 (50) | 0 (90) | 50.9 | 0 (10) | 0 (55) | 1 (50) | −1 (90) | 25.1 |
| 28 | −1 (150) | 1 (70) | 0 (40) | 0 (90) | 40.9 | 0 (10) | −1 (40) | 0 (40) | −1 (90) | 27.5 |
| 29 | 1 (210) | 0 (55) | 0 (40) | −1 (80) | 43.3 | 0 (10) | 1 (70) | 0 (40) | −1 (90) | 18.7 |
| DESE | HPDEE | |||||||||
|---|---|---|---|---|---|---|---|---|---|---|
| Sum of Squares | df | Mean Square | F Value | p Value | Sum of Squares | df | Mean Square | F Value | p Value | |
| Model | 52.4800 | 14 | 3.7500 | 142.9300 | <0.0001 | 12.3700 | 14 | 0.8839 | 534.4000 | <0.0001 |
| X11 (X21) | 0.8164 | 1 | 0.8164 | 31.1300 | <0.0001 | 0.1180 | 1 | 0.1180 | 71.3500 | <0.0001 |
| X12 (X22) | 4.3200 | 1 | 4.3200 | 164.7200 | <0.0001 | 3.5200 | 1 | 3.5200 | 2128.7700 | <0.0001 |
| X13 (X23) | 1.7600 | 1 | 1.7600 | 66.9400 | <0.0001 | 0.4181 | 1 | 0.4181 | 252.8100 | <0.0001 |
| X14 (X24) | 17.4700 | 1 | 17.4700 | 666.2000 | <0.0001 | 0.2852 | 1 | 0.2852 | 172.4400 | <0.0001 |
| X11X12 (X21X22) | 0.2970 | 1 | 0.2970 | 11.3300 | 0.0046 | 0.0090 | 1 | 0.0090 | 5.4600 | 0.0349 |
| X11X13 (X21X23) | 0.1936 | 1 | 0.1936 | 7.3800 | 0.0167 | 0.0110 | 1 | 0.0110 | 6.6700 | 0.0217 |
| X11X14 (X21X24) | 0.0256 | 1 | 0.0256 | 0.9761 | 0.3399 | 0.0240 | 1 | 0.0240 | 14.5300 | 0.0019 |
| X12X13 (X22X23) | 0.2450 | 1 | 0.2450 | 9.3400 | 0.0085 | 0.0182 | 1 | 0.0182 | 11.0200 | 0.0051 |
| X12X14 (X22X24) | 0.0961 | 1 | 0.0961 | 3.6600 | 0.0763 | 0.0529 | 1 | 0.0529 | 31.9800 | <0.0001 |
| X13X14 (X23X24) | 0.0064 | 1 | 0.0064 | 0.2440 | 0.6290 | 0.0289 | 1 | 0.0289 | 17.4700 | 0.0009 |
| X112 (X212) | 2.4500 | 1 | 2.4500 | 93.3100 | <0.0001 | 1.2200 | 1 | 1.2200 | 740.1300 | <0.0001 |
| X122 (X222) | 14.3600 | 1 | 14.3600 | 547.6000 | <0.0001 | 4.4500 | 1 | 4.4500 | 2689.8500 | <0.0001 |
| X132 (X232) | 6.5400 | 1 | 6.5400 | 249.4300 | <0.0001 | 3.5600 | 1 | 3.5600 | 2151.4900 | <0.0001 |
| X142 (X242) | 15.8000 | 1 | 15.8000 | 602.2700 | <0.0001 | 2.6100 | 1 | 2.6100 | 1578.4900 | <0.0001 |
| Residual | 0.3672 | 14 | 0.0262 | 0.0232 | 14 | 0.0017 | ||||
| Lack of fit | 0.2919 | 10 | 0.0292 | 1.5500 | 0.3573 | 0.0161 | 10 | 0.0016 | 0.9082 | 0.5922 |
| Pure error | 0.0753 | 4 | 0.0188 | 0.0071 | 4 | 0.0018 | ||||
| Correlation | 52.8500 | 28 | 12.4000 | 28 | ||||||
| TBP-W | TBP-D | TBP-PD | |
|---|---|---|---|
| Yields and chemical compositions | |||
| Extraction yields (mg/g) | 32.13 ± 0.55 c | 75.93 ± 0.91 a | 39.37 ± 1.03 b |
| Total polysaccharides (mg/100 mg) | 88.75 ± 0.95 b | 92.63 ± 3.01 ab | 94.48 ± 1.97 a |
| Total uronic acids (mg/100 mg) | 47.67 ± 0.74 a | 42.29 ± 0.41 b | 38.68 ± 1.41 c |
| Total proteins (mg/100 mg) | 1.95 ± 0.11 a | 1.49 ± 0.08 b | 1.88 ± 0.07 a |
| TPC (mg GAE/g) | 4.36 ± 0.21 c | 23.63 ± 0.69 a | 13.68 ± 0.25 b |
| Degree of esterification (%) | 42.13 ± 0.11 a | 24.24 ± 0.67 b | 21.65 ± 0.16 c |
| Molecular weight and its distribution | |||
| Mw × 105 (Da, error) | 1.29 ± 0.01 a | 0.67 ± 0.01 c | 0.88 ± 0.01 b |
| Mw/Mn | 2.29 | 2.09 | 1.82 |
| Monosaccharides and molar ratios | |||
| Galacturonic acid (GalA) | 3.35 | 2.34 | 1.71 |
| Galactose (Gal) | 1.83 | 1.61 | 1.56 |
| Arabinose (Ara) | 1.00 | 0.98 | 0.97 |
| Rhamnose (Rha) | 1.00 | 1.00 | 1.00 |
| Xylose (Xyl) | 0.14 | 0.16 | 0.17 |
| Glucose (Glc) | 0.22 | 0.19 | 0.24 |
| Glucuronic acid (GlcA) | 0.32 | 0.25 | 0.22 |
| Mannose (Man) | 0.32 | 0.31 | 0.31 |
| MR1, Rha/GalA | 0.30 | 0.43 | 0.58 |
| MR2, (Gal + Ara)/Rha | 2.83 | 2.59 | 2.53 |
Disclaimer/Publisher’s Note: The statements, opinions and data contained in all publications are solely those of the individual author(s) and contributor(s) and not of MDPI and/or the editor(s). MDPI and/or the editor(s) disclaim responsibility for any injury to people or property resulting from any ideas, methods, instructions or products referred to in the content. |
© 2024 by the authors. Licensee MDPI, Basel, Switzerland. This article is an open access article distributed under the terms and conditions of the Creative Commons Attribution (CC BY) license (https://creativecommons.org/licenses/by/4.0/).
Share and Cite
Wu, D.-T.; Lei, J.; Li, J.; Qu Mo, M.-M.; Li, W.-B.; Huang, Y.-J.; Hu, Y.-C.; Wang, A.-L.; Zou, L. Efficient and Selective Extraction of Rhamnogalacturonan-I-Enriched Pectic Polysaccharides from Tartary Buckwheat Leaves Using Deep-Eutectic-Solvent-Based Techniques. Foods 2024, 13, 625. https://doi.org/10.3390/foods13040625
Wu D-T, Lei J, Li J, Qu Mo M-M, Li W-B, Huang Y-J, Hu Y-C, Wang A-L, Zou L. Efficient and Selective Extraction of Rhamnogalacturonan-I-Enriched Pectic Polysaccharides from Tartary Buckwheat Leaves Using Deep-Eutectic-Solvent-Based Techniques. Foods. 2024; 13(4):625. https://doi.org/10.3390/foods13040625
Chicago/Turabian StyleWu, Ding-Tao, Jing Lei, Jie Li, Mei-Mei Qu Mo, Wen-Bing Li, Yu-Jing Huang, Yi-Chen Hu, Ai-Li Wang, and Liang Zou. 2024. "Efficient and Selective Extraction of Rhamnogalacturonan-I-Enriched Pectic Polysaccharides from Tartary Buckwheat Leaves Using Deep-Eutectic-Solvent-Based Techniques" Foods 13, no. 4: 625. https://doi.org/10.3390/foods13040625
APA StyleWu, D.-T., Lei, J., Li, J., Qu Mo, M.-M., Li, W.-B., Huang, Y.-J., Hu, Y.-C., Wang, A.-L., & Zou, L. (2024). Efficient and Selective Extraction of Rhamnogalacturonan-I-Enriched Pectic Polysaccharides from Tartary Buckwheat Leaves Using Deep-Eutectic-Solvent-Based Techniques. Foods, 13(4), 625. https://doi.org/10.3390/foods13040625

