The Pea Oligosaccharides Could Stimulate the In Vitro Proliferation of Beneficial Bacteria and Enhance Anti-Inflammatory Effects via the NF-κB Pathway
Abstract
1. Introduction
2. Materials and Methods
2.1. Pea Oligosaccharides and Other Chemicals
2.2. In Vitro Fermentation Experiment
2.2.1. Enumeration of Bacteria
2.2.2. Determination of PH Value of Fermentation Solution
2.2.3. Prebiotic Index
2.2.4. Determination of SCFA Content in Fermentation Broth
2.2.5. Sequencing of 16S rRNA Gene of Intestinal Flora
2.3. Cell Experiment
2.3.1. Cell Culture
2.3.2. Cell Viability Assay
2.3.3. NO Content Determination
2.3.4. ROS Content Determination
2.3.5. TNF-α and IL-6 Inflammatory Factors
2.3.6. Immunofluorescence Assay
2.4. Statistical Analysis
3. Results
3.1. The pH Value of Each Group Changed during Fermentation
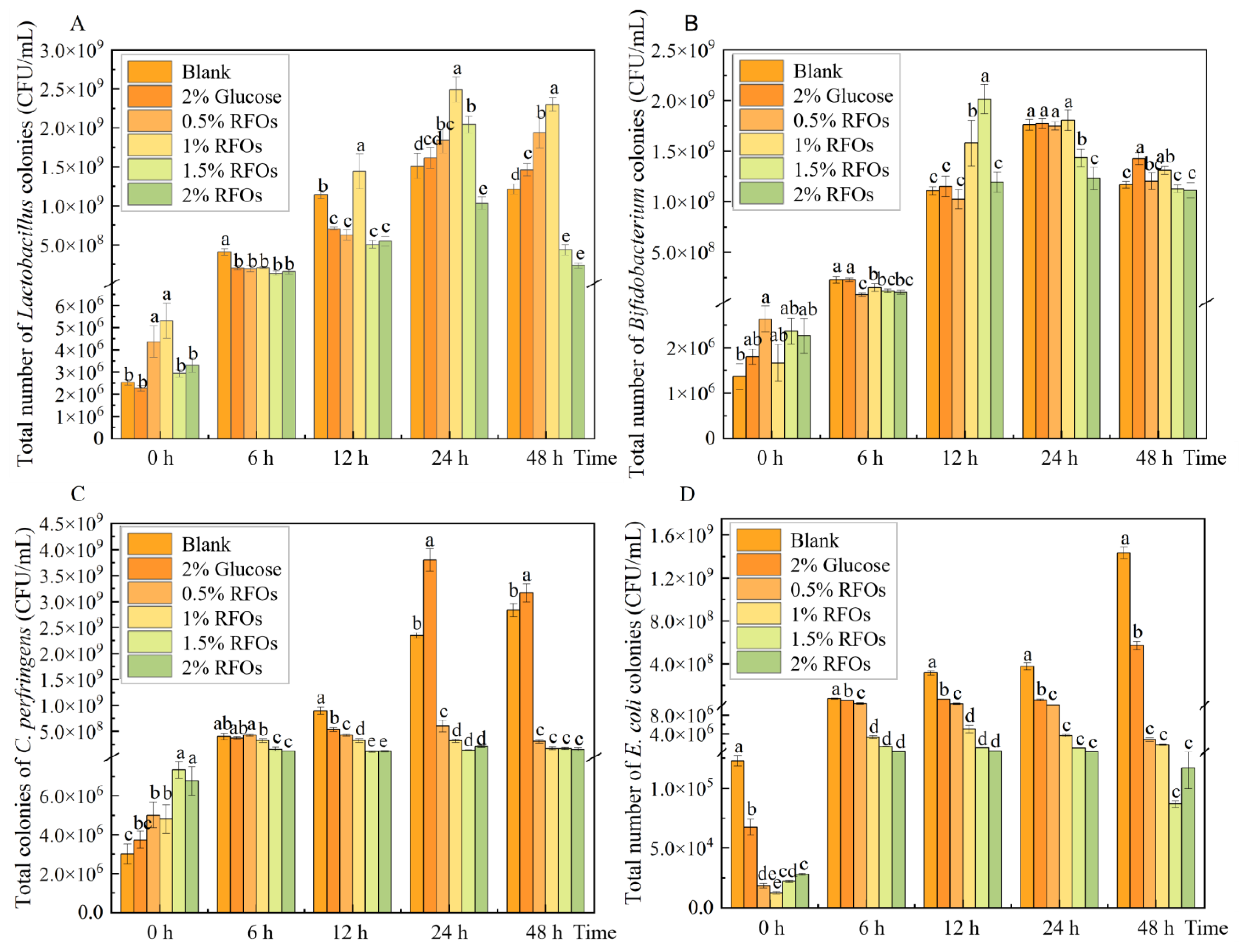
3.2. Changes in Representative Flora during Fermentation
3.3. The Changes in Prebiotic Index and Short-Chain Fatty Acid in Each Group during Fermentation
3.4. Effects of RFOs on Microbial Diversity
3.5. Effect of RFOs on Intestinal Flora Composition
3.6. Anti-Inflammatory Effect of RFOs
3.6.1. Effects of RFOs on the Levels of NO and ROS in Model Cells
3.6.2. Effects of RFOs on the Levels of TNF-α and IL-6 in Model Cells
3.6.3. Effect of RFOs on Expression of NF-κB p-p65/p65 and iNOS Proteins in Model Cells
4. Discussion
5. Conclusions
Supplementary Materials
Author Contributions
Funding
Institutional Review Board Statement
Informed Consent Statement
Data Availability Statement
Conflicts of Interest
References
- Yan, S.; Liu, Q.; Li, W.; Liu, Q.; Fernie, A.R. Raffinose Family Oligosaccharides: Crucial Regulators of Plant Development and Stress Responses. Crit. Rev. Plant Sci. 2022, 41, 286–303. [Google Scholar] [CrossRef]
- Kasprowicz-Potocka, M.; Gulewicz, P.; Zaworska-Zakrzewska, A. The content of raffinose oligosaccharides in legumesand their importance for animals. J. Anim. Feed Sci. 2022, 31, 265–275. [Google Scholar] [CrossRef]
- Gulewicz, P.; Ciesiolka, D.; Frias, J.; Vidal-Valverde, C.; Frejnagel, S.; Trojanowska, K.; Gulewicz, K. Simple Method of Isolation and Purification of α-Galactosides from Legumes. J. Agric. Food Chem. 2000, 48, 3120–3123. [Google Scholar] [CrossRef]
- Bai, G.; Tsuruta, T.; Nishino, N. Dietary soy, meat, and fish proteins modulate the effects of prebiotic raffinose on composition and fermentation of gut microbiota in rats. Int. J. Food Sci. Nutr. 2018, 69, 480–487. [Google Scholar] [CrossRef]
- Xi, M.; Zhao, S.; Ge, W.; Chen, Y.; Cui, X.; Sun, Q. Effects of stachyose on the intestinal microbiota and barrier in antibiotic-treated mice. J. Funct. Foods 2021, 83, 104493. [Google Scholar] [CrossRef]
- Dai, Z.; Su, D.; Zhang, Y.; Sun, Y.; Hu, B.; Ye, H.; Jabbar, S.; Zeng, X. Immunomodulatory Activity In Vitro and In Vivo of Verbascose from Mung Beans (Phaseolus aureus). J. Agric. Food Chem. 2014, 62, 10727–10735. [Google Scholar] [CrossRef]
- Niu, W.; Yang, F.; Fu, Z.; Dong, Y.; Zhang, Z.; Ju, J. The role of enteric dysbacteriosis and modulation of gut microbiota in the treatment of inflammatory bowel disease. Microb. Pathog. 2022, 165, 105381. [Google Scholar] [CrossRef] [PubMed]
- Zhang, N.; Jin, M.; Wang, K.; Zhang, Z.; Shah, N.P.; Wei, H. Functional oligosaccharide fermentation in the gut: Improving intestinal health and its determinant factors—A review. Carbohydr. Polym. 2022, 284, 119043. [Google Scholar] [CrossRef]
- Wang, L.; Cen, S.; Wang, G.; Lee, Y.; Zhao, J.; Zhan, H.; Chen, W. Acetic acid and butyric acid released in large intestine play different roles in the alleviation of constipation. J. Funct. Foods 2020, 69, 103953. [Google Scholar] [CrossRef]
- Su, G.L. Lipopolysaccharides in liver injury: Molecular mechanisms of Kupffer cell activation. Am. J. Physiol. Gastrointest. Liver Physiol. 2002, 283, G256–G265. [Google Scholar] [CrossRef] [PubMed]
- He, J.; Li, J.; Liu, H.; Yang, Z.; Zhou, F.; Wei, T.; Dong, Y.; Xue, H.; Tang, L.; Liu, M. Scandoside Exerts Anti-Inflammatory Effect Via Suppressing NF-κB and MAPK Signaling Pathways in LPS-Induced RAW 264.7 Macrophages. Int. J. Mol. Sci. 2018, 19, 457. [Google Scholar] [CrossRef]
- Muniandy, K.; Gothai, S.; Badran, K.M.H.; Kumar, S.S.; Esa, N.M.; Arulselvan, P. Suppression of Proinflammatory Cytokines and Mediators in LPS-Induced RAW 264.7 Macrophages by Stem Extract of Alternanthera sessilis via the Inhibition of the NF-κB Pathway. J. Immunol. Res. 2018, 2018, 343068. [Google Scholar] [CrossRef]
- Kwon, D.H.; Cha, H.J.; Choi, E.O.; Leem, S.H.; Kim, G.Y.; Moon, S.K.; Chang, Y.C.; Yun, S.J.; Hwang, H.J.; Kim, B.W.; et al. Schisandrin A suppresses lipopolysaccharide-induced inflammation and oxidative stress in RAW 264.7 macrophages by suppressing the NF-κB, MAPKs and PI3K/Akt pathways and activating Nrf2/HO-1 signaling. Int. J. Mol. Med. 2018, 41, 264–274. [Google Scholar] [CrossRef]
- Wang, Y.; Li, C.; Shan, Z.; Yin, S.; Wang, Y.; Wang, C.; Liu, T.; Wang, N.; Guo, Q. In Vitro Fermentability of Soybean Oligosaccharides from Wastewater of Tofu Production. Polymers 2022, 14, 1704. [Google Scholar] [CrossRef]
- Palframan, R.; Gibson, G.R.; Rastall, R.A. Development of a quantitative tool for the comparison of the prebiotic effect of dietary oligosaccharides. Lett. Appl. Microbiol. 2003, 37, 281–284. [Google Scholar] [CrossRef] [PubMed]
- Yang, E.; Kim, J.; Kim, J.; Kim, S.; Lee, N.; Hyun, C. Anti-inflammatory effect of chitosan oligosaccharides in RAW 264.7 cells. Cent. Eur. J. Biol. 2010, 5, 95–102. [Google Scholar] [CrossRef]
- Wu, J.; Mo, J.; Xiang, W.; Shi, X.; Guo, L.; Li, Y.; Bao, Y.; Zheng, L. Immunoregulatory effects of Tetrastigma hemsleyanum polysaccharide via TLR4-mediated NF-κB and MAPK signaling pathways in Raw264.7 macrophages. Biomed. Pharmacother. 2023, 161, 114471. [Google Scholar] [CrossRef] [PubMed]
- Wook, S.S.; Kyoung, K.; Rae, S.M. Anti-inflammatory Effect by Cloves Treatment in LPS-induced RAW264.7 Cells. Pharmacogn. Mag. 2023, 19, 105–116. [Google Scholar]
- Maria, P.; Costanza, R.; Barbara, B. Anti-inflammatory effect of a pomegranate extract on LPS-stimulated HepG2 cells. Nat. Prod. Res. 2023, 18, 1–8. [Google Scholar]
- Park, J.; Kim, J.; Shin, J.; Kang, E.; Cho, B. Anti-inflammatory effects of Peucedanum japonicum Thunberg leaves extract in Lipopolysaccharide-stimulated RAW264.7 cells. J. Ethnopharmacol. 2023, 309, 116362. [Google Scholar] [CrossRef] [PubMed]
- Schloss, P.D.; Westcott, S.L.; Ryabin, T.; Hall, J.R.; Hartmann, M.; Hollister, E.B.; Lesniewski, R.A.; Oakley, B.B.; Parks, D.H.; Robinson, C.J.; et al. Introducing mothur: Open-Source, Platform-Independent, Community-Supported Software for Describing and Comparing Microbial Communities. Appl. Environ. Microbiol. 2009, 75, 7537. [Google Scholar] [CrossRef]
- Liu, Z.; Liu, M.; Wang, H.; Qin, P.; Di, Y.; Jiang, S.; Li, Y.; Huang, L.; Jiao, N.; Yang, W. Glutamine attenuates bisphenol A-induced intestinal inflammation by regulating gut microbiota and TLR4-p38/MAPK-NF-κB pathway in piglets. Ecotoxicol. Environ. Saf. 2024, 270, 115836. [Google Scholar] [CrossRef]
- Nowery, J.D.; Cisney, R.N.; Feldmann, J.W.; Gordon, P.M. Nitric Oxide Induces a Janus Kinase-1-Dependent Inflammatory Response in Primary Murine Astrocytes. ASN Neuro 2021, 13, 523062734. [Google Scholar] [CrossRef]
- Baek, S.H.; Cho, Y.; Lee, J.; Choi, B.Y.; Choi, Y.; Park, J.S.; Kim, H.; Sul, J.; Kim, E.; Park, J.H.; et al. Intracellular and Mitochondrial Reactive Oxygen Species Measurement in Primary Cultured Neurons. Bio-Protoc. 2018, 8, e2871. [Google Scholar] [CrossRef]
- Hara, A.M.O.; Shanahan, F. The gut flora as a forgotten organ. Embo Rep. 2006, 6, 688–693. [Google Scholar] [CrossRef]
- Chung, Y.; Hsu, C.; Ko, C.; Chan, Y. Dietary intake of xylooligosaccharides improves the intestinal microbiota, fecal moisture, and pH value in the elderly. Nutr. Res. 2007, 27, 756–761. [Google Scholar] [CrossRef]
- Walker, A.W.; Duncan, S.H.; Leitch, E.; Child, M.W.; Flint, H.J. pH and Peptide Supply Can Radically Alter Bacterial Populations and Short-Chain Fatty Acid Ratios within Microbial Communities from the Human Colon. Appl. Environ. Microbiol. 2005, 71, 3692–3700. [Google Scholar] [CrossRef] [PubMed]
- Lin, W.; Lin, J.; Kuo, Y.; Chiang, P.; Ho, H. Probiotics and their Metabolites Reduce Oxidative Stress in Middle-Aged Mice. Curr. Microbiol. 2022, 79, 104. [Google Scholar] [CrossRef]
- Liu, L.; Wang, Y.; Kong, M.; Li, X. Prebiotic-Like Effects of Water Soluble Chitosan on the Intestinal Microflora in Mice. Int. J. Food Eng. 2018, 14, 20180089. [Google Scholar] [CrossRef]
- Jiang, Z.; Su, W.; Wen, C.; Li, W.; Zhang, Y.; Gong, T.; Du, S.; Wang, X.; Lu, Z.; Jin, M.; et al. Effect of Porcine Clostridium perfringens on Intestinal Barrier, Immunity, and Quantitative Analysis of Intestinal Bacterial Communities in Mice. Front. Vet. Sci. 2022, 9, 881878. [Google Scholar] [CrossRef]
- Figueroa-González, I.; Rodríguez-Serrano, G.; Gómez-Ruiz, L.; García-Garibay, M.; Cruz-Guerrero, A. Prebiotic effect of commercial saccharides on probiotic bacteria isolated from commercial products. Ciência Tecnol. Aliment. 2019, 39, 747–753. [Google Scholar] [CrossRef]
- Burns, A.J.; Rowland, I.R. Anti-carcinogenicity of probiotics and prebiotics. Curr. Issues Intest. Microbiol. 2000, 1, 13–24. [Google Scholar]
- Wu, D.; Yuan, Q.; Guo, H.; Fu, Y.; Li, F.; Wang, S.; Gan, R. Dynamic changes of structural characteristics of snow chrysanthemum polysaccharides during in vitro digestion and fecal fermentation and related impacts on gut microbiota. Food Res. Int. 2020, 141, 109888. [Google Scholar] [CrossRef] [PubMed]
- Erika, K. Special Focus: Actinobacteria. J. Basic Microbiol. 2018, 58, 719. [Google Scholar]
- Holscher, H.D. Dietary fiber and prebiotics and the gastrointestinal microbiota. Gut Microbes 2017, 8, 172–184. [Google Scholar] [CrossRef] [PubMed]
- Johnson, E.L.; Heaver, S.L.; Walters, W.A.; Ley, R.E. Microbiome and metabolic disease: Revisiting the bacterial phylum Bacteroidetes. J. Mol. Med. 2017, 95, 1–8. [Google Scholar] [CrossRef] [PubMed]
- Sun, X.; Duan, M.; Liu, Y.; Luo, T.; Ma, N.; Song, S.; Ai, C. The beneficial effects of Gracilaria lemaneiformis polysaccharides on obesity and the gut microbiota in high fat diet-fed mice. J. Funct. Foods 2018, 46, 48–56. [Google Scholar] [CrossRef]
- Vanessa, P.; Silvia, P.; Veronica, M.; Casula, E.; Deledda, A.; Cusano, R.; Uva, P.; Vascellari, S.; Loviselli, A.; Manzin, A.; et al. Gut microbiota markers associated with obesity and overweight in Italian adults. Sci. Rep. 2021, 11, 5532. [Google Scholar]
- Wendy, C.; Erika, M. Effects of short chain fatty acids on metabolic and inflammatory processes in human health. Biochim. BBA Mol. Cell Biol. Lipids 2021, 1866, 158900. [Google Scholar]
- Cao, H.; Li, C.; Lei, L.; Wang, X.; Liu, S.; Liu, Q.; Huan, Y.; Sun, S.; Shen, Z. Stachyose Improves the Effects of Berberine on Glucose Metabolism by Regulating Intestinal Microbiota and Short-Chain Fatty Acids in Spontaneous Type 2 Diabetic KKAy Mice. Front. Pharmacol. 2020, 11, 578943. [Google Scholar] [CrossRef]
- Lan, H.; Nunes, C.; Lopes, G.R.; Wang, K.; Zhao, L.; Coimbra, M.A.; Hu, Z. In vitro immunomodulatory activity of water-soluble glucans from fresh and dried Longan (Dimocarpus longan Lour.). Carbohydr. Polym. 2021, 266, 118106. [Google Scholar] [CrossRef] [PubMed]
- Popa, C.; Netea, M.G.; van Riel, P.L.C.M.; van der Meer, J.W.M.; Stalenhoef, A.F.H. The role of TNF-α in chronic inflammatory conditions, intermediary metabolism, and cardiovascular risk. J. Lipid Res. 2007, 48, 751–762. [Google Scholar] [CrossRef] [PubMed]
- Rose-John, S.; Jenkins, B.J.; Garbers, C.; Moll, J.M.; Scheller, J. Targeting IL-6 trans-signalling: Past, present and future prospects. Nat. Rev. Immunol. 2023, 23, 666–681. [Google Scholar] [CrossRef] [PubMed]
- Chauhan, A.; Ul Islam, A.; Prakash, H.; Singh, S. Phytochemicals targeting NF-κB signaling: Potential anti-cancer interventions. J. Pharm. Anal. 2022, 12, 394–405. [Google Scholar] [CrossRef]
- Dijkstra, G.; Moshage, H.; Jansen, P.L. Blockade of NF-κ B Activation and Donation of Nitric Oxide: New Treatment Options in Inflammatory Bowel Disease? Scand. J. Gastroenterol. 2002, 37, 37–41. [Google Scholar] [CrossRef]
- Jung, S.H.; Kim, S.J.; Jun, B.G.; Lee, K.T.; Hong, S.P.; Oh, M.S.; Jang, D.S.; Choi, J.H. α-Cyperone, isolated from the rhizomes of Cyperus rotundus, inhibits LPS-induced COX-2 expression and PGE2 production through the negative regulation of NFκB signalling in RAW 264.7 cells. J. Ethnopharmacol. 2013, 147, 208–214. [Google Scholar] [CrossRef]







| Groups | Time | ||||
|---|---|---|---|---|---|
| 0 h | 6 h | 12 h | 24 h | 48 h | |
| blank | 7.34 ± 0.03 a | 6.07 ± 0.01 e | 6.57 ± 0.02 d | 6.90 ± 0.01 c | 7.22 ± 0.01 b |
| 2% glucose | 7.24 ± 0.02 a | 5.05 ± 0.01 b | 4.34 ± 0.01 c | 3.97 ± 0.02 d | 3.76 ± 0.01 e |
| 0.5% RFOs | 7.01 ± 0.02 a | 5.36 ± 0.02 b | 4.72 ± 0.02 c | 4.27 ± 0.02 d | 3.93 ± 0.01 e |
| 1% RFOs | 6.87 ± 0.03 a | 5.41 ± 0.04 b | 4.75 ± 0.01 c | 4.41 ± 0.01 d | 4.12 ± 0.01 e |
| 1.5% RFOs | 6.66 ± 0.01 a | 5.42 ± 0.01 b | 4.84 ± 0.01 c | 4.49 ± 0.01 d | 4.43 ± 0.01 e |
| 2% RFOs | 6.52 ± 0.01 a | 5.54 ± 0.01 b | 5.08 ± 0.01 c | 4.84 ± 0.02 d | 4.72 ± 0.01 e |
Disclaimer/Publisher’s Note: The statements, opinions and data contained in all publications are solely those of the individual author(s) and contributor(s) and not of MDPI and/or the editor(s). MDPI and/or the editor(s) disclaim responsibility for any injury to people or property resulting from any ideas, methods, instructions or products referred to in the content. |
© 2024 by the authors. Licensee MDPI, Basel, Switzerland. This article is an open access article distributed under the terms and conditions of the Creative Commons Attribution (CC BY) license (https://creativecommons.org/licenses/by/4.0/).
Share and Cite
Cheng, Y.; Zhao, R.; Qiao, M.; Ma, Y.; Li, T.; Li, N.; Shen, Y.; Huang, X.; Song, L. The Pea Oligosaccharides Could Stimulate the In Vitro Proliferation of Beneficial Bacteria and Enhance Anti-Inflammatory Effects via the NF-κB Pathway. Foods 2024, 13, 626. https://doi.org/10.3390/foods13040626
Cheng Y, Zhao R, Qiao M, Ma Y, Li T, Li N, Shen Y, Huang X, Song L. The Pea Oligosaccharides Could Stimulate the In Vitro Proliferation of Beneficial Bacteria and Enhance Anti-Inflammatory Effects via the NF-κB Pathway. Foods. 2024; 13(4):626. https://doi.org/10.3390/foods13040626
Chicago/Turabian StyleCheng, Yongxia, Ruoqi Zhao, Mingwu Qiao, Yan Ma, Tiange Li, Ning Li, Yue Shen, Xianqing Huang, and Lianjun Song. 2024. "The Pea Oligosaccharides Could Stimulate the In Vitro Proliferation of Beneficial Bacteria and Enhance Anti-Inflammatory Effects via the NF-κB Pathway" Foods 13, no. 4: 626. https://doi.org/10.3390/foods13040626
APA StyleCheng, Y., Zhao, R., Qiao, M., Ma, Y., Li, T., Li, N., Shen, Y., Huang, X., & Song, L. (2024). The Pea Oligosaccharides Could Stimulate the In Vitro Proliferation of Beneficial Bacteria and Enhance Anti-Inflammatory Effects via the NF-κB Pathway. Foods, 13(4), 626. https://doi.org/10.3390/foods13040626

