Performance Evaluation of a Commercial Real-Time PCR Method for the Detection of Lupin Traces in Food
Abstract
1. Introduction
2. Materials and Methods
2.1. Food Samples
2.2. DNA Extraction
2.3. Real-Time PCR
2.4. Specificity, Sensitivity, Robustness, and Repeatability
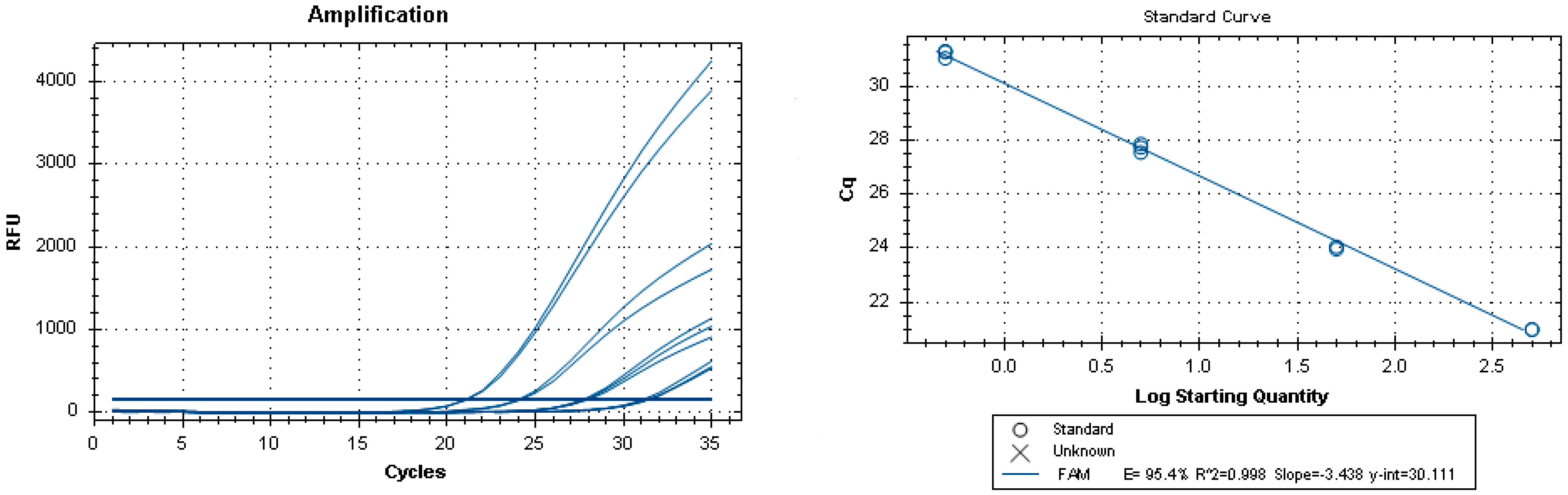
3. Results
Specificity, Sensitivity, Robustness, and Repeatability
4. Discussion
5. Conclusions
Author Contributions
Funding
Data Availability Statement
Conflicts of Interest
References
- Kefale, B.; Yetenayet, B. Evaluation of bread prepared from composite flour of sweet lupine and Bread wheat variety. J. Food Sci. Nutr. Ther. 2020, 6, 7–10. [Google Scholar]
- Bryant, L.; Rangan, A.; Grafenauer, S. Lupins and Health Outcomes: A Systematic Literature Review. Nutrients 2022, 14, 327. [Google Scholar] [CrossRef]
- Lima-Cabello, E.; Alché, J.D.; Morales-Santana, S.; Clemente, A.; Jimenez-Lopez, J. Narrow-Leafed Lupin (Lupinus angustifolius L.) Seeds Gamma-Conglutin is an Anti-Inflammatory Protein Promoting Insulin Resistance Improvement and Oxidative Stress Amelioration in PANC-1 Pancreatic Cell-Line. Antioxidants 2020, 9, 12. [Google Scholar] [CrossRef] [PubMed]
- Maghaydah, S.; Abdul-hussain, S.; Ajo, R.; Tawalbeh, Y.; Elsahoryi, N. Effect of Lupine Flour on Baking Characteristics of Gluten Free Cookies. Adv. J. Food Sci. Technol. 2013, 5, 600–605. [Google Scholar] [CrossRef]
- Lucas, M.M.; Stoddard, F.L.; Annicchiarico, P.; Frías, J.; Martínez-Villaluenga, C.; Sussmann, D.; Duranti, M.; Seger, A.; Zander, P.M.; Pueyo, J.J. The future of lupin as a protein crop in Europe. Front. Plant Sci. 2015, 6, 705. [Google Scholar] [CrossRef]
- Regulation (EU). No. 1169/2011 of the European Parliament and of the Council of 25 October 2011 on the provision of food information to consumers. Off. J. Eur. Union 2011, 304, 18–63. [Google Scholar]
- U.S. Food and Drug Administration. Food Allergen Labeling and Consumer Protection Act of 2004; U.S. Food and Drug Administration: White Oak, MD, USA, 2016. Available online: https://www.fda.gov/food/food-allergensgluten-free-guidance-documents-regulatory-information/food-allergen-labeling-and-consumer-protection-act-2004-falcpa (accessed on 8 October 2023).
- U.S. Food and Drug Administration. Lupin and Allergenicity Frequently Asked Questions; U.S. Food and Drug Administration: White Oak, MD, USA, 2018. [Google Scholar]
- Bähr, M.; Fechner, A.; Kaatz, M.; Gerhard Jahreis, G. Skin prick test reactivity to lupin in comparison to peanut, pea, and soybean in atopic and non-atopic German subjects: A preliminary cross-sectional study. Immun. Inflamm. Dis. 2014, 2, 114–120. [Google Scholar] [CrossRef]
- Hieta, N.; Hasan, T.; Mäkinen-Kiljunen, S.; Lammintausta, K. Lupin allergy and lupin sensitization among patients with suspected food allergy. Ann. Allergy Asthma Immunol. 2009, 103, 233–237. [Google Scholar] [CrossRef]
- Sanz, M.L.; de las Marinas, D.M.; Fernandez, J.; Gamboa, P.M. Lupin allergy: A hidden killer in the home. Clin. Exp. Allergy 2010, 40, 1461–1466. [Google Scholar] [CrossRef]
- Bublin, M.; Breiteneder, H. Cross-Reactivity of Peanut Allergens. Curr. Allergy Asthma Rep. 2014, 14, 426. [Google Scholar] [CrossRef] [PubMed]
- Koeberl, M.; Sharp, M.F.; Tian, R.; Buddhadasa, S.; Clarke, D.; Roberts, J. Lupine allergen detecting capability and cross-reactivity of related legumes by ELISA. Food Chem. 2018, 256, 105–112. [Google Scholar] [CrossRef]
- Gayraud, J.; Mairesse, M.; Fontaine, J.F.; Thillay, A.; Leduc, V.; Rancé, F.; Parisot, L.; Moneret-Vautrin, D.A. The prevalence of sensitization to lupin flour in France and Belgium: A prospective study in 5366 patients, by the Allergy Vigilance Network. Eur. Ann. Allergy Clin. Immunol. 2009, 41, 17–22. [Google Scholar] [PubMed]
- Shaw, J.; Roberts, G.; Grimshaw, K.; White, S.; Hourihane, J. Lupin allergy in peanut-allergic children and teenagers. Allergy 2008, 63, 370–373. [Google Scholar] [CrossRef] [PubMed]
- Galan, A.M.G.; Brohée, M.; de Andrade Silva, E.; van Hengel, A.J.; Chassaigne, H. Development of a real-time PCR method for the simultaneous detection of soya and lupin mitochondrial DNA as markers for the presence of allergens in processed food. Food Chem. 2011, 127, 834–841. [Google Scholar] [CrossRef]
- Demmel, A.; Hupfer, C.; Busch, U.; Engel, K. Detection of lupine (Lupinus spp.) DNA in processed foods using real-time PCR. Food Control 2011, 22, 215–220. [Google Scholar] [CrossRef]
- Villa, C.; Costa, J.; Mafra, I. Lupine allergens: Clinical relevance, molecular characterization, cross-reactivity, and detection strategies. Compr. Rev. Food Sci. Food Saf. 2020, 19, 3886–3915. [Google Scholar] [CrossRef]
- Mustorp, S.L.; Drømtorp, S.M.; Holck, A.L. Multiplex, Quantitative, Ligation-Dependent Probe Amplification for Determination of Allergens in Food. Agric. Food Chem. 2011, 59, 5231–5239. [Google Scholar] [CrossRef]
- Villa, C.; Moura, M.B.M.V.; Costa, J.; Mafra, I. Immunoreactivity of Lupine and Soybean Allergens in Foods as Affected by Thermal Processing. Foods 2020, 9, 254. [Google Scholar] [CrossRef]
- Präger, L.; Simon, J.C.; Treudler, R. Food allergy—New risks through vegan diet? Overview of new allergen sources and current data on the potential risk of anaphylaxis. JDDG J. Dtsch. Dermatol. Ges. 2023, 21, 1308–1313. [Google Scholar] [CrossRef]
- FDA Foods Program Regulatory Science Steering Committee (RSSC). Guidelines for the Validation of Analytical Methods for Nucleic Acid Sequence-Based Analysis of Food, Feed, Cosmetics and Veterinary Products; U.S. Food and Drug Administration: White Oak, MD, USA, 2020; pp. 1–39. [Google Scholar]
- Tramuta, C.; Decastelli, L.; Barcucci, E.; Ingravalle, I.; Fragassi, S.; Lupi, S.; Bianchi, D.M. Detection of Peanut Traces in Food by an Official Food Safety Laboratory. Foods 2022, 11, 643. [Google Scholar] [CrossRef]
- ISO/IEC 17025-2008; General Requirements for the Competence of Testing and Calibration Laboratories. International Organization for Standardization/International Electrotechnical Committee: Geneva, Switzerland, 2008.
- Pi, X.; Peng, Z.; Liu, J.; Jiang, Y.; Wang, J.; Fu, G.; Yang, Y.; Sun, Y. Sesame allergy: Mechanisms, prevalence, allergens, residue detection, effects of processing and cross-reactivity. Crit. Rev. Food Sci. Nutr. 2022, 1–15. [Google Scholar] [CrossRef] [PubMed]
- Lee, N.A.; Lopata, A.L.; Colgrave, M.L. Analytical Methods for Allergen Control in Food Processing. Foods 2023, 12, 1439. [Google Scholar] [CrossRef]
- Madrid, R.; García-García, A.; Cabrera, P.; González, I.; Martín, R.; García, T. Survey of Commercial Food Products for Detection of Walnut (Juglans regia) by Two ELISA Methods and Real Time PCR. Foods 2021, 10, 440. [Google Scholar] [CrossRef]
- Barbaro, A.; Rubinetti, F.; Crisafulli, A.G.; Radaelli, M.C.; Chiavacci, L.; Bianchi, D.M.; Adriano, D.; Zuccon, F.; Fragassi, S.; Buonincontro, G.; et al. Food Allergens: State of the Art in Piedmont Region in the Period 2011–2012. Ital. J. Food Saf. 2014, 6, 1700. [Google Scholar] [CrossRef]
- Bianchi, D.M.; Adriano, D.; Astegiano, S.; Gallina, S.; Caramelli, M.; Decastelli, L. Egg and milk proteins as hidden allergens in food: 5 year results of monitoring in Piedmont. J. Food Prot. 2016, 79, 1583–1587. [Google Scholar] [CrossRef] [PubMed]
- Decastelli, L.; Arioli, F.; Bianchi, D.M.; Barbaro, A.; Nobile, M.; Panseri, S.; Chiesa, L.M. An Italian survey of undeclared allergens in food over the years 2014–2018. Food Addit. Contam. Part B Surveill. 2020, 13, 115–120. [Google Scholar] [CrossRef]


| Replicates | Cookies (Ct) | Ragù (Ct) | Flour (Ct) | Olivier Salad (Ct) |
|---|---|---|---|---|
| 1 | 28.23 | 26.79 | 32.39 | 28.89 |
| 2 | 28.58 | 26.87 | 33.53 | 28.51 |
| 3 | 28.97 | 26.83 | 32.25 | 28.56 |
| 4 | 28.87 | 26.76 | 32.58 | 28.38 |
| 5 | 28.94 | 27.01 | 32.02 | 28.78 |
| 6 | 28.30 | 26.91 | 32.02 | 28.14 |
| 7 | 29.04 | 26.72 | 32.46 | 28.57 |
| 8 | 28.95 | 26.64 | 32.40 | 28.70 |
| 9 | 28.78 | 26.42 | 34.55 | 28.51 |
| 10 | 28.48 | 26.63 | 33.81 | 28.34 |
| Mean | 28.71 | 26.76 | 32.8 | 28.54 |
| SD | 0.29 | 0.17 | 0.86 | 0.22 |
| Median | 28.82 | 26.77 | 32.43 | 28.53 |
| Minimum | 28.23 | 26.42 | 32.02 | 28.14 |
| Maximum | 29.04 | 27.01 | 34.55 | 28.89 |
| Positive control | 16.62 | 16.62 | 16.62 | 16.62 |
| Replicates | Cookies (Ct) | Ragù (Ct) | Flour (Ct) | Olivier Salad (Ct) |
|---|---|---|---|---|
| 1 | 27.62 | 25.31 | 30.23 | 26.14 |
| 2 | 28.06 | 25.28 | 30.13 | 25.75 |
| 3 | 28.13 | 24.50 | 29.60 | 25.61 |
| 4 | 27.38 | 24.37 | 30.17 | 25.87 |
| 5 | 28.61 | 24.84 | 29.92 | 25.37 |
| 6 | 28.15 | 24.53 | 29.67 | 25.45 |
| 7 | 27.52 | 25.14 | 29.57 | 25.79 |
| 8 | 28.18 | 25.63 | 30.06 | 25.79 |
| 9 | 28.21 | 24.58 | 29.35 | 26.03 |
| 10 | 28.03 | 24.77 | 29.30 | 26.18 |
| Mean | 27.99 | 24.89 | 29.8 | 25.8 |
| SD | 0.37 | 0.42 | 0.34 | 0.27 |
| Median | 28.1 | 24.80 | 29.79 | 25.79 |
| Minimum | 27.38 | 24.37 | 29.30 | 25.37 |
| Maximum | 28.61 | 25.63 | 30.23 | 26.18 |
| Positive control | 16.23 | 16.23 | 16.23 | 16.23 |
| Pairwise Comparisons | LOD | 10 × LOD | ||||
|---|---|---|---|---|---|---|
| p-Value (p) | p-Value (p) | |||||
| Cookies | vs. | Olivier salad | 1.0000 | 0.0000 | ** | |
| Cookies | vs. | Flour | 0.0000 | ** | 0.0000 | ** |
| Cookies | vs. | Ragù | 0.0000 | ** | 0.0000 | ** |
| Olivier salad | vs. | Flour | 0.0000 | ** | 0.0000 | ** |
| Olivier salad | vs. | Ragù | 0.0000 | ** | 0.0000 | ** |
| Flour | vs. | Ragù | 0.0000 | ** | 0.0000 | ** |
| Replicates | Cookies (Ct) StepOnePlus Instrument | Cookies (Ct) CFX96 Real-Time PCR System | Difference |
|---|---|---|---|
| 1 | 28.57 | 27.62 | 0.95 |
| 2 | 28.34 | 28.06 | 0.28 |
| 3 | 28.26 | 28.13 | 0.13 |
| 4 | 28.43 | 27.38 | 1.05 |
| 5 | 28.54 | 28.61 | −0.07 |
| 6 | 28.34 | 28.15 | 0.19 |
| 7 | 28.08 | 27.52 | 0.56 |
| 8 | 28.12 | 28.18 | −0.06 |
| 9 | 28 | 28.21 | −0.21 |
| 10 | 28.59 | 28.03 | 0.56 |
| Mean | 28.33 | 27.99 | 0.34 |
| SD | 0.21 | 0.37 | 0.43 |
| Median | 28.34 | 28.1 | 0.24 |
| Minimum | 28 | 27.38 | −0.21 |
| Maximum | 28.59 | 28.61 | 1.05 |
| Positive control | 16.52 | 16.62 |
Disclaimer/Publisher’s Note: The statements, opinions and data contained in all publications are solely those of the individual author(s) and contributor(s) and not of MDPI and/or the editor(s). MDPI and/or the editor(s) disclaim responsibility for any injury to people or property resulting from any ideas, methods, instructions or products referred to in the content. |
© 2024 by the authors. Licensee MDPI, Basel, Switzerland. This article is an open access article distributed under the terms and conditions of the Creative Commons Attribution (CC BY) license (https://creativecommons.org/licenses/by/4.0/).
Share and Cite
Tramuta, C.; Decastelli, L.; Ingravalle, F.; Barcucci, E.; Fragassi, S.; Bianchi, D.M. Performance Evaluation of a Commercial Real-Time PCR Method for the Detection of Lupin Traces in Food. Foods 2024, 13, 609. https://doi.org/10.3390/foods13040609
Tramuta C, Decastelli L, Ingravalle F, Barcucci E, Fragassi S, Bianchi DM. Performance Evaluation of a Commercial Real-Time PCR Method for the Detection of Lupin Traces in Food. Foods. 2024; 13(4):609. https://doi.org/10.3390/foods13040609
Chicago/Turabian StyleTramuta, Clara, Lucia Decastelli, Francesco Ingravalle, Elisa Barcucci, Sandra Fragassi, and Daniela Manila Bianchi. 2024. "Performance Evaluation of a Commercial Real-Time PCR Method for the Detection of Lupin Traces in Food" Foods 13, no. 4: 609. https://doi.org/10.3390/foods13040609
APA StyleTramuta, C., Decastelli, L., Ingravalle, F., Barcucci, E., Fragassi, S., & Bianchi, D. M. (2024). Performance Evaluation of a Commercial Real-Time PCR Method for the Detection of Lupin Traces in Food. Foods, 13(4), 609. https://doi.org/10.3390/foods13040609

