High-Power Ultrasound (HPU) and Pulsed Electric Field (PEF) in the Hurdle Concept for the Preservation of Antioxidant Bioactive Compounds in Strawberry Juice—A Chemometric Evaluation—Part II
Abstract
1. Introduction
2. Materials and Methods
2.1. Juice Samples
2.2. High-Power Ultrasound (HPU) and Pulsed Electric Field (PEF) in Hurdle Concept for Processing Strawberry Juice
2.3. pH and Soluble Solids Content (SSC)
2.4. Extraction Procedure
2.5. The Content of Bioactive Compounds
2.6. In Vitro Antioxidant Activity Assay
2.7. Statistical Analysis
3. Results and Discussion
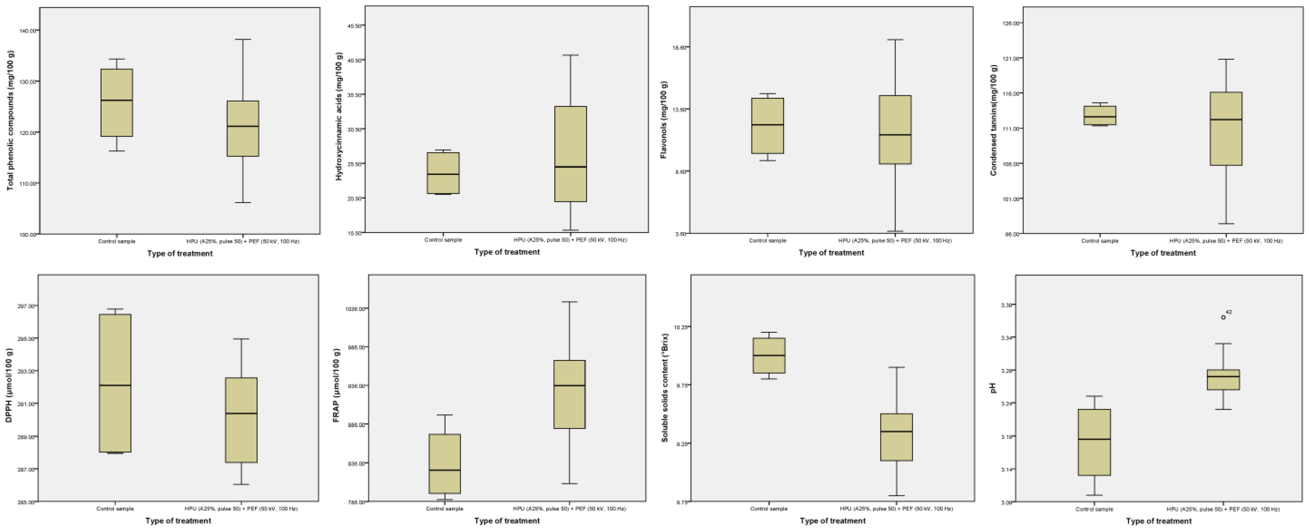
3.1. Chemometrics Evaluation of Hurdle-Treated Samples against Untreated Samples
3.2. The Changes in Strawberry Juices after Hurdle Processing and Storage with Respect to BACs, Antioxidant Activity, SSC and pH
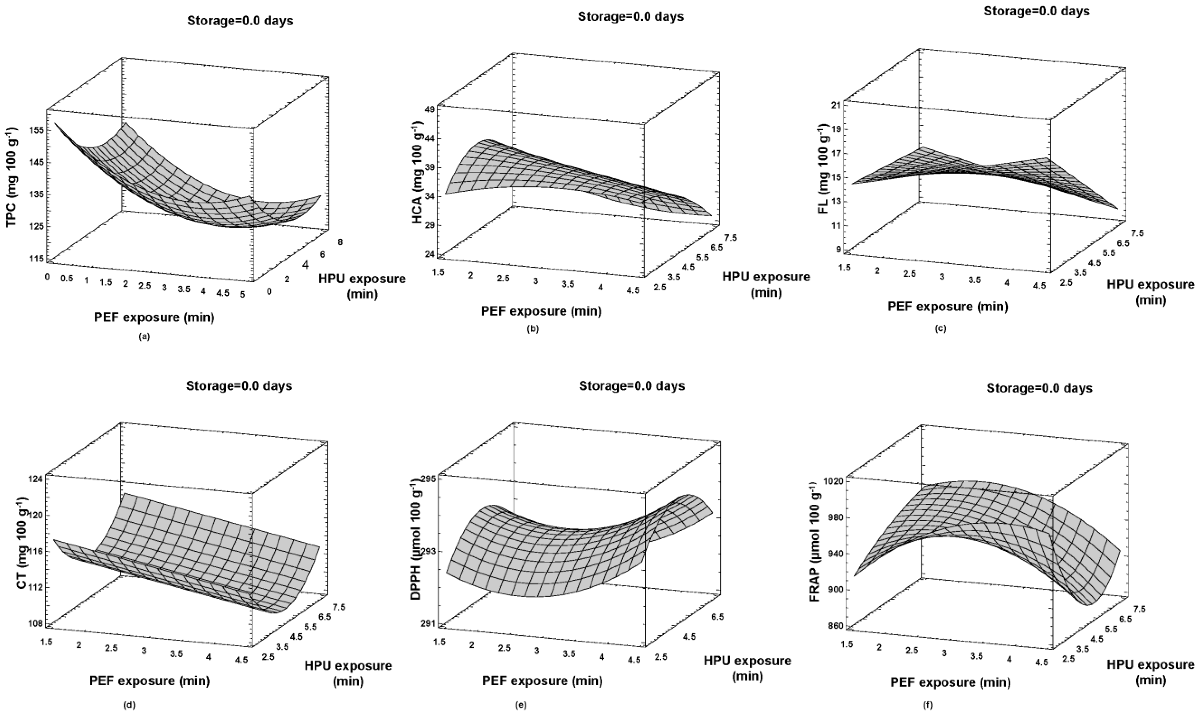
3.3. Optimization of Hurdle Technology Operating Parameters for the Treatment of Strawberry Juice
4. Conclusions
Author Contributions
Funding
Institutional Review Board Statement
Informed Consent Statement
Data Availability Statement
Conflicts of Interest
References
- Wallace, T.C.; Bailey, R.L.; Blumberg, J.B.; Burton-Freeman, B.; Chen, C.y.O.; Crowe-White, K.M.; Drewnowski, A.; Hooshmand, S.; Johnson, E.; Lewis, R.; et al. Fruits, vegetables, and health: A comprehensive narrative, umbrella review of the science and recommendations for enhanced public policy to improve intake. Crit. Rev. Food Sci. Nutr. 2019, 60, 2174–2211. [Google Scholar] [CrossRef]
- Ruxton, C.H.S.; Myers, M. Fruit Juices: Are They Helpful or Harmful? An Evidence Review. Nutrients 2021, 13, 1815. [Google Scholar] [CrossRef]
- Iqbal, A.; Murtaza, A.; Hu, W.; Ahmad, I.; Ahmed, A.; Xu, X. Activation and inactivation mechanisms of polyphenol oxidase during thermal and non-thermal methods of food processing. Food Bioprod. Process. 2019, 117, 170–182. [Google Scholar] [CrossRef]
- Cano-Lamadrid, M.; Artés-Hernández, F. Thermal and Non-Thermal Treatments to Preserve and Encourage Bioactive Compounds in Fruit- and Vegetable-Based Products. Foods 2022, 11, 3400. [Google Scholar] [CrossRef]
- Jadhav, H.B.; Annapure, U.S.; Deshmukh, R.R. Non-thermal Technologies for Food Processing. Front. Nutr. 2021, 8, 657090. [Google Scholar] [CrossRef]
- Chacha, J.S.; Zhang, L.; Ofoedu, C.E.; Suleiman, R.A.; Dotto, J.M.; Roobab, U.; Agunbiade, A.O.; Duguma, H.T.; Mkojera, B.T.; Hossaini, S.M.; et al. Revisiting Non-Thermal Food Processing and Preservation Methods—Action Mechanisms, Pros and Cons: A Technological Update (2016–2021). Foods 2021, 10, 1430. [Google Scholar] [CrossRef]
- Granato, D.; Barba, F.J.; Bursać Kovačević, D.; Lorenzo, J.M.; Cruz, A.G.; Putnik, P. Functional Foods: Product development, technological trends, efficacy testing, and safety. Annu. Rev. Food Sci. Technol. 2020, 11, 93–118. [Google Scholar] [CrossRef]
- Putnik, P.; Pavlić, B.; Šojić, B.; Zavadlav, S.; Žuntar, I.; Kao, L.; Kitonić, D.; Kovačević, D.B. Innovative hurdle technologies for the preservation of functional fruit juices. Foods 2020, 9, 699. [Google Scholar] [CrossRef]
- Rahman, M.S. Hurdle technology in food preservation. In Minimally Processed Foods; Food Engineering Series; Springer: Berlin/Heidelberg, Germany, 2015; pp. 17–33. [Google Scholar]
- Bebek Markovinović, A.; Putnik, P.; Bičanić, P.; Brdar, D.; Duralija, B.; Pavlić, B.; Milošević, S.; Rocchetti, G.; Lucini, L.; Bursać Kovačević, D. A chemometric investigation on the functional potential in high power ultrasound (HPU) processed strawberry juice made from fruits harvested at two stages of ripeness. Molecules 2022, 28, 138. [Google Scholar] [CrossRef]
- Bebek Markovinović, A.; Putnik, P.; Stulić, V.; Batur, L.; Duralija, B.; Pavlić, B.; Vukušić Pavičić, T.; Herceg, Z.; Bursać Kovačević, D. The application and optimization of HIPEF technology in the processing of juice from strawberries harvested at two stages of ripeness. Foods 2022, 11, 1997. [Google Scholar] [CrossRef]
- Bebek Markovinović, A.; Stulić, V.; Putnik, P.; Birkić, A.; Jambrović, M.; Šaško, D.; Ljubičić, J.; Pavlić, B.; Herceg, Z.; Bursać Kovačević, D. Pulsed electric field (PEF) and high-power ultrasound (HPU) in the hurdle concept for the preservation of antioxidant bioactive compounds of strawberry juice—A chemometric evaluation—Part I. Foods 2023, 12, 3172. [Google Scholar] [CrossRef]
- Nowosad, K.; Sujka, M.; Pankiewicz, U.; Kowalski, R. The application of PEF technology in food processing and human nutrition. J. Food Sci. Technol. 2020, 58, 397–411. [Google Scholar] [CrossRef]
- Zhang, C.; Lyu, X.; Arshad, R.N.; Aadil, R.M.; Tong, Y.; Zhao, W.; Yang, R. Pulsed electric field as a promising technology for solid foods processing: A review. Food Chem. 2023, 403, 134367. [Google Scholar] [CrossRef]
- Razola-Díaz, M.d.C.; Tylewicz, U.; Rocculi, P.; Verardo, V. Application of pulsed electric field processing in the food industry. In Non-Thermal Food Processing Operations; Jafari, S.M., Therdthai, N., Eds.; Woodhead Publishing: Sawston, UK, 2023; pp. 257–298. [Google Scholar]
- Salehi, F. Physico-chemical properties of fruit and vegetable juices as affected by pulsed electric field: A review. Int. J. Food Prop. 2020, 23, 1036–1050. [Google Scholar] [CrossRef]
- Arshad, R.N.; Abdul-Malek, Z.; Munir, A.; Buntat, Z.; Ahmad, M.H.; Jusoh, Y.M.M.; Bekhit, A.E.-D.; Roobab, U.; Manzoor, M.F.; Aadil, R.M. Electrical systems for pulsed electric field applications in the food industry: An engineering perspective. Trends Food Sci. Technol. 2020, 104, 1–13. [Google Scholar] [CrossRef]
- Narendar, A.; Hanani, N.; Syafrial, S. Factors that influence technical efficiency of organic rice in Sumberngepoh Village, Lawang District, Malang Regency. Agric. Soc. Econ. J. 2018, 18, 79–85. [Google Scholar] [CrossRef]
- Odriozola-Serrano, I.; Soliva-Fortuny, R.; Martín-Belloso, O. Impact of high-intensity pulsed electric fields variables on vitamin C, anthocyanins and antioxidant capacity of strawberry juice. LWT—Food Sci. Technol. 2009, 42, 93–100. [Google Scholar] [CrossRef]
- Tiwari, B.K. Ultrasound: A clean, green extraction technology. Trends Anal. Chem. 2015, 71, 100–109. [Google Scholar] [CrossRef]
- Tomadoni, B.; Cassani, L.; Moreira, M.D.R.; Ponce, A.; Agüero, M.V. Natural antimicrobials combined with ultrasound treatments to enhance quality parameters and safety of unpasteurized strawberry juice. Int. J. Fruit Sci. 2019, 20, S178–S197. [Google Scholar] [CrossRef]
- Emamifar, A.; Mohamadizadeh, M. Influence of sonication and antimicrobial packaging-based nano-ZnO on the quality of fresh strawberry juice during cold storage. J. Food Meas. Charact. 2020, 14, 3280–3290. [Google Scholar] [CrossRef]
- Bursać Kovačević, D.; Putnik, P.; Dragović-Uzelac, V.; Pedisić, S.; Režek Jambrak, A.; Herceg, Z. Effects of cold atmospheric gas phase plasma on anthocyanins and color in pomegranate juice. Food Chem. 2016, 190, 317–323. [Google Scholar] [CrossRef]
- Yuan, B.; Danao, M.-G.C.; Stratton, J.E.; Weier, S.A.; Weller, C.L.; Lu, M. High pressure processing (HPP) of aronia berry purée: Effects on physicochemical properties, microbial counts, bioactive compounds, and antioxidant capacities. Innov. Food Sci. Emerg. Technol. 2018, 47, 249–255. [Google Scholar] [CrossRef]
- Howard, L.R.; Clark, J.R.; Brownmiller, C. Antioxidant capacity and phenolic content in blueberries as affected by genotype and growing season. J. Sci. Food Agric. 2003, 83, 1238–1247. [Google Scholar] [CrossRef]
- Sun, B.; Ricardo-da-Silva, J.M.; Spranger, I. Critical factors of vanillin assay for catechins and proanthocyanidins. J. Agric. Food Chem. 1998, 46, 4267–4274. [Google Scholar] [CrossRef]
- Shortle, E.; O’Grady, M.N.; Gilroy, D.; Furey, A.; Quinn, N.; Kerry, J.P. Influence of extraction technique on the anti-oxidative potential of hawthorn (Crataegus monogyna) extracts in bovine muscle homogenates. Meat Sci. 2014, 98, 828–834. [Google Scholar] [CrossRef]
- Benzie, I.F.F. An automated, specific, spectrophotometric method for measuring ascorbic acid in plasma (EFTSA). Clin. Biochem. 1996, 29, 111–116. [Google Scholar] [CrossRef] [PubMed]
- Hartmann, A.; Patz, C.-D.; Andlauer, W.; Dietrich, H.; Ludwig, M. Influence of processing on quality parameters of strawberries. J. Agric. Food Chem. 2008, 56, 9484–9489. [Google Scholar] [CrossRef] [PubMed]
- Koners, U.; Toepfl, S.; Heinz, V.; Camacho, P.; Ginestet, P.; Knorr, D. Application of pulsed electric field treatment for sludge reduction on waste water treatment plants. In Proceedings of the 2nd European Pulsed Power Symposium, Hamburg, Germany, 20–23 September 2004. [Google Scholar]
- Assiry, A. Degradation kinetics of ascorbic acid during ohmic heating with stainless steel electrodes. J. Appl. Electrochem. 2003, 33, 187–196. [Google Scholar] [CrossRef]
- Yildiz, S.; Pokhrel, P.R.; Unluturk, S.; Barbosa-Cánovas, G.V. Changes in Quality Characteristics of Strawberry Juice After Equivalent High Pressure, Ultrasound, and Pulsed Electric Fields Processes. Food Eng. Rev. 2020, 13, 601–612. [Google Scholar] [CrossRef]
- Medina-Meza, I.G.; Boioli, P.; Barbosa-Cánovas, G.V. Assessment of the effects of ultrasonics and pulsed electric fields on nutritional and rheological properties of raspberry and blueberry purees. Food Bioprocess Technol. 2015, 9, 520–531. [Google Scholar] [CrossRef]
- Maza, M.A.; Pereira, C.; Martínez, J.M.; Camargo, A.; Álvarez, I.; Raso, J. PEF treatments of high specific energy permit the reduction of maceration time during vinification of Caladoc and Grenache grapes. Innov. Food Sci. Emerg. Technol. 2020, 63, 102375. [Google Scholar] [CrossRef]
- Zhao, D.; Zeng, X.-A.; Sun, D.-W.; Liu, D. Effects of pulsed electric field treatment on (+)-catechin–acetaldehyde condensation. Innov. Food Sci. Emerg. Technol. 2013, 20, 100–105. [Google Scholar] [CrossRef]
- Pinelo, M.; Manzocco, L.; Nuñez, M.J.; Nicoli, M.C. Interaction among phenols in food fortification: Negative synergism on antioxidant capacity. J. Agric. Food Chem. 2004, 52, 1177–1180. [Google Scholar] [CrossRef] [PubMed]
- Odriozola-Serrano, I.; Soliva-Fortuny, R.; Martín-Belloso, O. Phenolic acids, flavonoids, vitamin C and antioxidant capacity of strawberry juices processed by high-intensity pulsed electric fields or heat treatments. Eur. Food Res. Technol. 2008, 228, 239–248. [Google Scholar] [CrossRef]
- Bursać Kovačević, D.; Bilobrk, J.; Buntić, B.; Bosiljkov, T.; Karlović, S.; Rocchetti, G.; Lucini, L.; Barba, F.J.; Lorenzo, J.M.; Putnik, P. High-power ultrasound altered the polyphenolic content and antioxidant capacity in cloudy apple juice during storage. J. Food Process. Preserv. 2019, 43, e14023. [Google Scholar] [CrossRef]
- Morales-de la Peña, M.; Salvia-Trujillo, L.; Rojas-Graü, M.A.; Martín-Belloso, O. Changes on phenolic and carotenoid composition of high intensity pulsed electric field and thermally treated fruit juice–soymilk beverages during refrigerated storage. Food Chem. 2011, 129, 982–990. [Google Scholar] [CrossRef]
- Faisal Manzoor, M.; Ahmed, Z.; Ahmad, N.; Karrar, E.; Rehman, A.; Muhammad Aadil, R.; Al-Farga, A.; Waheed Iqbal, M.; Rahaman, A.; Zeng, X.A. Probing the combined impact of pulsed electric field and ultra-sonication on the quality of spinach juice. J. Food Process. Preserv. 2021, 45, e15475. [Google Scholar] [CrossRef]
- Giampieri, F.; Alvarez-Suarez, J.M.; Battino, M. Strawberry and Human Health: Effects beyond Antioxidant Activity. J. Agric. Food Chem. 2014, 62, 3867–3876. [Google Scholar] [CrossRef]
- Mehta, D.; Yadav, S.K. Impact of atmospheric non-thermal plasma and hydrothermal treatment on bioactive compounds and microbial inactivation of strawberry juice: A hurdle technology approach. Food Sci. Technol. Int. 2019, 26, 3–10. [Google Scholar] [CrossRef]
- Manzoor, M.F.; Zeng, X.-A.; Rahaman, A.; Siddeeg, A.; Aadil, R.M.; Ahmed, Z.; Li, J.; Niu, D. Combined impact of pulsed electric field and ultrasound on bioactive compounds and FT-IR analysis of almond extract. J. Food Sci. Technol. 2019, 56, 2355–2364. [Google Scholar] [CrossRef]
- Nadeem, M.; Ubaid, N.; Qureshi, T.M.; Munir, M.; Mehmood, A. Effect of ultrasound and chemical treatment on total phenol, flavonoids and antioxidant properties on carrot-grape juice blend during storage. Ultrason. Sonochem. 2018, 45, 1–6. [Google Scholar] [CrossRef] [PubMed]
- Roobab, U.; Aadil, R.M.; Madni, G.M.; Bekhit, A.E.-D. The impact of nonthermal technologies on the microbiological quality of juices: A review. Compr. Rev. Food Sci. Food Saf. 2018, 17, 437–457. [Google Scholar] [CrossRef] [PubMed]
- Chemat, F.; Zill-e-Huma; Khan, K.M. Applications of ultrasound in food technology: Processing, preservation and extraction. Ultrason. Sonochem. 2011, 18, 813–835. [Google Scholar] [CrossRef] [PubMed]
- Barba, F.J.; Parniakov, O.; Pereira, S.A.; Wiktor, A.; Grimi, N.; Boussetta, N.; Saraiva, J.A.; Raso, J.; Martin-Belloso, O.; Witrowa-Rajchert, D.; et al. Current applications and new opportunities for the use of pulsed electric fields in food science and industry. Food Res. Int. 2015, 77, 773–798. [Google Scholar] [CrossRef]



| Juice Sample | Storage (Days) | Hurdle Processing | HPU Treatment (min) | PEF Treatment (min) |
|---|---|---|---|---|
| 1 | 0 | Control | 0 | 0 |
| 2 | 0 | HPU + PEF | 2.5 | 1.5 |
| 3 | 0 | HPU + PEF | 2.5 | 3.0 |
| 4 | 0 | HPU + PEF | 2.5 | 4.5 |
| 5 | 0 | HPU + PEF | 5.0 | 1.5 |
| 6 | 0 | HPU + PEF | 5.0 | 3.0 |
| 7 | 0 | HPU + PEF | 5.0 | 4.5 |
| 8 | 0 | HPU + PEF | 7.5 | 1.5 |
| 9 | 0 | HPU + PEF | 7.5 | 3.0 |
| 10 | 0 | HPU + PEF | 7.5 | 4.5 |
| 11 | 7 | Control | 0 | 0 |
| 12 | 7 | HPU + PEF | 2.5 | 1.5 |
| 13 | 7 | HPU + PEF | 2.5 | 3.0 |
| 14 | 7 | HPU + PEF | 2.5 | 4.5 |
| 15 | 7 | HPU + PEF | 5.0 | 1.5 |
| 16 | 7 | HPU + PEF | 5.0 | 3.0 |
| 17 | 7 | HPU + PEF | 5.0 | 4.5 |
| 18 | 7 | HPU + PEF | 7.5 | 1.5 |
| 19 | 7 | HPU + PEF | 7.5 | 3.0 |
| 20 | 7 | HPU + PEF | 7.5 | 4.5 |
| TPC | HCA | FL | CT | DPPH | FRAP | SSC | pH | |
|---|---|---|---|---|---|---|---|---|
| Chi-Square | 1.37 | 0.10 | 0.03 | 0.03 | 1.17 | 6.84 | 8.9 | 9.11 |
| df | 1 | 1 | 1 | 1 | 1 | 1 | 1 | 1 |
| Sig. | 0.24 | 0.75 | 0.86 | 0.86 | 0.28 | ≤0.01 * | ≤0.01 * | ≤0.01 * |
| 32 | n | TPC | HCA | FL | CT | DPPH | FRAP | SSC | pH |
|---|---|---|---|---|---|---|---|---|---|
| Storage | p ≤ 0.01 † | p ≤ 0.01 † | p ≤ 0.01 † | p ≤ 0.01 † | p ≤ 0.01 † | p = 0.03 † | p ≤ 0.01 † | p = 0.08 ‡ | |
| 0 days | 18 | 124.35 ± 0.63 a | 33.01 ± 0.67 a | 13.86 ± 0.23 a | 113.58 ± 0.45 a | 292.86 ± 0.15 a | 940.18 ± 7.79 a | 9.36 ± 0.01 a | 3.29 ± 0.01 a |
| 7 days | 18 | 116.78 ± 0.63 b | 21.02 ± 0.67 b | 9.25 ± 0.23 b | 108.40 ± 0.45 b | 287.62 ± 0.15 b | 913.44 ± 7.79 b | 9.30 ± 0.01 b | 3.27 ± 0.01 a |
| HPU | p ≤ 0.01 † | p ≤ 0.01 † | p ≤ 0.01 † | p ≤ 0.01 † | p ≤ 0.01 † | p ≤ 0.01 † | p ≤ 0.01 † | p = 0.20 ‡ | |
| 2.5 min | 12 | 126.02 ± 0.77 a | 28.35 ± 0.82 a | 13.83 ± 0.28 a | 116.30 ± 0.55 a | 289.81 ± 0.19 b | 961.62 ± 9.54 a | 9.27 ± 0.01 b | 3.27 ± 0.01 a |
| 5.0 min | 12 | 118.52 ± 0.77 b | 29.93 ± 0.82 b | 11.71 ± 0.28 b | 108.06 ± 0.55 b | 290.96 ± 0.19 a | 905.76 ± 9.54 b | 9.63 ± 0.01 a | 3.29 ± 0.01 a |
| 7.5 min | 12 | 117.14 ± 0.77 b | 22.76 ± 0.82 c | 9.14 ± 0.28 c | 108.61 ± 0.55 b | 289.95 ± 0.19 b | 913.06 ± 9.54 b | 9.08 ± 0.01 c | 3.28 ± 0.01 a |
| PEF | p ≤ 0.01 † | p ≤ 0.01 † | p ≤ 0.01 † | p ≤ 0.01 † | p ≤ 0.01 † | p = 0.28 ‡ | p ≤ 0.01 † | p = 0.16 ‡ | |
| 1.5 min | 12 | 124.48 ± 0.77 a | 28.66 ± 0.82 a | 12.64 ± 0.28 a | 113.12 ± 0.55 a | 290.12 ± 0.19 b | 931.60 ± 9.54 a | 9.41 ± 0.01 a | 3.29 ± 0.01 a |
| 3.0 min | 12 | 118.07 ± 0.77 b | 27.31 ± 0.82 b | 10.96 ± 0.28 b | 110.70 ± 0.55 b | 289.70 ± 0.19 b | 934.81 ± 9.54 a | 9.38 ± 0.01 a | 3.27 ± 0.01 a |
| 4.5 min | 12 | 119.14 ± 0.77 b | 25.06 ± 0.82 c | 11.07 ± 0.28 b | 109.14 ± 0.55 b | 290.91 ± 0.19 a | 914.03 ± 9.54 a | 9.20 ± 0.01 b | 3.27 ± 0.01 a |
| HPU + PEF (hurdle) | p = 0.10 ‡ | p = 0.10 ‡ | p = 0.20 ‡ | p = 0.07 ‡ | p = 0.82 ‡ | p = 0.05 † | p ≤ 0.01 † | p = 0.06 ‡ | |
| 2.5 min + 1.5 min | 12 | 129.54 ± 2.04 a | 28.43 ± 1.42 a | 13.47 ± 1.55 a | 115.87 ± 2.09 a | 289.55 ± 0.32 a | 918.05 ± 16.33 b | 9.43 ± 0.02 a | 3.30 ± 0.01 a |
| 2.5 min + 3.0 min | 12 | 123.06 ± 2.04 a | 29.77 ± 1.42 a | 14.70 ± 1.55 a | 118.87 ± 2.09 a | 289.79 ± 0.32 a | 981.50 ± 16.33 a | 9.25 ± 0.02 b | 3.25 ± 0.01 a |
| 2.5 min + 4.5 min | 12 | 125.46 ± 2.04 a | 26.85 ± 1.42 a | 13.30 ± 1.55 a | 114.15 ± 2.09 a | 290.08 ± 0.32 a | 985.32 ± 16.33 a | 9.13 ± 0.02 c | 3.26 ± 0.01 a |
| HPU + PEF (hurdle) | p ≤ 0.01 † | p ≤ 0.01 † | p = 0.08 ‡ | p ≤ 0.01 † | p = 0.82 ‡ | p = 0.02 † | p ≤ 0.01 † | p = 0.06 ‡ | |
| 5.0 min + 1.5 min | 12 | 123.21 ± 0.65 a | 32.73 ± 0.83 a | 12.94 ± 1.55 a | 113.01 ± 0.91 a | 290.87 ± 0.32 a | 951.30 ± 13.70 a | 9.33 ± 0.02 a | 3.28 ± 0.01 a |
| 5.0 min + 3.0 min | 12 | 113.64 ± 0.65 b | 30.59 ± 0.83 a | 10.92 ± 1.55 a | 103.26 ± 0.91 b | 289.88 ± 0.32 a | 883.21 ± 13.70 b | 9.90 ± 0.02 b | 3.29 ± 0.01 a |
| 5.0 min + 4.5 min | 12 | 118.70 ± 0.65 c | 26.46 ± 0.83 b | 11.27 ± 1.55 a | 107.90 ± 0.91 c | 292.14 ± 0.32 a | 882.76 ± 13.70 b | 9.68 ± 0.02 c | 3.30 ± 0.01 a |
| HPU + PEF (hurdle) | p = 0.02 † | p ≤ 0.01 † | p ≤ 0.01 † | p ≤ 0.01 † | p = 0.82 ‡ | p = 0.10 ‡ | p ≤ 0.01 † | p = 0.06 ‡ | |
| 7.5 min + 1.5 min | 12 | 120.68 ± 1.33 a | 24.83 ± 0.57 a | 11.52 ± 0.37 a | 110.49 ± 0.70 a | 289.93 ± 0.32 a | 925.44 ± 19.10 a | 9.48 ± 0.02 a | 3.29 ± 0.01 a |
| 7.5 min + 3.0 min | 12 | 117.50 ± 1.33 a,b | 21.57 ± 0.57 b | 7.27 ± 0.37 c | 109.97 ± 0.70 a | 289.42 ± 0.32 a | 939.74 ± 19.10 a | 8.98 ± 0.02 b | 3.28 ± 0.01 a |
| 7.5 min + 4.5 min | 12 | 113.25 ± 1.33 b | 21.86 ± 0.57 b | 8.63 ± 0.37 b | 105.38 ± 0.70 b | 290.50 ± 0.32 a | 874.00 ± 19.10 a | 8.80 ± 0.02 c | 3.26 ± 0.01 a |
| Dataset average | 36 | 120.56 ± 0.44 | 27.01 ± 0.25 | 11.55 ± 0.16 | 109.99 ± 0.31 | 290.24 ± 0.11 | 926.18 ± 5.51 | 9.33 ± 0.01 | 3.28 ± 0.01 |
| Storage | HPU Exposure | PEF Exposure | TPC 1 | HCA 2 | FL 3 | CT 4 | DPPH 5 | FRAP 6 | SSC 7 | pH | |
|---|---|---|---|---|---|---|---|---|---|---|---|
| Storage | 1 | 0 | 0 | −0.53 * | −0.81 * | −0.55 * | −0.40 * | −0.93 * | −0.24 | −0.09 | −0.29 |
| HPU exposure | 1 | 0 | −0.50 * | −0.31 | −0.46 * | −0.49 * | 0.02 | −0.36 * | −0.23 | 0.11 | |
| PEF exposure | 1 | −0.30 | −0.20 | −0.15 | −0.25 | 0.11 | −0.13 | −0.26 | −0.27 | ||
| TPC | 1 | 0.51 * | 0.69 * | 0.75 * | 0.43 * | 0.55 * | 0.02 | 0.05 | |||
| HCA | 1 | 0.68 * | 0.39 * | 0.77 * | 0.29 | 0.36 * | 0.30 | ||||
| FL | 1 | 0.60 * | 0.51 * | 0.45 * | 0.21 | 0.08 | |||||
| CT | 1 | 0.37 * | 0.74 * | −0.14 | −0.06 | ||||||
| DPPH | 1 | 0.17 | 0.15 | 0.30 | |||||||
| FRAP | 1 | −0.22 | −0.22 | ||||||||
| SSC | 1 | 0.50 * | |||||||||
| pH | 1 |
| TPC | HCA | FL | CT | DPPH | FRAP | |
|---|---|---|---|---|---|---|
| Storage (days) | 0.0 | 0.0 | 0.0 | 0.0 | 0.0 | 0.0 |
| HPU treatment (min) | 2.5 | 4.7 | 2.5 | 2.5 | 5.0 | 2.5 |
| PEF treatment (min) | 1.5 | 1.5 | 4.5 | 1.5 | 4.5 | 3.8 |
| Optimal quantity (mg 100 g−1) | 129.35 | 39.15 | 18.04 | 117.19 | 294.25 | 987.75 |
Disclaimer/Publisher’s Note: The statements, opinions and data contained in all publications are solely those of the individual author(s) and contributor(s) and not of MDPI and/or the editor(s). MDPI and/or the editor(s) disclaim responsibility for any injury to people or property resulting from any ideas, methods, instructions or products referred to in the content. |
© 2024 by the authors. Licensee MDPI, Basel, Switzerland. This article is an open access article distributed under the terms and conditions of the Creative Commons Attribution (CC BY) license (https://creativecommons.org/licenses/by/4.0/).
Share and Cite
Bebek Markovinović, A.; Stulić, V.; Putnik, P.; Bekavac, N.; Pavlić, B.; Milošević, S.; Velebit, B.; Herceg, Z.; Bursać Kovačević, D. High-Power Ultrasound (HPU) and Pulsed Electric Field (PEF) in the Hurdle Concept for the Preservation of Antioxidant Bioactive Compounds in Strawberry Juice—A Chemometric Evaluation—Part II. Foods 2024, 13, 537. https://doi.org/10.3390/foods13040537
Bebek Markovinović A, Stulić V, Putnik P, Bekavac N, Pavlić B, Milošević S, Velebit B, Herceg Z, Bursać Kovačević D. High-Power Ultrasound (HPU) and Pulsed Electric Field (PEF) in the Hurdle Concept for the Preservation of Antioxidant Bioactive Compounds in Strawberry Juice—A Chemometric Evaluation—Part II. Foods. 2024; 13(4):537. https://doi.org/10.3390/foods13040537
Chicago/Turabian StyleBebek Markovinović, Anica, Višnja Stulić, Predrag Putnik, Nikša Bekavac, Branimir Pavlić, Sanja Milošević, Branko Velebit, Zoran Herceg, and Danijela Bursać Kovačević. 2024. "High-Power Ultrasound (HPU) and Pulsed Electric Field (PEF) in the Hurdle Concept for the Preservation of Antioxidant Bioactive Compounds in Strawberry Juice—A Chemometric Evaluation—Part II" Foods 13, no. 4: 537. https://doi.org/10.3390/foods13040537
APA StyleBebek Markovinović, A., Stulić, V., Putnik, P., Bekavac, N., Pavlić, B., Milošević, S., Velebit, B., Herceg, Z., & Bursać Kovačević, D. (2024). High-Power Ultrasound (HPU) and Pulsed Electric Field (PEF) in the Hurdle Concept for the Preservation of Antioxidant Bioactive Compounds in Strawberry Juice—A Chemometric Evaluation—Part II. Foods, 13(4), 537. https://doi.org/10.3390/foods13040537

