The Growing Altitude Influences the Flavor Precursors, Sensory Characteristics and Cupping Quality of the Pu’er Coffee Bean
Abstract
1. Introduction
2. Materials and Methods
2.1. Sample Collection and Processing
2.1.1. Green Coffee Preparation
2.1.2. Roasted Coffee Preparation
2.2. Chemical Composition Analysis of Green Coffee Beans
2.2.1. Trace Element Determination
2.2.2. Alkaloid and Chlorogenic Acids Determination
2.3. Nutrient Composition Analysis of Green Coffee Beans
2.3.1. Organic Acid Determination
2.3.2. Fatty Acid Determination
2.3.3. Monosaccharide Determination
2.4. Flavor Analysis of Roasted Coffee
2.5. Sensory Analysis of Roasted Coffee
2.5.1. Electronic Sensory Analysis
2.5.2. Cupping Quality Analysis
2.6. Statistical Analysis
3. Results and Discussion
3.1. Chemical Composition
3.1.1. Trace Elements
3.1.2. Alkaloids and Chlorogenic Acids
3.2. Analysis of Flavor Precursors for Coffee Beans Grown at Various Altitudes
3.2.1. Organic Acids
3.2.2. Fatty Acids
3.2.3. Monosaccharide
3.3. Flavor Compounds in Coffee Beans Grown at Various Altitudes
3.3.1. Volatile Compounds as Analyzed by GC-MS
3.3.2. Electronic Sensory Evaluation
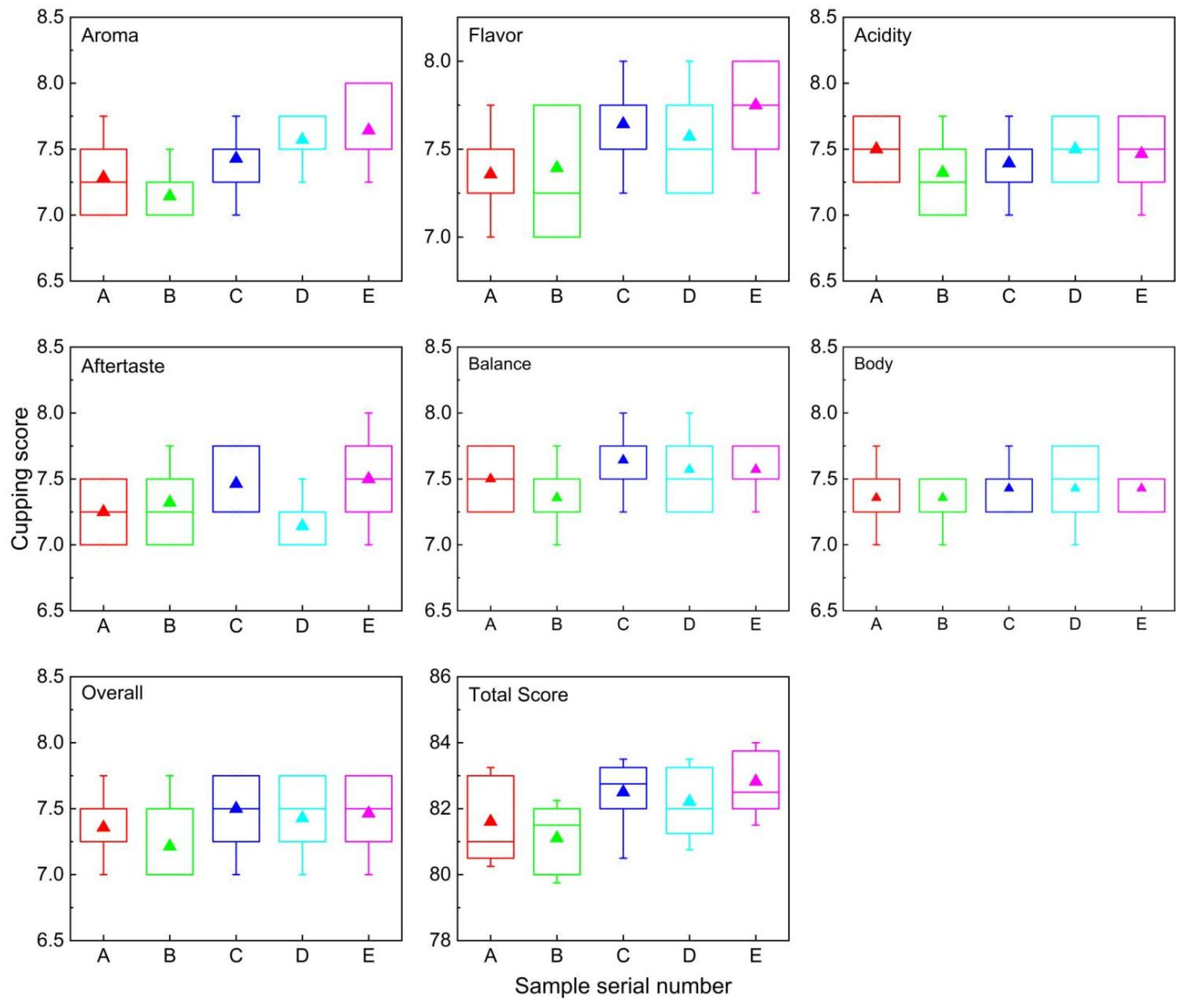
3.3.3. Sensory Evaluation of Coffee Cupping
3.4. Correlation Analysis of Effects of Flavor Precursors and Volatile Components on Cupping Quality
4. Conclusions
Supplementary Materials
Author Contributions
Funding
Institutional Review Board Statement
Informed Consent Statement
Data Availability Statement
Conflicts of Interest
References
- Pereira, G.V.d.M.; Neto, D.P.d.C.; Júnior, A.I.M.; Vásquez, Z.S.; Medeiros, A.B.P.; Vandenberghe, L.P.S.; Soccol, C.R. Exploring the impacts of postharvest processing on the aroma formation of coffee beans—A review. Food Chem. 2019, 272, 441–452. [Google Scholar] [CrossRef] [PubMed]
- Bressani, A.P.P.; Batista, N.N.; Ferreira, G.; Martinez, S.J.; Simao, J.B.P.; Dias, D.R.; Schwan, R.F. Characterization of bioactive, chemical, and sensory compounds from fermented coffees with different yeasts species. Food Res. Int. 2021, 150, 110755. [Google Scholar] [CrossRef] [PubMed]
- Sunarharum, W.B.; Williams, D.J.; Smyth, H.E. Complexity of coffee flavor: A compositional and sensory perspective. Food Res. Int. 2014, 62, 315–325. [Google Scholar] [CrossRef]
- Freitas, V.V.; Borges, L.L.R.; Vidigal, M.C.T.R.; dos Santos, M.H.; Stringheta, P.C. Coffee: A comprehensive overview of origin, market, and the quality process. Trends Food Sci. Technol. 2024, 146, 104411. [Google Scholar] [CrossRef]
- Worku, M.; de Meulenaer, B.; Duchateau, L.; Boeckx, P. Effect of altitude on biochemical composition and quality of green arabica coffee beans can be affected by shade and postharvest processing method. Food Res. Int. 2018, 105, 278–285. [Google Scholar] [CrossRef]
- Martinez, S.J.; Bressani, A.P.P.; Simao, J.B.P.; Pylro, V.S.; Dias, D.R.; Schwan, R.F. Dominant microbial communities and biochemical profile of pulped natural fermented coffees growing in different altitudes. Food Res. Int. 2022, 159, 111605. [Google Scholar] [CrossRef]
- Wilson, B.R.; Conley, J.F.; Harris, T.M.; Lafone, F. New terrains of taste: Spatial analysis of price premiums for single origin coffees in Central America. Appl. Geogr. 2012, 35, 499–507. [Google Scholar] [CrossRef]
- Vezzulli, F.; Lambri, M.; Bertuzzi, T. Volatile Compounds in Green and Roasted Arabica Specialty Coffee: Discrimination of Origins, Post-Harvesting Processes, and Roasting Level. Foods 2023, 12, 489. [Google Scholar] [CrossRef]
- Van Cuong, T.; Hong Ling, L.; Kang Quan, G.; Jin, S.; Shu Jie, S.; Le Linh, T.; Duc Tiep, T. Effect of Roasting Conditions on Concentration in Elements of Vietnam Robusta Coffee. Acta Univ. Cibiniensis. Ser. E Food Technol. 2014, 18, 19–34. [Google Scholar] [CrossRef]
- Martins, P.M.M.; Batista, N.N.; Miguel, M.; Simao, J.B.P.; Soares, J.R.; Schwan, R.F. Coffee growing altitude influences the microbiota, chemical compounds and the quality of fermented coffees. Food Res. Int. 2020, 129, 108872. [Google Scholar] [CrossRef]
- Romano, R.; Santini, A.; Grottaglie, L.L.; Manzo, N.; Visconti, A.; Ritieni, A. Identification markers based on fatty acid composition to differentiate between roasted Arabica and Canephora (Robusta) coffee varieties in mixtures. J. Food Compos. Anal. 2014, 35, 1–9. [Google Scholar] [CrossRef]
- Esposito, F.; Fasano, E.; De Vivo, A.; Velotto, S.; Sarghini, F.; Cirillo, T. Processing effects on acrylamide content in roasted coffee production. Food Chem. 2020, 319, 126550. [Google Scholar] [CrossRef] [PubMed]
- Stiefel, C.; Lindemann, B.; Morlock, G.E. Non-target bioactive compound profiles of coffee roasts and preparations. Food Chem. 2022, 391, 133263. [Google Scholar] [CrossRef] [PubMed]
- Konieczynski, P.; Zarkov, A.; Viapiana, A.; Kaszuba, M.; Bielski, L.; Wesolowski, M. Investigations of metallic elements and phenolics in Chinese medicinal plants. Open Chem. 2020, 18, 1381–1390. [Google Scholar] [CrossRef]
- Dong, W.; Hu, R.; Chu, Z.; Zhao, J.; Tan, L. Effect of different drying techniques on bioactive components, fatty acid composition, and volatile profile of robusta coffee beans. Food Chem. 2017, 234, 121–130. [Google Scholar] [CrossRef]
- Wang, C.; Sun, J.; Lassabliere, B.; Yu, B.; Liu, S.Q. Coffee flavour modification through controlled fermentation of green coffee beans by Lactococcus lactis subsp. cremoris. LWT—Food Sci. Technol. 2020, 120, 108930. [Google Scholar] [CrossRef]
- Dong, W.; Hu, R.; Long, Y.; Li, H.; Zhang, Y.; Zhu, K.; Chu, Z. Comparative evaluation of the volatile profiles and taste properties of roasted coffee beans as affected by drying method and detected by electronic nose, electronic tongue, and HS-SPME-GC-MS. Food Chem. 2019, 272, 723–731. [Google Scholar] [CrossRef]
- Bressanello, D.; Liberto, E.; Cordero, C.; Rubiolo, P.; Pellegrino, G.; Ruosi, M.R.; Bicchi, C. Coffee aroma: Chemometric comparison of the chemical information provided by three different samplings combined with GC-MS to describe the sensory properties in cup. Food Chem. 2017, 214, 218–226. [Google Scholar] [CrossRef]
- Specialty Coffee Association. Available online: https://sca.coffee/sca-news/sca-new-cva-cupping-standards (accessed on 20 November 2024).
- Pokorska-Niewiada, K.; Scheffler, A.; Przedpełska, L.; Witczak, A. Tracking Trace Elements Found in Coffee and Infusions of Commercially Available Coffee Products Marketed in Poland. Foods 2024, 13, 2212. [Google Scholar] [CrossRef]
- Farah, A. Coffee Constituents. In Coffee, Chu, Y.-F., Ed.; John Wiley and Sons: New York, NY, USA, 2012; pp. 21–58. [Google Scholar] [CrossRef]
- Dam, R.M.v.; Hu, F.B.; Willett, W.C. Coffee, caffeine and health. New Engl. J. Med. 2020, 383, 369–378. [Google Scholar] [CrossRef]
- Di Pietrantonio, D.; Pace Palitti, V.; Cichelli, A.; Tacconelli, S. Protective Effect of Caffeine and Chlorogenic Acids of Coffee in Liver Disease. Foods 2024, 13, 2280. [Google Scholar] [CrossRef] [PubMed]
- Perrone, D.; Donangelo, R.; Donangelo, C.M.; Farah, A. Modeling weight loss and chlorogenic acids content in coffee during roasting. J. Agric. Food Chem. 2010, 58, 12238–12243. [Google Scholar] [CrossRef]
- Córdoba, N.; Moreno, F.L.; Osorio, C.; Velásquez, S.; Fernandez-Alduenda, M.; Ruiz-Pardo, Y. Specialty and regular coffee bean quality for cold and hot brewing: Evaluation of sensory profile and physicochemical characteristics. LWT 2021, 145, 111363. [Google Scholar] [CrossRef]
- Zhai, H.; Dong, W.; Fu, X.; Li, G.; Hu, F. Integration of widely targeted metabolomics and the e-tongue reveals the chemical variation and taste quality of Yunnan Arabica coffee prepared using different primary processing methods. Food Chem. X 2024, 22, 101286. [Google Scholar] [CrossRef] [PubMed]
- Yeager, S.E.; Batali, M.E.; Guinard, J.-X.; Ristenpart, W.D. Acids in coffee: A review of sensory measurements and meta-analysis of chemical composition. Crit. Rev. Food Sci. Nutr. 2023, 63, 1010–1036. [Google Scholar] [CrossRef]
- Lin, H.; Tello, E.; Simons, C.T.; Peterson, D.G. Identification of subthreshold chlorogenic acid lactones that contribute to flavor instability of ready-to-drink coffee. Food Chem. 2022, 395, 133555. [Google Scholar] [CrossRef]
- Farah, A.; de Paula Lima, J. Consumption of Chlorogenic Acids through Coffee and Health Implications. Beverages 2019, 5, 11. [Google Scholar] [CrossRef]
- Fujimoto, H.; Narita, Y.; Iwai, K.; Hanzawa, T.; Kobayashi, T.; Kakiuchi, M.; Ariki, S.; Wu, X.; Miyake, K.; Tahara, Y.; et al. Bitterness compounds in coffee brew measured by analytical instruments and taste sensing system. Food Chem. 2021, 342, 128228. [Google Scholar] [CrossRef]
- Seninde, D.R.; Chambers, E. Coffee Flavor: A Review. Beverages 2020, 6, 44. [Google Scholar] [CrossRef]
- Cordoba, N.; Fernandez-Alduenda, M.; Moreno, F.L.; Ruiz, Y. Coffee extraction: A review of parameters and their influence on the physicochemical characteristics and flavour of coffee brews. Trends Food Sci. Technol. 2020, 96, 45–60. [Google Scholar] [CrossRef]
- Li, X.; Oey, I.; Kebede, B. Effect of industrial processing on the volatiles, enzymes and lipids of wholegrain and rolled oats. Food Res. Int. 2022, 157, 111243. [Google Scholar] [CrossRef] [PubMed]
- Wang, X.; Lim, L.-T. Investigation of CO2 precursors in roasted coffee. Food Chem. 2017, 219, 185–192. [Google Scholar] [CrossRef] [PubMed]
- Ruta, L.L.; Farcasanu, I.C. Coffee and Yeasts: From Flavor to Biotechnology. Fermentation 2021, 7, 9. [Google Scholar] [CrossRef]
- Zhu, J.; Zhou, L.; Zhao, M.; Wei, F.; Fu, H.; Marchioni, E. Revealing the dynamic changes of lipids in coffee beans during roasting based on UHPLC-QE-HR-AM/MS/MS. Food Res. Int. 2023, 174, 113507. [Google Scholar] [CrossRef]
- Zhai, H.; Dong, W.; Tang, Y.; Hu, R.; Yu, X.; Chen, X. Characterization of the volatile flavour compounds in Yunnan Arabica coffee prepared by different primary processing methods using HS-SPME/GC-MS and HS-GC-IMS. LWT 2024, 192, 115717. [Google Scholar] [CrossRef]
- Stanek, N.; Zarębska, M.; Biłos, Ł.; Barabosz, K.; Nowakowska-Bogdan, E.; Semeniuk, I.; Błaszkiewicz, J.; Kulesza, R.; Matejuk, R.; Szkutnik, K. Influence of coffee brewing methods on the chromatographic and spectroscopic profiles, antioxidant and sensory properties. Sci. Rep. 2021, 11, 21377. [Google Scholar] [CrossRef]
- Flament, I. Coffee Flavor Chemistry; John Wiley & Sons, Ltd.: Baffins Lane, Chichester, UK, 2002. [Google Scholar]
- Kandasamy, S.; Yoo, J.; Yun, J.; Kang, H.B.; Seol, K.-H.; Ham, J.-S. 1 H HRMAS-NMR based metabolic fingerprints for discrimination of cheeses based on sensory qualities. Saudi J. Biol. Sci. 2020, 27, 1446–1461. [Google Scholar] [CrossRef]
- Zheng, X.; Wei, L.; Lv, W.; Zhang, H.; Zhang, Y.; Zhang, H.; Zhang, H.; Zhu, Z.; Ge, T.; Zhang, W. Long-term bioorganic and organic fertilization improved soil quality and multifunctionality under continuous cropping in watermelon. Agric. Ecosyst. Environ. 2024, 359, 108721. [Google Scholar] [CrossRef]
- Liem, D.G.; Russell, C.G. The Influence of Taste Liking on the Consumption of Nutrient Rich and Nutrient Poor Foods. Front. Nutr. 2019, 6, 174. [Google Scholar] [CrossRef]
- Janda, K.; Jakubczyk, K.; Baranowska-Bosiacka, I.; Kapczuk, P.; Kochman, J.; Rebacz-Maron, E.; Gutowska, I. Mineral Composition and Antioxidant Potential of Coffee Beverages Depending on the Brewing Method. Foods 2020, 9, 121. [Google Scholar] [CrossRef]






| Type | Composition | Content (mg/g) | ||||
|---|---|---|---|---|---|---|
| A | B | C | D | E | ||
| Organic acid | Oxalic acid | 0.63 ± 0.10 a | 0.36 ± 0.06 c | 0.55 ± 0.19 b | 0.23 ± 0.13 d | 0.66 ± 0.09 a |
| Quinic acid | 13.26 ± 0.93 c | 15.28 ± 0.23 a | 15.06 ± 0.18 ab | 11.31 ± 0.53 d | 14.84 ± 0.57 b | |
| Acetic acid | 1.23 ± 0.31 a | 0.97 ± 0.20 b | 0.13 ± 0.03 d | 0.20 ± 0.06 cd | 0.24 ± 0.09 c | |
| Citric acid | 5.76 ± 1.12 a | 6.28 ± 0.95 a | 0.10 ± 0.02 c | 0.95 ± 1.23 b | 0.08 ± 0.02 c | |
| Malic acid | 7.71 ± 0.52 b | 29.09 ± 4.09 a | 6.91 ± 1.19 bc | 4.67 ± 1.15 cd | 5.67 ± 0.07 c | |
| Fatty acid | Linoleic acid | 6.55 ± 1.20 c | 7.54 ± 0.93 c | 16.41 ± 0.54 a | 17.94 ± 1.16 a | 13.76 ± 1.08 b |
| Palmitic acid | 3.78 ± 0.56 c | 4.12 ± 0.47 c | 7.55 ± 0.19 b | 8.99 ± 0.53 a | 7.68 ± 0.90 b | |
| Stearic acid | 1.18 ± 0.19 c | 1.46 ± 0.35 c | 3.06 ± 0.26 ab | 3.56 ± 0.62 a | 2.75 ± 0.48 b | |
| Oleic acid | 1.02 ± 0.22 c | 1.28 ± 0.33 c | 2.91 ± 0.32 a | 2.88 ± 0.80 ab | 2.72 ± 0.73 b | |
| Arachidic acid | 0.56 ± 0.08 c | 0.80 ± 0.24 bc | 1.72 ± 0.27 a | 1.59 ± 0.65 a | 1.38 ± 0.42 ab | |
| Linolenic acid | 0.16 ± 0.06 b | 0.18 ± 0.02 b | 0.52 ± 0.05 a | 0.48 ± 0.18 a | 0.37 ± 0.13 a | |
| Monosaccharide | L-(+)-Threose | 28.40 ± 3.28 a | 12.86 ± 1.40 d | 14.42 ± 0.97 c | 27.57 ± 5.26 ab | 25.45 ± 4.14 b |
| DL-Arabinose | 39.10 ± 3.24 c | 43.29 ± 4.27 c | 21.34 ± 4.34 d | 51.80 ± 4.74 b | 68.60 ± 4.63 a | |
| D-(+)-Talose | 144.84 ± 21.52 ab | 68.99 ± 6.11 d | 134.20 ± 8.74 b | 99.74 ± 16.20 c | 155.43 ± 15.90 a | |
| D-(+)-Galactose | 24.23 ± 1.94 a | 8.09 ± 1.19 d | 14.90 ± 1.87 b | 11.95 ± 2.42 c | 24.56 ± 2.93 a | |
| D-(+)-Mannose | 80.47 ± 4.10 a | 25.66 ± 2.76 d | 51.47 ± 6.08 c | 24.16 ± 1.58 d | 73.02 ± 1.71 b | |
| Chemical Compounds | VIP | Tendency | Flavor Characteristic |
|---|---|---|---|
| Pyrazine, methyl- | 6.19 | decrease | Nutty, roasted, sweet, chocolate |
| 2-furanmethanol | 5.08 | decrease | Mild, slightly caramellic |
| Furfural | 3.13 | increase | Sweet, bread-like, caramellic |
| Pyridine | 2.77 | decrease | Pungent, penetrating, diffusive |
| Pyrazine, 2,6-dimethyl- | 2.24 | decrease | Sweet, fried, nutty, roasted, chocolate |
| Pyrazine, 2,5-dimethyl- | 1.78 | decrease | Roasted, nutty, grassy, chocolate |
| Pyrazine, 2-ethyl-6-methyl- | 1.76 | decrease | Roasted hazelnut-like |
| 2-furancarboxaldehyde, 5-methyl- | 1.70 | increase | Sweet-spicy, warm, caramellic |
| Pyrazine, 2-ethyl-3-methyl- | 1.41 | decrease | Nutty, roasted |
| Pyrazine, 3-ethyl-2,5-dimethyl- | 1.36 | decrease | Hazelnut, roasty, earthy |
| Pyrazine, ethyl- | 1.25 | decrease | Nutty, roasted, buttery, rum |
Disclaimer/Publisher’s Note: The statements, opinions and data contained in all publications are solely those of the individual author(s) and contributor(s) and not of MDPI and/or the editor(s). MDPI and/or the editor(s) disclaim responsibility for any injury to people or property resulting from any ideas, methods, instructions or products referred to in the content. |
© 2024 by the authors. Licensee MDPI, Basel, Switzerland. This article is an open access article distributed under the terms and conditions of the Creative Commons Attribution (CC BY) license (https://creativecommons.org/licenses/by/4.0/).
Share and Cite
Hu, R.; Xu, F.; Chen, X.; Kuang, Q.; Xiao, X.; Dong, W. The Growing Altitude Influences the Flavor Precursors, Sensory Characteristics and Cupping Quality of the Pu’er Coffee Bean. Foods 2024, 13, 3842. https://doi.org/10.3390/foods13233842
Hu R, Xu F, Chen X, Kuang Q, Xiao X, Dong W. The Growing Altitude Influences the Flavor Precursors, Sensory Characteristics and Cupping Quality of the Pu’er Coffee Bean. Foods. 2024; 13(23):3842. https://doi.org/10.3390/foods13233842
Chicago/Turabian StyleHu, Rongsuo, Fei Xu, Xiao Chen, Qinrui Kuang, Xingyuan Xiao, and Wenjiang Dong. 2024. "The Growing Altitude Influences the Flavor Precursors, Sensory Characteristics and Cupping Quality of the Pu’er Coffee Bean" Foods 13, no. 23: 3842. https://doi.org/10.3390/foods13233842
APA StyleHu, R., Xu, F., Chen, X., Kuang, Q., Xiao, X., & Dong, W. (2024). The Growing Altitude Influences the Flavor Precursors, Sensory Characteristics and Cupping Quality of the Pu’er Coffee Bean. Foods, 13(23), 3842. https://doi.org/10.3390/foods13233842

