High-Density Fermentation of Lactobacillus plantarum P6: Enhancing Cell Viability via Sodium Alginate Enrichment
Abstract
1. Introduction
2. Materials and Methods
2.1. Strains and Chemicals
2.2. Strain Activation
2.3. Single-Factor Experiment on Nutritional Conditions of Lactobacillus plantarum P6 Fermentation
2.4. Single-Factor Experiment on Fermentation Conditions of Lactobacillus plantarum P6
2.5. Response Surface Analysis Test
2.6. Effect of Bacteriotropic Factors on Fermentation Culture of Lactobacillus plantarum P6
2.7. Effect of Different Incubation Methods on Viable Counts of Lactobacillus plantarum P6 During Fermentation in 5 L Fermenter
2.8. Measurement of Viable Cells
3. Results and Discussion
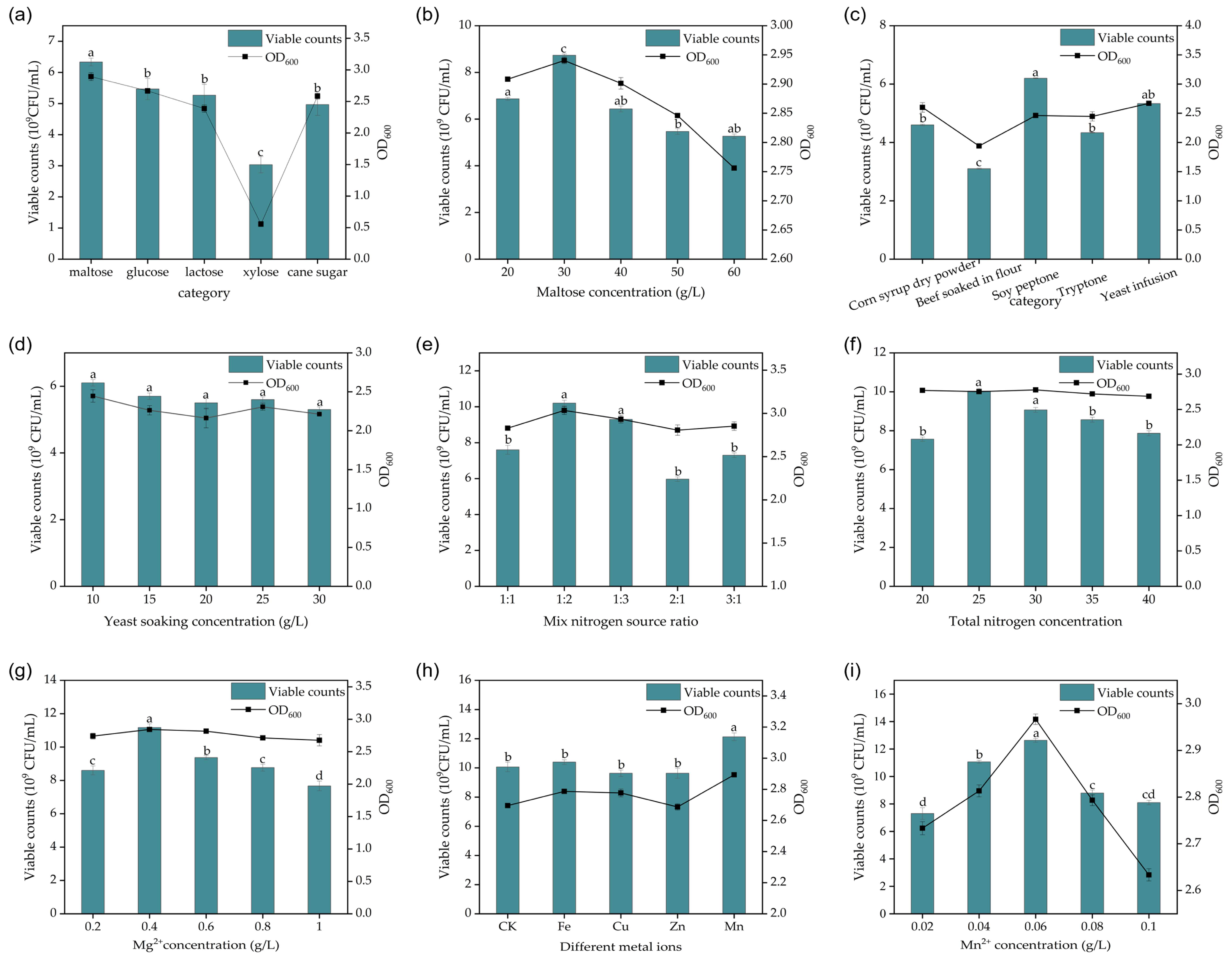
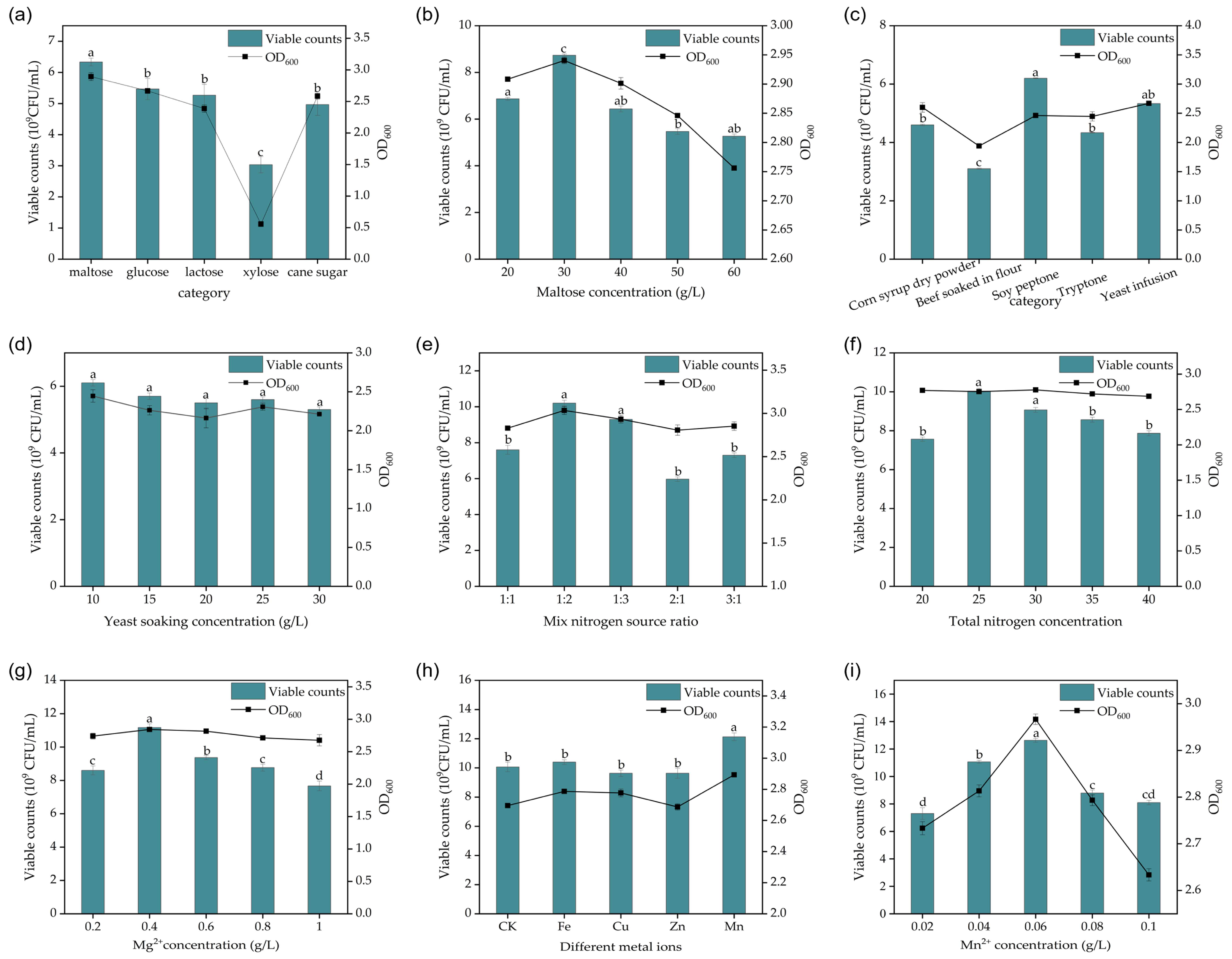
3.1. Effect of Fermentation Medium on the Viable Counts of Lactobacillus plantarum P6
3.2. Effect of Fermentation Culture Conditions on Viable Cell Counts of Lactobacillus plantarum P6
3.3. Response Surface Analysis Test Results
3.4. Effect of Growth-Enhancing Factors on Lactobacillus plantarum P6 Fermentation
3.5. Effect of Different Culture Conditions on Lactobacillus plantarum P6 Fermentation in 5 L Fermenter
4. Conclusions
Supplementary Materials
Author Contributions
Funding
Institutional Review Board Statement
Informed Consent Statement
Data Availability Statement
Acknowledgments
Conflicts of Interest
References
- Hill, C.; Guarner, F.; Reid, G.; Gibson, G.R.; Merenstein, D.J.; Pot, B.; Morelli, L.; Canani, R.B.; Flint, H.J.; Salminen, S.; et al. Expert consensus document. The International Scientific Association for Probiotics and Prebiotics consensus statement on the scope and appropriate use of the term probiotic. Nat. Rev. Gastroenterol. Hepatol. 2014, 11, 506–514. [Google Scholar] [CrossRef] [PubMed]
- Tang, T.; Wang, J.; Jiang, Y.; Zhu, X.; Zhang, Z.; Wang, Y.; Shu, X.; Deng, Y.; Zhang, F. Bifidobacterium lactis TY-S01 Prevents Loperamide-Induced Constipation by Modulating Gut Microbiota and Its Metabolites in Mice. Front. Nutr. 2022, 9, 890314. [Google Scholar] [CrossRef] [PubMed]
- Sanders, M.E.; Merenstein, D.J.; Reid, G.; Gibson, G.R.; Rastall, R.A. Probiotics and prebiotics in intestinal health and disease: From biology to the clinic. Nat. Rev. Gastroenterol. Hepatol. 2019, 16, 605–616. [Google Scholar] [CrossRef] [PubMed]
- Yang, D.; Lyu, W.; Hu, Z.; Gao, J.; Zheng, Z.; Wang, W.; Firrman, J.; Ren, D. Probiotic Effects of Lactobacillus fermentum ZJUIDS06 and Lactobacillus plantarum ZY08 on Hypercholesteremic Golden Hamsters. Front. Nutr. 2021, 8, 705763. [Google Scholar] [CrossRef] [PubMed]
- Romanens, E.; Pedan, V.; Meile, L.; Miescher Schwenninger, S. Influence of two anti-fungal Lactobacillus fermentum-Saccharomyces cerevisiae co-cultures on cocoa bean fermentation and final bean quality. PLoS ONE 2020, 15, e0239365. [Google Scholar] [CrossRef]
- Ben-Miled, H.; Benoit-Biancamano, M.O.; Ben-Mahrez, K.; Réjiba, S. Alpha-amylase and alphaglucosidase inhibitory properties, beta-galactosidase activity, and probiotic potential of lactic acid bacteria and bifidobacteria from Apis mellifera intermissa and its products. World J. Microbiol. Biotechnol. 2023, 39, 205. [Google Scholar] [CrossRef]
- Mizuno, H.; Arce, L.; Tomotsune, K.; Albarracin, L.; Funabashi, R.; Vera, D.; Islam, M.A.; Vizoso-Pinto, M.G.; Takahashi, H.; Sasaki, Y.; et al. Lipoteichoic Acid Is Involved in the Ability of the Immunobiotic Strain Lactobacillus plantarum CRL1506 to Modulate the Intestinal Antiviral Innate Immunity Triggered by TLR3 Activation. Front. Immunol. 2020, 11, 571. [Google Scholar] [CrossRef]
- Wang, H.; Yin, H.; Zhong, Y.; Hu, J.; Xia, S.; Wang, Z.; Nie, S.; Xie, M. Polysaccharides from fermented coix seed modulates circulating nitrogen and immune function by altering gut microbiota. Curr. Res. Food Sci. 2022, 5, 1994–2003. [Google Scholar] [CrossRef]
- Lee, J.E.; Lee, N.K.; Paik, H.D. Antimicrobial and anti-biofilm effects of probiotic Lactobacillus plantarum KU200656 isolated from kimchi. Food Sci. Biotechnol. 2020, 30, 97–106. [Google Scholar] [CrossRef]
- Jang, A.R.; Jung, D.H.; Lee, T.S.; Kim, J.K.; Lee, Y.B.; Lee, J.Y.; Kim, S.Y.; Yoo, Y.C.; Ahn, J.H.; Hong, E.H.; et al. Lactobacillus plantarum NCHBL-004 modulates high-fat diet-induced weight gain and enhances GLP-1 production for blood glucose regulation. Nutrition 2024, 128, 112565. [Google Scholar] [CrossRef]
- Choi, G.H.; Lee, N.K.; Paik, H.D. Optimization of Medium Composition for Biomass Production of Lactobacillus plantarum 200655 Using Response Surface Methodology. J. Microbiol. Biotechnol. 2021, 31, 717–725. [Google Scholar] [CrossRef] [PubMed]
- Gutiérrez-Sarmiento, W.; Ventura-Canseco, L.; Gutiérrez-Miceli, F.; Luján-Hidalgo, M.; Abud-Archila, M.; Ruíz-Valdiviezo, V. Optimization of biomass production, lactic acid, and gastrointestinal simulation survival of lactobacillus plantarum BAL-03-ITTG cultured in stirred tank bioreactor. Agrociencia 2020, 54, 147–162. [Google Scholar]
- Zhang, B.; Shu, G.; Bao, C.; Cao, J.; Tan, Y. Optimization of Culture Medium for Lactobacillus bulgaricus using Box-Behnken Design. Acta Univ. Cibiniensis. Ser. E Food Technol. 2017, 21, 3–10. [Google Scholar] [CrossRef]
- Santivarangkna, C.; Higl, B.; Foerst, P. Protection mechanisms of sugars during different stages of preparation process of dried lactic acid starter cultures. Food Microbiol. 2008, 25, 429–441. [Google Scholar] [CrossRef]
- Shakerian, M.; Razavi, S.; Khodaiyan, F.; Ziai, S.; Yarmand, M.; Moayedi, A. Effect of different levels of fat and inulin on the microbial growth and metabolites in probiotic yogurt containing nonviable bacteria. Int. J. Food Sci. Technol. 2014, 49, 261–268. [Google Scholar] [CrossRef]
- Boger, M.C.L.; Lammerts van Bueren, A.; Dijkhuizen, L. Cross-Feeding among Probiotic Bacterial Strains on Prebiotic Inulin Involves the Extracellular exo-Inulinase of Lactobacillus paracasei Strain W20. Appl. Environ. Microbiol. 2018, 84, e01539-18. [Google Scholar] [CrossRef]
- Michael, M.; Phebus, R.K.; Schmidt, K.A. Plant extract enhances the viability of Lactobacillus delbrueckii subsp. bulgaricus and Lactobacillus acidophilus in probiotic nonfat yogurt. Food Sci. Nutr. 2015, 3, 48–55. [Google Scholar] [CrossRef]
- Liu, S.-Q.; Pritchard, G.G.; Hardman, M.J.; Pilone, G.J. Arginine catabolism in wine lactic acid bacteria: Is it via the arginine deiminase pathway or the arginase-urease pathway? J. Appl. Microbiol. 2008, 81, 486–492. [Google Scholar] [CrossRef]
- Yue, W.; Zhang, H.H.; Yang, Z.N.; Xie, Y. Preparation of low-molecular-weight sodium alginate by ozonation. Carbohydr. Polym. 2021, 251, 117104. [Google Scholar] [CrossRef]
- Ruma, B.; Samit, K.R. Adsorption of industrial dyes by semi-IPN hydrogels of Acrylic copolymers and sodium alginate. J. Ind. Eng. Chem. 2015, 22, 92–102. [Google Scholar]
- Li, H.; Li, W.; Zhang, J.J.; Xie, G.Y.; Xiong, Y.F.; Xiong, T.; Xu, H.Y. Preparation and characterization of sodium alginate/gelatin/Ag nanocomposite antibacterial film and its application in the preservation of tangerine. Food Packag. Shelf Life 2022, 33, 100928. [Google Scholar] [CrossRef]
- Wang, Y.; Lu, Y. Sodium alginate-based functional materials toward sustainable applications: Water treatment and energy storage. Ind. Eng. Chem. Res. 2023, 62, 11279–11304. [Google Scholar] [CrossRef]
- An, Q.; Ren, J.; Jia, X.; Qu, S.; Zhang, N.; Li, X.; Fan, G.; Pan, S.; Zhang, Z.; Wu, K. Anisotropic materials based on carbohydrate polymers: A review of fabrication strategies, properties, and applications. Carbohydr. Polym. 2024, 330, 121801. [Google Scholar] [CrossRef] [PubMed]
- Chen, W.; Shu, Z.; Gao, D.; Shen, A.Q. Sensing and Sensibility: Single-Islet-based Quality Control Assay of Cryopreserved Pancreatic Islets with Functionalized Hydrogel Microcapsules. Adv. Healthc. Mater. 2016, 5, 223–231. [Google Scholar] [CrossRef] [PubMed]
- Bellich, B.; Borgogna, M.; Carnio, D.; Cesàro, A. Thermal behavior of water in micro-particles based on alginate gel. J. Therm. Anal. Calorim. 2009, 97, 871–878. [Google Scholar] [CrossRef]
- Zhao, G.; Liu, X.; Zhu, K.; He, X. Hydrogel Encapsulation Facilitates Rapid-Cooling Cryopreservation of Stem Cell-Laden Core-Shell Microcapsules as Cell-Biomaterial Constructs. Adv. Healthc. Mater. 2017, 6, 20170098. [Google Scholar] [CrossRef]
- Liu, Z.; Chen, X.; Guo, H. Preparation and properties of a novel sodium alginate microcapsule. J. Phys. Conf. Ser. 2021, 1893, 1–9. [Google Scholar] [CrossRef]
- Pasin, B.; Gonzalez, C.; Maestro, A. Microencapsulación con alginato en alimentos. Técnicas y aplicaciones. Rev. Venez. Cienc. Tecnol. Aliment. 2021, 3, 130–151. [Google Scholar]
- Rodrigues de Freitas, T.; Giannotti Galuppo, A.; Santos Marques, L.; Batista Rodrigues, R.; Perez Atehortúa, M.; Souza França, T.; Dos Santos Teixeira, N.; Valente Dos Santos, W.; Cossina Gomes, I.; Sachett, A.; et al. Hydrogel encapsulation as a handling and vitrification tool for zebrafish ovarian tissue. Theriogenology 2023, 198, 153–163. [Google Scholar] [CrossRef]
- Pegah, D.; Marzieh, H.N.; Rassoul, K.; Elnaz, M. Influence of prebiotic and coating materials on morphology and survival of a probiotic strain of Lactobacillus casei exposed to simulated gastrointestinal conditions. LWT 2016, 73, 162–167. [Google Scholar]
- Seid, M.; Himadri, T.B.; Aman, D.; Lopamudra, R. Optimization of the culture conditions for production of Polyhydroxyalkanoate and its characterization from a new Bacillus cereus sp. BNPI-92 strain, isolated from plastic waste dumping yard. Int. J. Biol. Macromol. 2020, 156, 1064–1080. [Google Scholar]
- Fan, Y.; Gao, Y.; Zhou, J.; Wei, L.; Chen, J.; Hua, Q. Process optimization with alternative carbon sources and modulation of secondary metabolism for enhanced ansamitocin P-3 production in Actinosynnema pretiosum. J. Biotechnol. 2014, 192, 1–10. [Google Scholar] [CrossRef] [PubMed]
- Meijiao, L.; Li, Z.Y.; Chen, Q.H.; Yang, X.B.; Chen, J.; Zhang, L.Y.; Zhong, S.Y.; Hong, P.Z.; Zhu, C.H.; Liu, S.C. Preparation and characterization of grouper bone peptides-calcium complex by lactic acid bacteria fermentation. LWT 2024, 201, 116224. [Google Scholar]
- Wang, L.; Wu, L.; Chen, Q.; Li, S.; Zhu, Y.; Wu, J.; Chu, J.; Wu, S. Development of sugarcane resource for efficient fermentation of exopolysaccharide by using a novel strain of Kosakonia cowanii LT-1. Bioresour. Technol. 2019, 280, 247–254. [Google Scholar] [CrossRef]
- Qin, Q.L.; Li, Y.; Sun, M.L.; Rong, J.C.; Liu, S.B.; Chen, X.L.; Su, H.N.; Zhou, B.C.; Xie, B.B.; Zhang, Y.Z.; et al. Comparative transcriptome analysis reveals that lactose acts as an inducer and provides proper carbon sources for enhancing exopolysaccharide yield in the deep-sea bacterium Zunongwangia profunda SM-A87. PLoS ONE 2015, 10, e0115998. [Google Scholar] [CrossRef]
- Ayivi, R.D.; Ibrahim, S.A.; Krastanov, A.; Somani, A.; Siddiqui, S.A. The impact of alternative nitrogen sources on the growth and viability of Lactobacillus delbrueckii ssp. bulgaricus. J. Dairy Sci. 2022, 105, 7986–7997. [Google Scholar] [CrossRef]
- Sun, Y.J.; Huang, H.; Liu, Z.G.; Xiong, T. Optimization of medium composition and culture conditions of Lactobacillus plantarum ncu137. J. Chin. Inst. Food Sci. Technol. 2022, 22, 223–233. [Google Scholar]
- Yang, S.C.; Lv, X.L.; Miu, Y. Study on optimization of ethanol fermentation medium by using response surface method. J. Anhui Agric. Sci. 2010, 38, 13296–13299. [Google Scholar]
- Wu, P.; Li, J.Z.; Wang, Y.L.; Liu, X.S.; Du, C.; Tong, Q.Y.; Li, N. Promoting the growth of Rubrivivax gelatinosus in sewage purification by the addition of magnesium ions. Biochem. Eng. J. 2014, 91, 66–71. [Google Scholar] [CrossRef]
- Gao, P.P.; Zhang, M.M.; Wu, F.; Ma, R.; Zhang, F.; Liu, H.Q.; Wang, N.; Guo, L.Q.; Lin, J.F. Impact of Stropharia rugosoannulata extract on Lactobacillus reuteri HBM11-69 growth, metabolism and mechanisms. LWT 2024, 201, 116175. [Google Scholar] [CrossRef]
- Hernández, A.; Larsson, C.U.; Sawicki, R.; van Niel, E.W.J.; Roos, S.; Håkansson, S. Impact of the fermentation parameters pH and temperature on stress resilience of Lactobacillus reuteri DSM 17938. AMB Express 2019, 9, 66. [Google Scholar] [CrossRef] [PubMed]
- Sun, S.Y.; Chen, Z.X.; Cheng, W.J. Combined influence of lactic acid bacteria starter and final pH on the induction of malolactic fermentation and quality of cherry wines. LWT 2018, 89, 449–456. [Google Scholar] [CrossRef]
- Na, R.H.; Sora, Y.; Jung, A.B.; Eun, J.Y.; Seongwon, C.; Seongbong, S.; Sangmin, S.; In-Geol, C.; Sung-Ho, L.; Kyoung, H. Evolution-aided improvement of the acid tolerance of Levilactobacillus brevis and its application in sourdough fermentation. Food Res. Int. 2024, 190, 114584. [Google Scholar]
- Ferrari Ida, S.; de Souza, J.V.; Ramos, C.L.; da Costa, M.M.; Schwan, R.F.; Dias, F.S. Selection of autochthonous lactic acid bacteria from goat dairies and their addition to evaluate the inhibition of Salmonella typhi in artisanal cheese. Food Microbiol. 2016, 60, 29–38. [Google Scholar] [CrossRef]
- Liu, P.X.; Chang, X.; Cheng, L.J.; Ding, Z.; Gong, Y.; Li, X.T.; Fan, G.S. Optimization of fermentation conditions for ethyl caproate production from Saccharomyces cerevisiae Y3401. J. Chin. Inst. Food Sci. Technol. 2022, 22, 178–189. [Google Scholar]
- Zotta, T.; Parente, E.; Ricciardi, A. Viability staining and detection of metabolic activity of sourdough lactic acid bacteria under stress conditions. World J. Microbiol. Biotechnol. 2009, 25, 1119–1124. [Google Scholar] [CrossRef]
- Adewara, O.A.; Ogunbanwo, S.T. Acid stress responses of Lactobacillus amylovorus and Candida kefyr isolated from fermented sorghum gruel and their application in food fermentation. Can. J. Microbiol. 2022, 68, 269–280. [Google Scholar] [CrossRef]
- Luo, X.; Li, M.; Zhang, H.; Yan, D.; Ji, S.; Wu, R.; Chen, Y. Comparative proteomic analysis of three Lactobacillus plantarum strains under salt stress by iTRAQ. J. Sci. Food Agric. 2021, 101, 3457–3471. [Google Scholar] [CrossRef]
- Wang, Y.; Yu, P.; Tu, Y.Q.; Wang, Y.H.; Sun, J.L.; Yi, H.X.; Han, X. Serine and threonine activate Ser/Thr kinase gene to increase the density of Lactobacillus bulgaricus sp1.1 under salt stress. LWT 2024, 209, 116755. [Google Scholar] [CrossRef]
- Wu, H.; Xue, E.; Zhi, N.; Song, Q.; Tian, K.; Caiyin, Q.; Yuan, L.; Qiao, J. D-Methionine and D-Phenylalanine Improve Lactococcus lactis F44 Acid Resistance and Nisin Yield by Governing Cell Wall Remodeling. Appl. Environ. Microbio 2020, l86, e02981-19. [Google Scholar] [CrossRef]
- Emf, M.; Afonso, M.R.; Maurilio, L.M.; Oliveira, P.M.; Paulo, C. Minimally processed fruit salad enriched with Lactobacillus acidophilus: Viability of anti-browning compounds in the preservation of color. Afr. J. Biotechnol. 2015, 14, 2022–2027. [Google Scholar]
- Rodriguez, A.; Soteras, M.; Campañone, L. Review: Effect of the combined application of edible coatings and osmotic dehydration on the performance of the process and the quality of pear cubes. Int. J. Food Sci. Technol. 2021, 56, 6474–6483. [Google Scholar] [CrossRef]
- Sarkar, S.; Das, D.; Dutta, P.; Kalita, J.; Wann, S.B.; Manna, P. Chitosan: A promising therapeutic agent and effective drug delivery system in managing diabetes mellitus. Carbohydr. Polym. 2020, 247, 116594. [Google Scholar] [CrossRef] [PubMed]
- Narmin, N.S.; Mohammad, A.K.; Saber, A.; Amin, M.K. Alginate and derivatives hydrogels in encapsulation of probiotic bacteria: An updated review. Food Biosci. 2023, 52, 102433. [Google Scholar]
- Nuaman, M.; Afzaal, M.; Saeed, F.; Ahmed, A.; Asghar, A.; Kamilah, H.; Hussain, S.; Ndagire, C. Survivability of probiotic under simulated gastrointestinal conditions as affected by synbiotic (alginate-arabinoxylan) encapsulation. Int. J. Food Prop. 2024, 27, 1021–1032. [Google Scholar] [CrossRef]





| Level | Factor | ||
|---|---|---|---|
| (A) Maltose Concentration/g·L−1 | (B) Total Nitrogen Content/g·L−1 | (C) MnSO4 Concentration/g·L−1 | |
| 1 | 35 | 28 | 0.08 |
| 0 | 30 | 25 | 0.06 |
| −1 | 25 | 22 | 0.04 |
| Run | Factor | |||
|---|---|---|---|---|
| (A) Maltose Concentration/g·L−1 | (B) Total Nitrogen Content/g·L−1 | (C) MnSO4 Concentration/g·L−1 | Response Viable Cell Counts (1 × 109 CFU/mL) | |
| 1 | 0 | −1 | −1 | 7.4 |
| 2 | 1 | 0 | 0 | 11.2 |
| 3 | 0 | 1 | 1 | 8.7 |
| 4 | −1 | −1 | −1 | 8.5 |
| 5 | −1 | 0 | 0 | 8.7 |
| 6 | 1 | 1 | 1 | 10.7 |
| 7 | 0 | 0 | 0 | 12.4 |
| 8 | 0 | 0 | 0 | 13.3 |
| 9 | −1 | 0 | 0 | 9.3 |
| 10 | 0 | 0 | 0 | 12.3 |
| 11 | 0 | 0 | 0 | 12.2 |
| 12 | 1 | −1 | 0 | 7.5 |
| 13 | −1 | 1 | 0 | 9.8 |
| 14 | 0 | 0 | 0 | 12.5 |
| 15 | 0 | 1 | 1 | 10.9 |
| 16 | 1 | 0 | −1 | 8.0 |
| 17 | 0 | −1 | 1 | 9.1 |
| Source | Sum of Squares | Mean Square | F-Value | p-Value | |
|---|---|---|---|---|---|
| Model | 5794.29 | 643.81 | 31.31 | <0.0001 | significant |
| A—Carbon source | 15.13 | 15.13 | 0.7355 | 0.4195 | |
| B—Nitrogen source | 722 | 722 | 35.11 | 0.0006 | ** |
| C-Mn | 528.13 | 528.13 | 25.68 | 0.0015 | ** |
| AB | 90.25 | 90.25 | 4.39 | 0.0744 | |
| AC | 361 | 361 | 17.55 | 0.0041 | ** |
| BC | 6.25 | 6.25 | 0.3039 | 0.5986 | |
| A2 | 1037.85 | 1037.85 | 50.47 | 0.0002 | ** |
| B2 | 1433.27 | 1433.27 | 69.7 | <0.0001 | ** |
| C2 | 1174.27 | 1174.27 | 57.1 | 0.0001 | ** |
| Residual | 143.95 | 20.56 | |||
| Lack of Fit | 66.75 | 22.25 | 1.15 | 0.4302 | not significant |
| Pure Error | 77.2 | 19.3 | |||
| Cor Total | 5938.24 |
Disclaimer/Publisher’s Note: The statements, opinions and data contained in all publications are solely those of the individual author(s) and contributor(s) and not of MDPI and/or the editor(s). MDPI and/or the editor(s) disclaim responsibility for any injury to people or property resulting from any ideas, methods, instructions or products referred to in the content. |
© 2024 by the authors. Licensee MDPI, Basel, Switzerland. This article is an open access article distributed under the terms and conditions of the Creative Commons Attribution (CC BY) license (https://creativecommons.org/licenses/by/4.0/).
Share and Cite
Sun, F.; Liu, S.; Che, X.; Wang, G.; Wang, X.; Li, Y.; Zhang, S.; Chen, H. High-Density Fermentation of Lactobacillus plantarum P6: Enhancing Cell Viability via Sodium Alginate Enrichment. Foods 2024, 13, 3407. https://doi.org/10.3390/foods13213407
Sun F, Liu S, Che X, Wang G, Wang X, Li Y, Zhang S, Chen H. High-Density Fermentation of Lactobacillus plantarum P6: Enhancing Cell Viability via Sodium Alginate Enrichment. Foods. 2024; 13(21):3407. https://doi.org/10.3390/foods13213407
Chicago/Turabian StyleSun, Feiyang, Siyi Liu, Xinying Che, Gang Wang, Xiufeng Wang, Yanli Li, Sitong Zhang, and Huan Chen. 2024. "High-Density Fermentation of Lactobacillus plantarum P6: Enhancing Cell Viability via Sodium Alginate Enrichment" Foods 13, no. 21: 3407. https://doi.org/10.3390/foods13213407
APA StyleSun, F., Liu, S., Che, X., Wang, G., Wang, X., Li, Y., Zhang, S., & Chen, H. (2024). High-Density Fermentation of Lactobacillus plantarum P6: Enhancing Cell Viability via Sodium Alginate Enrichment. Foods, 13(21), 3407. https://doi.org/10.3390/foods13213407

