Production of High-Quality Wheat Sprouts of Strong Antioxidant Capacity: Process Optimization and Regulation Mechanism of Red Light Treatment
Abstract
1. Introduction
2. Materials and Methods
2.1. Plant Materials and Cultivation Conditions
2.2. Optimal Design of Germination Conditions
2.3. Determination of Total Phenolic Content (TPC)
2.4. Determination of Physiological and Biochemical Indexes
2.5. Determination of Antioxidant Capacity
2.6. Determination of Antioxidant Enzyme Activity and Total Phenolic Synthetase Activity
2.7. Analysis of Relative Gene Expression Levels RNA Extraction and Quantitative Real-Time PCR Analysis
2.8. Statistical Analysis
3. Results
3.1. Optimum of Germination Conditions
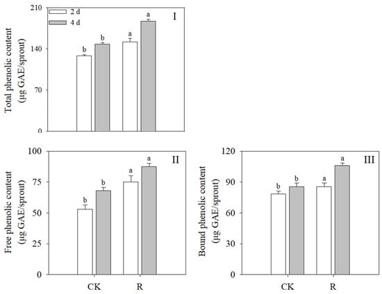
3.2. Effect of Red Light on TPC
3.3. Effects of Red Light on Physiological and Biochemical Indexes
3.4. Effects of Red Light on Antioxidant Capacity
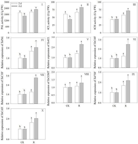
3.5. Effects of Red Light on Antioxidant Enzyme Activity and Gene Expression
3.6. Effects of Red Light on Key Enzyme Activity of Phenolic Synthesis and Gene Expression
4. Discussion
5. Conclusions
Supplementary Materials
Author Contributions
Funding
Data Availability Statement
Conflicts of Interest
References
- Boorboori, M.R. Investigating the role of silicon in reducing the risk of arsenic, cadmium, drought and salinity stresses in wheat (Triticum aestivum L.). J. Crop Sci. Biotechnol. 2023, 26, 387–404. [Google Scholar] [CrossRef]
- Dong, Y.; Wang, N.; Wang, S.; Wang, J.; Peng, W. A review: The nutrition components, active substances and flavonoid accumulation of Tartary buckwheat sprouts and innovative physical technology for seeds germinating. Front. Nutr. 2023, 10, 1168361. [Google Scholar] [CrossRef]
- Rawat, M.; Varshney, A.; Rai, M.; Chikara, A.; Pohty, A.L.; Joshi, A.; Gupta, A.K. A comprehensive review on nutraceutical potential of underutilized cereals and cereal-based products. J. Agric. Food Chem. 2023, 12, 100619. [Google Scholar] [CrossRef]
- Yadav, A.; Singh, S. Effect of exogenous phytohormone treatment on antioxidant activity, enzyme activity and phenolic content in wheat sprouts and identification of metabolites of control and treated samples by UHPLC-MS analysis. Food Res. Int. 2023, 169, 112811. [Google Scholar] [CrossRef]
- Chen, Z.; Wang, P.; Weng, Y.; Ma, Y.; Gu, Z.; Yang, R. Comparison of phenolic profiles, antioxidant capacity and relevant enzyme activity of different Chinese wheat varieties during germination. Food Biosci. 2017, 20, 159–167. [Google Scholar] [CrossRef]
- Lyu, C.; Zhang, X.; Huang, L.; Yuan, X.; Xue, C.; Chen, X. Widely targeted metabolomics analysis characterizes the phenolic compounds profiles in mung bean sprouts under sucrose treatment. Food Chem. 2022, 395, 133601. [Google Scholar] [CrossRef]
- Figueroa-Pérez, M.G.; Reynoso-Camacho, R.; Ramos-Gómez, M.; Mendoza-Sánchez, M.; Pérez-Ramírez, I.F. Impact of temperature and humidity conditions as abiotic stressors on the phytochemical fingerprint of oat (Avena sativa L.) sprouts. Food Chem. 2024, 439, 138173. [Google Scholar] [CrossRef]
- Goswami, A.; Mitra, A. Light spectra manipulation stimulates growth, specialized metabolites and nutritional quality in Anethum graveolens. J. Photochem. 2023, 249, 112812. [Google Scholar] [CrossRef]
- Zhao, T.; Nie, J.; Yan, X.; Xue, W. Identifying the critical LED light condition for optimum yield and flavonoid of pea sprouts. Sci. Hortic. 2024, 327, 112801. [Google Scholar] [CrossRef]
- Smirnov, A.A.; Semenova, N.A.; Dorokhov, A.S.; Proshkin, Y.A.; Godyaeva, M.M.; Vodeneev, V.; Sukhov, V.; Panchenko, V.; Chilingaryan, N.O. Influence of Pulsed, Scanning and Constant (16- and 24-h) Modes of LED Irradiation on the Physiological, Biochemical and Morphometric Parameters of Lettuce Plants (Lactuca sativa L.) while Cultivated in Vertical Farms. Agriculture 2022, 12, 1988. [Google Scholar] [CrossRef]
- Azad, M.O.K.; Kjaer, K.H.; Adnan, M.; Naznin, M.T.; Lim, J.D.; Sung, I.J.; Park, C.H.; Lim, Y.S. The Evaluation of Growth Performance, Photosynthetic Capacity, and Primary and Secondary Metabolite Content of Leaf Lettuce Grown under Limited Irradiation of Blue and Red LED Light in an Urban Plant Factory. Agriculture 2020, 10, 28. [Google Scholar] [CrossRef]
- Nazir, M.; Ullah, M.A.; Younas, M.; Siddiquah, A.; Shah, M.; Giglioli-Guivarc’h, N.; Abbasi, B.H. Light-mediated biosynthesis of phenylpropanoid metabolites and antioxidant potential in callus cultures of purple basil (Ocimum basilicum L. var purpurascens). Plant Cell Tiss. Org. 2020, 142, 107–120. [Google Scholar] [CrossRef]
- Ahmadi, T.; Shabani, L.; Sabzalian, M.R. LED light mediates phenolic accumulation and enhances antioxidant activity in Melissa officinalis L. under drought stress condition. Protoplasma 2020, 257, 1231–1242. [Google Scholar] [CrossRef]
- Weremczuk-Jeżyna, I.; Hnatuszko-Konka, K.; Lebelt, L.; Grzegorczyk-Karolak, I. The protective function and modification of secondary metabolite accumulation in response to light stress in Dracocephalum forrestii shoots. Int. J. Mol. Sci. 2021, 22, 7965. [Google Scholar] [CrossRef]
- Liu, H.; Chen, Y.; Hu, T.; Zhang, S.; Zhang, Y.; Zhao, T.; Kang, Y. The influence of light-emitting diodes on the phenolic compounds and antioxidant activities in pea sprouts. J. Funct. Foods 2016, 25, 459–465. [Google Scholar] [CrossRef]
- Benincasa, P.; Giacomo, T.; Michela, F.; Stefano, M.; Elisabetta, B.; Ombretta, M.; Beatrice, F.; Marcello, G. Phenolic Content and Antioxidant Activity of Einkorn and Emmer Sprouts and Wheatgrass Obtained under Different Radiation Wavelengths. Ann. Agr. Sci. 2020, 65, 68–76. [Google Scholar] [CrossRef]
- Watanabe, M.; Miyuki, I. Effect of Light on the Content of Phenolic Compounds in Buckwheat Seedlings. J. Jpn. Soc. Food Sci. 2003, 50, 32–34. [Google Scholar] [CrossRef]
- Ma, Y.; Wang, P.; Wang, M.; Sun, M.M.; Gu, Z.X.; Yang, R.Q. GABA mediates phenolic compounds accumulation and the antioxidant system enhancement in germinated hulless Barley under NaCl Stress. Food Chem. 2019, 270, 593–601. [Google Scholar] [CrossRef]
- Zhang, Z.; Li, Y.; Qiu, T.; Duan, C.; Chen, L.; Zhao, S.; Zhang, X.; Fang, L. Microplastics addition reduced the toxicity and uptake of cadmium to Brassica chinensis L. Sci. Total Environ. 2022, 852, 158353. [Google Scholar] [CrossRef]
- Mahdavian, K. Application of salicylic acid on chlorophyll, carotenoids, and proline in radish under salinity stress. Proc. Natl. Acad. Sci. India Sect. B Biol. Sci. 2023, 93, 809–818. [Google Scholar] [CrossRef]
- Li, C.X.; Wang, F.R.; Zhang, B.; Deng, Z.Y.; Li, H.Y. Stability and antioxidant activity of phenolic compounds during in vitro digestion. J. Food Sci. 2023, 88, 696–716. [Google Scholar] [CrossRef] [PubMed]
- Tang, B.; Xu, S.-Z.; Zou, X.-L.; Zheng, Y.-L.; Qiu, F.-Z. Changes of antioxidative enzymes and lipid peroxidation in leaves and roots of waterlogging-tolerant and waterlogging-sensitive maize genotypes at seedling stage. Agr. Sci. China 2010, 9, 651–661. [Google Scholar] [CrossRef]
- Yin, Y.; Tian, X.; Yang, J.; Yang, Z.; Tao, J.; Fang, W. Melatonin mediates isoflavone accumulation in germinated soybeans (Glycine max L.) under ultraviolet-B stress. Plant Physiol. Biochem. 2022, 175, 23–32. [Google Scholar] [CrossRef]
- Ma, M.; Wang, P.; Yang, R.; Zhou, T.; Gu, Z. UV-B mediates isoflavone accumulation and oxidative-antioxidant system responses in germinating soybean. Food Chem. 2019, 275, 628–636. [Google Scholar] [CrossRef] [PubMed]
- Bialecka-Florjanczyk, E.; Fabiszewska, A.; Zieniuk, B. Phenolic acids derivatives-biotechnological methods of synthesis and bioactivity. Curr. Pharm. Biotechnol. 2018, 19, 1098–1113. [Google Scholar] [CrossRef] [PubMed]
- Wang, M.; Leng, C.; Zhu, Y.; Wang, P.; Gu, Z.; Yang, R. UV-B treatment enhances phenolic acids accumulation and antioxidant capacity of barley seedlings. LWT-Food Sci. Technol. 2022, 153, 11245. [Google Scholar] [CrossRef]
- Gmižić, D.; Pinterić, M.; Lazarus, M.; Šola, I. High Growing Temperature Changes Nutritional Value of Broccoli (Brassica oleracea L. convar. Botrytis (L.) Alef. var. cymose Duch.) Seedlings. Foods 2023, 12, 582. [Google Scholar] [CrossRef]
- Islam, M.Z.; Park, B.J.; Jeong, S.Y.; Kang, S.W.; Shin, B.K.; Lee, Y.T. Assessment of biochemical compounds and antioxidant enzyme activity in barley and wheatgrass under water-deficit condition. J. Sci. Food Agric. 2022, 102, 1995–2002. [Google Scholar] [CrossRef] [PubMed]
- Kivimäenpä, M.; Mofikoya, A.; Abd El-Raheem, A.M.; Riikonen, J.; Julkunen-Tiitto, R.; Holopainen, J.K. Alteration in light spectra causes opposite responses in volatile phenylpropanoids and terpenoids compared with phenolic acids in sweet basil (Ocimum basilicum) leaves. J. Agric. Food Chem. 2022, 70, 12287–12296. [Google Scholar] [CrossRef]
- Taulavuori, K.; Hyoky, V.; Oksanen, J.; Taulavuori, E.; Julkunen-Tiitto, R. Species-specific differences in synthesis of flavonoids and phenolic acids under increasing periods of enhanced blue light. Environ. Exp. Bot. 2016, 121, 145–150. [Google Scholar] [CrossRef]
- Shin, J.; Yang, J.; Yang, J.Y. Germination of tartary buckwheat at various light strengths to enhance flavonoid content and scale-up of the process using smart-farm systems. J. Cereal Sci. 2023, 112, 103727. [Google Scholar] [CrossRef]
- Lan, H.; Wang, C.; Yang, Z.; Zhu, J.; Fang, W.; Yin, Y. The Impact of Lighting Treatments on the Biosynthesis of Phenolic Acids in Black Wheat Seedlings. Foods 2024, 13, 2499. [Google Scholar] [CrossRef]
- Siriparu, P.; Panyatip, P.; Pota, T. Effect of germination and illumination on melatonin and its metabolites, phenolic content, and antioxidant activity in mung bean sprouts. Plants 2022, 11, 2990. [Google Scholar] [CrossRef]
- Van, H.P.; Hoang, Y.N.; Lan, P.N. Nutritional composition, enzyme activities and bioactive compounds of mung bean (Vigna radiata L.) germinated under dark and light conditions. LWT-Food Sci. Technol. 2020, 133, 110100. [Google Scholar]
- Bartucca, M.L.; Guiducci, M.; Falcinelli, B.; Del Buono, D.; Benincasa, P. Blue and red LED light proportion affects vegetative parameters, pigment content, and oxidative status of einkorn (Triticum monococcum L. ssp. monococcum) wheat grass. J. Agric. Food Chem. 2020, 68, 8757–8763. [Google Scholar] [CrossRef]
- Wu, M.C.; Hou, C.Y.; Jiang, C.M.; Wang, Y.T.; Wang, C.Y.; Chen, H.H.; Chang, H.M. A novel approach of LED light radiation improves the antioxidant activity of pea seedlings. Food Chem. 2007, 101, 1753–1758. [Google Scholar] [CrossRef]
- Tuan, P.A.; Thwe, A.A.; Kim, Y.B.; Kim, J.K.; Kim, S.J.; Lee, S.; Chung, S.O.; Park, S.U. Effects of white, blue, and red light-emitting diodes on carotenoid biosynthetic gene expression levels and carotenoid accumulation in sprouts of tartary buckwheat (Fagopyrum tataricum Gaertn.). J. Agric. Food Chem. 2013, 61, 12356–12361. [Google Scholar] [CrossRef]
- Oh, H.E.; Yoon, A.; Park, Y.G. Red light enhances the antioxidant properties and growth of rubus hongnoensis. Plants 2021, 10, 2589. [Google Scholar] [CrossRef] [PubMed]
- Al Murad, M.; Razi, K.; Jeong, B.R.; Samy, P.M.A.; Muneer, S. Light Emitting Diodes (LEDs) as Agricultural Lighting: Impact and Its Potential on Improving Physiology, Flowering, and Secondary Metabolites of Crops. Sustainability 2021, 13, 1985. [Google Scholar] [CrossRef]
- Podsędek, A.; Frąszczak, B.; Sosnowska, D.; Kajszczak, D.; Szymczak, K.; Bonikowski, R. LED light quality affected bioactive compounds, antioxidant potential, and nutritional value of red and white cabbage microgreens. Appl. Sci. 2023, 13, 1521. [Google Scholar] [CrossRef]
- Lefsrud, M.G.; Kopsell, D.A.; Sams, C.E. Irradiance from distinct wavelength light-emitting diodes affect secondary metabolites in kale. HortScience 2008, 43, 2243–2244. [Google Scholar] [CrossRef]
- Tang, J.; Li, Y.; Liu, Z.; Wei, M.; Shi, Q.; Yang, F. Integrated transcriptomics and metabolomics analyses reveal the molecular mechanisms of red-light on carotenoids biosynthesis in tomato fruit. Food Qual. Saf. 2022, 6, fyac009. [Google Scholar] [CrossRef]
- Chen, Y.; Zhang, X.; Guo, Q.; Liu, L.; Li, C.; Cao, L.; Qin, Q.; Zhao, M.; Wang, W. Effects of UV-B Radiation on the Content of Bioactive Components and the Antioxidant Activity of Prunella vulgaris L. Spica during Development. Molecules 2018, 23, 989. [Google Scholar] [CrossRef] [PubMed]
- Liu, Y.; Fang, S.; Yang, W.; Shang, X.; Fu, X. Light quality affects flavonoid production and related gene expression in Cyclocarya paliurus. J. Photochem. Photobiol. B Biol. 2018, 179, 66–73. [Google Scholar] [CrossRef]






| Source | Sum of Squares | df | Mean Square | F-Value | p-Value |
|---|---|---|---|---|---|
| Model | 684.02 | 9 | 76.00 | 429.10 | <0.0001 |
| Illumination intensity | 6.37 | 1 | 6.37 | 35.98 | 0.0005 |
| Illumination time | 14.10 | 1 | 14.10 | 79.60 | <0.0001 |
| Illumination period | 10.95 | 1 | 10.95 | 61.83 | 0.0001 |
| 1.36 | 1 | 1.36 | 7.66 | 0.0278 | |
| 0.6006 | 1 | 0.6006 | 3.59 | 0.0999 | |
| 3.67 | 1 | 3.67 | 20.70 | 0.0026 | |
| 70.13 | 1 | 70.13 | 399.33 | <0.0001 | |
| 534.44 | 1 | 534.44 | 3017.34 | <0.0001 | |
| 7.52 | 1 | 7.52 | 42.45 | 0.0003 | |
| Residual | 1.24 | 7 | 0.1771 | ||
| Lack of fit | 1.03 | 3 | 0.3421 | 6.41 | 0.0522 |
| Pure error | 0.2134 | 4 | 0.0533 | ||
| Total | 685.26 | 16 | |||
| R2 = 0.9982 | Adjusted R2 = 0.9959 | Predicted R2 = 0.9755 | |||
| Coefficient of variation = 0.2377% | Adeq precision = 56.2997 | ||||
Disclaimer/Publisher’s Note: The statements, opinions and data contained in all publications are solely those of the individual author(s) and contributor(s) and not of MDPI and/or the editor(s). MDPI and/or the editor(s) disclaim responsibility for any injury to people or property resulting from any ideas, methods, instructions or products referred to in the content. |
© 2024 by the authors. Licensee MDPI, Basel, Switzerland. This article is an open access article distributed under the terms and conditions of the Creative Commons Attribution (CC BY) license (https://creativecommons.org/licenses/by/4.0/).
Share and Cite
Zhang, J.; Wang, C.; Fang, W.; Yang, R.; Yin, Y. Production of High-Quality Wheat Sprouts of Strong Antioxidant Capacity: Process Optimization and Regulation Mechanism of Red Light Treatment. Foods 2024, 13, 2703. https://doi.org/10.3390/foods13172703
Zhang J, Wang C, Fang W, Yang R, Yin Y. Production of High-Quality Wheat Sprouts of Strong Antioxidant Capacity: Process Optimization and Regulation Mechanism of Red Light Treatment. Foods. 2024; 13(17):2703. https://doi.org/10.3390/foods13172703
Chicago/Turabian StyleZhang, Jing, Chunping Wang, Weiming Fang, Runqiang Yang, and Yongqi Yin. 2024. "Production of High-Quality Wheat Sprouts of Strong Antioxidant Capacity: Process Optimization and Regulation Mechanism of Red Light Treatment" Foods 13, no. 17: 2703. https://doi.org/10.3390/foods13172703
APA StyleZhang, J., Wang, C., Fang, W., Yang, R., & Yin, Y. (2024). Production of High-Quality Wheat Sprouts of Strong Antioxidant Capacity: Process Optimization and Regulation Mechanism of Red Light Treatment. Foods, 13(17), 2703. https://doi.org/10.3390/foods13172703

