Recent Advances in the Distribution, Chemical Composition, Health Benefits, and Application of the Fruit of Siraitia grosvenorii
Abstract
1. Introduction
2. Botanical Characterization and Distribution
3. Chemical Composition
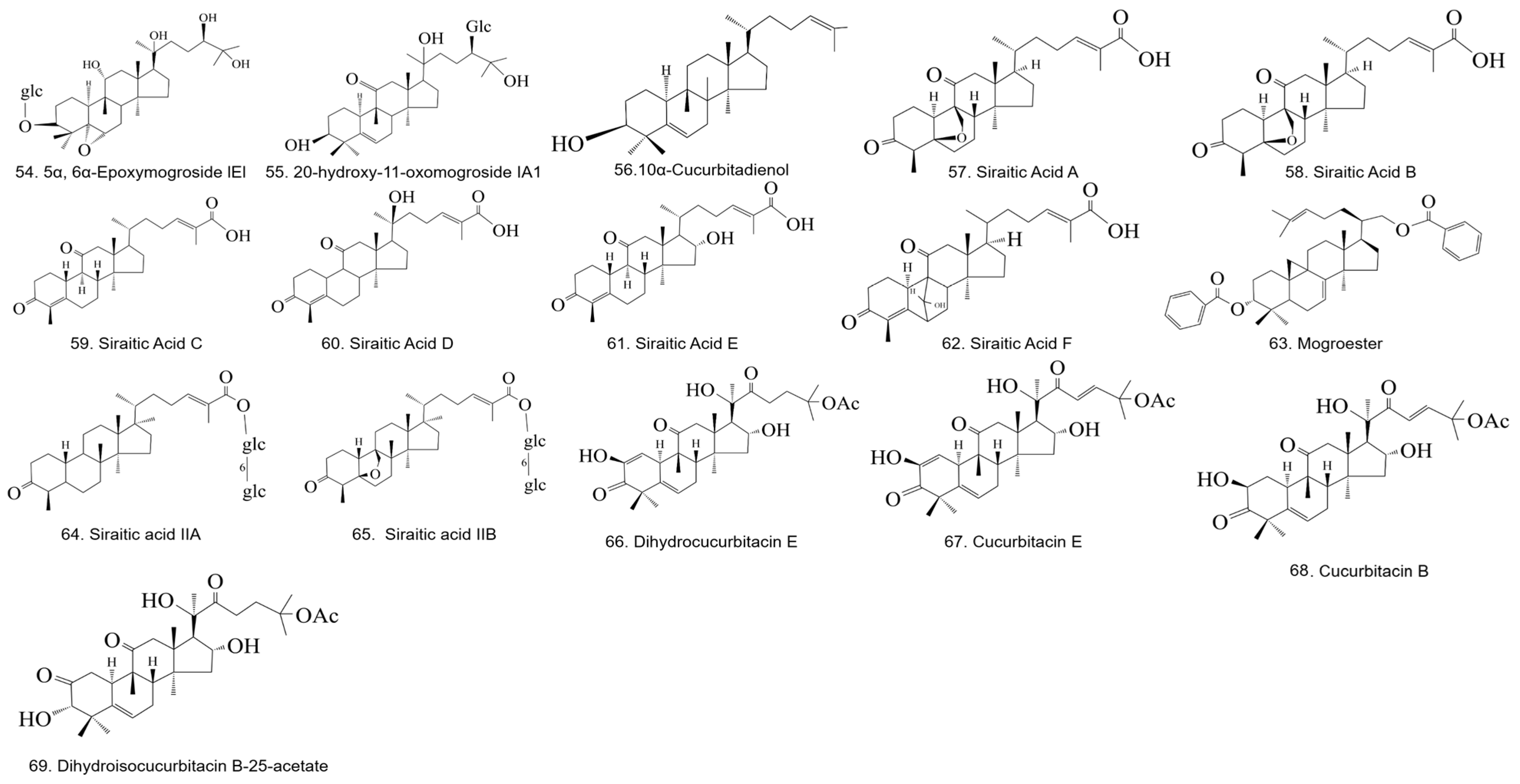
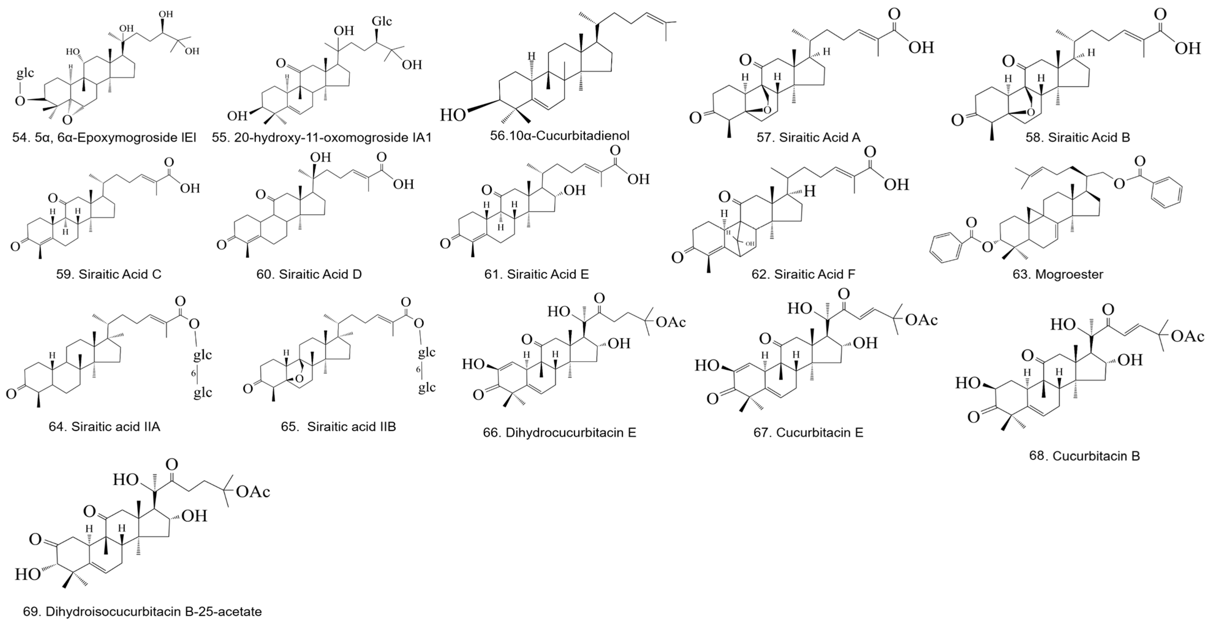
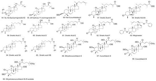
3.1. Terpenoids
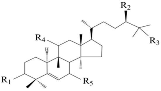
| No. | Compound Name | R1 | R2 | R3 | R4 | R5 | Pharmacological Activity | Ref. |
|---|---|---|---|---|---|---|---|---|
| 1 | Mogrol | β-OH | OH | OH | α-OH, H | H2 | Neuroprotective; inhibition of the production of inflammatory mediators; inhibition of adipocyte differentiation; inhibitory effects against the Epstein–Barr virus early antigen | [22,23,24,25,26] |
| 2 | Mogroside IA (Mogroside IA1) | β-OH | ![]() | OH | H2 | H2 | Inhibitory effects against the Epstein–Barr virus early antigen | [23,24,27] |
| 3 | Mogroside IE (Mogroside IE1) | ![]() | OH | OH | α-OH, H | H2 | Inhibitory effects against the Epstein–Barr virus early antigen | [23,24,28] |
| 4 | Mogroside IIA1 | β-OH | ![]() | OH | α-OH, H | H2 | Inhibitory effects against the Epstein–Barr virus early antigen | [27,29] |
| 5 | Mogroside IIA2 | ![]() | OH | OH | α-OH, H | H2 | - | [30] |
| 6 | Mogroside IIE | ![]() | ![]() | OH | α-OH, H | H2 | Inhibitory effects against the Epstein–Barr virus early antigen | [23,24,28,31,32,33] |
| 7 | Mogroside IIB | ![]() | OH | ![]() | α-OH, H | H2 | Inhibitory effects against the Epstein–Barr virus early antigen | [29] |
| 8 | Mogroside III | ![]() | ![]() | OH | α-OH, H | H2 | Inhibitory effects against the Epstein–Barr virus early antigen | [24,28,30,31,32,33] |
| 9 | Mogroside IIIA1 | β-OH | ![]() | OH | α-OH, H | H3 | - | [27,30] |
| 10 | Mogroside IIIA2 | ![]() | ![]() | OH | α-OH, H | H2 | Inhibitory effects against the Epstein–Barr virus early antigen | [29] |
| 11 | Mogroside IIIE | ![]() | ![]() | OH | α-OH, H | H2 | - | [23,28,30] |
| 12 | Mogroside IVA | ![]() | ![]() | OH | α-OH, H | H2 | Inhibitory effects against the Epstein–Barr virus early antigen | [24,30,32] |
| 13 | Mogroside IVE | ![]() | ![]() | OH | α-OH, H | H2 | Inhibitory effects against the Epstein–Barr virus early antigen | [23,24,30] |
| 14 | Mogroside V | ![]() | ![]() | OH | α-OH, H | H2 | Inhibitory effects against the Epstein–Barr virus early antigen | [23,24,27,28,30,31,32,33,34,35] |
| 15 | Mogroside VA1 | ![]() | ![]() | OH | α-OH, H | H2 | - | [34] |
| 16 | Mogroside VIA | ![]() | ![]() | OH | α-OH, H | H2 | - | [30,36] |
| 17 | Mogroside VIB | ![]() | ![]() | OH | α-OH, H | H2 | - | [36] |
| 18 | Siamenoside I | ![]() | ![]() | OH | α-OH, H | H2 | Inhibitory effects against the Epstein–Barr virus early antigen | [24,28,30] |
| 19 | Neomogroside | ![]() | ![]() | OH | α-OH, H | H2 | - | [28] |
| 20 | Grosmomoside I | ![]() | ![]() | OH | α-OH, H | H2 | - | [31] |
| 21 | Isomogroside V | ![]() | ![]() | OH | α-OH, H | H2 | - | [30,35] |
| 22 | Isomogroside IVa | ![]() | ![]() | OH | α-OH, H | H2 | - | [30] |
| 23 | Isomogroside IVe | ![]() | ![]() | OH | α-OH, H | H2 | - | [30] |
| 24 | 11-Oxomogrol | β-OH | OH | OH | ![]() | H2 | Inhibitory effects against the Epstein–Barr virus early antigen | [24] |
| 25 | 11-Oxomogroside IA1 (11-Oxomogroside A1) | β-OH | ![]() | OH | ![]() | H2 | Inhibitory effects against the Epstein–Barr virus early antigen | [24,28,32,33] |
| 26 | 11-Oxomogroside IE1 | ![]() | OH | OH | ![]() | H2 | Inhibitory effects against the Epstein–Barr virus early antigen | [24] |
| 27 | 11-Oxomogroside IIA1 | β-OH | ![]() | OH | ![]() | H2 | Inhibitory effects against the Epstein–Barr virus early antigen | [29] |
| 28 | 11-Oxomogroside IIE | ![]() | ![]() | OH | ![]() | H2 | - | [32,33] |
| 29 | 11-Oxomogroside III | ![]() | ![]() | OH | ![]() | H2 | - | [33] |
| 30 | 11-Oxomogroside III A1 | β-OH | ![]() | OH | ![]() | H2 | - | [37] |
| 31 | 7β-Methoxy-mogroside V | ![]() | ![]() | OH | ![]() | H,OMe | - | [37] |
| 32 | 11-Oxomogroside IIIE | ![]() | ![]() | OH | ![]() | H2 | - | [36] |
| 33 | 11-Oxomogroside IVA | ![]() | ![]() | OH | ![]() | H2 | Inhibitory effects against the Epstein–Barr virus early antigen | [29] |
| 34 | 11-Oxomogroside IV | ![]() | ![]() | OH | ![]() | H2 | - | [33,36] |
| 35 | 11-Oxomogroside V | ![]() | ![]() | OH | ![]() | H2 | Inhibitory effects against the Epstein–Barr virus early antigen | [24,28,30] |
| 36 | 11-Oxoisomogroside V | ![]() | ![]() | OH | ![]() | H2 | - | [36] |
| 37 | 11-Oxomogroside VI | ![]() | ![]() | OH | ![]() | H2 | - | [30] |
| 38 | 11-Oxosiamenoside I | ![]() | ![]() | OH | ![]() | H2 | - | [30] |
| 39 | 7-Oxomogroside IIE | ![]() | ![]() | OH | α-OH, H | ![]() | Inhibitory effects against the Epstein–Barr virus early antigen | [29] |
| 40 | 7-Oxomogroside V | ![]() | ![]() | OH | α-OH, H | ![]() | Inhibitory effects against the Epstein–Barr virus early antigen | [29] |
| 41 | 7-Oxomogroside IIIE | ![]() | ![]() | OH | α-OH, H | ![]() | - | [36] |
| 42 | 7-Oxomogroside IV | ![]() | ![]() | OH | α-OH, H | ![]() | - | [36] |
| 43 | 11-Deoxymogroside III (11-Dehydroxymogroside III) | ![]() | ![]() | OH | H2 | H2 | Inhibitory effects against the Epstein–Barr virus early antigen | [29,33] |
| 44 | 11-Epi-mogroside V | ![]() | ![]() | OH | β-OH,H | H2 | - | [30] |
| 45 | 25-Methoxy-11-oxomogrol | β-OH | OH | OMe | ![]() | H2 | - | [25] |
| 46 | 25-Methoxymogrol | β-OH | OH | OMe | β-OH,H | H2 | - | [25] |
| 47 | 25-Dehydroxy-24-oxomogrol | β-OH | ![]() | H | β-OH,H | H2 | - | [25] |
| 48 | 3-Hydroxy-25-dehydroxy-24-oxomogrol | α-OH | ![]() | H | β-OH,H | H2 | AMPK activators | [25] |
| 49 | 3α-Hydroxymogrol | α-OH | OH | OH | α-OH,H | H2 | AMPK activators | [25] |
| 50 | Bryogenin | β-OH | ![]() | H | ![]() | H2 | - | [25] |
| 51 | 11-Deoxymogroside V | ![]() | ![]() | OH | H2 | H2 | - | [30,35] |
| 52 | 11-Deoxyisomogroside V | ![]() | ![]() | OH | H2 | H2 | - | [35] |
| 53 | 11-Deoxymogroside VI | ![]() | ![]() | OH | H2 | H2 | - | [35] |
3.2. Flavonoids
3.3. Polysaccharides
3.4. Amino Acids and Proteins
3.5. Grease
3.6. Other
4. Health Benefits
4.1. Metabolic Regulation
Lower Blood Glucose Aids in the Treatment of Diabetes Mellitus
4.2. Immunity
4.2.1. Antioxidant Effects
4.2.2. Anti-Inflammatory
4.2.3. Antimicrobial Effects
4.3. Respiratory System
4.3.1. Transformation of Phlegm and Suppression of Coughing
4.3.2. Prevention of Pulmonary Fibrosis
4.4. Antitumor Effect
4.5. Other Effects
4.5.1. Mental System Regulation
4.5.2. Fatigue Reduction
4.5.3. Hepatoprotective Effects
4.5.4. Constipation
| NO. | Ingredients | Pharmacological Activities | Health Benefits | Ref. |
|---|---|---|---|---|
| 1 | Mogroside | Hypoglycemic and blood-regulating effects | Aids in the treatment of diabetes mellitus | [91] |
| 2 | Mogroside (Mogroside V) | Reducing oxidative stress damage | Reducing gestational diabetes | [92,93] |
| 3 | Mogroside | Functions of regulating blood lipids and reducing body weight | Aids in the treatment of obesity | [94,95] |
| 4 | S. grosvenorii extracts | Enhancing the tissue utilization of glucose | Aids in the treatment of obesity | [25] |
| 5 | Mogrosides and water extracts of S. grosvenorii | Increased glutathione peroxidase and superoxide dismutase (sod) activity, and lowering malondialdehyde level | Antioxidation | [98] |
| 6 | S. grosvenorii extracts | Reduces the expression of cytochrome C oxidase 7A2 protein | Antioxidation | [99] |
| 7 | Mogroside | Alleviates an oxidative-stress-induced decline in PC12 neuronal cell viability | Enhances the antioxidative capacity of PC12 neuronal cells | [100] |
| 8 | S. grosvenorii polysaccharides P-1 and P-2 | Excellent scavenging effects on various free radicals | Antioxidation | [69] |
| 9 | Mogroside | Protein levels of inducible nitric oxide synthase and cyclooxygenase-2 | Minimizing tissue damage caused by inflammation | [104] |
| 10 | Mogroside V | Inhibits inflammation protein expression | Exerts anti-inflammatory effects | [105,106] |
| 11 | Mogroside IIE | Regulating pathway | Treatment of acute pancreatitis | [107] |
| 12 | S. grosvenorii extracts | Can inhibit bacteria and fungi | Antibacterial | [108,109] |
| 13 | S. grosvenorii and Mogroside V | Reduces a cough | Treating a cough | [110] |
| 14 | Mogroside V | Eases tracheal spasms | Treating a cough | [111,113] |
| 15 | Water extracts of S. grosvenorii | Improves the swallow | Treating a cough | [112] |
| 16 | Flavonoids in S. grosvenorii | Alleviates inflammation and relieves a cough and throat discomfort | Treatment of the respiratory system | [114,115] |
| 17 | Polysaccharides in S. grosvenorii | Immune regulation and antiviral effect | Works against respiratory infections and relieves a cough | [116,117] |
| 18 | S. grosvenorii extracts (especially Mogroside) | Relieves pulmonary fibrosis | Prevention of pulmonary fibrosis | [118,119] |
| 19 | Mogroside IIIE | Inhibition of pulmonary inflammation and extracellular matrix deposition | Prevention of pulmonary fibrosis | [120] |
| 20 | Mogroside IVE | Inhibiting the Toll-like receptor 4 signaling pathway and hypoxia-inducible factor-1α | Prevention of pulmonary fibrosis | [121] |
| 21 | Mogrosides | Antitumor | Adjuvant treatment of cancer | [122,123,125,126] |
| 22 | S. grosvenorii alcohol | Inhibition of cancer cells | Adjuvant treatment of cancer | [124] |
| 23 | Mogroside V and its metabolite, 11-oxo-mogroside V | Inhibition of neuronal injury | Neuroprotection | [127,128] |
| 24 | S. grosvenorii extracts | Concentrations of liver glycogen and muscle glycogen and the level of testosterone were increased | Alleviate fatigue | [129,130] |
| 25 | Mogrosides | Anti-liver fibrosis and protection of liver injury | Hepatoprotective effects | [121,132,133] |
| 26 | S. grosvenorii extracts and Mogrosides | Enhanced bowel movement | Ease constipation | [11,135,136,137] |
5. Application in Medicine, Nutrition, and Food
5.1. Application in Medicine
5.2. Application in Nutrition
5.3. Application in Food
6. Toxicology
7. Conclusions and Future Perspectives
Author Contributions
Funding
Institutional Review Board Statement
Informed Consent Statement
Data Availability Statement
Conflicts of Interest
References
- Jeffrey, C. A review of the Cucurbitaceae. Bot. J. Linn. Soc. 1980, 81, 233–247. [Google Scholar] [CrossRef]
- Kinghora, A.D.; Soejarto, D.D.; Inglett, G.E. Sweetening agents of plant origin*. Crit. Rev. Plant Sci. 1986, 4, 79–120. [Google Scholar] [CrossRef]
- National Geographical Indications of Agricultural Products of the People’s Republic of China. Ministry of Agriculture and Rural Affairs of the People’s Republic of China (MOA). AGI02422. 2018. Available online: http://www.greenfood.agri.cn/xxcx/dlbzcx/ (accessed on 17 June 2024).
- Li, Y.; Bu, C.; Wang, P. Spatial pattern of agro-product geographical indications in China. J. Nat. Resour. 2021, 36, 827. [Google Scholar] [CrossRef]
- Wu, J.; Jian, Y.; Wang, H.; Huang, H.; Gong, L.; Liu, G.; Yang, Y.; Wang, W. A Review of the Phytochemistry and Pharmacology of the Fruit of Siraitia grosvenorii (Swingle): A Traditional Chinese Medicinal Food. Molecules 2022, 27, 6618. [Google Scholar] [CrossRef] [PubMed]
- Abdel-Hamid, M.; Romeih, E.; Huang, Z.; Enomoto, T.; Huang, L.; Li, L. Bioactive properties of probiotic set-yogurt supplemented with Siraitia grosvenorii fruit extract. Food Chem. 2020, 303, 125400. [Google Scholar] [CrossRef] [PubMed]
- Zhu, Y.M.; Pan, L.C.; Zhang, L.J.; Yin, Y.; Zhu, Z.Y.; Sun, H.Q.; Liu, C.Y. Chemical structure and antioxidant activity of a polysaccharide from Siraitia grosvenorii. Int. J. Biol. Macromol. 2020, 165 Pt B, 1900–1910. [Google Scholar] [CrossRef]
- Liu, H.; Wang, C.; Qi, X.; Zou, J.; Sun, Z. Antiglycation and antioxidant activities of mogroside extract from Siraitia grosvenorii (Swingle) fruits. J. Food Sci. Technol. 2018, 55, 1880–1888. [Google Scholar] [CrossRef] [PubMed]
- Siraitia Grosvenorii Swingle (Luo Han Guo) Fruit Juice Concentrate. U.S. Food and Drug Administration (FDA). GRN No. 784. 2018. Available online: https://www.fda.gov/media/109982/download (accessed on 17 June 2024).
- Intense Sweeteners, Monk Fruit Extract. Food Standards Australia New Zealand (FSANZ). Available online: https://www.foodstandards.gov.au/consumer/additives/Sweeteners (accessed on 17 June 2024).
- Yao, C.; Wang, Y.; Fan, X.; Jia, E. Study on the laxative and anti-inflammatory effects of Mogroside V. Pharm. J. Chin. People’s Lib. Army 2011, 27, 202–204. [Google Scholar]
- Li, D.; Zhang, H. Research and application of Luo Han Guo, a speciality plant of Guangxi, China. Guihaia 2000, 3, 269–275. [Google Scholar]
- JianCheng, T.; SiEn, Z. Research and progress on the medicinal functions of Luo Han Guo. China Contin. Med. Educ. 2019, 11, 147–149. [Google Scholar] [CrossRef]
- Jeffrey, A.L.C. Siraitia Merrill, Pap. Michigan Acad. Sci. 19: 200. 1934. In Flora of China; Science Press: Beijing, China; Missouri Botanical Garden Press: St. Louis, MO, USA, 2011; Available online: http://flora.huh.harvard.edu/china/pdf/pdf19/siraitia.pdf (accessed on 17 June 2024).
- Commission, C.P. Chinese Pharmacopeia; China Medical Science Press: Beijing, China, 2020; Available online: https://ydz.chp.org.cn/#/item?bookId=1&entryId=328 (accessed on 17 June 2024).
- Swingle, W.T. Momordica grosvenori sp. nov. the source of the Chinese Lo Han Kuo. J. Arnold Arbor. 1941, 22, 197–203. [Google Scholar] [CrossRef]
- Shivani; Thakur, B.K.; Mallikarjun, C.P.; Mahajan, M.; Kapoor, P.; Malhotra, J.; Dhiman, R.; Kumar, D.; Pal, P.K.; Kumar, S. Introduction, adaptation and characterization of monk fruit (Siraitia grosvenorii): A non-caloric new natural sweetener. Sci. Rep. 2021, 11, 6205. [Google Scholar] [CrossRef] [PubMed]
- Peng, B.; Wei, Z.; Mao, Z.; Jiang, G.; Xie, L.; Zheng, D. Selection and breeding of aerospace mutant Luo Han Guo variety Longjiang 1 and practical cultivation technology. Chin. Seed Ind. 2023, 6, 127–130. [Google Scholar] [CrossRef]
- Gong, X.; Chen, N.; Ren, K.; Jia, J.; Wei, K.; Zhang, L.; Lv, Y.; Wang, J.; Li, M. The Fruits of Siraitia grosvenorii: A Review of a Chinese Food-Medicine. Front. Pharmacol. 2019, 10, 1400. [Google Scholar] [CrossRef]
- Li, C.; Lin, L.M.; Sui, F.; Wang, Z.M.; Huo, H.R.; Dai, L.; Jiang, T.L. Chemistry and pharmacology of Siraitia grosvenorii: A review. Chin. J. Nat. Med. 2014, 12, 89–102. [Google Scholar] [CrossRef]
- Lee, C.-H. Intense sweetener from Lo Han Kuo (Momordica grosvenori). Experientia 1975, 31, 533–534. [Google Scholar] [CrossRef]
- Wang, H.e.a. Mogrol Attenuates Lipopolysaccharide (LPS)-Induced Memory Impairment and Neuroinflammatory Responses in Mice. J. Asian Nat. Prod. Res. 2020, 22, 864–878. [Google Scholar] [CrossRef]
- Tanaka, C.; Harada, N.; Teraoka, Y.; Urushizaki, H.; Shinmori, Y.; Onishi, T.; Yotsumoto, Y.; Ito, Y.; Kitakaze, T.; Inui, T.; et al. Mogrol stimulates G-protein-coupled bile acid receptor 1 (GPBAR1/TGR5) and insulin secretion from pancreatic β-cells and alleviates hyperglycemia in mice. Sci. Rep. 2024, 14, 3244. [Google Scholar] [CrossRef] [PubMed]
- Ukiya, M.; Akihisa, T.; Tokuda, H.; Toriumi, M.; Mukainaka, T.; Banno, N.; Kimura, Y.; Hasegawa, J.-I.; Nishino, H. Inhibitory Effects of Cucurbitane Glycosides and Other Triterpenoids from the Fruit of Momordica grosvenori on Epstein−Barr Virus Early Antigen Induced by Tumor Promoter 12-O-Tetradecanoylphorbol-13-acetate. J. Agric. Food Chem. 2002, 50, 6710–6715. [Google Scholar] [CrossRef] [PubMed]
- Chen, X.-B.; Zhuang, J.-J.; Liu, J.-H.; Lei, M.; Ma, L.; Chen, J.; Shen, X.; Hu, L.-H. Potential AMPK activators of cucurbitane triterpenoids from Siraitia grosvenorii Swingle. Bioorg. Med. Chem. 2011, 19, 5776–5781. [Google Scholar] [CrossRef]
- Cheng, R.; Wang, J.; Xie, H.; Li, R.; Shimizu, K.; Zhang, C. Mogrol, an aglycone of mogrosides, attenuates ulcerative colitis by promoting AMPK activation. Phytomedicine 2021, 81, 153427. [Google Scholar] [CrossRef]
- Zhang, Y.; Peng, Y.; Zhou, G.; Li, X. The pharmacokinetic profiles of mogrosides in T2DM rats. J. Ethnopharmacol. 2022, 282, 114639. [Google Scholar] [CrossRef] [PubMed]
- Chen, J.C.; Chiu, M.H.; Nie, R.L.; Cordell, G.A.; Qiu, S.X. Cucurbitacins and cucurbitane glycosides: Structures and biological activities. Nat. Prod. Rep. 2005, 22, 386–399. [Google Scholar] [CrossRef] [PubMed]
- Akihisa, T.; Hayakawa, Y.; Tokuda, H.; Banno, N.; Shimizu, N.; Suzuki, T.; Kimura, Y. Cucurbitane glycosides from the fruits of Siraitia grosvenorii and their inhibitory effects on Epstein-Barr virus activation. J. Nat. Prod. 2007, 70, 783–788. [Google Scholar] [CrossRef] [PubMed]
- Li, F.; Yang, F.; Liu, X.; Wang, L.; Chen, B.; Li, L.; Wang, M. Cucurbitane glycosides from the fruit of Siraitia grosvenori and their effects on glucose uptake in human HepG2 cells in vitro. Food Chem. 2017, 228, 567–573. [Google Scholar] [CrossRef] [PubMed]
- Yang, X.; Zhang, J.; Qian, Z.M. Grosmomoside I, a new cucurbitane triterpenoid glycoside from fruits of Momordica grosvenori. Chin. Tradit. Herb. Drugs 2005, 36, 1285–1290. [Google Scholar]
- Li, D.; Ikeda, T.; Matsuoka, N.; Nohara, T.; Zhang, H.; Sakamoto, T.; Nonaka, G. Cucurbitane glycosides from unripe fruits of Lo Han Kuo (Siraitia grosvenori). Chem. Pharm. Bull. 2006, 54, 1425–1428. [Google Scholar] [CrossRef] [PubMed]
- Li, D.; Ikeda, T.; Nohara, T.; Liu, J.; Wen, Y.; Sakamoto, T.; Nonaka, G.-I. Cucurbitane Glycosides from Unripe Fruits of Siraitia grosvenori. Chem. Pharm. Bull. 2007, 55, 1082–1086. [Google Scholar] [CrossRef]
- Chaturvedula, V.S.P.; Meneni, S.R. A New Cucurbitane Glycoside from Siraitia grosvenorii. Nat. Prod. Commun. 2015, 10, 1521–1523. [Google Scholar] [CrossRef]
- Prakash, I.; Chaturvedula, V.S.P. Additional new minor cucurbitane glycosides from Siraitia grosvenorii. Molecules 2014, 19, 3669–3680. [Google Scholar] [CrossRef]
- Niu, B.; Ke, C.Q.; Li, B.H.; Li, Y.; Yi, Y.; Luo, Y.; Shuai, L.; Yao, S.; Lin, L.G.; Li, J.; et al. Cucurbitane Glucosides from the Crude Extract of Siraitia grosvenorii with Moderate Effects on PGC-1α Promoter Activity. J. Nat. Prod. 2017, 80, 1428–1435. [Google Scholar] [CrossRef] [PubMed]
- Chu, D.; Yaseen, A.; Wang, L.; Chen, B.; Wang, M.; Hu, W.; Li, F. Two New Cucurbitane Glycosides from the Fruits of Siraitia grosvenori. Chem. Pharm. Bull. 2019, 67, 721–724. [Google Scholar] [CrossRef] [PubMed]
- F, B.D.; Elizabeth, J. Flavonoids. Adv. Nutr. 2013, 4, 576–577. [Google Scholar] [CrossRef]
- Raffa, D.; Maggio, B.; Raimondi, M.V.; Plescia, F.; Daidone, G. Recent discoveries of anticancer flavonoids. Eur. J. Med. Chem. 2017, 142, 213–228. [Google Scholar] [CrossRef] [PubMed]
- Abotaleb, M.; Samuel, S.M.; Varghese, E.; Varghese, S.; Kubatka, P.; Liskova, A.; Büsselberg, D. Flavonoids in cancer and apoptosis. Cancers 2018, 11, 28. [Google Scholar] [CrossRef]
- Maleki, S.J.; Crespo, J.F.; Cabanillas, B. Anti-inflammatory effects of flavonoids. Food Chem. 2019, 299, 125124. [Google Scholar] [CrossRef]
- Kopustinskiene, D.M.; Jakstas, V.; Savickas, A.; Bernatoniene, J. Flavonoids as anticancer agents. Nutrients 2020, 12, 457. [Google Scholar] [CrossRef]
- Badshah, S.L.; Faisal, S.; Muhammad, A.; Poulson, B.G.; Emwas, A.H.; Jaremko, M. Antiviral activities of flavonoids. Biomed. Pharmacother. 2021, 140, 111596. [Google Scholar] [CrossRef]
- Panche, A.N.; Diwan, A.D.; Chandra, S.R. Flavonoids: An overview. J. Nutr. Sci. 2016, 5, e47. [Google Scholar] [CrossRef]
- Shao, P.; Zhuang, H.; Jian, S.; Chen, S. Progress on the extraction, purification and bioactivity of flavonoids from Luo Han Guo. Food Mach. 2019, 12, 221–225. [Google Scholar] [CrossRef]
- Wang, Q. Progress of chemical composition and pharmacological effects of Luo Han Guo. Chin. Herb. Med. 2001, 24, 215–217. [Google Scholar]
- Liao, R.; Li, J.; Huang, X.; Huang, Y.; He, X.; Su, X. Studies on the chemical composition of Luo Han Guo. Xibei Zhiwu Xuebao 2008, 28, 1250–1254. [Google Scholar]
- Xiuwei, Y.; Jianye, Z.; Zhongming, Q. New natural saponins from Luo Han Guo. Zhōngcăoyào 2008, 39, 810–814. [Google Scholar] [CrossRef]
- Chen, Q.; Yang, R.; Yi, X.; Yu, L. Determination of total flavonoids in fresh fruit and sweet glycosides of Luo Han Guo by RP-HPLC method. Shípĭn Kēxué 2003, 24, 133–135. [Google Scholar] [CrossRef]
- Chen, Q.; Su, X.; Shen, Z. Study on the antioxidant capacity of flavonoids in monk fruit leaves. Food Res. Dev. 2006, 27, 189–191. [Google Scholar] [CrossRef]
- Lan, Q.; Jin, C.; Mo, Y. Antioxidant and antibacterial ability of crude root extract of monk fruit. North Hortic. 2018, 10, 144–149. [Google Scholar]
- Rao, R. Comparative Study on the Quality Analysis and Pharmacodynamics of Fruit and Stem and Leaf Extracts of Monk Fruit. Master’s Thesis, Hubei University of Chinese Medicine, Wuhan, China, 2012. [Google Scholar]
- Li, H.; Xu, X.; Li, X.; Zhang, W.; Shao, S. Effects of total flavonoids of monk fruit on antioxidant capacity and inflammatory response in chronic sleep-deprived mice. J. Anim. Nutr. 2023, 35, 4668–4677. [Google Scholar] [CrossRef]
- Chen, M. Experimental Study on the Protective Effect of Flavonoids of Monk Fruit Leaves on Antioxidant Damage of Certain Tissues in Exhausted Rats. Guangxi Normal University, Guilin, China, 2008.
- Wang, C.; Hu, S. Protective effect and mechanism of total flavonoids in monk fruit leaf on endothelial cell damage caused by metal ions. J. Yangtze Univ. Nat. Sci. Ed. Med. 2012, 9, 1–2. [Google Scholar] [CrossRef]
- Wang, M.; Xing, S.; Luu, T.; Fan, M.; Li, X. The Gastrointestinal Tract Metabolism and Pharmacological Activities of Grosvenorine, a Major and Characteristic Flavonoid in the Fruits of Siraitia grosvenorii. Chem. Biodivers. 2015, 12, 1652–1664. [Google Scholar] [CrossRef]
- Murphy, E.J.; Fehrenbach, G.W.; Abidin, I.Z.; Buckley, C.; Montgomery, T.; Pogue, R.; Murray, P.; Major, I.; Rezoagli, E. Polysaccharides—Naturally Occurring Immune Modulators. Polymers 2023, 15, 2373. [Google Scholar] [CrossRef]
- Liu, J.; Bai, R.; Liu, Y.; Zhang, X.; Kan, J.; Jin, C. Isolation, structural characterization and bioactivities of naturally occurring polysaccharide–polyphenolic conjugates from medicinal plants—A reivew. Int. J. Biol. Macromol. 2018, 107, 2242–2250. [Google Scholar] [CrossRef]
- Liu, Z.-H.; Niu, F.-J.; Xie, Y.-X.; Xie, S.-M.; Liu, Y.-N.; Yang, Y.-Y.; Zhou, C.-Z.; Wan, X.-H. A review: Natural polysaccharides from medicinal plants and microorganisms and their anti-herpetic mechanism. Biomed. Pharmacother. 2020, 129, 110469. [Google Scholar] [CrossRef] [PubMed]
- Guo, Y.; Chen, X.; Gong, P.; Wang, M.; Yao, W.; Yang, W.; Chen, F. Effects of simulated saliva-gastrointestinal digestion on the physicochemical properties and bioactivities of Siraitia grosvenorii polysaccharides. Int. J. Food Sci. Technol. 2022, 57, 4495–4506. [Google Scholar] [CrossRef]
- Liu, G.; Yang, Z. Preparation and Physiological Activity of Carboxymethylated Siraitia grosvenorii Polysaccharide with Different Degrees of Substitution. Shipin Gongye Ke-Ji 2023, 44, 224–232. [Google Scholar] [CrossRef]
- Gong, P.; Cui, D.; Guo, Y.; Wang, M.; Wang, Z.; Huang, Z.; Yang, W.; Chen, F.; Chen, X. A novel polysaccharide obtained from: Siraitia grosvenorii alleviates inflammatory responses in a diabetic nephropathy mouse model via the TLR4-NF-κB pathway. Food Funct. 2021, 12, 9054–9065. [Google Scholar] [CrossRef] [PubMed]
- Zhang, L.; Hu, T.-J.; Lu, C.-N. Immunomodulatory and antioxidant activity of a Siraitia grosvenorii polysaccharide in mice. Afr. J. Biotechnol. 2011, 10, 10045–10053. [Google Scholar] [CrossRef][Green Version]
- Gong, P.; Wang, M.; Guo, Y.; Long, H.; Wang, Z.; Cui, D.; Yao, W.; Yang, W.; Chen, F.; Xie, J. Structure Characterization, In Vitro Antioxidant and Anti-Tumor Activity of Sulfated Polysaccharide from Siraitia grosvenorii. Foods 2023, 12, 2133. [Google Scholar] [CrossRef] [PubMed]
- Li, J.; Huang, Y.; Liao, R.; He, X.; Su, X.; Zhong, Z.; Huang, C.; Lu, X. Effect of Siraitia grosvenorii polysaccharide on immunity of mice. Zhongguo Yao Li Xue Tong Bao 2008, 24, 1237–1240. [Google Scholar]
- Chen, Y.; Li, H.; Li, Y.; Gao, M. Optimization of Extraction Process of Crude Polysaccharide from Siraitia grosvenorii and Development of Pressed Candy Siraitia grosvenorii. Shipin Gongye Ke-Ji 2023, 44, 158–165. [Google Scholar] [CrossRef]
- Li, J.; Huang, X.; Zhang, J.; Su, J.; He, X. Study on the process of extracting polysaccharides from Luo Han Guo by ultrasonic method. Zhong Yao Cai 2007, 30, 475–477. [Google Scholar] [CrossRef]
- Huang, C.; Li, J.; Liu, Q.; Lu, X.; Meng, A.; Zhu, S. Structural studies on SGPS2, a polysaccharide from Luo Han Guo. Zhong Yao Cai 2010, 33, 376–379. [Google Scholar]
- Li, S.; Linag, J.; Liu, X.; Xian, L. Extraction and purification of polysaccharides from Luo Han Guo seeds and testing of their antioxidant activity. Grain Oils 2020, 33, 78–83. [Google Scholar] [CrossRef]
- Hossen, M.A.; Shinmei, Y.; Jiang, S.; Takubo, M.; Tsumuro, T.; Murata, Y.; Sugiura, M.; Kamei, C. Effect of Lo Han Kuo (Siraitia grosvenori Swingle) on Nasal Rubbing and Scratching Behavior in ICR Mice. Biol. Pharm. Bull. 2005, 28, 238–241. [Google Scholar] [CrossRef][Green Version]
- Zhang, H.; Huang, Q.; Zheng, G.; Zeng, Z.; Xu, D.; Nong, K. Effect of monk fruit polysaccharides on cyclophosphamide-induced immunosuppressive immune function in mice. Guihaia 2019, 39, 1573–1582. [Google Scholar] [CrossRef]
- Zhang, J.; Zhang, Q.; Lu, F.; Song, J.; Liu, H.; Jiang, X. Isolation and purification of polysaccharides from monk fruit roots and study of immune activity. Chin. Tradit. Herb. Drugs 2024, 55, 1100–1109. [Google Scholar]
- Zhang, H. Experimental Study on Genotoxicity and Embryonic Toxicity of Monk Fruit. Master’s Thesis, Zunyi Medical University, Zunyi, China, 2011. [Google Scholar]
- Xu, W.; Meng, L. Determination of protein content of Luo Han Guo. Guihaia 1986, 55–56. [Google Scholar]
- Zhang, Y.; Xu, G.; Zhou, L.; Teng, Q.; He, W.; Zhang, Z.; Zhang, D. Nutrient composition analysis of monk fruit in the middle and high altitude hilly and mountainous areas of northern Guangxi. Hubei Agric. Sci. 2020, 59, 151–154. [Google Scholar] [CrossRef]
- He, C.; Zhu, X.; Liu, L.; He, W. Analysis and comparison of the nutrient composition of fresh and dried Luo Han Guo in group-cultured seedlings. Guihaia 2012, 32, 706–709. [Google Scholar] [CrossRef]
- Chen, Q.; Zhao, W.; Ma, J.; Shen, Z.; Tan, H. Study on the extraction of seed oil of Luo Han Guo by different methods. Guangdong Chem. 2012, 39, 33–34. [Google Scholar] [CrossRef]
- Chen, Q.; Cheng, Z.; Xu, Z.; Yi, X. Extraction of oil from the seed kernel of Luo Han Guo and study of its properties. Sci. Technol. Cereals Oils Foods 2004, 12, 25–27. [Google Scholar] [CrossRef]
- Wang, H.; Wang, T.; Li, H.; Xu, D. Screening of biofilm inhibiting active components of Escherichia coli from Luo Han Guo. Chin. J. Exp. Tradit. Med. Formulae 2016, 22, 51–54. [Google Scholar]
- Kromidas, L.; Perrier, E.; Flanagan, J.; Rivero, R.; Bonnet, I. Release of antimicrobial actives from microcapsules by the action of axillary bacteria. Int. J. Cosmet. Sci. 2006, 28, 103–108. [Google Scholar] [CrossRef]
- Hornby, J.M. Quorum Sensing and the Regulation of Morphology in the Dimorphic Fungus Candida Albicans. Ph.D. Thesis, The University of Nebraska-Lincoln, Lincoln, NE, USA, 2003. [Google Scholar]
- Chen, Q.; Cheng, Z.; Yang, J.; Yi, X.; Dong, C. Extraction of squalene from seed kernel of monk fruit and its structural characterization. Guihaia 2006, 26, 687–689. [Google Scholar] [CrossRef]
- Mao, D.; Jia, C.; Sun, X.; Yang, G. Analysis of squalene and vitamin E in several functional vegetable oils. J. Chin. Cereals Oils Assoc. 2007, 22, 79–82. [Google Scholar] [CrossRef]
- Li, Y.; Wang, Y.; Ma, G.; Li, Q.; Yu, X. Research progress on the source, extraction and functional properties of squalene. J. Henan Univ. Technol. Nat. Sci. Ed. 2022, 43, 19–29. [Google Scholar] [CrossRef]
- Meng, X.; Rong, X. Determination and analysis of inorganic elements of Luo Han Guo and its roots. Guangxi Zhong Yi Yao 1989, 12, 42. [Google Scholar]
- Zhao, E.; Zhao, L.; Li, M. Health functions and product development of Luo Han Guo. Food Res. Dev. 2006, 27, 125–126. [Google Scholar] [CrossRef]
- Li, H.; Wang, Y.; Li, J.; Li, X. Studies on the chemical composition and application of Luo Han Guo. Food Res. Dev. 2006, 27, 85–87. [Google Scholar] [CrossRef]
- Li, J.; Huang, X.; Zhang, Y.; He, X.; Su, X. Studies on the chemical composition of Luo Han Guo. Zhongguo Zhongyao Zazhi 2007, 32, 548–549. [Google Scholar]
- Li, D.; Xiang, W. Analysis of volatile components of Luo Han Guo extract by solid-phase microextraction and gas chromatography-mass spectrometry. Xinxiang Yixueyuan Xue Bao 2004, 21, 26–28. [Google Scholar] [CrossRef]
- Zhang, Y.; Peng, Y.; Zhao, L.; Zhou, G.; Li, X. Regulating the gut microbiota and SCFAs in the faeces of T2DM rats should be one of antidiabetic mechanisms of mogrosides in the fruits of Siraitia grosvenorii. J. Ethnopharmacol. 2021, 274, 114033. [Google Scholar] [CrossRef]
- Wei, B.; Gao, X.; Liu, Y.; Xu, H.; Wang, Y. Research Progress on Function and Application of Mogroside. Shipin Gongye Ke-Ji 2023, 44, 434–441. [Google Scholar] [CrossRef]
- Zhou, T.; Fu, X.D.; Li, H.Y.; Yin, Y. Mogroside V attenuates gestational diabetes mellitus via SIRT1 pathway in a rat model. Trop. J. Pharm. Res. 2021, 20, 2533–2538. [Google Scholar]
- Zou, C.L.; Zhang, Q.Q.; Zhang, S.H. Mogroside IIIE attenuates gestational diabetes mellitus through activating of AMPK signaling pathway in mice. J. Pharmacol. Sci. 2018, 138, 161–166. [Google Scholar] [CrossRef]
- Zhang, J.; Li, J.; Liu, J.; Zhang, C. Experimental study on the anti-dyslipidaemic effect of the Chinese medicine Luo Han Guo. Guide China Med. 2012, 10, 1–2. [Google Scholar] [CrossRef]
- He, C.; Yao, M.; Xia, X.; Zhu, X.; He, W. Studies on the regulatory effects of fresh Luo Han Guo saponins on blood glucose in mice. Mod. Food Sci. Technol. 2012, 28, 382–386. [Google Scholar] [CrossRef]
- Yang, Y.; Luo, Y.; Liu, C. Study on the extraction process of antioxidant active ingredients of Luo Han Guo and its content determination. Shipin Gongye Ke-Ji 2004, 25, 70–72. [Google Scholar] [CrossRef]
- Zou, J.; Chen, Q.; Liu, H.; Liu, Y.; Li, C.; Qi, X.; Song, Y. Study on the antioxidant activity of saponins from Luo Han Guo. J. Nucl. Agric. Sci. 2016, 30, 1982–1988. [Google Scholar]
- Zhao, Y.; Liu, G.; Shi, X. In vivo antioxidant effects of aqueous extract of Luo Han Guo and its sweet glycosides. Food Res. Dev. 2012, 33, 174–176. [Google Scholar] [CrossRef]
- Ling, L. Effect of Luo Han Guo extract on the expression of cytochrome C oxidase 7A2 in testicular tissues of weight-bearing swimming-trained rats. Chin. J. Gerontol. 2016, 36, 2869–2870. [Google Scholar] [CrossRef]
- Xia, X.; Zhong, Z.; Xiao, Y. Studies on the protective effect of rosmarinus officinalis sweet glycosides against oxidative stress in PC12 cells. Shizhenguoyiguoyao 2013, 24, 818–820. [Google Scholar] [CrossRef]
- Sung, Y.-Y.; Kim, S.-H.; Yuk, H.J.; Yang, W.-K.; Lee, Y.M.; Son, E.; Kim, D.-S. Siraitia grosvenorii residual extract attenuates ovalbumin-induced lung inflammation by down-regulating IL-4, IL-5, IL-13, IL-17, and MUC5AC expression in mice. Phytomedicine 2019, 61, 152835. [Google Scholar] [CrossRef]
- Lu, R.; Hu, J.; Liu, X.; Yu, L.; Hu, J.; Jiang, H.; Liu, S.; Li, M.; He, J.; Yang, X.; et al. Mogroside-rich extract from Siraitia grosvenorii fruits protects against heat stress-induced intestinal damage by ameliorating oxidative stress and inflammation in mice. Food Funct. 2023, 14, 1238–1247. [Google Scholar] [CrossRef]
- Lee, Y.M.; Kim, M.; Yuk, H.J.; Kim, S.H.; Kim, D.S. Siraitia grosvenorii Residual Extract Inhibits Inflammation in RAW264.7 Macrophages and Attenuates Osteoarthritis Progression in a Rat Model. Nutrients 2023, 15, 1417. [Google Scholar] [CrossRef]
- Di, R.; Huang, M.-T.; Ho, C.-T. Anti-inflammatory Activities of Mogrosides from Momordica grosvenori in Murine Macrophages and a Murine Ear Edema Model. J. Agric. Food Chem. 2011, 59, 7474–7481. [Google Scholar] [CrossRef]
- Li, Y.; Zou, L.; Li, T.; Lai, D.; Wu, Y.; Qin, S. Mogroside V inhibits LPS-induced COX-2 expression/ROS production and overexpression of HO-1 by blocking phosphorylation of AKT1 in RAW264.7 cells. Acta Biochim. Biophys. Sin. 2019, 51, 365–374. [Google Scholar] [CrossRef]
- Han, M.; Liu, H.; Liu, G.; Li, X.; Zhou, L.; Liu, Y.; Dou, T.; Yang, S.; Tang, W.; Wang, Y.; et al. Mogroside V alleviates inflammation response by modulating miR-21-5P/SPRY1 axis. Food Funct. 2024, 15, 199–1922. [Google Scholar] [CrossRef]
- Xiao, J.; Huang, K.; Lin, H.; Xia, Z.; Zhang, J.; Li, D.; Jin, J. Mogroside IIE Inhibits Digestive Enzymes via Suppression of Interleukin 9/Interleukin 9 Receptor Signalling in Acute Pancreatitis. Front. Pharmacol. 2020, 11, 859. [Google Scholar] [CrossRef]
- Sheng, D.; Huili, W. Progress in the study of natural sweetener rosmarinus officinalis sweet glucoside. Chin. Tradit. Pat. Med. 2023, 45, 503–509. [Google Scholar] [CrossRef]
- Liang, S.; Yang, Z.; Fei, Z.; Qiu, J.; Qi, G.; Wang, S. Study on the antibacterial property of Luo Han Guo. Food Ind. 2016, 37, 207–209. [Google Scholar]
- Li, J.; Li, P.; Yuan, G. Study on the cough suppressant effect of aqueous extract of monk fruit. J. Hainan Med. Univ. 2008, 14, 16–18. [Google Scholar] [CrossRef]
- Liu, T.; Wang, X.; Li, C.; Zhang, Y.; Wu, G.; Lee, D.; Li, C. Antitussive, expectorant and antispasmodic effects of Mogroside V. J. Chin. Pharm. Sci. 2007, 42, 1534–1536. [Google Scholar] [CrossRef]
- Liu, Y.; Liu, Z. Therapeutic effect of aqueous extract of Luo Han Guo on rats with acute pharyngitis model. Chin. J. Exp. Tradit. Med. Form. 2014, 19, 159–162. [Google Scholar] [CrossRef]
- Song, J.L.; Qian, B.; Pan, C.L.; Lv, F.F.; Wang, H.P.; Gao, Y.; Zhou, Y.Y. Protective activity of mogroside V against ovalbumin-induced experimental allergic asthma in Kunming mice. J. Food Biochem. 2019, 43, e12973. [Google Scholar] [CrossRef]
- Wang, L.; Li, M.; Gu, Y.; Shi, J.; Yan, J.; Wang, X.; Li, B.; Wang, B.; Zhong, W.; Cao, H. Dietary flavonoids–microbiota crosstalk in intestinal inflammation and carcinogenesis. J. Nutr. Biochem. 2024, 125, 109494. [Google Scholar] [CrossRef]
- Zhu, Z.; Wu, H.; Su, W.; Shi, R.; Li, P.; Liao, Y.; Wang, Y.; Li, P. Effects of Total Flavonoids from Exocarpium Citri Grandis on Air Pollution Particle-Induced Pulmonary Inflammation and Oxidative Stress in Mice. J. Food Sci. 2019, 84, 3843–3849. [Google Scholar] [CrossRef]
- He, P.; Yang, R. Pinellia polysaccharide activates PI3K/AKT signaling pathway and regulates the expression of airway smooth muscle related apoptosis molecules in airway remodeling in rats with cough variant asthma. Trop. J. Pharm. Res. 2023, 22, 73–79. [Google Scholar] [CrossRef]
- Zhang, B.; Zeng, M.; Zhang, Q.; Wang, R.; Jia, J.; Cao, B.; Liu, M.; Guo, P.; Zhang, Y.; Zheng, X.; et al. Ephedrae Herba polysaccharides inhibit the inflammation of ovalbumin induced asthma by regulating Th1/Th2 and Th17/Treg cell immune imbalance. Mol. Immunol. 2022, 152, 14–26. [Google Scholar] [CrossRef]
- Xie, H.; Zhang, C.; Xie, Q.; Hu, Y. Siraitia grosvenorii Extract and Application for Pulmonary. Fibrosis. Patent WO,2016,CN86831, 6 July 2017. [Google Scholar]
- Liu, B.; Yang, J.; Hao, J.; Xie, H.; Shimizu, K.; Li, R.; Zhang, C. Natural product mogrol attenuates bleomycin-induced pulmonary fibrosis development through promoting AMPK activation. J. Funct. Foods 2021, 77, 104280. [Google Scholar] [CrossRef]
- Tao, L.; Yang, J.; Cao, F.; Xie, H.; Zhang, M.; Gong, Y.; Zhang, C. Mogroside IIIE, a Novel Anti-Fibrotic Compound, Reduces Pulmonary Fibrosis through Toll-Like Receptor 4 Pathways. J. Pharmacol. Exp. Ther. 2017, 361, 268–279. [Google Scholar] [CrossRef]
- Cao, F.; Zhang, Y.; Li, W.; Shimizu, K.; Xie, H.; Zhang, C. Mogroside IVE attenuates experimental liver fibrosis in mice and inhibits HSC activation through downregulating TLR4-mediated pathways. Int. Immunopharmacol. 2018, 55, 183–192. [Google Scholar] [CrossRef] [PubMed]
- Takasaki, M.; Konoshima, T.; Murata, Y.; Sugiura, M.; Nishino, H.; Tokuda, H.; Matsumoto, K.; Kasai, R.; Yamasaki, K. Anticarcinogenic activity of natural sweeteners, cucurbitane glycosides, from Momordica grosvenori. Cancer Lett. 2003, 198, 37–42. [Google Scholar] [CrossRef] [PubMed]
- Li, H.; Liu, L.; Chen, H.-Y.; Yan, X.; Li, R.-L.; Lan, J.; Xue, K.-Y.; Li, X.; Zhuo, C.-L.; Lin, L.; et al. Mogrol suppresses lung cancer cell growth by activating AMPK-dependent autophagic death and inducing p53-dependent cell cycle arrest and apoptosis. Toxicol. Appl. Pharmacol. 2022, 444, 116037. [Google Scholar] [CrossRef] [PubMed]
- Yan, M. The Effect and Application of Mogrosol on Lung Cancer. Master’s Thesis, Guilin Medical University, Guilin, China, 2022. [Google Scholar]
- Haung, R.; Saji, A.; Choudhury, M.; Konno, S. Potential Anticancer Effect of Bioactive Extract of Monk Fruit (Siraitia grosvenori) on Human Prostate and Bladder Cancer Cells. J. Cancer Ther. 2023, 14, 211–224. [Google Scholar] [CrossRef]
- Li, Y.; Chen, Y.; Wei, M.; Wei, C. Preclinical In Silico Evidence Indicates the Pharmacological Targets and Mechanisms of Mogroside V in Patients with Ovarian Cancer and Coronavirus Disease 2019. Front. Endocrinol. 2022, 13, 845404. [Google Scholar] [CrossRef] [PubMed]
- Ju, P.J.; Ding, W.H.; Chen, J.H.; Cheng, Y.; Yang, B.B.; Huang, L.T.; Zhou, Q.; Zhu, C.H.; Li, X.B.; Wang, M.Y. The protective effects of Mogroside V and its metabolite 11-oxo-mogrol of intestinal microbiota against MK801-induced neuronal damages. Psychopharmacology 2020, 237, 1011–1026. [Google Scholar] [CrossRef] [PubMed]
- Luo, H.; Peng, C.; Xu, X.; Peng, Y.; Shi, F.; Li, Q.; Dong, J.; Chen, M. The Protective Effects of Mogroside V Against Neuronal Damages by Attenuating Mitochondrial Dysfunction via Upregulating Sirtuin3. Mol. Neurobiol. 2022, 59, 2068–2084. [Google Scholar] [CrossRef] [PubMed]
- Zhang, X.; Liu, D. Anti-fatigue effect of Luo Han Guo extract on exercise fatigue mice. J. Jilin Univ. 2013, 39, 494–497. [Google Scholar]
- Yu, C.; Wang, J. Effects of Luo Han Guo extract on substance metabolism and anti-exercise fatigue capacity of weight-bearing swimming training rats. Chin. J. Chromatogr. 2016, 36, 12–13. [Google Scholar] [CrossRef]
- Nie, J.Y.; Yan, K.; Sui, L.M.; Zhang, H.T.; Zhang, H.Y.; Yang, X.G.; Lu, S.S.; Lu, K.H.; Liang, X.W. Mogroside V improves porcine oocyte in vitro maturation and subsequent embryonic development. Theriogenology 2020, 141, 35–40. [Google Scholar] [CrossRef]
- Wang, Q.; Wang, W.; Long, Y.; Xia, X.; Qin, H.; Tang, H.; Wang, Z.; Pan, W. Effect of rosmarinus officinalis sweet glycosides on the proliferation of hepatic stellate cells HSC-T6 and genes related to hepatic fibrosis. Chin. Herb. Med. 2013, 44, 331–334. [Google Scholar]
- Chen, X.; Liao, C.; Song, K.; Xue, Q.; Xiao, G.; Huang, C. Effect of rosmarinus officinalis sweet glycosides on liver histopathology and cellularity in rats with hepatic fibrosis. J. Youjiang Med. Univ. Natl. 2013, 35, 771–773. [Google Scholar] [CrossRef]
- Li, M.; Chen, Y.; Wang, J.; Peng, P.; Wang, H. Analysis of the effect of aqueous extract of Luo Han Guo on intestinal flora in mice with non-alcoholic steatohepatitis. J. Guangdong Pharm. Univ. 2017, 33, 211–216. [Google Scholar]
- Wang, Q.; Zhao, Y.; Zhang, J.; Zhuo, X. Experimental study on the pharmacology of Luo Han Guo tea. Guangxi Zhong Yi Yao 1989, 3, 37–38. [Google Scholar]
- Wang, Q.; Li, A.; Huang, R.; Lin, L. The expectorant and cough relieving effect of Luo Han Guo. J. Guangxi Univ. Chin. Med. 1998, 1, 62–64. [Google Scholar]
- Dong, W.; Zeng, J.; Wang, Q.; Jiang, X.; Huang, T. Exploration of the profile-effect relationship of Siraitia grosvenorii aqueous extracts related to their laxative effect on the basis of gray correlation analysis. BMC Complement. Altern. Med. 2021, 21, 235. [Google Scholar] [CrossRef] [PubMed]
- Xiao, B. Ling Nan Cai Yao Lu; Guangdong Science and Technology Press: Guangdong, China, 2009. [Google Scholar]
- Thakur, K.; Partap, M.; Kumar, P.; Sharma, R.; Warghat, A.R. Understandings of bioactive composition, molecular regulation, and biotechnological interventions in the development and usage of specialized metabolites as health-promoting substances in Siraitia grosvenorii (Swingle) C. Jeffrey. J. Food Compos. Anal. 2023, 116, 105070. [Google Scholar] [CrossRef]
- Yan, Z.G.; Xiao, D.; Xu, Y.L.; Ma, J.; Liu, F.; Bai, L.H.; Ma, X.J. Effects of metaxenia on the carbohydrate and mogroside content and related enzyme activities in Siraitia grosvenorii fruit. Acta Physiol. Plant. 2019, 41, 111. [Google Scholar] [CrossRef]
- Li, J.; Jin, S. Clinical application of monk fruit. J. Mod. Med. Health 2011, 27, 3286–3287. [Google Scholar]
- Partap, M.; Kumar, P.; Pal, P.K.; Kumar, D.; Warghat, A.R.; Kumar, S. Fruit derived callus and cell suspension culture as promising alternative sources for mogrosides production in Siraitia grosvenorii (Swingle) C. Jeffrey: A zero-caloric natural sweetener. J. Food Compos. Anal. 2022, 108, 104450. [Google Scholar] [CrossRef]
- Duan, J.; Zhu, D.; Zheng, X.; Ju, Y.; Wang, F.; Sun, Y.; Fan, B. Siraitia grosvenorii (Swingle) C. Jeffrey: Research Progress of Its Active Components, Pharmacological Effects, and Extraction Methods. Foods 2023, 12, 1373. [Google Scholar] [CrossRef] [PubMed]
- Guo, Y.; Chen, X.; Gong, P.; Long, H.; Wang, J.; Yang, W.; Yao, W. Siraitia grosvenorii As a Homologue of Food and Medicine: A Review of Biological Activity, Mechanisms of Action, Synthetic Biology, and Applications in Future Food. J. Agric. Food Chem. 2024, 72, 6850–6870. [Google Scholar] [CrossRef] [PubMed]
- Jin, M.; Muguruma, M.; Moto, M.; Okamura, M.; Kashida, Y.; Mitsumori, K. Thirteen-week repeated dose toxicity of Siraitia grosvenori extract in Wistar Hannover (GALAS) rats. Food Chem. Toxicol. 2007, 45, 1231–1237. [Google Scholar] [CrossRef] [PubMed]
- Qin, X.; Xiaojian, S.; Ronggan, L.; Yuxian, W.; Zhunian, T.; Shouji, G.; Heimbach, J. Subchronic 90-day oral (Gavage) toxicity study of a Luo Han Guo mogroside extract in dogs. Food Chem. Toxicol. 2006, 44, 2106–2109. [Google Scholar] [CrossRef]
- Younes, M.; Aquilina, G.; Engel, K.H.; Fowler, P.; Frutos Fernandez, M.J.; Fürst, P.; Gürtler, R.; Gundert-Remy, U.; Husøy, T.; Mennes, W.; et al. Safety of use of Monk fruit extract as a food additive in different food categories. EFSA J. 2019, 17, e05921. [Google Scholar] [CrossRef]





Disclaimer/Publisher’s Note: The statements, opinions and data contained in all publications are solely those of the individual author(s) and contributor(s) and not of MDPI and/or the editor(s). MDPI and/or the editor(s) disclaim responsibility for any injury to people or property resulting from any ideas, methods, instructions or products referred to in the content. |
© 2024 by the authors. Licensee MDPI, Basel, Switzerland. This article is an open access article distributed under the terms and conditions of the Creative Commons Attribution (CC BY) license (https://creativecommons.org/licenses/by/4.0/).
Share and Cite
Guo, Q.; Shi, M.; Sarengaowa; Xiao, Z.; Xiao, Y.; Feng, K. Recent Advances in the Distribution, Chemical Composition, Health Benefits, and Application of the Fruit of Siraitia grosvenorii. Foods 2024, 13, 2278. https://doi.org/10.3390/foods13142278
Guo Q, Shi M, Sarengaowa, Xiao Z, Xiao Y, Feng K. Recent Advances in the Distribution, Chemical Composition, Health Benefits, and Application of the Fruit of Siraitia grosvenorii. Foods. 2024; 13(14):2278. https://doi.org/10.3390/foods13142278
Chicago/Turabian StyleGuo, Qihan, Minke Shi, Sarengaowa, Zhewen Xiao, Ying Xiao, and Ke Feng. 2024. "Recent Advances in the Distribution, Chemical Composition, Health Benefits, and Application of the Fruit of Siraitia grosvenorii" Foods 13, no. 14: 2278. https://doi.org/10.3390/foods13142278
APA StyleGuo, Q., Shi, M., Sarengaowa, Xiao, Z., Xiao, Y., & Feng, K. (2024). Recent Advances in the Distribution, Chemical Composition, Health Benefits, and Application of the Fruit of Siraitia grosvenorii. Foods, 13(14), 2278. https://doi.org/10.3390/foods13142278










































































































