Impact of Lactic Acid Bacteria Fermentation Based on Biotransformation of Phenolic Compounds and Antioxidant Capacity of Mushrooms
Abstract
1. Introduction
2. Materials and Methods
2.1. Media and Chemicals
2.2. Sample Preparation and Lactic Acid Fermentation
2.3. Microbial Analysis
2.4. Fermentation Metabolites
2.5. Extraction of Free and Bound Phenolic Fractions
2.6. Total Phenolic Content
2.7. Antioxidant Properties
2.7.1. Determination of DPPH Free-Radical-Scavenging Activity
2.7.2. Determination of ABTS Free-Radical-Scavenging Activity
2.8. Phenolic Compound Identification and Characterisation
2.8.1. UPLC-Q-TOF-MS/MS-Based Metabolite Analysis
2.8.2. Non-Target Screening on UPLC-Q-TOF-MS
2.8.3. Non-Target Metabolomics Analysis
2.8.4. Tentative Identification of Phenolic Compounds
2.9. Statistical Analysis
3. Results and Discussion
3.1. The Bacterial Growth and pH Changes during Mushroom Fermentation
3.2. Changes in the Organic Acid and Sugar Levels during Mushroom Fermentation
3.3. Changes in Total Phenolic Content and Antioxidant Activity in Free and Bound Phenolics during Mushroom Fermentation
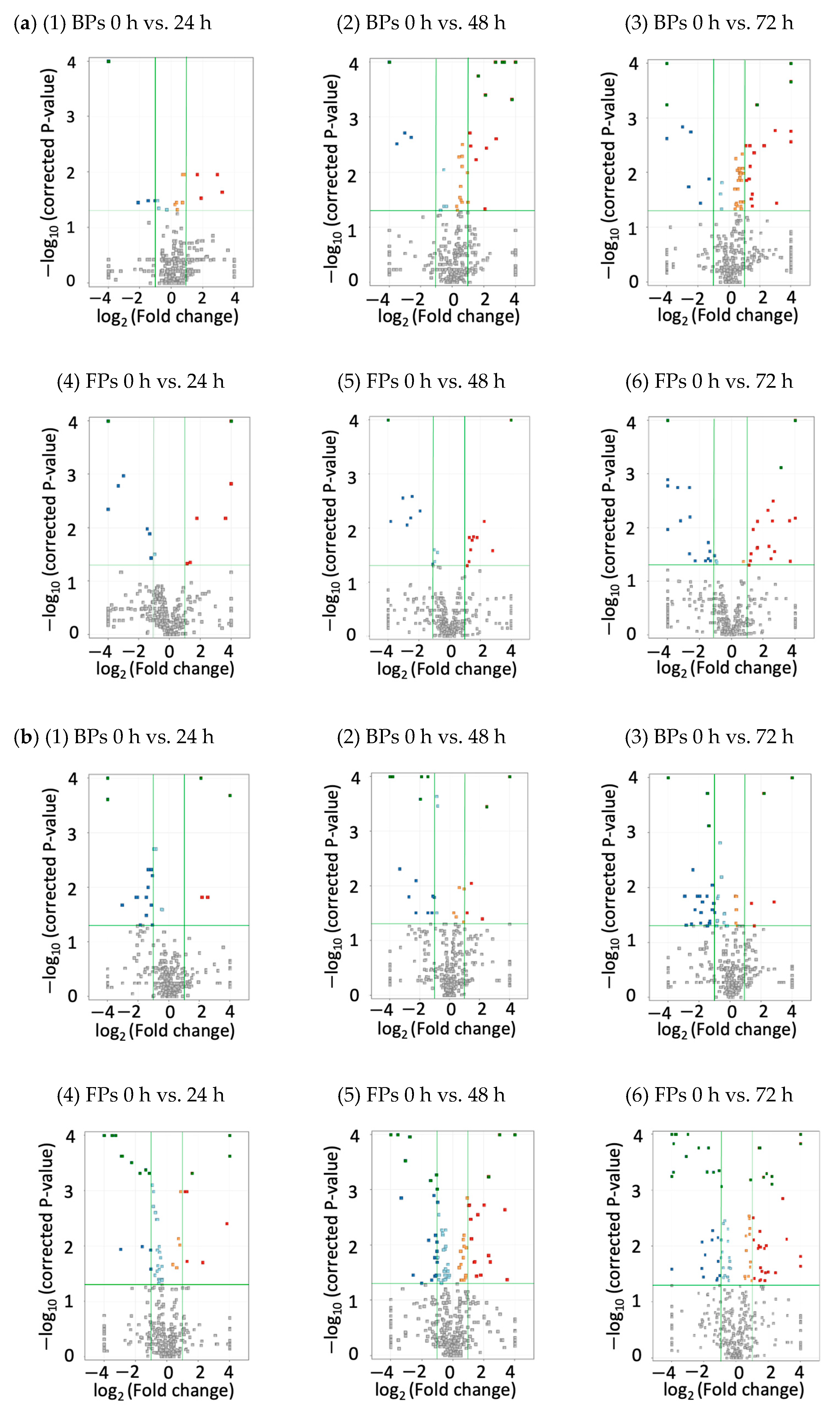
3.4. The Non-Targeted Analysis of UPLC-Q-TOF-MS Data from Mushroom Fermentation
3.5. Metabolite Profiling and Comparative Analysis of Mushrooms during Different Fermentation Durations via UPLC-Q-TOF-MS/MS
4. Conclusions
Supplementary Materials
Author Contributions
Funding
Institutional Review Board Statement
Informed Consent Statement
Data Availability Statement
Acknowledgments
Conflicts of Interest
References
- Lu, X.; Hou, H.; Fang, D.; Hu, Q.; Chen, J.; Zhao, L. Identification and Characterization of Volatile Compounds in Lentinula edodes during Vacuum Freeze-Drying. J. Food Biochem. 2022, 46, e13814. [Google Scholar] [CrossRef] [PubMed]
- Wang, X.H.; Cheng, X.D.; Wang, D.; Wu, Z.; Chen, Y.; Wu, Q.X. Antioxidant and Anti-Aging Effects of Polysaccharide LDP-1 from Wild Lactarius deliciosus on Caenorhabditis Elegans. Food Nutr. Res. 2022, 66. [Google Scholar] [CrossRef]
- Dogan, A.; Uyar, A.; Hasar, S.; Keles, O.F. The Protective Effects of the Lactarius deliciosus and Agrocybe cylindracea Mushrooms on Histopathology of Carbon Tetrachloride Induced Oxidative Stress in Rats. Biotech. Histochem. 2022, 97, 143–151. [Google Scholar] [CrossRef] [PubMed]
- Dedousi, M.; Melanouri, E.M.; Karayannis, D.; Kaminarides, E.I.; Diamantopoulou, P. Utilization of Spent Substrates and Waste Products of Mushroom Cultivation to Produce New Crops of Pleurotus ostreatus, Pleurotus eryngii and Agaricus bisporus. Carbon Resour. Convers. 2024, 7, 100196. [Google Scholar] [CrossRef]
- Leong, Y.K.; Ma, T.W.; Chang, J.S.; Yang, F.C. Recent Advances and Future Directions on the Valorization of Spent Mushroom Substrate (SMS): A Review. Bioresour. Technol. 2022, 344, 126157. [Google Scholar] [CrossRef] [PubMed]
- Umaña, M.; Eim, V.; Garau, C.; Rosselló, C.; Simal, S. Ultrasound-Assisted Extraction of Ergosterol and Antioxidant Components from Mushroom by-Products and the Attainment of a β-Glucan Rich Residue. Food Chem. 2020, 332, 127390. [Google Scholar] [CrossRef]
- Antunes, F.; Marçal, S.; Taofiq, O.; Morais, A.M.M.B.; Freitas, A.C.; Ferreira, I.C.F.R.; Pintado, M. Valorization of Mushroom By-Products as a Source of Value-Added Compounds and Potential Applications. Molecules 2020, 25, 2672. [Google Scholar] [CrossRef]
- Cateni, F.; Gargano, M.L.; Procida, G.; Venturella, G.; Cirlincione, F.; Ferraro, V. Mycochemicals in Wild and Cultivated Mushrooms: Nutrition and Health. Phytochem. Rev. 2022, 21, 339–383. [Google Scholar] [CrossRef]
- Çayan, F.; Deveci, E.; Tel-Çayan, G.; Duru, M.E. Identification and Quantification of Phenolic Acid Compounds of Twenty-Six Mushrooms by HPLC–DAD. J. Food Meas. Charact. 2020, 14, 1690–1698. [Google Scholar] [CrossRef]
- Zhou, Y.; Chu, M.; Ahmadi, F.; Agar, O.T.; Barrow, C.J.; Dunshea, F.R.; Suleria, H.A.R. A Comprehensive Review on Phytochemical Profiling in Mushrooms: Occurrence, Biological Activities, Applications and Future Prospective. Food Rev. Int. 2024, 40, 924–951. [Google Scholar] [CrossRef]
- Yeo, J.D.; Tsao, R.; Sun, Y.; Shahidi, F. Liberation of Insoluble-Bound Phenolics from Lentil Hull Matrices as Affected by Rhizopus oryzae Fermentation: Alteration in Phenolic Profiles and Their Inhibitory Capacities against Low-Density Lipoprotein (LDL) and DNA Oxidation. Food Chem. 2021, 363, 130275. [Google Scholar] [CrossRef] [PubMed]
- Tao, R.; Chen, Q.; Li, Y.; Guo, L.; Zhou, Z. Physicochemical, Nutritional, and Phytochemical Profile Changes of Fermented Citrus Puree from Enzymatically Hydrolyzed Whole Fruit under Cold Storage. LWT 2022, 169, 114009. [Google Scholar] [CrossRef]
- Leonard, W.; Zhang, P.; Ying, D.; Adhikari, B.; Fang, Z. Fermentation Transforms the Phenolic Profiles and Bioactivities of Plant-Based Foods. Biotechnol. Adv. 2021, 49, 107763. [Google Scholar] [CrossRef] [PubMed]
- Yi, C.; Li, Y.; Zhu, H.; Liu, Y.; Quan, K. Effect of Lactobacillus plantarum Fermentation on the Volatile Flavors of Mung Beans. LWT 2021, 146, 111434. [Google Scholar] [CrossRef]
- Davis, R.M.; Sommer, R.; Menge, J.A. Field Guide to Mushrooms of Western North America; University of California Press: Berkeley, CA, USA, 2012; ISBN 9780520271074. [Google Scholar]
- Stamets, P. Growing Gourmet and Medicinal Mushrooms; Ten Speed Press: Berkeley, CA, USA, 2011. [Google Scholar]
- He, C.; Sampers, I.; Raes, K. Dietary Fiber Concentrates Recovered from Agro-Industrial by-Products: Functional Properties and Application as Physical Carriers for Probiotics. Food Hydrocoll. 2021, 111, 106175. [Google Scholar] [CrossRef]
- Wen, D.; Li, C.; Di, H.; Liao, Y.; Liu, H. A Universal HPLC Method for the Determination of Phenolic Acids in Compound Herbal Medicines. J. Agric. Food Chem. 2005, 53, 6624–6629. [Google Scholar] [CrossRef] [PubMed]
- Gonzales, G.B.; Smagghe, G.; Raes, K.; Van Camp, J. Combined Alkaline Hydrolysis and Ultrasound-Assisted Extraction for the Release of Nonextractable Phenolics from Cauliflower (Brassica oleracea var. botrytis) Waste. J. Agric. Food Chem. 2014, 62, 3371–3376. [Google Scholar] [CrossRef] [PubMed]
- Singleton, V.L.; Orthofer, R.; Lamuela-Raventós, R.M. [14] Analysis of total phenols and other oxidation substrates and antioxidants by means of folin-ciocalteu reagent. Methods Enzymol. 1999, 299, 152–178. [Google Scholar]
- Kumaran, A.; Joel Karunakaran, R. In Vitro Antioxidant Activities of Methanol extracts of Five Phyllanthus Species from India. LWT 2007, 40, 344–352. [Google Scholar] [CrossRef]
- Re, R.; Pellegrini, N.; Proteggente, A.; Pannala, A.; Yang, M.; Rice-Evans, C. Antioxidant activity applying an improved ABTS radical cation decolorization assay. Free Radic. Biol. Med. 1999, 26, 1231–1237. [Google Scholar] [CrossRef]
- Gonzales, G.B.; Raes, K.; Coelus, S.; Struijs, K.; Smagghe, G.; Van Camp, J. Ultra(High)-Pressure Liquid Chromatography-Electrospray Ionization-Time-of-Flight-Ion Mobility-High Definition Mass Spectrometry for the Rapid Identification and Structural Characterization of Flavonoid Glycosides from Cauliflower Waste. J. Chromatogr. A 2014, 1323, 39–48. [Google Scholar] [CrossRef] [PubMed]
- Jabłońska-Ryś, E.; Sławińska, A.; Skrzypczak, K.; Goral, K. Dynamics of Changes in PH and the Contents of Free Sugars, Organic Acids and LAB in Button Mushrooms during Controlled Lactic Fermentation. Foods 2022, 11, 1553. [Google Scholar] [CrossRef] [PubMed]
- Liu, Y.; Xie, X.X.; Ibrahim, S.A.; Khaskheli, S.G.; Yang, H.; Wang, Y.F.; Huang, W. Characterization of Lactobacillus pentosus as a Starter Culture for the Fermentation of Edible Oyster Mushrooms (Pleurotus spp.). LWT 2016, 68, 21–26. [Google Scholar] [CrossRef]
- Yang, J.; Sun, Y.; Chen, J.; Cheng, Y.; Zhang, H.; Gao, T.; Xu, F.; Pan, S.; Tao, Y.; Lu, J. Fermentation of Ginkgo Biloba Kernel Juice Using Lactobacillus plantarum Y2 from the Ginkgo Peel: Fermentation Characteristics and Evolution of Phenolic Profiles, Antioxidant Activities in Vitro, and Volatile Flavor Compounds. Front. Nutr. 2022, 9, 1025080. [Google Scholar] [CrossRef] [PubMed]
- Yang, J.; Sun, Y.; Gao, T.; Wu, Y.; Sun, H.; Zhu, Q.; Liu, C.; Zhou, C.; Han, Y.; Tao, Y. Fermentation and Storage Characteristics of “Fuji” Apple Juice Using Lactobacillus acidophilus, Lactobacillus casei and Lactobacillus plantarum: Microbial Growth, Metabolism of Bioactives and in Vitro Bioactivities. Front. Nutr. 2022, 9, 833906. [Google Scholar] [CrossRef] [PubMed]
- Jabłońska-Ryś, E.; Skrzypczak, K.; Sławińska, A.; Radzki, W.; Gustaw, W. Lactic Acid Fermentation of Edible Mushrooms: Tradition, Technology, Current State of Research: A Review. Compr. Rev. Food Sci. Food Saf. 2019, 18, 655–669. [Google Scholar] [CrossRef] [PubMed]
- Lee, M.A.; Choi, Y.J.; Lee, H.; Hwang, S.; Lee, H.J.; Park, S.J.; Chung, Y.B.; Yun, Y.R.; Park, S.H.; Min, S.; et al. Influence of Salinity on the Microbial Community Composition and Metabolite Profile in Kimchi. Fermentation 2021, 7, 308. [Google Scholar] [CrossRef]
- De Montijo-Prieto, S.; del C. Razola-Díaz, M.; Barbieri, F.; Tabanelli, G.; Gardini, F.; Jiménez-Valera, M.; Ruiz-Bravo, A.; Verardo, V.; Gómez-Caravaca, A.M. Impact of Lactic Acid Bacteria Fermentation on Phenolic Compounds and Antioxidant Activity of Avocado Leaf Extracts. Antioxidants 2023, 12, 298. [Google Scholar] [CrossRef]
- Carvalho, D.O.; Guido, L.F. A Review on the Fate of Phenolic Compounds during Malting and Brewing: Technological Strategies and Beer Styles. Food Chem. 2022, 372, 131093. [Google Scholar] [CrossRef]
- Wang, B.; Zhao, N.; Li, J.; Xu, R.; Wang, T.; Guo, L.; Ma, M.; Fan, M.; Wei, X. Selenium-Enriched Lactobacillus plantarum Improves the Antioxidant Activity and Flavor Properties of Fermented Pleurotus eryngii. Food Chem. 2021, 345, 128770. [Google Scholar] [CrossRef]
- Salar, R.K.; Purewal, S.S.; Bhatti, M.S. Optimization of Extraction Conditions and Enhancement of Phenolic Content and Antioxidant Activity of Pearl Millet Fermented with Aspergillus awamori MTCC-548. Resour.-Effic. Technol. 2016, 2, 148–157. [Google Scholar] [CrossRef]
- Adebo, O.A.; Medina-Meza, I.G. Impact of Fermentation on the Phenolic Compounds and Antioxidant Activity of Whole Cereal Grains: A Mini Review. Molecules 2020, 25, 927. [Google Scholar] [CrossRef] [PubMed]
- Tu, J.; Brennan, M.A.; Wu, G.; Bai, W.; Cheng, P.; Tian, B.; Brennan, C.S. Delivery of Phenolic Compounds, Peptides and β-Glucan to the Gastrointestinal Tract by Incorporating Dietary Fibre-Rich Mushrooms into Sorghum Biscuits. Foods 2021, 10, 1812. [Google Scholar] [CrossRef] [PubMed]
- Xiaokang, W.; Brunton, N.P.; Lyng, J.G.; Harrison, S.M.; Carpes, S.T.; Papoutsis, K. Volatile and Non-Volatile Compounds of Shiitake Mushrooms Treated with Pulsed Light after Twenty-Four Hour Storage at Different Conditions. Food Biosci. 2020, 36, 100619. [Google Scholar] [CrossRef]
- Wang, X.; He, X.; Sun, C.; Peng, M.; Zhang, Q.; Brennan, C.S.; Guan, W.; Wang, F.; Zhang, N. Extraction of Bound Phenolics from Shiitake Mushrooms (Lentinus edodes) by Combined Acid and Base Hydrolysis Procedures and Analysis of Phenolic Profiles and Antioxidant Capacities. Int. J. Food Sci. Technol. 2022, 57, 6613–6620. [Google Scholar] [CrossRef]
- Chu, M.; Khan, R.D.; Zhou, Y.; Agar, O.T.; Barrow, C.J.; Dunshea, F.R.; Suleria, H.A.R. LC-ESI-QTOF-MS/MS Characterization of Phenolic Compounds in Common Commercial Mushrooms and Their Potential Antioxidant Activities. Processes 2023, 11, 1711. [Google Scholar] [CrossRef]
- Yao, F.; Gao, H.; Yin, C.M.; Shi, D.F.; Fan, X.Z. Effect of Different Cooking Methods on the Bioactive Components, Color, Texture, Microstructure, and Volatiles of Shiitake Mushrooms. Foods 2023, 12, 2573. [Google Scholar] [CrossRef] [PubMed]
- Pehlivan Karakas, F.; Ucar Turker, A.; Gokce Bozat, B.; Abant, B. Phenolic Content, Antibacterial and Antioxidant Potential of Several Edible Agaricomycetes Mushrooms Sold in Public Bazaar in Bolu, Turkey. Int. J. Med. Mushrooms 2023, 25, 45–56. [Google Scholar] [CrossRef]
- Tan, P.W.; Tan, C.P.; Ho, C.W. Antioxidant properties: Effects of solid-to-solvent ratio on antioxidant compounds and capacities of Pegaga (Centella asiatica). Int. Food Res. J. 2011, 18, 2. [Google Scholar]
- Ozdemir, M.; Gungor, V.; Melikoglu, M.; Aydiner, C. Solvent Selection and Effect of Extraction Conditions on Ultrasound-Assisted Extraction of Phenolic Compounds from Galangal (Alpinia officinarum). J. Appl. Res. Med. Aromat. Plants 2024, 38, 100525. [Google Scholar] [CrossRef]
- Li, Z.; Teng, J.; Lyu, Y.; Hu, X.; Zhao, Y.; Wang, M. Enhanced Antioxidant Activity for Apple Juice Fermented with Lactobacillus plantarum ATCC14917. Molecules 2019, 24, 51. [Google Scholar] [CrossRef] [PubMed]
- Reis, F.S.; Martins, A.; Barros, L.; Ferreira, I.C.F.R. Antioxidant Properties and Phenolic Profile of the Most Widely Appreciated Cultivated Mushrooms: A Comparative Study between in Vivo and in Vitro Samples. Food Chem. Toxicol. 2012, 50, 1201–1207. [Google Scholar] [CrossRef] [PubMed]
- Nam, M.; Choi, J.Y.; Kim, M.S. Metabolic Profiles, Bioactive Compounds, and Antioxidant Capacity in Lentinula edodes Cultivated on Log versus Sawdust Substrates. Biomolecules 2021, 11, 1654. [Google Scholar] [CrossRef] [PubMed]
- Palacios, I.; Lozano, M.; Moro, C.; D’Arrigo, M.; Rostagno, M.A.; Martínez, J.A.; García-Lafuente, A.; Guillamón, E.; Villares, A. Antioxidant Properties of Phenolic Compounds Occurring in Edible Mushrooms. Food Chem. 2011, 128, 674–678. [Google Scholar] [CrossRef]
- Kalogeropoulos, N.; Yanni, A.E.; Koutrotsios, G.; Aloupi, M. Bioactive Microconstituents and Antioxidant Properties of Wild Edible Mushrooms from the Island of Lesvos, Greece. Food Chem. Toxicol. 2013, 55, 378–385. [Google Scholar] [CrossRef] [PubMed]
- Rocchetti, G.; Gregorio, R.P.; Lorenzo, J.M.; Barba, F.J.; Oliveira, P.G.; Prieto, M.A.; Simal-Gandara, J.; Mosele, J.I.; Motilva, M.J.; Tomas, M.; et al. Functional Implications of Bound Phenolic Compounds and Phenolics–Food Interaction: A Review. Compr. Rev. Food Sci. Food Saf. 2022, 21, 811–842. [Google Scholar] [CrossRef] [PubMed]
- del C. Razola-Díaz, M.; De Montijo-Prieto, S.; Aznar-Ramos, M.J.; Jiménez-Valera, M.; Ruiz-Bravo, A.; Verardo, V.; Gómez-Caravaca, A.M. Effect of Lactic Acid Bacteria Fermentation on the Polar Compounds Content with Antioxidant and Antidiabetic Activity of Avocado Seed Extracts. Fermentation 2023, 9, 420. [Google Scholar] [CrossRef]
- Degrain, A.; Manhivi, V.; Remize, F.; Garcia, C.; Sivakumar, D. Effect of Lactic Acid Fermentation on Color, Phenolic Compounds and Antioxidant Activity in African Nightshade. Microorganisms 2020, 8, 1324. [Google Scholar] [CrossRef] [PubMed]
- Wang, Y.; Wu, J.; Lv, M.; Shao, Z.; Hungwe, M.; Wang, J.; Bai, X.; Xie, J.; Wang, Y.; Geng, W. Metabolism Characteristics of Lactic Acid Bacteria and the Expanding Applications in Food Industry. Front. Bioeng. Biotechnol. 2021, 9, 612285. [Google Scholar] [CrossRef]
- Lubbers, R.J.M.; Dilokpimol, A.; Visser, J.; Mäkelä, M.R.; Hildén, K.S.; de Vries, R.P. A Comparison between the Homocyclic Aromatic Metabolic Pathways from Plant-Derived Compounds by Bacteria and Fungi. Biotechnol. Adv. 2019, 37, 107396. [Google Scholar] [CrossRef]
- Zhang, D.; Ye, Y.; Tan, B. Comparative Study of Solid-State Fermentation with Different Microbial Strains on the Bioactive Compounds and Microstructure of Brown Rice. Food Chem. 2022, 397, 133735. [Google Scholar] [CrossRef] [PubMed]
- Yang, J.; Gao, T.; Ge, F.; Sun, H.; Cui, Z.; Wei, Z.; Wang, S.; Show, P.L.; Tao, Y.; Wang, W. Porphyra yezoensis Sauces Fermented with Lactic Acid Bacteria: Fermentation Properties, Flavor Profile, and Evaluation of Antioxidant Capacity in Vitro. Front. Nutr. 2022, 8, 810460. [Google Scholar] [CrossRef] [PubMed]






| Fermentation Time | TPC (mg GAE/g) | DPPH (mg TE/g) | ABTS (mg TE/g) | |||||||||
|---|---|---|---|---|---|---|---|---|---|---|---|---|
| L. edodes | La. deliciosus | L. edodes | La. deliciosus | L. edodes | La. deliciosus | |||||||
| Free | Bound | Free | Bound | Free | Bound | Free | Bound | Free | Bound | Free | Bound | |
| 0 h | 1.86 ± 0.04 c | 4.48 ± 0.08 a | 1.68 ± 0.01 c | 2.93 ± 0.05 a | 2.55 ± 0.11 c | 6.54 ± 0.26 a | 2.26 ± 0.13 b | 1.81 ± 0.14 a | 6.29 ± 0.21 b | 23.68 ± 1.51 a | 5.69 ± 0.14 a | 26.71 ± 1.43 b |
| 24 h | 2.40 ± 0.01 a | 4.10 ± 0.06 b | 2.14 ± 0.04 a | 2.36 ± 0.04 b | 3.77 ± 0.10 a | 5.55 ± 0.16 b | 2.88 ± 0.36 a | 1.66 ± 0.15 ab | 5.90 ± 0.45 b | 24.04 ± 1.61 a | 5.56 ± 0.31 a | 28.05 ± 0.1 a |
| 48 h | 2.33 ± 0.04 a | 3.79 ± 0.02 c | 2.09 ± 0.07 a | 2.35 ± 0.02 b | 3.36 ± 0.13 b | 5.21 ± 0.11 b | 2.64 ± 0.03 ab | 1.44 ± 0.12 bc | 5.61 ± 0.71 b | 23.40 ± 1.5 a | 5.67 ± 1.23 a | 25.45 ± 0.23 c |
| 72 h | 2.14 ± 0.04 b | 3.50 ± 0.04 d | 1.88 ± 0.03 b | 2.21 ± 0.04 b | 3.30 ± 0.14 b | 4.24 ± 0.09 c | 2.54 ± 0.06 ab | 1.31 ± 0.11 c | 6.10 ± 0.29 a | 22.34 ± 2.21 a | 5.47 ± 0.43 a | 25.5 ± 0.14 c |
| No | Proposed Compound | Molecular Formula | RT (min) | Adduct | Molecular Weight | Theoretical (m/z) | Observed (m/z) | Mass Error (ppm) | MS/MS Product Ions Collision Energies | Mushroom Species | |||
|---|---|---|---|---|---|---|---|---|---|---|---|---|---|
| 10 V | 20 V | 40 V | L. edodes | La. deliciosus | |||||||||
| Phenolic acids | |||||||||||||
| i. Hydroxybenzoic acids | |||||||||||||
| 1 | p-hydroxybenzoic acid glucoside | C13H16O8 | 13.42 | (M−H)− | 300.085 | 299.0779 | 299.0772 | 2.1 | 299 | - | 106 | All-LEBPs All-LEFPs | LDBPs-0 h LDBPs-24 h All-LDFPs |
| 2 | Protocatechuic acid | C7H6O4 | 4.30 | (M−H)− | 154.0264 | 153.0191 | 153.0193 | −1.47 | - | 111 | - | All-LEFPs | All-LDFPs |
| 3 | 4-hydroxybenzoic acid * | C7H6O3 | 7.91 | (M−H)− | 138.0318 | 137.0245 | 137.0244 | 0.76 | 109 | 111, 137 | - | All-LEBPs All-LEFPs | All-LDBPs All-LDFPs |
| 4 | Salicylic acid * | C7H6O3 | 19.83 | (M−H)− | 138.0317 | 137.0238 | 137.0244 | −4.6 | - | 111 | - | All-LEBPs | All-LDBPs LDFPs-24 h LDFPs-48 h |
| 5 | Benzoic acid | C7H6O2 | 9.6 | (M−H)− | 122.0368 | 121.0295 | 121.0295 | 0.35 | 120 | 121 | - | All-LEBPs All-LEFPs | All-LDBPs LDFPs-0 h LDFPs-24 h LDFPs-48 h |
| 6 | 3,4-Dimethoxybenzoic acid | C9H10O4 | 6.99 | (M−H)− | 182.0579 | 181.0506 | 181.0505 | −0.16 | 101, 141 | 120 | - | All-LEFPs | LDFPs-24 h LDFPs-48 h LDFPs-72 h |
| 7 | Phenylacetic acid * | C8H8O2 | 11.41 | (M−H)− | 136.0516 | 135.0452 | 135.0452 | 0.14 | 135 | 117, 109 | - | LEBPs-0 h LEBPs-24 h | All-LDBPs |
| ii. Hydroxycinnamic acids | |||||||||||||
| 8 | Quinic acid | C7H12O6 | 7.25 | (M+HCOO)− | 192.0638 | 237.057 | 237.062 | 1.95 | 156, 126 | - | - | All-LEBPs All-LEFPs | LDFPs-24 h LDFPs-48 h LDFPs-72 h |
| 9 | 5-feruloylquinic acid | C17H20O9 | 4.35 | (M+HCOO)− | 368.1093 | 413.1227 | 413.0143 | -3.8 | 312 | - | - | - | LDFPs-0 h LDFPs-24 h LDFPs-48 h |
| 11 | Rosmarinic acid | C18H16O8 | 11.18 | (M+HCOO)− | 360.087 | 405.0809 | 405.0827 | −4.5 | 211 | 191, 227 | 139, 171 | All-LEFPs | LDFPs-0 h |
| 12 | Caffeic acid | C9H8O4 | 10.20 | (M−H)− | 180.0425 | 179.0352 | 179.0332 | 3.3 | 124 | 165 | - | - | LDFPs-0 h LDFPs-24 h LDFPs-48 h |
| Phenols | |||||||||||||
| 13 | 2,6-dimethoxyphenol | C8H10O3 | 8.77 | (M+HCOO)− | 154.0628 | 199.06 | 199.061 | 0.32 | 123 | 128 | - | LEBPs-0 h All-LEFPs | LDBPs-0 h LDFPs-24 h LDFPs-48 h LDFPs-72 h |
| 14 | Phenol | C6H6O | 30.87 | (M+HCOO)− | 94.0416 | 139.039 | 139.0398 | −2.61 | 86 | - | - | All-LEBPs All-LEFPs | All-LDBPs |
| Terpenic acids | |||||||||||||
| 15 | Ursolic acid * | C30H48O3 | 35.81 | (M−H)− (M+HCOO)− | 456.3603 | 455.3544 501.3584 | 455.3531 501.3585 | 2.82 −0.33 | 391 297, 337 | 255 152 | 163, 283 435 | All-LEBPs | LDFPs-0 h LDFPs-24 h LDFPs-48 h |
| Flavonoids | |||||||||||||
| 16 | Genistein | C15H10O5 | 28.13 | (M−H)− | 270.053 | 269.0457 | 269.0455 | 0.42 | 151, 107 | 119 | 187 | LEBPs-0 h | All-LDBPs |
| 18 | Formononetin | C16H12O4 | 29.35 | (M−H)− | 268.0733 | 267.066 | 267.0663 | −1 | 251 | - | - | - | LDFPs-24 h LDFPs-48 h LDFPs-72 h |
| 20 | Glycitein | C16H12O5 | 30.91 | (M+HCOO)− | 284.0745 | 329.0778 | 329.0774 | −0.92 | 285 | - | - | - | All-LDFPs |
| 21 | Gallocatechin | C15H14O7 | 4.22 | (M−H)− | 306.0718 | 305.0702 | 305.0645 | −2.8 | 156 | - | - | LEFPs-0 h LEFPs-24 h | LDFPs-0 h LDFPs-24 h |
| 22 | Kaempferol-3-glucoside | C21H20O11 | 22.99 | (M−H)− | 448.1001 | 447.0928 | 447.0933 | −1.07 | 224, 115 | - | - | - | All-LDBPs |
| Stilbenes | |||||||||||||
| 23 | Resveratrol | C14H12O3 | 29.02 | (M−H)− | 228.0785 | 227.0713 | 227.0714 | −0.49 | 183, 199 | 155, 141 | 139, 167 | All-LEFPs | All-LDBPs All-LDFPs |
| Other polyphenols | |||||||||||||
| 24 | Pyrogallol * | C6H6O3 | 3.57 | (M−H)− (M+HCOO)− | 126.0318 | 125.0244 171.03 | 125.0244 171.0299 | 0.21 0.59 | 124 103 | 108, 124 - | - - | LEBPs-0 h All-LEFPs | LDBPs-0 h LDBPs-24 h LDBPs-48 h |
| 25 | Catechol | C6H6O2 | 5.17 | (M−H)− | 110.0366 | 109.032 | 109.0294 | 0.3 | 101 | - | - | All-LEFPs | All-LDBPs All-LDFPs |
| 26 | Shikimic acid | C7H10O5 | 2.9 | (M−H)− (M+HCOO)− | 174.0529 | 173.0457 219.0509 | 173.0455 219.051 | 0.82 −0.37 | 157, 109 113 | - - | - - | All-LEFPs | LDBPs-0 h All-LDFPs |
| 27 | Coumarin | C9H6O2 | 15.5 | (M−H)− | 146.0368 | 145.0295 | 145.0245 | 0.12 | 142 | 108 | - | - | All-LDFPs |
| Vitamins | |||||||||||||
| 28 | Riboflavin | C17H20N4O6 | 16.22 | (M−H)− | 376.1384 | 375.131 | 375,131 | −0.08 | 255, 129 | 212, 165 | 198, 184 | - | All-LDFPs |
| 29 | Niacinamide | C6H6N2O | 15.62 | (M+HCOO)− | 122.048 | 167.0462 | 167.0462 | −0.23 | 124, 128 | 108 | - | All-LEFPs | - |
| 30 | L-ascorbic acid | C6H8O6 | 1.66 | (M−H)− | 176.032 | 175.0247 | 175.0248 | −0.92 | 117, 175 | - | - | LEFPs-0 h | - |
Disclaimer/Publisher’s Note: The statements, opinions and data contained in all publications are solely those of the individual author(s) and contributor(s) and not of MDPI and/or the editor(s). MDPI and/or the editor(s) disclaim responsibility for any injury to people or property resulting from any ideas, methods, instructions or products referred to in the content. |
© 2024 by the authors. Licensee MDPI, Basel, Switzerland. This article is an open access article distributed under the terms and conditions of the Creative Commons Attribution (CC BY) license (https://creativecommons.org/licenses/by/4.0/).
Share and Cite
Ayar-Sümer, E.N.; Verheust, Y.; Özçelik, B.; Raes, K. Impact of Lactic Acid Bacteria Fermentation Based on Biotransformation of Phenolic Compounds and Antioxidant Capacity of Mushrooms. Foods 2024, 13, 1616. https://doi.org/10.3390/foods13111616
Ayar-Sümer EN, Verheust Y, Özçelik B, Raes K. Impact of Lactic Acid Bacteria Fermentation Based on Biotransformation of Phenolic Compounds and Antioxidant Capacity of Mushrooms. Foods. 2024; 13(11):1616. https://doi.org/10.3390/foods13111616
Chicago/Turabian StyleAyar-Sümer, Eda Nur, Yannick Verheust, Beraat Özçelik, and Katleen Raes. 2024. "Impact of Lactic Acid Bacteria Fermentation Based on Biotransformation of Phenolic Compounds and Antioxidant Capacity of Mushrooms" Foods 13, no. 11: 1616. https://doi.org/10.3390/foods13111616
APA StyleAyar-Sümer, E. N., Verheust, Y., Özçelik, B., & Raes, K. (2024). Impact of Lactic Acid Bacteria Fermentation Based on Biotransformation of Phenolic Compounds and Antioxidant Capacity of Mushrooms. Foods, 13(11), 1616. https://doi.org/10.3390/foods13111616

