In Vitro and In Vivo Evaluating Bioaccessibility, Bioavailability, and Antioxidant Activities of Butterfly Pea Flower Containing Bioactive Constitutes
Abstract
1. Introduction
2. Materials and Methods
2.1. Materials and Reagents
2.2. Preparation of BF Extracts
2.3. In Vitro-Simulated Gastrointestinal Digestion
2.4. Determination of Bioactive Content and Antioxidant Capacity
2.4.1. Determination of Total Phenol Content
2.4.2. Determination of Total Flavonoid Content
2.4.3. Ferric Reducing Antioxidant Power (FRAP) Assay
2.4.4. Determination of 1,1-Diphenyl-2-picrylhydrazyl (DPPH) Free Radical Scavenging Ability
2.4.5. Determination of 2,2′-Azino-bis(3-ethylbenzothiazoline-6-sulfonic Acid) (ABTS) Free Radical Scavenging Ability
2.5. Animal Experimental Design for Metabolic Study and Pharmacokinetic Experiments
2.5.1. Identification and Quantification of Metabolites in Rats
2.5.2. Pharmacokinetic Analysis
2.6. Animal Experimental Design for In Vivo Antioxidant Activities
In Vivo Antioxidant Activities
2.7. Statistical Analysis
3. Results and Discussion
3.1. Stability and Antioxidant Activities of BF Extracts in a Simulated Gastrointestinal Tract Model
3.2. The Pharmacokinetics of Key Anthocyanins and Their Metabolites in Rat
3.3. Metabolic Fate of Key Anthocyanins Derived from BF in Rat Plasma and Urine
3.3.1. Metabolic Profiling of C3G
3.3.2. Characterization of the Metabolites of D3G
3.3.3. Characterization of the Metabolites of Rutin
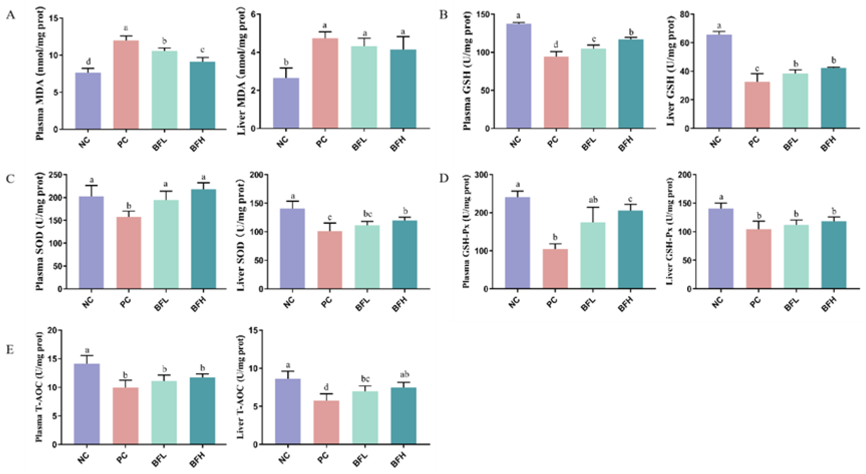
3.4. In Vivo Antioxidant Activities of BFs
4. Conclusions
Author Contributions
Funding
Institutional Review Board Statement
Informed Consent Statement
Data Availability Statement
Acknowledgments
Conflicts of Interest
References
- Teixeira, M.; Tao, W.; Fernandes, A.; Faria, A.; Ferreira, I.M.P.L.V.O.; He, J.; de Freitas, V.; Mateus, N.; Oliveira, H. Anthocyanin-rich edible flowers, current understanding of a potential new trend in dietary patterns. Trends Food Sci. Technol. 2023, 138, 708–725. [Google Scholar] [CrossRef]
- Vidana Gamage, G.C.; Lim, Y.Y.; Choo, W.S. Anthocyanins from Clitoria ternatea Flower: Biosynthesis, Extraction, Stability, Antioxidant Activity, and Applications. Front. Plant Sci. 2021, 12, 792303. [Google Scholar] [CrossRef] [PubMed]
- Thuy, N.M.; Minh, V.Q.; Ben, T.C.; Thi Nguyen, M.T.; Ha, H.T.N.; Tai, N.V. Identification of anthocyanin compounds in butterfly pea flowers (Clitoria ternatea L.) by ultra performance liquid chromatography/ultraviolet coupled to mass spectrometry. Molecules 2021, 26, 4539. [Google Scholar] [CrossRef] [PubMed]
- Houghton, A.; Appelhagen, I.; Martin, C. Natural blues: Structure meets function in anthocyanins. Plants 2021, 10, 726. [Google Scholar] [CrossRef]
- Jurić, S.; Jurić, M.; Król-Kilińska, Ż.; Vlahoviček-Kahlina, K.; Vinceković, M.; Dragović-Uzelac, V.; Donsì, F. Sources, stability, encapsulation and application of natural pigments in foods. Food Rev. Int. 2022, 38, 1735–1790. [Google Scholar] [CrossRef]
- Yu, Q.; Yu, F.; Li, Q.; Zhang, J.; Peng, Y.; Wang, X.; Li, T.; Yin, N.; Sun, G.; Ouyang, H.; et al. Anthocyanin-Rich Butterfly Pea Flower Extract Ameliorating Low-Grade Inflammation in a High-Fat-Diet and Lipopolysaccharide-Induced Mouse Model. J. Agric. Food Chem. 2023, 71, 11941–11956. [Google Scholar] [CrossRef] [PubMed]
- Jokioja, J.; Yang, B.; Linderborg, K.M. Acylated anthocyanins: A review on their bioavailability and effects on postprandial carbohydrate metabolism and inflammation. Compr. Rev. Food Sci. Food Saf. 2021, 20, 5570–5615. [Google Scholar] [CrossRef] [PubMed]
- Ichiyanagi, T.; Terahara, N.; Rahman, M.M.; Konishi, T. Gastrointestinal Uptake of Nasunin, Acylated Anthocyanin in Eggplant. J. Agric. Food Chem. 2006, 54, 5306–5312. [Google Scholar] [CrossRef]
- Han, H.; Liu, C.; Gao, W.; Li, Z.; Qin, G.; Qi, S.; Jiang, H.; Li, X.; Liu, M.; Yan, F. Anthocyanins are converted into anthocyanidins and phenolic acids and effectively absorbed in the jejunum and ileum. J. Agric. Food Chem. 2021, 69, 992–1002. [Google Scholar] [CrossRef]
- Wiczkowski, W.; Szawara-Nowak, D.; Topolska, J. Red cabbage anthocyanins: Profile, isolation, identification, and antioxidant activity. Food Res. Int. 2013, 51, 303–309. [Google Scholar] [CrossRef]
- Zhang, H.; Tsao, R. Dietary polyphenols, oxidative stress and antioxidant and anti-inflammatory effects. Curr. Opin. Food Sci. 2016, 8, 33–42. [Google Scholar] [CrossRef]
- de Almeida, A.; de Oliveira, J.; da Silva Pontes, L.V.; de Souza Júnior, J.F.; Gonçalves, T.A.F.; Dantas, S.H.; de Almeida Feitosa, M.S.; Silva, A.O.; de Medeiros, I.A. ROS: Basic Concepts, Sources, Cellular Signaling, and its Implications in Aging Pathways. Oxidative Med. Cell. Longev. 2022, 2022, 1225578. [Google Scholar] [CrossRef] [PubMed]
- Zhang, H.; Liu, R.; Tsao, R. Anthocyanin-rich phenolic extracts of purple root vegetables inhibit pro-inflammatory cytokines induced by H2O2 and enhance antioxidant enzyme activities in Caco-2 cells. J. Funct. Foods 2016, 22, 363–375. [Google Scholar] [CrossRef]
- Wilken, M.R.; Lambert, M.N.T.; Christensen, C.B.; Jeppesen, P.B. Effects of anthocyanin-rich berries on the risk of metabolic syndrome: A systematic review and meta-analysis. Rev. Diabet. Stud. 2022, 18, 42–57. [Google Scholar] [CrossRef]
- Naseri, R.; Farzaei, F.; Haratipour, P.; Nabavi, S.F.; Habtemariam, S.; Farzaei, M.H.; Khodarahmi, R.; Tewari, D.; Momtaz, S. Anthocyanins in the management of metabolic syndrome: A pharmacological and biopharmaceutical review. Front. Pharmacol. 2018, 9, 1310. [Google Scholar] [CrossRef]
- Colombo, R.; Ferron, L.; Frosi, I.; Papetti, A. Advances in static in vitro digestion models after the COST action Infogest consensus protocol. Food Funct. 2021, 12, 7619–7636. [Google Scholar] [CrossRef] [PubMed]
- Tang, Y.; Zhang, B.; Li, X.; Chen, P.X.; Zhang, H.; Liu, R.; Tsao, R. Bound Phenolics of Quinoa Seeds Released by Acid, Alkaline, and Enzymatic Treatments and Their Antioxidant and α-Glucosidase and Pancreatic Lipase Inhibitory Effects. J. Agric. Food Chem. 2016, 64, 1712–1719. [Google Scholar] [CrossRef]
- Wang, X.; Yu, N.; Peng, H.; Hu, Z.; Sun, Y.; Zhu, X.; Jiang, L.; Xiong, H. The profiling of bioactives in Akebia trifoliata pericarp and metabolites, bioavailability and in vivo anti-inflammatory activities in DSS-induced colitis mice. Food Funct. 2019, 10, 3977–3991. [Google Scholar] [CrossRef]
- Peng, W.; Li, Z.; Cai, D.; Yi, X.; Zhang, J.Y.J.; Zhong, G.; Ouyang, H.; Feng, Y.; Yang, S. Gender differences pharmacokinetics, bioavailability, hepatic metabolism and metabolism studies of Pinnatifolone A, a sesquiterpenoid compound, in rats by LC-MS/MS and UHPLC-Q-TOF-MS/MS. Phytomedicine 2023, 109, 154544. [Google Scholar] [CrossRef]
- Guo, F.; Xiong, H.; Wang, X.; Jiang, L.; Yu, N.; Hu, Z.; Sun, Y.; Tsao, R. Phenolics of Green Pea (Pisum sativum L.) Hulls, Their Plasma and Urinary Metabolites, Bioavailability, and in Vivo Antioxidant Activities in a Rat Model. J. Agric. Food Chem. 2019, 67, 11955–11968. [Google Scholar] [CrossRef]
- Zhang, H.; Hassan, Y.I.; Renaud, J.; Liu, R.; Yang, C.; Sun, Y.; Tsao, R. Bioaccessibility, bioavailability, and anti-inflammatory effects of anthocyanins from purple root vegetables using mono-and co-culture cell models. Mol. Nutr. Food Res. 2017, 61, 1600928. [Google Scholar] [CrossRef]
- Tian, L.; Tan, Y.; Chen, G.; Wang, G.; Sun, J.; Ou, S.; Chen, W.; Bai, W. Metabolism of anthocyanins and consequent effects on the gut microbiota. Crit. Rev. Food Sci. Nutr. 2019, 59, 982–991. [Google Scholar] [CrossRef]
- Oliveira, H.; Perez-Gregorio, R.; de Freitas, V.; Mateus, N.; Fernandes, I. Comparison of the in vitro gastrointestinal bioavailability of acylated and non-acylated anthocyanins: Purple-fleshed sweet potato vs red wine. Food Chem. 2019, 276, 410–418. [Google Scholar] [CrossRef]
- Zhao, C.-L.; Yu, Y.-Q.; Chen, Z.-J.; Wen, G.-S.; Wei, F.-G.; Zheng, Q.; Wang, C.-D.; Xiao, X.-L. Stability-increasing effects of anthocyanin glycosyl acylation. Food Chem. 2017, 214, 119–128. [Google Scholar] [CrossRef]
- Ichiyanagi, T.; Nashimoto, M.; Terahara, N. Gastrointestinal Absorption of Ternatins, Polyacylated Anthocyanins Derived from Butterfly Pea (Clitoria ternatea L.) Petals in Rats. BPB Rep. 2021, 4, 136–141. [Google Scholar] [CrossRef]
- Hurtado-Barroso, S.; Quifer-Rada, P.; Marhuenda-Muñoz, M.; Rinaldi de Alvarenga, J.F.; Tresserra-Rimbau, A.; Lamuela-Raventós, R.M. Increase of 4-Hydroxybenzoic, a Bioactive Phenolic Compound, after an Organic Intervention Diet. Antioxidants 2019, 8, 340. [Google Scholar] [CrossRef]
- Rodriguez-Mateos, A.; Vauzour, D.; Krueger, C.G.; Shanmuganayagam, D.; Reed, J.; Calani, L.; Mena, P.; Del Rio, D.; Crozier, A. Bioavailability, bioactivity and impact on health of dietary flavonoids and related compounds: An update. Arch. Toxicol. 2014, 88, 1803–1853. [Google Scholar] [CrossRef]
- De Ferrars, R.M.; Czank, C.; Zhang, Q.; Botting, N.P.; Kroon, P.A.; Cassidy, A.; Kay, C.D. The pharmacokinetics of anthocyanins and their metabolites in humans. Br. J. Pharmacol. 2014, 171, 3268–3282. [Google Scholar] [CrossRef]
- Zhang, S.; Gai, Z.; Gui, T.; Chen, J.; Chen, Q.; Li, Y. Antioxidant Effects of Protocatechuic Acid and Protocatechuic Aldehyde: Old Wine in a New Bottle. Evid.-Based Complement. Altern. Med. 2021, 2021, 6139308. [Google Scholar] [CrossRef]
- Kalt, W.; Liu, Y.; McDonald, J.E.; Vinqvist-Tymchuk, M.R.; Fillmore, S.A. Anthocyanin metabolites are abundant and persistent in human urine. J. Agric. Food Chem. 2014, 62, 3926–3934. [Google Scholar] [CrossRef]
- Gui, H.; Sun, L.; Liu, R.; Si, X.; Li, D.; Wang, Y.; Shu, C.; Sun, X.; Jiang, Q.; Qiao, Y. Current knowledge of anthocyanin metabolism in the digestive tract: Absorption, distribution, degradation, and interconversion. Crit. Rev. Food Sci. Nutr. 2023, 63, 5953–5966. [Google Scholar] [CrossRef]
- Jia, Z.; Anandh Babu, P.V.; Chen, W.; Sun, X. Natural products targeting on oxidative stress and inflammation: Mechanisms, therapies, and safety assessment. Oxidative Med. Cell. Longev. 2018, 2018, 6576093. [Google Scholar] [CrossRef]
- Choi, S.S.; Park, H.R.; Lee, K.A. A Comparative Study of Rutin and Rutin Glycoside: Antioxidant Activity, Anti-Inflammatory Effect, Effect on Platelet Aggregation and Blood Coagulation. Antioxidants 2021, 10, 1696. [Google Scholar] [CrossRef]
- Barve, A.; Chen, C.; Hebbar, V.; Desiderio, J.; Saw, C.L.L.; Kong, A.N. Metabolism, oral bioavailability and pharmacokinetics of chemopreventive kaempferol in rats. Biopharm. Drug Dispos. 2009, 30, 356–365. [Google Scholar] [CrossRef]
- Williamson, G.; Clifford, M.N. Colonic metabolites of berry polyphenols: The missing link to biological activity? Br. J. Nutr. 2010, 104, S48–S66. [Google Scholar] [CrossRef]
- Bo-Htay, C.; Palee, S.; Apaijai, N.; Chattipakorn, S.C.; Chattipakorn, N. Effects of d-galactose-induced ageing on the heart and its potential interventions. J. Cell. Mol. Med. 2018, 22, 1392–1410. [Google Scholar] [CrossRef]
- Han, H.; Liu, Z.; Yin, J.; Gao, J.; He, L.; Wang, C.; Hou, R.; Li, T.; Yin, Y. D-galactose induces chronic oxidative stress and alters gut microbiota in weaned piglets. Front. Physiol. 2021, 12, 634283. [Google Scholar] [CrossRef]
- Rehman, S.U.; Shah, S.A.; Ali, T.; Chung, J.I.; Kim, M.O. Anthocyanins reversed D-galactose-induced oxidative stress and neuroinflammation mediated cognitive impairment in adult rats. Mol. Neurobiol. 2017, 54, 255–271. [Google Scholar] [CrossRef]
- Mezzetti, A.; Lapenna, D.; Romano, F.; Costantini, F.; Pierdomenico, S.D.; De Cesare, D.; Cuccurullo, F.; Riario-Sforza, G.; Zuliani, G.; Fellin, R. Systemic oxidative stress and its relationship with age and illness. J. Am. Geriatr. Soc. 1996, 44, 823–827. [Google Scholar] [CrossRef]
- Wei, J.; Zhang, G.; Zhang, X.; Xu, D.; Gao, J.; Fan, J. Anthocyanins delay ageing-related degenerative changes in the liver. Plant Foods Hum. Nutr. 2017, 72, 425–431. [Google Scholar] [CrossRef]
- Moriya, C.; Hosoya, T.; Agawa, S.; Sugiyama, Y.; Kozone, I.; Shin-Ya, K.; Terahara, N.; Kumazawa, S. New acylated anthocyanins from purple yam and their antioxidant activity. Biosci. Biotechnol. Biochem. 2015, 79, 1484–1492. [Google Scholar] [CrossRef]
- Reis, J.F.; Monteiro, V.V.S.; de Souza Gomes, R.; do Carmo, M.M.; da Costa, G.V.; Ribera, P.C.; Monteiro, M.C. Action mechanism and cardiovascular effect of anthocyanins: A systematic review of animal and human studies. J. Transl. Med. 2016, 14, 315. [Google Scholar] [CrossRef] [PubMed]
- Jiang, T.; Shuai, X.; Li, J.; Yang, N.; Deng, L.; Li, S.; He, Y.; Guo, H.; Li, Y.; He, J. Protein-bound anthocyanin compounds of purple sweet potato ameliorate hyperglycemia by regulating hepatic glucose metabolism in high-fat diet/streptozotocin-induced diabetic mice. J. Agric. Food Chem. 2020, 68, 1596–1608. [Google Scholar] [CrossRef] [PubMed]
- Warraich, U.E.; Hussain, F.; Kayani, H.U.R. Aging—Oxidative stress, antioxidants and computational modeling. Heliyon 2020, 6, e04107. [Google Scholar] [CrossRef] [PubMed]
- Liguori, I.; Russo, G.; Curcio, F.; Bulli, G.; Aran, L.; Della-Morte, D.; Gargiulo, G.; Testa, G.; Cacciatore, F.; Bonaduce, D.; et al. Oxidative stress, aging, and diseases. Clin. Interv. Aging 2018, 13, 757–772. [Google Scholar] [CrossRef]
- Rudrapal, M.; Khairnar, S.J.; Khan, J.; Dukhyil, A.B.; Ansari, M.A.; Alomary, M.N.; Alshabrmi, F.M.; Palai, S.; Deb, P.K.; Devi, R. Dietary Polyphenols and Their Role in Oxidative Stress-Induced Human Diseases: Insights Into Protective Effects, Antioxidant Potentials and Mechanism(s) of Action. Front. Pharmacol. 2022, 13, 806470. [Google Scholar] [CrossRef]





| Metabolite | Cmax (nM) | tmax (h) | t1/2 (h) | AUC0-10 (nmol h L−1) |
|---|---|---|---|---|
| Delphinidin 3-glucoside | 51.65 ± 3.201 | 0.5 | 1.639 ± 0.271 | 54.654 ± 9.089 |
| Cyanidin-3-glucoside | 69.034 ± 8.051 | 1 | 1.214 ± 0.38 | 131.314 ± 12.185 |
| 4-Hydroxybenzoic acid | 6.98 ± 0.805 | 1 | 6.483 ± 5.165 | 31.279 ± 1.908 |
| Peak # | RT (min) | [M-H]− (m/z) | Tentative Identification | Fragments (MS2) | Location | Original Compounds |
|---|---|---|---|---|---|---|
| Original compounds | ||||||
| 1 | 8.40 | 464.30 | delphinidin 3-glucoside | 403.26, 367.26, 301.17, 196.00 | S, U | - |
| 2 | 8.96 | 610.42 | rutin | 564.39, 474.15, 302.06 | S | - |
| 3 | 9.81 | 593.15 | cyanidin-3-(p-coumaroyl) glucose | 447.19, 284.98 | S | - |
| 4 | 22.61 | 448.31 | cyanidin-3-O-glucoside (C3G) | 380.23, 285.11, 134.16 | S, U | - |
| Metabolites | ||||||
| M1 | 0.93 | 179.06 | caffeic acid (CA) | - | U | C3G |
| M2 | 1.44 | 169.01 | 2,4,6-trihydroxybenzoic acid (THBA) | 125.17 | U | C3G |
| M3 | 1.70 | 153.02 | protocatechuic acid (PCA) | 81.17 | U | C3G |
| M4 | 3.97 | 178.05 | hippuric acid (HA) | 135.06, 80.16 | U | C3G |
| M5 | 4.00 | 137.02 | 4-hydroxybenzoic acid (4-HBA) | 109.19, 108.28, 81.26 | U | C3G |
| M6 | 4.29 | 153.02 | phloroglucinaldehyde (PGA) | 81.17, 108.56 | U | C3G |
| M7 | 5.40 | 120.05 | benzoic acid (BA) | 93.11, 79.00, 64.91 | U | C3G |
| M8 | 5.42 | 162.06 | p-coumaric acid (p-CA) | 144.20, 119.27, 74.22 | U | C3G |
| M9 | 9.04 | 193.05 | ferulic acid (FA) | 178.01, 149.08, 133.99 | U | C3G |
| M10 | 9.31 | 167.02 | vanillic acid (VA) | - | U | C3G |
| M11 | 10.56 | 329.00 | PCA-3-glucuronide | 153.02 | S | C3G |
| M12 | 10.93 | 343.08 | VA-4-glucuronide | 175.24, 169.19, 152.24, 113.25 | S | C3G |
| M13 | 10.98 | 329.00 | PCA-4-glucuronide | 153.02 | S, U | C3G |
| M14 | 11.86 | 285.11 | cyanidin (Cy) | 267.15, 223.19, 137.11, 81.30 | U | C3G |
| M15 | 19.99 | 1746.38 | dehydration | 1708.66, 1534.82, 1406.51 | S | ternatin D1 |
| M16 | 20.00 | 302.04 | deglycosylation | 285.21, 247.06, 165.22 | S, U | delphinidin 3-glucoside |
| M17 | 21.98 | 407.28 | decarboxylation | 386.30, 290.26 | S, U | C3G |
| M18 | 23.54 | 431.19 | deglycosylation | - | S | cyanidin-3-(p-coumaroyl) glucose |
| M19 | 23.98 | 315.00 | benzoic acid-4-glucuronide | 175.18 | S, U | C3G |
| M20 | 24.53 | 446.23 | dehydrogenation | 427.14, 378.24 | S | quercetin 3-O-rhamnoside |
| M21 | 25.37 | 624.31 | glucuronidation | 562.27, 494.47 | S | C3G |
| M22 | 25.90 | 233.16 | PCA-3-sulfate | 189.04, 144.02, 83.17 | U | C3G |
| M23 | 26.90 | 564.33 | loss of HCOOH | 428.03, 255.27 | S, U | rutin |
| M24 | 26.94 | 528.31 | sulfation | 468.33, 303.21, 259.25 | S | C3G |
| M25 | 29.10 | 566.33 | loss of COO | 506.33 | S | rutin |
| M26 | 29.13 | 640.28 | glucuronidation | 621.17, 508.44, 437.40, 300.00 | S | delphinidin 3-glucoside |
| M27 | 32.89 | 655.42 | glucuronidation, methylation | 610.29, 520.89, 348.24 | S | delphinidin 3-glucoside |
Disclaimer/Publisher’s Note: The statements, opinions and data contained in all publications are solely those of the individual author(s) and contributor(s) and not of MDPI and/or the editor(s). MDPI and/or the editor(s) disclaim responsibility for any injury to people or property resulting from any ideas, methods, instructions or products referred to in the content. |
© 2024 by the authors. Licensee MDPI, Basel, Switzerland. This article is an open access article distributed under the terms and conditions of the Creative Commons Attribution (CC BY) license (https://creativecommons.org/licenses/by/4.0/).
Share and Cite
Yu, F.; Yu, Q.; Yin, N.; Sun, G.; Peng, Y.; Zeng, Y.; Sun, Y.; Wang, X.; Zhang, H. In Vitro and In Vivo Evaluating Bioaccessibility, Bioavailability, and Antioxidant Activities of Butterfly Pea Flower Containing Bioactive Constitutes. Foods 2024, 13, 1485. https://doi.org/10.3390/foods13101485
Yu F, Yu Q, Yin N, Sun G, Peng Y, Zeng Y, Sun Y, Wang X, Zhang H. In Vitro and In Vivo Evaluating Bioaccessibility, Bioavailability, and Antioxidant Activities of Butterfly Pea Flower Containing Bioactive Constitutes. Foods. 2024; 13(10):1485. https://doi.org/10.3390/foods13101485
Chicago/Turabian StyleYu, Fengyao, Qinqin Yu, Ning Yin, Genlin Sun, You Peng, Yan Zeng, Yong Sun, Xiaoya Wang, and Hua Zhang. 2024. "In Vitro and In Vivo Evaluating Bioaccessibility, Bioavailability, and Antioxidant Activities of Butterfly Pea Flower Containing Bioactive Constitutes" Foods 13, no. 10: 1485. https://doi.org/10.3390/foods13101485
APA StyleYu, F., Yu, Q., Yin, N., Sun, G., Peng, Y., Zeng, Y., Sun, Y., Wang, X., & Zhang, H. (2024). In Vitro and In Vivo Evaluating Bioaccessibility, Bioavailability, and Antioxidant Activities of Butterfly Pea Flower Containing Bioactive Constitutes. Foods, 13(10), 1485. https://doi.org/10.3390/foods13101485

