Application of Different Animal Fats as Solvents to Extract Carotenoids and Capsaicinoids from Sichuan Chili
Abstract
1. Introduction
2. Materials and Methods
2.1. Materials
2.2. Extraction Using Animal Fats as Solvents
2.3. Determination of Total Carotenoid Content
2.4. Determination of Capsaicinoids and Pungency Degree
2.5. Fatty Acid Composition Analysis
2.6. Acid Value and Total Oxidation Value (TOTOX)
2.7. Melting and Crystallization Behaviors
2.8. X-ray Diffraction (XRD) Measurement
2.9. Micromorphological Observation
2.10. Oxidative Stability
2.11. Theoretical Solubility of Capsanthin and Capsaicinoids in Animal Fats
2.12. Statistical Analysis
3. Results and Discussion
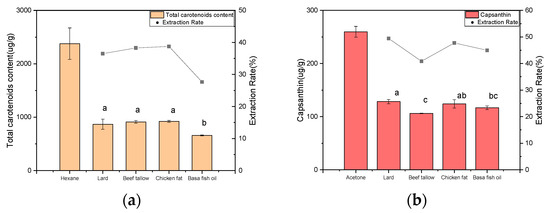
3.1. The Effect of Animal Fats as Solvents on the Extraction of Carotenoids and Capsanthin
3.2. The Effect of Animal Fats as Solvents on the Extraction of Capsaicinoids
3.3. Physicochemical Properties of Animal Fats before and after Extraction
3.3.1. Fatty Acid Composition
3.3.2. Oil Quality Indexes
3.3.3. Oxidative Stability
3.3.4. Melting and Crystallization Behavior
3.3.5. Crystal Polymorphism and Micromorphology
3.4. Theoretical Miscibility of Carotenoids and Capsaicinoids with Animal Fats
4. Conclusions
Author Contributions
Funding
Institutional Review Board Statement
Informed Consent Statement
Data Availability Statement
Conflicts of Interest
References
- Faisal, S.; Ebaid, R.; Li, L.; Zhao, F.; Wang, Q.; Huang, J.; Abomohra, A. Enhanced waste hot-pot oil (WHPO) anaerobic digestion for biomethane production: Mechanism and dynamics of fatty acids conversion. Chemosphere 2022, 307, 135955. [Google Scholar] [CrossRef] [PubMed]
- Yu, M.; Li, T.; Wan, S.; Song, H.; Zhang, Y.; Raza, A.; Wang, C.; Wang, H.; Wang, H. Sensory-directed establishment of sensory wheel and characterization of key aroma-active compounds for spicy tallow hot pot seasoning. Food Chem. 2023, 405, 134904. [Google Scholar] [CrossRef]
- McDougall, J.I. Globalization of Sichuan hot pot in the “new era”. Asian Anthropol. 2021, 20, 77–92. [Google Scholar] [CrossRef]
- Wang, J.; Chen, L.; Liu, Y.; Olajide, T.M.; Jiang, Y.; Cao, W. Identification of key aroma-active compounds in beef tallow varieties using flash GC electronic nose and GC × GC-TOF/MS. Eur. Food Res. Technol. 2022, 248, 1733–1747. [Google Scholar] [CrossRef]
- Cheng, G.; Zhang, M.; Cao, Y.; Lu, Y.; Feng, Y.; Zhao, S. Preparation and evaluation of lignite flotation collector derived from waste hot-pot oil. Fuel 2020, 267, 117138. [Google Scholar] [CrossRef]
- Chong, W.-T.; Lee, Y.-Y.; Tang, T.-K.; Phuah, E.-T. Minor Components in Edible Oil. In Recent Advances in Edible Fats and Oils Technology: Processing, Health Implications, Economic and Environmental Impact; Lee, Y.-Y., Tang, T.-K., Phuah, E.-T., Lai, O.-M., Eds.; Springer: Singapore, 2022; pp. 141–187. [Google Scholar]
- Li, Y.; Fabiano-Tixier, A.S.; Ruiz, K.; Rossignol Castera, A.; Bauduin, P.; Diat, O.; Chemat, F. Comprehension of direct extraction of hydrophilic antioxidants using vegetable oils by polar paradox theory and small angle X-ray scattering analysis. Food Chem. 2015, 173, 873–880. [Google Scholar] [CrossRef] [PubMed]
- Zamuz, S.; Bohrer, B.M.; Campagnol, P.C.B.; Dominguez, R.; Pateiro, M.; Santos, E.M.; Lorenzo, J.M. Lipid Oxidation of Animal Fat. In Food Lipids: Sources, Health Implications, and Future Trends; Lorenzo, J.M., Munekata, P.E.S., Pateiro, M., Barba, F.J., Dominguez, R., Eds.; Academic Press: Cambridge, MA, USA, 2022; pp. 89–103. [Google Scholar]
- Embuscado, M.E. Spices and herbs: Natural sources of antioxidants—A mini review. J. Funct. Foods 2015, 18, 811–819. [Google Scholar] [CrossRef]
- Lehukov, K.A.; Tsikin, S. A study on an effect of the green tea extract on quality and shelf life of animal fats during storage. Theory Pract. Meat Process. 2020, 1, 32–42. [Google Scholar] [CrossRef]
- Liu, Q.; Zhang, Y.; Jiao, W.; Zhang, L. Study of the thermal behavior of rosemary extract and its temperature-related antioxidant effect on chicken fat. J. Food Process. Preserv. 2022, 46, e16793. [Google Scholar] [CrossRef]
- Pop, F.; Mihalescu, L. Effects of α-tocopherol and citric acid on the oxidative stability of alimentary poultry fats during storage at low temperatures. Int. J. Food Prop. 2017, 20, 1085–1096. [Google Scholar] [CrossRef][Green Version]
- Pop, F.; Dippong, T. The antioxidant effect of burdock exract on the oxidative stability of lard and goose fat during heat treatment. Foods 2024, 13, 304. [Google Scholar] [CrossRef] [PubMed]
- De Leonardis, A.; Macciola, V.; Lembo, G.; Aretimi, A.; Nag, A. Studies on oxidative stabilisation of lard by natural antioxidants recovered from olive-oil mill wastewater. Food Chem. 2007, 100, 998–1004. [Google Scholar] [CrossRef]
- Yara-Varón, E.; Li, Y.; Balcells, M.; Canela-Garayoa, R.; Fabiano-Tixier, A.-S.; Chemat, F. Vegetable oils as alternative solvents for green oleo-extraction, purification and formulation of food and natural products. Molecules 2017, 22, 1474. [Google Scholar] [CrossRef] [PubMed]
- Chemat, F.; Vian, M.A.; Cravotto, G. Green Extraction of Natural Products: Concept and Principles. Int. J. Mol. Sci. 2012, 13, 8615–8627. [Google Scholar] [CrossRef] [PubMed]
- Zhang, R.; Chen, G.; Yang, B.; Wu, Y.; Du, M.; Kan, J. Insights into the stability of carotenoids and capsaicinoids in water-based or oil-based chili systems at different processing treatments. Food Chem. 2021, 342, 128308. [Google Scholar] [CrossRef]
- Pérez-González, A.; Prejanò, M.; Russo, N.; Marino, T.; Galano, A. Capsaicin, a powerful (•) OH-inactivating ligand. Antioxidants 2020, 9, 1247. [Google Scholar] [CrossRef] [PubMed]
- Wang, M.; Zhao, P.; Zhang, P.; Chen, Y.; Liu, C. Antioxidant effect of capsaicin monomer, dihydrocapsaicin monomer, and nordihydrocapsaicin monomer. Chem. Bioeng. 2019, 36, 8–11. (In Chinese) [Google Scholar] [CrossRef]
- Civan, M.; Kumcuoglu, S. Green ultrasound-assisted extraction of carotenoid and capsaicinoid from the pulp of hot pepper paste based on the bio-refinery concept. LWT 2019, 113, 108320. [Google Scholar] [CrossRef]
- Fang, L.; Tao, T.; Zhu, Z.; Wu, W.; Chen, H. Determination of capsaicin compounds in foods by high performance liquid chromatography. Food Technol. 2020, 45, 361–365. (In Chinese) [Google Scholar] [CrossRef]
- DB 50/T 870-2018; The Measuring and Grading of Pungency Degree for Bottom Material of Spicy Hot-Pot. Chongqing Local Standard: Chongqing, China, 2018.
- AOCS Official Method Ch 3-91; Fatty Acids in the 2-Position in the Triglycerides of Oils and Fats. AOCS: Champaign, IL, USA, 2017.
- AOCS Official Method Cd 8b-90; Peroxide Value, Acetic Acid, Isooctane Method. AOCS: Champaign, IL, USA, 2017.
- AOCS Official Method Cd 18-90; p-Anisidine Value. AOCS: Champaign, IL, USA, 2017.
- Doğan, T.H.; Naktiyok, J. Thermal behaviours at low and high temperature of biodiesels produced from beef tallow and corn oil. J. Therm. Anal. Calorim. 2022, 147, 9025–9035. [Google Scholar] [CrossRef]
- ISO 6885: 2016; Animal and Vegetable Fats and Oils-Determination of Anisidine Value. International Organization for Standardization: Geneva, Switzerland, 2016.
- Zou, S.; Zhang, Y.; Wang, Q.; Yang, L.; Karrar, E.; Jin, Q.; Zhang, H.; Wu, G.; Wang, X. Effect of palm stearin on the physicochemical characterization and capsaicinoid digestion of Sichuan hotpot oil. Food Chem. 2022, 371, 131167. [Google Scholar] [CrossRef]
- Fruehwirth, S.; Steinschaden, R.; Woschitz, L.; Richter, P.; Schreiner, M.; Hoffmann, B.; Hoffmann, W.; Pignitter, M. Oil-assisted extraction of polyphenols from press cake to enhance oxidative stability of flaxseed oil. LWT-Food Sci. Technol. 2020, 133, 110006. [Google Scholar] [CrossRef]
- Li, Y.; Fabiano-Tixier, A.S.; Ginies, C.; Chemat, F. Direct green extraction of volatile aroma compounds using vegetable oils as solvents: Theoretical and experimental solubility study. LWT-Food Sci. Technol. 2014, 59, 724–731. [Google Scholar] [CrossRef]
- Pugliese, A.; O’Callaghan, Y.; Tundis, R.; Galvin, K.; Menichini, F.; O’Brien, N.; Loizzo, M.R. In vitro assessment of the bioaccessibility of carotenoids from sun-dried chilli peppers. Plant Foods Hum. Nutr. 2014, 69, 8–17. [Google Scholar] [CrossRef]
- Guadarrama-Lezama, A.Y.; Dorantes-Alvarez, L.; Jaramillo-Flores, M.E.; Pérez-Alonso, C.; Niranjan, K.; Gutiérrez-López, G.F.; Alamilla-Beltrán, L. Preparation and characterization of non-aqueous extracts from chilli (Capsicum annuum L.) and their microencapsulates obtained by spray-drying. J. Food Eng. 2012, 112, 29–37. [Google Scholar] [CrossRef]
- Gómez-García Mdel, R.; Ochoa-Alejo, N. Biochemistry and molecular biology of carotenoid biosynthesis in chili peppers (Capsicum spp.). Int. J. Mol. Sci. 2013, 14, 19025–19053. [Google Scholar] [CrossRef]
- Watts, E.; Janes, M.E.; Prinyawiwatkul, W.; Shen, Y.; Xu, Z.; Johnson, D.M. Microbiological changes and their impact on quality characteristics of red hot chilli pepper mash during natural fermentation. Int. J. Food Sci. Technol. 2018, 53, 1816–1823. [Google Scholar] [CrossRef]
- Jin, Q.; Qi, C.; Wang, X.; Wang, X. Study on the separation and photostability of the paprika pigments. J. Food Biotechnol. 2007, 26, 53–57. (In Chinese) [Google Scholar]
- Japir, A.A.W.; Salimon, J.; Derawi, D.; Yahaya, B.H.; Bahadi, M.; Al-Shujaʼa, S.; Yusop, M.R. A highly efficient separation and physicochemical characteristics of saturated fatty acids from crude palm oil fatty acids mixture using methanol crystallisation method. OCL 2018, 25, A203. [Google Scholar] [CrossRef]
- Paduano, A.; Caporaso, N.; Santini, A.; Sacchi, R. Microwave and ultrasound-assisted extraction of capsaicinoids from chili peppers (Capsicum annuum L.) in flavored olive oil. J. Field Robot. 2014, 3, 51–59. [Google Scholar] [CrossRef]
- Liu, Y.; Hu, W.; Jiang, A.; Liu, C.; Bai, L. Determination of fat and fatty acid in chili and chili processing food. Sci. Technol. Food Ind. 2015, 36, 285–287. (In Chinese) [Google Scholar]
- Li, D.; He, X.; Li, Y.; Yao, D. Study on processing technology of chili flavor beef tallow and its volatile compounds analysis. Food Mach. 2021, 37, 149–154+214. (In Chinese) [Google Scholar] [CrossRef]
- GB 10146-2015; National Standard for Food Safety-Edible Animal Fat. National Health and Family Planning Commission of PRC: Beijing, China, 2015.
- DBS50/022-2021; Provincial Standard for Food Safety-Hot Pot Seasoning. Chongqing Health Commission: Chongqing, China, 2021.
- Rege, S.A.; Momin, S.A. Synergistic antioxidant activity of capsicum oleoresin, lecithin and curcuminoids in sunflower oil. Int. J. Food Process. Technol. 2017, 4, 6–11. [Google Scholar]
- Henderson, D.E.; Slickman, A.M. Quantitative HPLC determination of the antioxidant activity of capsaicin on the formation of lipid hydroperoxides of linoleic acid: A comparative study against BHT and melatonin. J. Agric. Food Chem. 1999, 47, 2563–2570. [Google Scholar] [CrossRef]
- Casal, S.; Malheiro, R.; Sendas, A.; Oliveira, B.P.P.; Pereira, J.A. Olive oil stability under deep-frying conditions. Food Chem. Toxicol. 2010, 48, 2972–2979. [Google Scholar] [CrossRef]
- Gopala Krishna, A.G.; Lokesh, B.; Sugasini, D.; Kancheva, V. Evaluation of the antiradical and antioxidant properties of extracts from Indian red chili and black pepper by in vitro models. Bulg. Chem. Commun. 2010, 42, 62–69. [Google Scholar]
- Li, X.; Li, Y.; Yang, F.; Liu, R.; Zhao, C.; Jin, Q.; Wang, X. Oxidation degree of soybean oil at induction time point under Rancimat test condition: Theoretical derivation and experimental observation. Food Res. Int. 2019, 120, 756–762. [Google Scholar] [CrossRef]
- Chiavaro, E.; Rodriguez-Estrada, M.T.; Barnaba, C.; Vittadini, E.; Cerretani, L.; Bendini, A. Differential scanning calorimetry: A potential tool for discrimination of olive oil commercial categories. Anal. Chim. Acta 2008, 625, 215–226. [Google Scholar] [CrossRef]
- Mansor, T.S.T.; Che Man, Y.B.; Shuhaimi, M. Employment of Differential Scanning Calorimetry in Detecting Lard Adulteration in Virgin Coconut Oil. J. Am. Oil Chem. Soc. 2012, 89, 485–496. [Google Scholar] [CrossRef]
- Sathivel, S.; Prinyawiwatkul, W.; Negulescu, I.I.; King, J.M. Determination of Melting Points, Specific Heat Capacity and Enthalpy of Catfish Visceral Oil During the Purification Process. J. Am. Oil Chem. Soc. 2008, 85, 291–296. [Google Scholar] [CrossRef]
- Dahimi, O.; Rahim, A.A.; Abdulkarim, S.M.; Hassan, M.S.; Hashari, S.B.T.Z.; Siti Mashitoh, A.; Saadi, S. Multivariate statistical analysis treatment of DSC thermal properties for animal fat adulteration. Food Chem. 2014, 158, 132–138. [Google Scholar] [CrossRef]
- Almoselhy, R. Applications of Differential Scanning Calorimetry (DSC) in Oils and Fats Research. A Review. Am. Res. J. Agric. 2020, 6, 1–9. [Google Scholar] [CrossRef]
- Marikkar, J.M.N.; Dzulkifly, M.H.; Nadiha, M.Z.N.; Man, Y.B.C. Detection of Animal Fat Contaminations in Sunflower Oil by Differential Scanning Calorimetry. Int. J. Food Prop. 2012, 15, 683–690. [Google Scholar] [CrossRef]
- Zeng, G.; Tian, W.; Zeng, Z.; Yan, X.; Yu, P.; Gong, D.; Wang, J. Construction and in vitro digestibility evaluation of a novel human milk fat substitute rich in structured triglycerides. Food Sci. Technol. 2022, 42, e10422. [Google Scholar] [CrossRef]
- Metin, S.; Hartel, R.W. Thermal analysis of isothermal crystallization kinetics in blends of cocoa butter with milk fat or milk fat fractions. J. Am. Oil Chem. Soc. 1998, 75, 1617–1624. [Google Scholar] [CrossRef]
- Campbell, S.D.; Goff, H.D.; Rousseau, D. Comparison of crystallization properties of a palm stearin/canola oil blend and lard in bulk and emulsified form. Food Res. Int. 2002, 35, 935–944. [Google Scholar] [CrossRef]
- Lopez, C.; Lesieur, P.; Keller, G.; Ollivon, M. Thermal and Structural Behavior of Milk Fat. J. Colloid Interface Sci. 2000, 229, 62–71. [Google Scholar] [CrossRef]
- Meng, Z.; Liu, Y.; Hu, P.; Xu, Z.; Wang, X. Cause analysis of sandiness in beef tallow-based shortening (I))-Composition and crystal type. J. Chin. Cereals Oils 2009, 24, 92–96. (In Chinese) [Google Scholar]






| Sample | Capsaicinoid Content (mg/g) | Pungency Degree (°) | Grade |
|---|---|---|---|
| Lard | 0.63 | 60.39 | Extra spicy |
| Beef tallow | 0.59 | 59.75 | High spicy |
| Chicken fat | 0.58 | 59.54 | High spicy |
| Basa fish oil | 0.72 | 61.80 | Extra spicy |
| Commercial hotpot oil | 1.15 | 66.76 | Extra spicy |
| Fatty Acid Composition | Lard | Beef Tallow | Chicken Fat | Basa Fish Oil | ||||
|---|---|---|---|---|---|---|---|---|
| Before | After | Before | After | Before | After | Before | After | |
| C14:0 | 1.44 ± 0.04 | 1.40 ± 0.06 | 2.63 ± 0.16 | 2.59 ± 0.03 | 24.10 ± 0.00 | 24.10 ± 0.00 | 4.62 ± 1.15 | 3.72 ± 0.44 |
| C14:1 | / | / | 0.50 ± 0.02 | 0.45 ± 0.05 | / | / | / | / |
| C16:0 | 27.62 ± 0.24 | 27.31 ± 0.17 | 31.51 ± 1.13 | 30.92 ± 0.52 | 4.60 ± 0.00 | 4.47 ± 0.00 | 44.26 ± 0.06 g | 42.31 ± 0.44 h |
| C16:1 | 1.42 ± 0.02 | 1.37 ± 0.10 | 3.41 ± 0.28 | 3.19 ± 0.04 | / | / | / | / |
| C18:0 | 18.73 ± 0.51 | 18.07 ± 0.14 | 22.96 ± 0.98 | 21.98 ± 0.45 | 6.31 ± 0.00 | 6.27 ± 0.00 | 13.07 ± 0.33 i | 12.22 ± 0.08 j |
| C18:1 | 35.67 ± 0.25 | 35.28 ± 0.38 | 35.74 ± 0.70 e | 34.33 ± 0.49 f | 37.02 ± 0.00 | 36.16 ± 0.00 | 29.89 ± 1.72 k | 30.85 ± 0.18 l |
| C18:2 | 12.94 ± 0.10 a | 14.39 ± 0.16 b | 4.00 ± 0.15 c | 6.06 ± 0.07 d | 25.61 ± 0.00 | 26.66 ± 0.00 | 8.18 ± 0.22 m | 10.33 ± 0.07 n |
| C18:3 | / | / | / | / | 2.11 ± 0.00 | 2.12 ± 0.00 | 0.87 ± 0.08 | 0.96 ± 0.01 |
| SFA/UFA ratio | 0.96 | 0.92 | 1.31 | 1.26 | 0.44 | 0.44 | 1.59 | 1.38 |
| Index | Lard | Beef Tallow | Chicken Fat | Basa Fish Oil | ||||
|---|---|---|---|---|---|---|---|---|
| Before | After | Before | After | Before | After | Before | After | |
| Acid value (mg/g) | 0.45 ± 0.03 | 1.58 ± 0.13 ** | 1.52 ± 0.00 | 2.78 ± 0.15 ** | 0.94 ± 0.11 | 1.54 ± 0.08 ** | 0.41 ± 0.05 | 1.16 ± 0.19 ** |
| Peroxide value (meq O2/kg) | 2.48 ± 0.5 | 1.16 ± 0.28 * | 4.44 ± 0.24 | 0.98 ± 0.24 ** | 4.34 ± 0.51 | 2.36 ± 0.23 ** | 2.00 ± 0.35 | 0.68 ± 0.18 * |
| p-anisidine value | 1.17 ± 0.06 | 0.51 ± 0.04 ** | 3.62 ± 0.56 | 1.31 ± 0.15 ** | 8.27 ± 0.30 | 2.90 ± 0.32 ** | 1.49 ± 0.28 | 0.40 ± 0.03 ** |
| Total oxidation value (meq O2/kg) | 6.12 ± 0.84 | 2.84 ± 0.47 ** | 17.09 ± 1.89 | 7.62 ± 0.89 ** | 12.36 ± 0.74 | 3.25 ± 0.28 ** | 4.89 ± 0.57 | 1.74 ± 0.38 ** |
| Oxidation induction time (h) | 3.61 ± 0.32 | 13.45 ± 0.54 ** | 18.89 ± 0.68 | 38.15 ± 6.44 ** | 2.03 ± 0.71 | 5.45 ± 0.70 * | 19.67 ± 0.25 | 17.52 ± 0.22 ** |
Disclaimer/Publisher’s Note: The statements, opinions and data contained in all publications are solely those of the individual author(s) and contributor(s) and not of MDPI and/or the editor(s). MDPI and/or the editor(s) disclaim responsibility for any injury to people or property resulting from any ideas, methods, instructions or products referred to in the content. |
© 2024 by the authors. Licensee MDPI, Basel, Switzerland. This article is an open access article distributed under the terms and conditions of the Creative Commons Attribution (CC BY) license (https://creativecommons.org/licenses/by/4.0/).
Share and Cite
Zheng, B.; Wu, Y.; Wang, Y.; Li, Y. Application of Different Animal Fats as Solvents to Extract Carotenoids and Capsaicinoids from Sichuan Chili. Foods 2024, 13, 1478. https://doi.org/10.3390/foods13101478
Zheng B, Wu Y, Wang Y, Li Y. Application of Different Animal Fats as Solvents to Extract Carotenoids and Capsaicinoids from Sichuan Chili. Foods. 2024; 13(10):1478. https://doi.org/10.3390/foods13101478
Chicago/Turabian StyleZheng, Bingyu, Yida Wu, Yong Wang, and Ying Li. 2024. "Application of Different Animal Fats as Solvents to Extract Carotenoids and Capsaicinoids from Sichuan Chili" Foods 13, no. 10: 1478. https://doi.org/10.3390/foods13101478
APA StyleZheng, B., Wu, Y., Wang, Y., & Li, Y. (2024). Application of Different Animal Fats as Solvents to Extract Carotenoids and Capsaicinoids from Sichuan Chili. Foods, 13(10), 1478. https://doi.org/10.3390/foods13101478

