Optimizing Harvesting Efficiency: Development and Assessment of a Pneumatic Air Jet Excitation Nozzle for Delicate Biostructures in Food Processing
Abstract
1. Introduction
2. Materials and Methods
2.1. Parametric Design of the Air Jet Nozzle
2.2. Manufacturing of the Parametric Nozzle Parts
2.2.1. First Stage: 3D Printing of the Nozzle Components
2.2.2. Second Stage: Post-Processing of Printing and Assembly
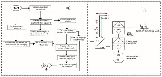
2.3. Experimental Evaluation of the Impact Force
3. Results
3.1. Experimental Measurements for the Force and Vibration
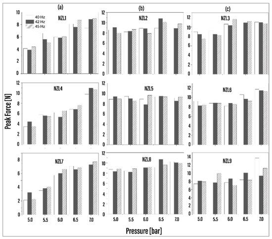
3.1.1. Force Measurements
3.1.2. Voltage Measurements
3.2. Assessment of Experimental Data, Optimization, and Nozzle Design Selection
4. Discussion
5. Conclusions
Author Contributions
Funding
Data Availability Statement
Acknowledgments
Conflicts of Interest
References
- Vervisch, B.; Monte, M.; Stockman, K.; Loccufier, M. Acoustical excitation for damping estimation in rotating machinery. In Special Topics in Structural Dynamics, Volume 6: Proceedings of the 31st IMAC, A Conference on Structural Dynamics; Springer: New York, NY, USA, 2013; pp. 473–480. [Google Scholar]
- Daerden, F.; Guillaume, P. Binary sequence excitation by pressurized air. In Proceedings of the ISMA25, International Conference on Noise and Vibration Engineering, Leuven, Belgium, 13–16 September 2000. [Google Scholar]
- Hefner, B.T.; Marston, P.L. Magnetic excitation and acoustical detection of torsional and quasi-flexural modes of spherical shells in water. J. Acoust. Soc. Am. 1999, 106, 3340–3347. [Google Scholar] [CrossRef]
- Castellini, P.; Revel, G.M.; Scalise, L. Measurement of vibrational modal parameters using laser pulse excitation techniques. Measurement 2004, 35, 163–179. [Google Scholar] [CrossRef]
- Kajiwara, I.; Hosoya, N. Vibration measurement and monitoring of a rotating disk using contactless laser excitation. In Dynamic Systems and Control Conference; American Society of Mechanical Engineers: New York, NY, USA, 2013; Volume 56147, p. V003T40A001. [Google Scholar]
- Farshidi, R.; Trieu, D.; Park, S.; Freiheit, T. Non-contact experimental modal analysis using air excitation and a microphone array. Measurement 2010, 43, 755–765. [Google Scholar] [CrossRef]
- Bau, M.; Ferrari, V.; Marioli, D.; Sardini, E.; Serpelloni, M.; Taroni, A. Contactless electromagnetic excitation of conductive microstructures for resonant sensors. In Proceedings of the 2007 IEEE Instrumentation & Measurement Technology Conference IMTC, Warsaw, Poland, 1–3 May 2007; pp. 1–6. [Google Scholar]
- Huber, T.M.; Calhoun, D.; Fatemi, M.; Kinnick, R.R.; Greenleaf, J.F. Noncontact modal testing of hard-drive suspensions using ultrasound radiation force. J. Acoust. Soc. Am. 2005, 118, 1928. [Google Scholar] [CrossRef]
- Kobayashi, T.; Hara, T.; Ohsawa, J.; Yamaguchi, N. Contactless excitation and measurement method for inspection of microstructures and thin films. Rev. Sci. Instrum. 2002, 73, 2651–2654. [Google Scholar] [CrossRef]
- Zaid, T.; Saat, S.; Yusop, Y.; Jamal, N. Contactless energy transfer using acoustic approach—A review. In Proceedings of the 2014 International Conference on Computer, Communications, and Control Technology (I4CT), Langkawi, Malaysia, 2–4 September 2014; pp. 376–381. [Google Scholar]
- Pappa, R.S.; Pritchard, J.I.; Buehrle, R.D. Vibro-Acoustics Modal Testing at NASA Langley Research Center; National Aeronautics and Space Administration, Langley Research Center: Hampton, VA, USA, 1999. [Google Scholar]
- Novak, A.; Bentahar, M.; Tournat, V.; El Guerjouma, R.; Simon, L. Nonlinear acoustic characterization of micro-damaged materials through higher harmonic resonance analysis. NDT E Int. 2012, 45, 1–8. [Google Scholar] [CrossRef]
- Vanlanduit, S.; Daerden, F.; Guillaume, P. Experimental modal testing using pressurized air excitation. J. Sound Vib. 2007, 299, 83–98. [Google Scholar] [CrossRef]
- Gao, R.; Wang, C.; Li, A.; Yu, S.; Deng, B. A novel targeted personalized ventilation system based on the shooting concept. J. Affect. Disord. 2018, 135, 269–279. [Google Scholar] [CrossRef]
- Wang, Y.; Zhai, C.; Cao, Z.; Zhao, T. Potential application of using vortex ring for personalized ventilation. Indoor Air 2020, 30, 1296–1307. [Google Scholar] [CrossRef]
- James, S.; Madnia, C.K. Direct numerical simulation of a laminar vortex ring. Phys. Fluids 1996, 8, 2400–2414. [Google Scholar] [CrossRef]
- Gupta, S.; Morris, D.; Patel, S.N.; Tan, D. AirWave: Non-contact haptic feedback using air vortex rings. In Proceedings of the 2013 ACM International Joint Conference on Pervasive and Ubiquitous Computing, Zurich, Switzerland, 8–12 September 2013; Association for Computing Machinery: New York, NY, USA, 2013; pp. 419–428. [Google Scholar]
- Phares, D.J.; Smedley, G.T.; Flagan, R.C. The wall shear stress produced by the normal impingement of a jet on a flat surface. J. Fluid Mech. 2000, 418, 351–375. [Google Scholar] [CrossRef]
- Lim, T.T.; Nickels, T.B. Instability and reconnection in the head-on collision of two vortex rings. Nature 1992, 357, 225–227. [Google Scholar] [CrossRef]
- Piraccini, M.; Di Maio, D.; Di Sante, R. Nonlinear Modal Testing Performed by Pulsed-Air Jet Excitation System. In Nonlinear Dynamics, Volume 1: Proceedings of the 34th IMAC, A Conference and Exposition on Structural Dynamics; Springer International Publishing: Berlin/Heidelberg, Germany, 2016; pp. 155–170. [Google Scholar]
- Cardona, C.I.; Tinoco, H.A.; Perdomo-Hurtado, L.; Duque-Dussan, E.; Banout, J. Computational Fluid Dynamics Modeling of a Pneumatic Air Jet Nozzle for an application in Coffee Fruit Harvesting. In Proceedings of the 2022 International Conference on Electrical, Computer and Energy Technologies (ICECET), Prague, Czech Republic, 20–22 July 2022; pp. 1–7. [Google Scholar]
- Bolat, F.; Sivrioglu, S. Bending vibration control of a MR fluid embedded smart beam exposed by the conjunction of wind-induced galloping effects. Smart Mater. Struct. 2020, 29, 115036. [Google Scholar] [CrossRef]
- Cardona, C.I.; Tinoco, H.A.; Pereira, D.A.; Buitrago-Osorio, J.; Perdomo-Hurtado, L.; Hurtado-Hernandez, M.; Lopez-Guzman, J. Vibration Shapes Identification Applying Eulerian Video Magnification on Coffee Fruits to Study the Selective Harvesting. In Proceedings of the 2020 19th International Conference on Mechatronics-Mechatronika (ME), Prague, Czech Republic, 2–4 December 2020; pp. 1–8. [Google Scholar]
- Cardona, C.I.; Tinoco, H.A.; Perdomo-Hurtado, L.; López-Guzmán, J.; Pereira, D.A. Vibrations analysis of the fruit-pedicel system of Coffea arabica var. Castillo using time–frequency and wavelets techniques. Appl. Sci. 2021, 11, 9346. [Google Scholar] [CrossRef]
- Peterson, D. Harvest mechanization progress and prospects for Fresh market quality deciduous tree fruits. Horttechnology 2005, 15, 72–75. [Google Scholar] [CrossRef]
- Ferguson, L.; Rosa, U.A.; Castro-Garcia, S.; Lee, S.M.; Guinard, J.X.; Burns, J.; Krueger, W.H.; O’connell, N.V.; Glozer, K. Mechanical harvesting of California table and oil olives. Adv. Hortic. Sci. 2010, 24, 53–63. [Google Scholar]
- Coelho, A.L.d.F.; Santos, F.L.; Pinto, F.A.C.; De Queiroz, D.M. Determination of geometric, physical and mechanical properties of coffee fruit-stem-branch system. Rev. Bras. Eng. Agric. Ambient. 2015, 19, 286–292. [Google Scholar] [CrossRef]
- Oliveros Tascón, C.E.; Benítez Mora, R.; Álvarez Mejía, F.; Aristizábal Tórres, I.D.; Ramírez Gómez, C.A.; Sanz Uribe, J.R. Cosecha del café con vibradores portátiles del tallo. Rev. Fac. Nac. Agron. Medellín 2005, 58, 2697–2708. [Google Scholar]
- Pandey, G.; Vandermeiren, W.; Dimiccoli, L.; Stiens, J. Contactless monitoring of food drying and freezing processes with millimeter waves. J. Food Eng. 2018, 226, 1–8. [Google Scholar] [CrossRef]
- Metzenmacher, M.; Geier, D.; Becker, T. Ultrasonic Wave Mode-Based Application for Contactless Density Measurement of Highly Aerated Batters. Foods 2023, 12, 1927. [Google Scholar] [CrossRef]
- Hu, Y.; Feng, J.; Qiao, Y.; Yu, C.; Luo, W.; Zhang, K.; Liu, R.; Han, R. Research and Validation of Vibratory Harvesting Device for Red Jujube Based on ADAMS and ANSYS. Agriculture 2023, 13, 1334. [Google Scholar] [CrossRef]
- Castro-Garcia, S.; Sola-Guirado, R.R.; Gil-Ribes, J.A. Vibration analysis of the fruit detachment process in late-season ‘Valencia’ orange with canopy shaker technology. Biosyst. Eng. 2018, 170, 130–137. [Google Scholar] [CrossRef]
- Faheem, M.; Liu, J.; Chang, G.; Abbas, I.; Xie, B.; Shan, Z.; Yang, K. Experimental Research on Grape Cluster Vibration Signals during Transportation and Placing for Harvest and Post-Harvest Handling. Agriculture 2021, 11, 902. [Google Scholar] [CrossRef]
- Abbaszadeh, R.; Rajabipour, A.; Delshad, M.; Mahjub, M.; Ahmadi, H.; Laguë, C. Application of Vibration Response for the Nondestructive Ripeness Evaluation of Watermelons. Aust. J. Crop. Sci. 2011, 5, 920–925. [Google Scholar]
- Chen, Y.; Zhao, J.; Hu, G.; Chen, J. Design and Testing of a Pneumatic Oscillating Chinese Wolfberry Harvester. Horticulturae 2021, 7, 214. [Google Scholar] [CrossRef]
- Berlage, A.G. Apple Harvesting Trials with Oscillating Air Jets. Trans. ASAE 1973, 16, 0460–0461. [Google Scholar] [CrossRef]









| Nozzle # | L [mm] | d [mm] |
|---|---|---|
| NZL 1 | 16.88 | 2.0 |
| NZL 2 | 16.88 | 2.5 |
| NZL 3 | 16.88 | 3.0 |
| NZL 4 | 21.88 | 2.0 |
| NZL 5 | 21.88 | 2.5 |
| NZL 6 | 21.88 | 3.0 |
| NZL 7 | 26.88 | 2.0 |
| NZL 8 | 26.88 | 2.5 |
| NZL 9 | 26.88 | 3.0 |
| Model | R-Square | R-Square (Adjusted) |
|---|---|---|
| 5 bar | 99.19% | 97.84% |
| 6 bar | 92.98% | 81.29% |
| Model | L | d | F [N] |
|---|---|---|---|
| 5 bar | 20.82 | 2.71 | 9.60 |
| 6 bar | 16.88 | 2.96 | 10.38 |
Disclaimer/Publisher’s Note: The statements, opinions and data contained in all publications are solely those of the individual author(s) and contributor(s) and not of MDPI and/or the editor(s). MDPI and/or the editor(s) disclaim responsibility for any injury to people or property resulting from any ideas, methods, instructions or products referred to in the content. |
© 2024 by the authors. Licensee MDPI, Basel, Switzerland. This article is an open access article distributed under the terms and conditions of the Creative Commons Attribution (CC BY) license (https://creativecommons.org/licenses/by/4.0/).
Share and Cite
Cardona, C.I.; Tinoco, H.A.; Perdomo-Hurtado, L.; Duque-Dussán, E.; Banout, J. Optimizing Harvesting Efficiency: Development and Assessment of a Pneumatic Air Jet Excitation Nozzle for Delicate Biostructures in Food Processing. Foods 2024, 13, 1458. https://doi.org/10.3390/foods13101458
Cardona CI, Tinoco HA, Perdomo-Hurtado L, Duque-Dussán E, Banout J. Optimizing Harvesting Efficiency: Development and Assessment of a Pneumatic Air Jet Excitation Nozzle for Delicate Biostructures in Food Processing. Foods. 2024; 13(10):1458. https://doi.org/10.3390/foods13101458
Chicago/Turabian StyleCardona, Carlos I., Héctor A. Tinoco, Luis Perdomo-Hurtado, Eduardo Duque-Dussán, and Jan Banout. 2024. "Optimizing Harvesting Efficiency: Development and Assessment of a Pneumatic Air Jet Excitation Nozzle for Delicate Biostructures in Food Processing" Foods 13, no. 10: 1458. https://doi.org/10.3390/foods13101458
APA StyleCardona, C. I., Tinoco, H. A., Perdomo-Hurtado, L., Duque-Dussán, E., & Banout, J. (2024). Optimizing Harvesting Efficiency: Development and Assessment of a Pneumatic Air Jet Excitation Nozzle for Delicate Biostructures in Food Processing. Foods, 13(10), 1458. https://doi.org/10.3390/foods13101458

