Sorption Isotherms and Thermodynamic Characteristics of Gelatin Powder Extracted from Whitefish Skin: Mathematical Modeling Approach
Abstract
:1. Introduction
2. Materials and Methods
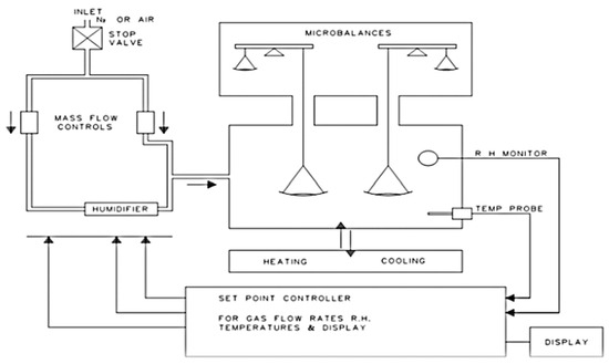
2.1. Sorption Isotherm Determination Using Dynamic Vapor Sorption (DVS) System
2.2. Modeling Sorption Isotherms Data
2.3. Spreading Pressure
2.4. Thermodynamic Characteristics of FSGP
2.5. Measurement of Glass Transition Temperature
2.6. Water Plasticization Behavior
2.7. Data Analysis
3. Results and Discussion
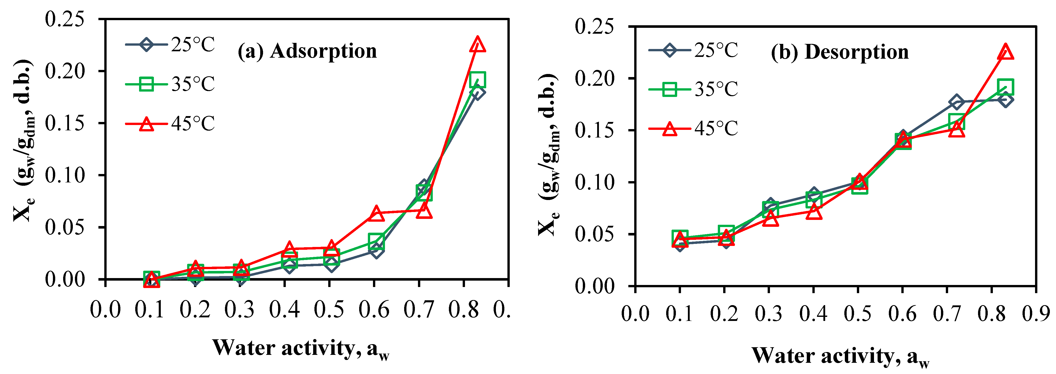
3.1. Profile of Moisture Sorption of FSGP
3.2. Adsorption and Desorption Isotherms of FSGP
3.3. Moisture Sorption Hysteresis
3.4. Modeling the Sorption Data of FSGP
3.5. Spreading Pressure of FSGP
3.6. Thermodynamic Properties of FSGP
3.7. Glass Transition Temperature and Water Plasticization Behavior
4. Conclusions
Author Contributions
Funding
Institutional Review Board Statement
Informed Consent Statement
Data Availability Statement
Acknowledgments
Conflicts of Interest
References
- Maidin, R.A. Extraction and Characterization of Gelatine from Chicken Skin. Bachelor’s Thesis, UMP, Kuantan, Malaysia, 2014. [Google Scholar]
- Prokopová, A.; Gál, R.; Mokrejš, P.; Pavlačková, J. Preparation of Gelatin from Broiler Chicken Stomach Collagen. Foods 2022, 12, 127. [Google Scholar] [CrossRef] [PubMed]
- Samatra, M.Y.; Noor, N.Q.I.M.; Razali, U.H.M.; Bakar, J.; Shaarani, S.M. Bovidae-based gelatin: Extractions method, physicochemical and functional properties, applications, and future trends. Compr. Rev. Food Sci. Food Saf. 2022, 21, 3153–3176. [Google Scholar] [CrossRef] [PubMed]
- Uddin, S.M.K.; Hossain, M.M.; Sagadevan, S.; Al Amin, M.; Johan, M.R. Halal and Kosher gelatin: Applications as well as detection approaches with challenges and prospects. Food Biosci. 2021, 44, 101422. [Google Scholar] [CrossRef]
- Karim, A.A.; Bhat, R. Gelatin alternatives for the food industry: Recent developments, challenges and prospects. Trends Food Sci. Technol. 2008, 19, 644–656. [Google Scholar] [CrossRef]
- Rahman, M.S.; Al-Saidi, G.S.; Guizani, N. Thermal characterisation of gelatin extracted from yellowfin tuna skin and commercial mammalian gelatin. Food Chem. 2008, 108, 472–481. [Google Scholar] [CrossRef] [PubMed]
- Nurhadi, B.; Roos, Y.H. Influence of anti-caking agent on the water sorption isotherm and flow-ability properties of vacuum dried honey powder. J. Food Eng. 2017, 210, 76–82. [Google Scholar] [CrossRef]
- Ross, Y.H. Glass transition-related physicochemical changes in foods. Food Technol. 1995, 45, 97–102. [Google Scholar]
- Roos, Y.H.; Drusch, S. Phase Transitions in Foods; Academic Press: Cambridge, MA, USA, 2015. [Google Scholar]
- Aguirre-Álvarez, G.; Foster, T.; Hill, S. Modelling of isotherms and their hysteresis analysis in gelatin from different sources. CyTA-J. Food 2013, 11, 68–74. [Google Scholar] [CrossRef]
- Fikry, M.; Al-Awaadh, A.M. Characteristics of dynamics sorption isotherms of date flesh powder rich in fiber. Int. J. Food Eng. 2016, 12, 469–480. [Google Scholar] [CrossRef]
- Van den Berg, C. Vapour Sorption Equilibria and Other Water-Starch Interactions: A Physico-Chemical Approach; Agricultural University Wageningen: Wageningen, The Netherlands, 1981. [Google Scholar]
- Alhamdan, A.M.; Hassan, B.H. Water sorption isotherms of date pastes as influenced by date cultivar and storage temperature. J. Food Eng. 1999, 39, 301–306. [Google Scholar] [CrossRef]
- Bahloul, N.; Boudhrioua, N.; Kechaou, N. Moisture desorption–adsorption isotherms and isosteric heats of sorption of Tunisian olive leaves (Olea europaea L.). Ind. Crops Prod. 2008, 28, 162–176. [Google Scholar] [CrossRef]
- Hassan, B.; Mustapha, A.T.; Al-Awaadh, A.M.; Ahmed, K.A. Physical and moisture sorption thermodynamic properties of Sukkari date (Phoenix dactylifera L.) powder. CyTA-J. Food 2020, 18, 264–273. [Google Scholar] [CrossRef]
- Al-Muhtaseb, A.H.; McMinn, W.A.M.; Magee, T.R.A. Water sorption isotherms of starch powders. J. Food Eng. 2004, 61, 297–307. [Google Scholar] [CrossRef]
- Bingol, G.; Prakash, B.; Pan, Z. Dynamic vapor sorption isotherms of medium grain rice varieties. LWT—Food Sci. Technol. 2012, 48, 156–163. [Google Scholar] [CrossRef]
- Antoniolli, P.R.; Ferrari, C.C.; Borges, D.F.; Germer, S.P.M. Sorption isotherms, glass transition and storage stability of drum-dried mango peels obtained with and without process additives. Dry. Technol. 2023, 41, 378–389. [Google Scholar] [CrossRef]
- Foster, K.D.; Bronlund, J.E. The prediction of moisture sorption isotherms for dairy powders. Int. Dairy J. 2005, 15, 411–418. [Google Scholar] [CrossRef]
- Sormoli, M.E.; Langrish, T.A. Moisture sorption isotherms and net isosteric heat of sorption for spray-dried pure orange juice powder. LWT-Food Sci. Technol. 2015, 62, 875–882. [Google Scholar] [CrossRef]
- Oswin, C.R. The kinetics of package life III. The isotherm. J. Chem. Ind. 1946, 65, 419–421. [Google Scholar] [CrossRef]
- Chen, C.S. Equilibrium moisture curves for biological materials. Trans. ASEA 1971, 14, 924–926. [Google Scholar] [CrossRef]
- Peleg, M. Assessment of a semi-empirical four parameter general model for sigmoid moisture sorption isotherms. J. Food Process Eng. 1993, 16, 21–37. [Google Scholar] [CrossRef]
- Van den Berg, C. Water Activity Andits Estimation in Foodsystems: Theoretical Aspects; Academic Press: New York, NY, USA, 1981. [Google Scholar]
- Halsey, G. Physical adsorption on non-uniform surfaces. J. Chem. Phys. 1948, 16, 931–937. [Google Scholar] [CrossRef]
- Iglesias, H.A.; Chirife, J. Prediction of the effect of temperature on water sorption isotherms of food material. J. Food Technol. 1976, 11, 109–116. [Google Scholar] [CrossRef]
- Brunauer, S.; Emmett, P.H.; Teller, E. Adsorption of gases in multimolecular layers. J. Am. Chem. Soc. 1938, 60, 309–320. [Google Scholar] [CrossRef]
- Smith, S.E. The sorption of water vapour by high polymers. J. Am. Chem. Soc. 1947, 69, 646. [Google Scholar] [CrossRef]
- Henderson, S.M. A basic concept of equilibrium moisture. Agric. Eng. 1952, 33, 29–32. [Google Scholar]
- Chirife, J.; Iglesias, H.A. Equations for fitting water sorption isotherms of foods. Part I. A review. J. Food Technol. 1978, 13, 159–174. [Google Scholar] [CrossRef]
- Rahman, M.S.; Al-Belushi, R.H. Dynamic Isopiestic Method (DIM): Measuring moisture sorption isotherm of freeze-dried Garlic powder and other potential uses of DIM. Int. J. Food Prop. 2006, 9, 421–437. [Google Scholar] [CrossRef]
- Argyropoulos, D.; Alex, R.; Kohler, R.; Müller, J. Moisture sorption isotherms and isosteric heat of sorption of leaves and stems of lemon balm (Melissa officinalis L.) established by dynamic vapor sorption. LWT—Food Sci. Technol. 2012, 47, 324–331. [Google Scholar] [CrossRef]
- Stępień, A.; Witczak, M.; Witczak, T. The thermal characteristics, sorption isotherms and state diagrams of the freeze-dried pumpkin-inulin powders. Molecules 2022, 27, 2225. [Google Scholar] [CrossRef]
- Iglesias, H.A.; Chirife, J.; Viollaz, P. Thermodynamics of water vapour sorption by sugar beet root. Int. J. Food Sci. Technol. 1976, 11, 91–101. [Google Scholar] [CrossRef]
- Dent, R. A multilayer theory for gas sorption: Part I: Sorption of a single gas. Text. Res. J. 1977, 47, 145–152. [Google Scholar] [CrossRef]
- Rizvi, S.S. Thermodynamic properties of foods in dehydration. In Engineering Properties of Foods; CRC Press: Boca Raton, FL, USA, 2014; pp. 261–348. [Google Scholar]
- Quirijns, E.J.; Van Boxtel, A.J.; van Loon, W.K.; Van Straten, G. Sorption isotherms, GAB parameters and isosteric heat of sorption. J. Sci. Food Agric. 2005, 85, 1805–1814. [Google Scholar] [CrossRef]
- Gomez, G.I.; Orrego-alzate, C.E.; Grajales, L.M.; Telis, V.R.; Gabas, A.L.; Telis-Romero, J. Effect of drying Methods on the thermodynamic properties of Blackberry pulp powder. Dyna 2011, 78, 139–148. [Google Scholar]
- Exner, O. Determination of the isokinetic temperature. Nature 1970, 227, 366–367. [Google Scholar] [CrossRef] [PubMed]
- Gordon, M.; Taylor, J.S. Ideal copolymers and the second order transitions of synthetic rubbers. I. Non-crystalline copolymers. J. Appl. Chem. 1952, 2, 493–500. [Google Scholar] [CrossRef]
- Johari, G.; Hallbrucker, A.; Mayer, E. The glass–liquid transition of hyperquenched water. Nature 1987, 330, 552–553. [Google Scholar] [CrossRef]
- Fikry, M.; Yusof, Y.A.; Al-Awaadh, A.M.; Rahman, R.A.; Chin, N.L.; Mousa, E.; Chang, L.S. Kinetics modelling of the colour, hardness, grinding energy consumption and oil yield changes during the conventional roasting of palm date seeds. Food Sci. Technol. Res. 2019, 25, 351–362. [Google Scholar] [CrossRef]
- Brunauer, S. The Adsorption of Gases and Vapors. Physical Adsorption; Princeton University Press: Princeton, NJ, USA, 1945; Volume 1. [Google Scholar]
- García-Pérez, J.V.; Cárcel, J.A.; Clemente, G.; Mulet, A. Water sorption isotherms for lemon peel at different temperatures and isosteric heats. LWT—Food Sci. Technol. 2008, 41, 18–25. [Google Scholar] [CrossRef]
- Jamali, M.K.A.; Mohamed, L.A.; Idlimam, A.; Lamharrar, A. Moisture adsorption-desorption isotherms of Citrus reticulata leaves at three temperatures. J. Food Eng. 2006, 77, 71–78. [Google Scholar] [CrossRef]
- Kammoun Bejar, A.; Boudhrioua Mihoubi, N.; Kechaou, N. Moisture sorption isotherms—Experimental and mathematical investigations of orange (Citrus sinensis) peel and leaves. Food Chem. 2012, 132, 1728–1735. [Google Scholar] [CrossRef]
- McLaughlin, C.P.; Magee, T.R.A. The determination of sorption isotherm and the isosteric heats of sorption for potatoes. J. Food Eng. 1998, 53, 267–280. [Google Scholar] [CrossRef]
- Kaya, S.; Kahyaoglu, T. Moisture sorption and thermodynamic properties of safflower petals and tarragon. J. Food Eng. 2007, 78, 413–421. [Google Scholar] [CrossRef]
- Al-Muhtaseb, A.H.; McMinn, W.A.M.; Magee, T.R.A. Moisture Sorption Isotherm Characteristics of Food Products: A Review. Food Bioprod. Process. 2002, 80, 118–128. [Google Scholar] [CrossRef]
- Toğrul, H.; Arslan, N. Moisture sorption isotherms and thermodynamic properties of walnut kernels. J. Stored Prod. Res. 2007, 43, 252–264. [Google Scholar] [CrossRef]
- McMinn, W.A.M.; Al-Muhtaseb, A.H.; Magee, T.R.A. Enthalpy–entropy compensation in sorption phenomena of starch materials. Food Res. Int. 2005, 38, 505–510. [Google Scholar] [CrossRef]
- Masuzawa, M.; Sterling, C. Gel–water relationships in hydrophilic polymers: Thermodynamics of sorption of water vapour. J. Polym. Sci. 1968, 12, 2023. [Google Scholar] [CrossRef]
- Ghodake, H.M.; Goswami, T.K.; Chakraverty, A. Moisture sorption isotherms, heat of sorption and vaporization of withered leaves, black and green tea. J. Food Eng. 2007, 78, 827–835. [Google Scholar] [CrossRef]
- Wang, N.; Brennan, J.G. Moisture sorption isotherm characteristics of potatoes at four temperatures. J. Food Eng. 1991, 14, 269–282. [Google Scholar] [CrossRef]
- Kane, C.S.E.; Kouhila, M.; Lamharrar, A.; Idlimam, A.; Mimet, A. Moisture sorption isotherms and thermodynamic properties of tow mints: Mentha pulegium and Mentha rotundifolia. Rev. Energ. Renouvelables 2008, 11, 181–195. [Google Scholar]
- De Araújo, A.L.; da Silva Pena, R. Moisture desorption behavior and thermodynamic properties of pulp and seed of jambolan (Syzygium cumini). Heliyon 2022, 8, e09443. [Google Scholar] [CrossRef]
- Goula, A.M.; Karapantsios, T.D.; Achilias, D.S.; Adamopoulos, K.G. Water sorption isotherms and glass transition temperature of spray dried tomato pulp. J. Food Eng. 2008, 85, 73–83. [Google Scholar] [CrossRef]
- Telis, V.R.N.; Sobral, P.J.A. Glass Transitions and State Diagram for Freeze-dried Pineapple. LWT—Food Sci. Technol. 2001, 34, 199–205. [Google Scholar] [CrossRef]
- Moraga, G.; Martínez-Navarrete, N.; Chiralt, A. Water sorption isotherms and phase transitions in kiwifruit. J. Food Eng. 2006, 72, 147–156. [Google Scholar] [CrossRef]
- Kurozawa, L.E.; Hubinger, M.D.; Park, K.J. Glass transition phenomenon on shrinkage of papaya during convective drying. J. Food Eng. 2012, 108, 43–50. [Google Scholar] [CrossRef]








| No | Model Name | Equation | Reference |
|---|---|---|---|
| 1 | Peleg | [23] | |
| 2 | GAB | [24] | |
| 3 | BET | [27] | |
| 4 | Halsey | [25] | |
| 5 | Oswin | [21] | |
| 6 | Smith | [28] | |
| 7 | Adam and Shove | [30] | |
| 8 | Modified Oswin | [22] | |
| 9 | Modified Halsey | [26] |
| Parameter | Adsorption | Desorption | ||||
|---|---|---|---|---|---|---|
| 25 °C | 35 °C | 45 °C | 25 °C | 35 °C | 45 °C | |
| Peleg model | ||||||
| C1 | 0.43 | 0.83 | 191.97 | 0.22 | 0.21 | 0.25 |
| C2 | 4.91 | 9.40 | 39.18 | 0.94 | 0.93 | 1.17 |
| C3 | 0.02 | 0.07 | 0.14 | 0.00 | 0.00 | 0.00 |
| C4 | 4.91 | 1.65 | 1.84 | 8.74 | 3.85 | 5.13 |
| GAB model | ||||||
| Xm | 1.84 | 0.03 | 0.02 | 0.71 | 0.07 | 0.06 |
| C | 0.01 | 0.49 | 2.73 | 3.08 | 10.32 | 13.83 |
| K | 0.91 | 1.06 | 1.11 | 0.11 | 0.77 | 0.89 |
| BET model | ||||||
| Xm | 0.05 | 0.07 | 0.07 | 0.04 | 0.04 | 0.04 |
| C | 0.26 | 0.17 | 0.28 | 5.50 × 107 | 1.25 × 108 | 7.10 × 107 |
| Halsey model | ||||||
| A | 0.06 | 0.07 | 0.07 | 0.01 | 0.01 | 0.02 |
| B | 0.64 | 0.61 | 0.66 | 1.97 | 1.84 | 1.54 |
| Oswin model | ||||||
| k | 0.02 | 0.02 | 0.03 | 0.11 | 0.10 | 0.10 |
| n | 1.31 | 1.39 | 1.27 | 0.39 | 0.41 | 0.49 |
| Smith model | ||||||
| A | −0.04 | −0.03 | −0.03 | 0.04 | 0.04 | 0.03 |
| B | 0.10 | 0.11 | 0.12 | 0.09 | 0.09 | 0.11 |
| Adam and Shove model | ||||||
| A | −0.02 | −0.05 | −0.06 | 0.05 | 0.04 | 0.04 |
| B | 0.28 | 0.58 | 0.70 | −0.18 | 0.00 | 0.07 |
| C | −1.00 | −1.73 | −2.01 | 0.93 | 0.30 | 0.00 |
| D | 1.14 | 1.66 | 1.88 | −0.63 | -0.11 | 0.21 |
| Modified Oswin model | ||||||
| A | 6.64 | 0.13 | 14.64 | −4.24 | 0.42 | −0.78 |
| B | −0.26 | 0.00 | −0.33 | 0.17 | −0.01 | 0.02 |
| C | 1.31 | 1.30 | 1.23 | 0.39 | 0.41 | 0.49 |
| Modified Halsey model | ||||||
| A | 122.81 | −3.70 | 312.23 | −1.93 | −23.84 | −275.21 |
| B | −5.02 | 0.03 | −7.06 | −0.12 | 0.55 | 6.08 |
| C | 1.56 | 1.68 | 1.24 | 0.51 | 0.53 | 0.71 |
| Parameter | Adsorption | Desorption | ||||
|---|---|---|---|---|---|---|
| 25 °C | 35 °C | 45 °C | 25 °C | 35 °C | 45 °C | |
| Peleg model | ||||||
| SSE | 3.64 × 10−5 | 3.03 × 10−6 | 2.68 × 10−5 | 1.25 × 10−4 | 1.20 × 10−4 | 2.88 × 10−4 |
| R2 | 0.990 | 0.999 | 0.994 | 0.953 | 0.951 | 0.917 |
| E (%) | 0.16 | 0.03 | 0.11 | 0.15 | 0.17 | 0.34 |
| GAB model | ||||||
| Xm | 1.84 | 0.03 | 0.02 | 0.71 | 0.07 | 0.06 |
| SSE | 7.44 × 10−5 | 4.23 × 10−6 | 5.30 × 10−5 | 1.28 × 10−4 | 6.04 × 10−5 | 1.08 × 10−4 |
| R2 | 0.979 | 0.999 | 0.989 | 0.952 | 0.975 | 0.969 |
| E (%) | 0.42 | 0.03 | 0.11 | 0.16 | 0.07 | 0.10 |
| BET model | ||||||
| SSE | 8.01 × 10−5 | 5.56 × 10−6 | 9.70 × 10−5 | 1.12 × 10−3 | 5.31 × 10−4 | 2.67 × 10−4 |
| R2 | 0.977 | 0.998 | 0.979 | 0.576 | 0.782 | 0.923 |
| E (%) | 0.67 | 0.14 | 0.22 | 0.52 | 0.29 | 0.17 |
| Halsey model | ||||||
| SSE | 1.03 × 10−4 | 4.40 × 10−6 | 7.68 × 10−5 | 3.71 × 10−4 | 1.06 × 10−4 | 1.07 × 10−4 |
| R2 | 0.970 | 0.999 | 0.984 | 0.860 | 0.957 | 0.969 |
| E (%) | 0.71 | 0.03 | 0.13 | 0.35 | 0.10 | 0.10 |
| Oswin model | ||||||
| SSE | 8.14 × 10−5 | 6.43 × 10−6 | 9.49 × 10−5 | 2.52 × 10−4 | 6.41 × 10−5 | 1.03 × 10−4 |
| R2 | 0.977 | 0.998 | 0.980 | 0.905 | 0.974 | 0.970 |
| E (%) | 0.41 | 0.05 | 0.20 | 0.20 | 0.06 | 0.11 |
| Smith model | ||||||
| SSE | 4.36 × 10−4 | 4.82 × 10−4 | 6.78 × 10−4 | 2.62 × 10−4 | 6.05 × 10−5 | 9.91 × 10−5 |
| R2 | 0.875 | 0.868 | 0.856 | 0.901 | 0.975 | 0.971 |
| E (%) | 2.74 | 1.19 | 1.05 | 0.18 | 0.05 | 0.08 |
| Adam and Shove model | ||||||
| SSE | 3.27 × 10−5 | 4.67 × 10−5 | 1.77 × 10−4 | 6.95 × 10−5 | 3.51 × 10−5 | 1.07 × 10−4 |
| R2 | 0.991 | 0.987 | 0.962 | 0.974 | 0.986 | 0.969 |
| E (%) | 0.22 | 0.20 | 0.41 | 0.07 | 0.03 | 0.08 |
| Modified Oswin model | ||||||
| SSE | 8.14 × 10−5 | 6.55 × 10−5 | 1.41 × 10−1 | 2.52 × 10−4 | 7.15 × 10−5 | 2.03 × 10−4 |
| R2 | 0.977 | 0.999 | 0.982 | 0.905 | 0.974 | 0.970 |
| E (%) | 0.41 | 0.07 | 100.89 | 0.20 | 0.07 | 0.18 |
| Modified Halsey model | ||||||
| SSE | 1.03 × 10−4 | 1.46 × 10−5 | 7.00 × 10−3 | 5.37 × 10−3 | 1.98 × 10−4 | 1.57 × 10−1 |
| R2 | 0.970 | 0.999 | 0.990 | 0.860 | 0.961 | 0.980 |
| E (%) | 0.71 | 0.07 | 38.42 | 4.93 | 0.17 | 76.51 |
Disclaimer/Publisher’s Note: The statements, opinions and data contained in all publications are solely those of the individual author(s) and contributor(s) and not of MDPI and/or the editor(s). MDPI and/or the editor(s) disclaim responsibility for any injury to people or property resulting from any ideas, methods, instructions or products referred to in the content. |
© 2023 by the authors. Licensee MDPI, Basel, Switzerland. This article is an open access article distributed under the terms and conditions of the Creative Commons Attribution (CC BY) license (https://creativecommons.org/licenses/by/4.0/).
Share and Cite
Fikry, M.; Benjakul, S.; Al-Ghamdi, S.; Mittal, A.; Nilsuwan, K.; Fulleros, R.; Dabbour, M. Sorption Isotherms and Thermodynamic Characteristics of Gelatin Powder Extracted from Whitefish Skin: Mathematical Modeling Approach. Foods 2024, 13, 92. https://doi.org/10.3390/foods13010092
Fikry M, Benjakul S, Al-Ghamdi S, Mittal A, Nilsuwan K, Fulleros R, Dabbour M. Sorption Isotherms and Thermodynamic Characteristics of Gelatin Powder Extracted from Whitefish Skin: Mathematical Modeling Approach. Foods. 2024; 13(1):92. https://doi.org/10.3390/foods13010092
Chicago/Turabian StyleFikry, Mohammad, Soottawat Benjakul, Saleh Al-Ghamdi, Ajay Mittal, Krisana Nilsuwan, Ronnel Fulleros, and Mokhtar Dabbour. 2024. "Sorption Isotherms and Thermodynamic Characteristics of Gelatin Powder Extracted from Whitefish Skin: Mathematical Modeling Approach" Foods 13, no. 1: 92. https://doi.org/10.3390/foods13010092
APA StyleFikry, M., Benjakul, S., Al-Ghamdi, S., Mittal, A., Nilsuwan, K., Fulleros, R., & Dabbour, M. (2024). Sorption Isotherms and Thermodynamic Characteristics of Gelatin Powder Extracted from Whitefish Skin: Mathematical Modeling Approach. Foods, 13(1), 92. https://doi.org/10.3390/foods13010092

