Effects of the Combination of Protein in the Internal Aqueous Phase and Polyglycerol Polyricinoleate on the Stability of Water-In-Oil-In-Water Emulsions Co-Encapsulating Crocin and Quercetin
Abstract
:1. Introduction
2. Materials and Methods
2.1. Materials
2.2. Preparation of Water-In-Oil-In-Water Emulsions Co-Encapsulating Crocin and Quercetin
2.2.1. Preparation of Solutions
2.2.2. Preparation of Water-In-Oil-In-Water Emulsions
2.3. Effects of Polyglycerol Polyricinoleate Concentration on the Characteristics of Water-In-Oil-In-Water Emulsions
2.4. Characterization of Water-In-Oil-In-Water Emulsions
2.4.1. Determination of Particle Size and Zeta Potential (ζ-Potential)
2.4.2. Microstructure
2.4.3. Physical Stability
2.4.4. Encapsulation Efficiency
2.5. General Properties of Proteins
2.5.1. Particle Size and ζ–Potential
2.5.2. Surface Hydrophobicity
2.6. Interfacial Properties of Water-In-Oil-In-Water Emulsions
2.6.1. Rheological Properties
2.6.2. Interfacial Tension
2.7. Storage Stability of Water-In-Oil-In-Water Emulsions Co-Encapsulating Crocin and Quercetin
2.8. In Vitro Digestion
2.9. Statistical Analysis
3. Results and Discussion
3.1. Effects of Polyglycerol Polyricinoleate Concentration on the Stability of Water-In-Oil-In-Water Emulsions
3.2. Optical Microscopy and Encapsulation Efficiency of Water-In-Oil-In-Water Emulsions Stabilized by the Combination of Proteins and Polyglycerol Polyricinoleate
3.3. Physical Stability of Water-In-Oil-In-Water Emulsions
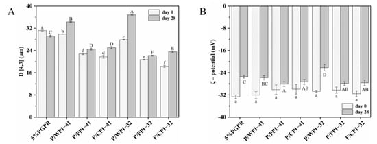
3.4. Droplet Size, ζ-Potential and Microstructure of Water-In-Oil-In-Water Emulsions
3.5. Rheological Properties of Water-In-Oil-In-Water Emulsions
3.6. Interface Intension
3.7. Storage Stability of Water-In-Oil-In-Water Emulsions Co-Encapsulating Crocin and Quercetin
3.8. In Vitro Digestion
4. Conclusions
Supplementary Materials
Author Contributions
Funding
Institutional Review Board Statement
Informed Consent Statement
Data Availability Statement
Conflicts of Interest
References
- Muschiolik, G.; Dickinson, E. Double emulsions relevant to food systems: Preparation, stability, and applications. Compr. Rev. Food Sci. Food Saf. 2017, 16, 532–555. [Google Scholar] [CrossRef] [PubMed]
- Neumann, S.M.; van der Schaaf, U.S.; Karbstein, H.P. Investigations on the relationship between interfacial and single droplet experiments to describe instability mechanisms in double emulsions. Colloids Surf. A Physicochem. Eng. Asp. 2018, 553, 464–471. [Google Scholar] [CrossRef]
- Wang, M.; Yan, W.; Zhou, Y.; Fan, L.; Liu, Y.; Li, J. Progress in the application of lecithins in water-in-oil emulsions. Trends Food Sci. Technol. 2021, 118, 388–398. [Google Scholar] [CrossRef]
- Zhang, X.; Rong, X.; Zhang, D.; Yang, Y.; Li, B. Fabrication of natural W1/O/W2 double emulsions stabilized with gliadin colloid particles and soybean lecithin. Food Hydrocoll. 2023, 144, 108978. [Google Scholar] [CrossRef]
- Zhang, L.; Gould, J.; Wolf, B. Formulation engineering of water-in-oil-in-water emulsions for salt reduction with sucrose oleate as a PGPR-alternative lipophilic emulsifier. Food Struct. 2023, 35, 100309. [Google Scholar] [CrossRef]
- Mazo Rivas, J.C.; Schneider, Y.; Rohm, H. Effect of emulsifier type on physicochemical properties of water-in-oil emulsions for confectionery applications. Int. J. Food Sci. Technol. 2016, 51, 1026–1033. [Google Scholar] [CrossRef]
- Balcaen, M.; Vermeir, L.; Van der Meeren, P. Influence of protein type on polyglycerol polyricinoleate replacement in W/O/W (water-in-oil-in-water) double emulsions for food applications. Colloids Surf. A Physicochem. Eng. Asp. 2017, 535, 105–113. [Google Scholar] [CrossRef]
- Okuro, P.K.; Gomes, A.; Costa, A.L.R.; Adame, M.A.; Cunha, R.L. Formation and stability of W/O-high internal phase emulsions (HIPEs) and derived O/W emulsions stabilized by PGPR and lecithin. Food Res. Int. 2019, 122, 252–262. [Google Scholar] [CrossRef]
- Su, J.; Flanagan, J.; Hemar, Y.; Singh, H. Synergistic effects of polyglycerol ester of polyricinoleic acid and sodium caseinate on the stabilisation of water–oil–water emulsions. Food Hydrocoll. 2006, 20, 261–268. [Google Scholar] [CrossRef]
- Gülseren, İ.; Corredig, M. Interactions at the interface between hydrophobic and hydrophilic emulsifiers: Polyglycerol polyricinoleate (PGPR) and milk proteins, studied by drop shape tensiometry. Food Hydrocoll. 2012, 29, 193–198. [Google Scholar] [CrossRef]
- Tamnak, S.; Mirhosseini, H.; Tan, C.P.; Tabatabaee Amid, B.; Kazemi, M.; Hedayatnia, S. Encapsulation properties, release behavior and physicochemical characteristics of water-in-oil-in-water (W/O/W) emulsion stabilized with pectin–pea protein isolate conjugate and Tween 80. Food Hydrocoll. 2016, 61, 599–608. [Google Scholar] [CrossRef]
- Ismail, B.P.; Senaratne-Lenagala, L.; Stube, A.; Brackenridge, A. Protein demand: Review of plant and animal proteins used in alternative protein product development and production. Anim. Front. 2020, 10, 53–63. [Google Scholar] [CrossRef] [PubMed]
- Jindal, A.; Patil, N.; Bains, A.; Sridhar, K.; Stephen Inbaraj, B.; Tripathi, M.; Chawla, P.; Sharma, M. Recent Trends in Cereal- and Legume-Based Protein-Mineral Complexes: Formulation Methods, Toxicity, and Food Applications. Foods 2023, 12, 3898. [Google Scholar] [CrossRef] [PubMed]
- Sridhar, K.; Bouhallab, S.; Croguennec, T.; Renard, D.; Lechevalier, V. Application of high-pressure and ultrasound technologies for legume proteins as wall material in microencapsulation: New insights and advances. Trends Food Sci. Technol. 2022, 127, 49–62. [Google Scholar] [CrossRef]
- Can Karaca, A.; Assadpour, E.; Jafari, S.M. Plant protein-based emulsions for the delivery of bioactive compounds. Adv. Colloid Interface Sci. 2023, 316, 102918. [Google Scholar] [CrossRef] [PubMed]
- Han, L.; Li, J.; Jiang, Y.; Lu, K.; Yang, P.; Jiang, L.; Li, Y.; Qi, B. Changes in the structure and functional properties of soybean isolate protein: Effects of different modification methods. Food Chem. 2024, 432, 137214. [Google Scholar] [CrossRef] [PubMed]
- Wang, Y.; Yuan, J.-J.; Li, K.; Wang, J.-L.; Li, J.-G.; Chen, B.; Bai, Y.-H. Effects of combined chickpea protein isolate and chitosan on the improvement of technological quality in phosphate-free pork meat emulsions: Its relation to modifications on protein thermal and structural properties. Meat Sci. 2023, 201, 109191. [Google Scholar] [CrossRef]
- Zhi, Z.; Yan, L.; Li, H.; Dewettinck, K.; Van der Meeren, P.; Liu, R.; Van Bockstaele, F. A combined approach for modifying pea protein isolate to greatly improve its solubility and emulsifying stability. Food Chem. 2022, 380, 131832. [Google Scholar] [CrossRef]
- Jiménez-Colmenero, F. Potential applications of multiple emulsions in the development of healthy and functional foods. Food Res. Int. 2013, 52, 64–74. [Google Scholar] [CrossRef]
- Song, Y.-N.; Wang, Y.; Zheng, Y.-H.; Liu, T.-L.; Zhang, C. Crocins: A comprehensive review of structural characteristics, pharmacokinetics and therapeutic effects. Fitoterapia 2021, 153, 104969. [Google Scholar] [CrossRef]
- Ghiasi, F.; Golmakani, M.-T. Innovative design of bio-functional Persian gum-based edible films by incorporating crocin and cinnamaldehyde: Free versus single and double emulsion fabrication techniques. Food Hydrocoll. 2023, 135, 108164. [Google Scholar] [CrossRef]
- Han, L.; Lu, K.; Zhou, S.; Qi, B.; Li, Y. Co-delivery of insulin and quercetin in W/O/W double emulsions stabilized by different hydrophilic emulsifiers. Food Chem. 2022, 369, 130918. [Google Scholar] [CrossRef] [PubMed]
- Liu, S.; Loo, Y.T.; Li, Z.; Ng, K. Alginate-inulin-chitosan based microspheres alter metabolic fate of encapsulated quercetin, promote short chain fatty acid production, and modulate pig gut microbiota. Food Chem. 2023, 418, 135802. [Google Scholar] [CrossRef] [PubMed]
- Leng, E.; Xiao, Y.; Mo, Z.; Li, Y.; Zhang, Y.; Deng, X.; Zhou, M.; Zhou, C.; He, Z.; He, J.; et al. Synergistic effect of phytochemicals on cholesterol metabolism and lipid accumulation in HepG2 cells. BMC Complement. Altern. Med. 2018, 18, 1–10. [Google Scholar] [CrossRef] [PubMed]
- Huang, H.; Belwal, T.; Aalim, H.; Li, L.; Lin, X.; Liu, S.; Ma, C.; Li, Q.; Zou, Y.; Luo, Z. Protein-polysaccharide complex coated W/O/W emulsion as secondary microcapsule for hydrophilic arbutin and hydrophobic coumaric acid. Food Chem. 2019, 300, 125171. [Google Scholar] [CrossRef]
- Huang, X.; Tu, R.; Song, H.; Dong, K.; Geng, F.; Chen, L.; Huang, Q.; Wu, Y. Fabrication of gelatin-EGCG-pectin ternary complex stabilized W/O/W double emulsions by ultrasonic emulsification: Physicochemical stability, rheological properties and structure. J. Food Eng. 2023, 338, 111259. [Google Scholar] [CrossRef]
- Hu, M.; Liu, G.; Zhang, W.; Du, X.; Qi, B.; Li, Y. Co-encapsulation of (–)-epigallocatechin-3-gallate and quercetin in double emulsion hydrogel beads: Microstructures, functional properties, and digestion behaviors. Food Chem. 2022, 373, 131427. [Google Scholar] [CrossRef]
- Tian, H.; Xiang, D.; Li, C. Tea polyphenols encapsulated in W/O/W emulsions with xanthan gum–locust bean gum mixture: Evaluation of their stability and protection. Int. J. Biol. Macromol. 2021, 175, 40–48. [Google Scholar] [CrossRef]
- Huang, Y.; Lin, J.; Tang, X.; Wang, Z.; Yu, S. Grape seed proanthocyanidin-loaded gel-like W/O/W emulsion stabilized by genipin-crosslinked alkaline soluble polysaccharides-whey protein isolate conjugates: Fabrication, stability, and in vitro digestion. Int. J. Biol. Macromol. 2021, 186, 759–769. [Google Scholar] [CrossRef]
- Chen, Y.; Li, L.; Zhao, X.; Zeng, X.; Xu, X. How environmental stresses affect the physical stability of oil in water emulsion prepared using pH-shifted myofibrillar protein? LWT 2023, 186, 115200. [Google Scholar] [CrossRef]
- Duque-Estrada, P.; School, E.; van der Goot, A.J.; Berton-Carabin, C.C. Double emulsions for iron encapsulation: Is a high concentration of lipophilic emulsifier ideal for physical and chemical stability? J. Sci. Food Agric. 2019, 99, 4540–4549. [Google Scholar] [CrossRef] [PubMed]
- Leister, N.; Karbstein, H.P. Evaluating the stability of double emulsions—A review of the measurement techniques for the systematic investigation of instability mechanisms. Colloids Interfaces 2020, 4, 8. [Google Scholar] [CrossRef]
- Zhu, Q.; Pan, Y.; Jia, X.; Li, J.; Zhang, M.; Yin, L. Review on the stability mechanism and application of water-in-oil emulsions encapsulating various additives. Compr. Rev. Food Sci. Food Saf. 2019, 18, 1660–1675. [Google Scholar] [CrossRef] [PubMed]
- Wang, P.; Chen, C.; Guo, H.; Zhang, H.; Yang, Z.; Ren, F. Casein gel particles as novel soft Pickering stabilizers: The emulsifying property and packing behaviour at the oil-water interface. Food Hydrocoll. 2018, 77, 689–698. [Google Scholar] [CrossRef]
- Zhang, P.; Saari, H.; Wahlgren, M.; Rayner, M.; Sjöö, M.; Matos, M. A comparison of emulsion stability for different OSA-modified waxy maize emulsifiers: Granules, dissolved starch, and non-solvent precipitates. PLoS ONE 2019, 14, e0210690. [Google Scholar]
- Zhang, M.; Fan, L.; Liu, Y.; Li, J. A mechanistic investigation of the effect of dispersion phase protein type on the physicochemical stability of water–in–oil emulsions. Food Res. Int. 2022, 157, 111293. [Google Scholar] [CrossRef]
- Bergfreund, J.; Bertsch, P.; Fischer, P. Adsorption of proteins to fluid interfaces: Role of the hydrophobic subphase. J. Colloid Interface Sci. 2021, 584, 411–417. [Google Scholar] [CrossRef]
- Chevalier, R.C.; Gomes, A.; Cunha, R.L. Role of aqueous phase composition and hydrophilic emulsifier type on the stability of W/O/W emulsions. Food Res. Int. 2022, 156, 111123. [Google Scholar] [CrossRef]
- Zhang, M.; Fan, L.; Liu, Y.; Li, J. Relationship between protein native conformation and ultrasound efficiency: For improving the physicochemical stability of water–in–oil emulsions. Colloids Surf. A Physicochem. Eng. Asp. 2022, 651, 129737. [Google Scholar] [CrossRef]
- Cai, Z.; Wei, Y.; Shi, A.; Zhong, J.; Rao, P.; Wang, Q.; Zhang, H. Correlation between interfacial layer properties and physical stability of food emulsions: Current trends, challenges, strategies, and further perspectives. Adv. Colloid Interface Sci. 2023, 313, 102863. [Google Scholar] [CrossRef]
- Tabibiazar, M.; Hamishehkar, H. Formulation of a food grade water-in-oil nanoemulsion: Factors affecting on stability. Pharm. Sci. 2015, 21, 220–224. [Google Scholar] [CrossRef]
- Kumar, A.; Kaur, R.; Kumar, V.; Kumar, S.; Gehlot, R.; Aggarwal, P. New insights into water-in-oil-in-water (W/O/W) double emulsions: Properties, fabrication, instability mechanism, and food applications. Trends Food Sci. Technol. 2022, 128, 22–37. [Google Scholar] [CrossRef]
- Khan, M.A.; Bao, H.; Cheng, H.; Feng, S.; Wang, Y.; Liang, L. Fabrication of whey-protein-stabilized G/O/W emulsion for the encapsulation and retention of -ascorbic acid and α-tocopherol. J. Food Eng. 2023, 341, 111335. [Google Scholar] [CrossRef]
- Liu, W.; Gao, H.; McClements, D.J.; Zhou, L.; Wu, J.; Zou, L. Stability, rheology, and β-carotene bioaccessibility of high internal phase emulsion gels. Food Hydrocoll. 2019, 88, 210–217. [Google Scholar] [CrossRef]
- Zhang, M.; Fan, L.; Liu, Y.; Li, J. Effects of alkali treatment on structural and functional properties of chickpea protein isolate and its interaction with gallic acid: To improve the physicochemical stability of water-in-oil emulsions. Food Hydrocoll. 2023, 140, 108601. [Google Scholar] [CrossRef]
- Kim, W.; Wang, Y.; Selomulya, C. Dairy and plant proteins as natural food emulsifiers. Trends Food Sci. Technol. 2020, 105, 261–272. [Google Scholar] [CrossRef]
- Zhang, M.; Wang, L.; Liu, Y.; Li, J. Effects of antioxidants, proteins, and their combination on emulsion oxidation. Crit. Rev. Food Sci. Nutr. 2021, 62, 8137–8160. [Google Scholar] [CrossRef]
- Liang, Z.; Chu, H.; Hou, Z.; Wang, C.; Zhang, G.; Liu, L.; Ma, X.; Li, C.; He, J. W/O/W emulsions stabilized with whey protein concentrate and pectin: Effects on storage, pasteurization, and gastrointestinal viability of Lacticaseibacillus rhamnosus. Int. J. Biol. Macromol. 2023, 232, 123477. [Google Scholar] [CrossRef]
- Wei, W.; Chen, F.; Qiu, Y.; Zhang, L.; Gao, J.; Wu, T.; Wang, P.; Zhang, M.; Zhu, Q. Co-encapsulation of collagen peptide and astaxanthin in WG/OG/W double emulsions-filled alginate hydrogel beads: Fabrication, characterization and digestion behaviors. J. Colloid Interface Sci. 2023, 651, 159–171. [Google Scholar] [CrossRef]
- Cui, F.; Han, S.; Wang, J.; McClements, D.J.; Liu, X.; Liu, F. Co-delivery of curcumin and epigallocatechin gallate in W/O/W emulsions stabilized by protein fibril-cellulose complexes. Colloids Surf. B Biointerfaces 2023, 222, 113072. [Google Scholar] [CrossRef]
- Li, L.; Zhang, M.; Feng, X.; Yang, H.; Shao, M.; Huang, Y.; Li, Y.; Teng, F. Internal/external aqueous-phase gelation treatment of soybean lipophilic protein W/O/W emulsions: Improvement in microstructure, interfacial properties, physicochemical stability, and digestion characteristics. Food Hydrocoll. 2023, 136, 108257. [Google Scholar] [CrossRef]








| Bioactive Substance | W/O/W Emulsion | Encapsulation Efficiency at Different PGPR/Protein Ratios (%) | ||||
|---|---|---|---|---|---|---|
| 5:0 | 4:1 | 3:2 | 1:1 | 2:3 | ||
| Crocin | P/WPI | 86.90 ± 0.67 A | 84.39 ± 0.33 Ba | 78.12 ± 0.26 Ca | 62.79 ± 0.37 Da | 56.20 ± 0.76 Ea |
| P/PPI | 86.90 ± 0.67 A | 82.22 ± 0.18 Bb | 77.78 ± 0.15 Ca | 58.46 ± 0.64 Db | 54.63 ± 0.16 Eb | |
| P/CPI | 86.90 ± 0.67 A | 81.50 ± 0.14 Bc | 71.02 ± 0.34 Cb | 56.85 ± 0.96 Dc | 52.09 ± 0.55 Ec | |
| Quercetin | P/WPI | 94.89 ± 0.38 A | 92.80 ± 0.19 Ba | 92.44 ± 0.14 BCa | 91.78 ± 0.40 CDa | 90.21 ± 0.39 Da |
| P/PPI | 94.89 ± 0.38 A | 91.93 ± 0.21 Ba | 92.39 ± 0.22 Ba | 91.16 ± 0.24 Ba | 88.41 ± 1.08 Cb | |
| P/CPI | 94.89 ± 0.38 A | 92.10 ± 0.05 Ba | 91.23 ± 0.46 BCa | 91.14 ± 0.66 BCa | 90.23 ± 0.32 Ca | |
| Protein Type | WPI | PPI | CPI |
|---|---|---|---|
| Size (nm) | 384.9 ± 3.6 a | 221.4 ± 1.6 b | 168.6 ± 1.8 c |
| ζ-potential (mV) | −27.20 ± 0.2 c | −39.10 ± 1.0 a | −37.40 ± 0.7 b |
| H0 | 105.63 ± 1.30 c | 165.10 ± 1.45 a | 122.40 ± 1.45 b |
Disclaimer/Publisher’s Note: The statements, opinions and data contained in all publications are solely those of the individual author(s) and contributor(s) and not of MDPI and/or the editor(s). MDPI and/or the editor(s) disclaim responsibility for any injury to people or property resulting from any ideas, methods, instructions or products referred to in the content. |
© 2023 by the authors. Licensee MDPI, Basel, Switzerland. This article is an open access article distributed under the terms and conditions of the Creative Commons Attribution (CC BY) license (https://creativecommons.org/licenses/by/4.0/).
Share and Cite
Fan, W.; Shi, Y.; Hu, Y.; Zhang, J.; Liu, W. Effects of the Combination of Protein in the Internal Aqueous Phase and Polyglycerol Polyricinoleate on the Stability of Water-In-Oil-In-Water Emulsions Co-Encapsulating Crocin and Quercetin. Foods 2024, 13, 131. https://doi.org/10.3390/foods13010131
Fan W, Shi Y, Hu Y, Zhang J, Liu W. Effects of the Combination of Protein in the Internal Aqueous Phase and Polyglycerol Polyricinoleate on the Stability of Water-In-Oil-In-Water Emulsions Co-Encapsulating Crocin and Quercetin. Foods. 2024; 13(1):131. https://doi.org/10.3390/foods13010131
Chicago/Turabian StyleFan, Wei, Yan Shi, Yueming Hu, Jing Zhang, and Wei Liu. 2024. "Effects of the Combination of Protein in the Internal Aqueous Phase and Polyglycerol Polyricinoleate on the Stability of Water-In-Oil-In-Water Emulsions Co-Encapsulating Crocin and Quercetin" Foods 13, no. 1: 131. https://doi.org/10.3390/foods13010131
APA StyleFan, W., Shi, Y., Hu, Y., Zhang, J., & Liu, W. (2024). Effects of the Combination of Protein in the Internal Aqueous Phase and Polyglycerol Polyricinoleate on the Stability of Water-In-Oil-In-Water Emulsions Co-Encapsulating Crocin and Quercetin. Foods, 13(1), 131. https://doi.org/10.3390/foods13010131

