Phytochemical Composition of Different Red Clover Genotypes Based on Plant Part and Genetic Traits
Abstract
:1. Introduction
2. Materials and Methods
2.1. Reagents and Materials
2.2. Red Clover Samples
2.3. Extraction
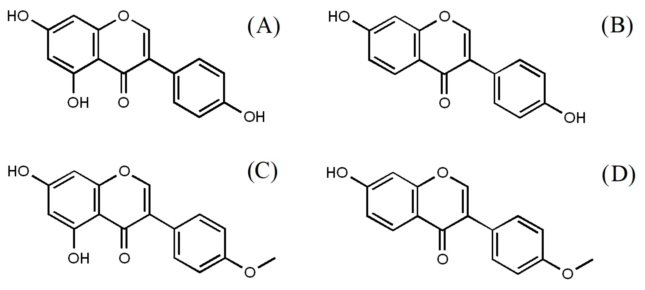
2.4. HPLC Analysis of Isoflavones
2.5. Total Phenolic Content (TPC)
2.6. Antioxidant Capacity
2.7. Statistical Analysis
3. Results
3.1. Isoflavone Content
3.2. Total Phenolic Content (TPC) and Antioxidant Capacity
4. Discussion
5. Conclusions
Supplementary Materials
Author Contributions
Funding
Institutional Review Board Statement
Informed Consent Statement
Data Availability Statement
Acknowledgments
Conflicts of Interest
References
- Ergon, A.; Bakken, A.K. Breeding for intercropping: The case of red clover persistence in grasslands. Euphytica 2022, 218, 98. [Google Scholar] [CrossRef]
- McKenna, P.; Cannon, N.; Conway, J.; Dooley, J. The use of red clover (Trifolium pratense) in soil fertility-building: A review. Field Crop. Res. 2018, 221, 38–41. [Google Scholar] [CrossRef]
- Petrauskas, G.; Norkevičienė, E.; Baistruk-Hlodan, L. Genetic differentiation of red clover (Trifolium pratense L.) cultivars and their wild relatives. Agriculture 2023, 13, 1008. [Google Scholar] [CrossRef]
- Little, V.; Reed, K.F.M.; Smith, K.F. Variation for concentrations of various phytoestrogens and agronomic traits among a broad range of red clover (Trifolium pratense) cultivars and accessions. Agronomy 2017, 7, 34. [Google Scholar] [CrossRef]
- Mustonen, E.A.; Tuori, M.; Kurki, P.; Isolahti, M.; Taponen, J.; Vanhatalo, A. Variety, time of harvest and conditions during growing season have impact on red clover isoflavone content. Agric. Food Sci. 2018, 27, 102–109. [Google Scholar] [CrossRef]
- Sakakibara, H.; Viala, D.; Ollier, A.; Combeau, A.; Besle, J.M. Isoflavones in several clover species and milk from goats fed clovers. Biofactors 2004, 22, 237–239. [Google Scholar] [CrossRef] [PubMed]
- Tsao, R.; Papadopoulos, Y.; Yang, R.; Young, J.C.; McRae, K. Isoflavone content of red clovers and their distribution in different parts harvested at different growing stages. J. Agric. Food Chem. 2006, 54, 5797–5805. [Google Scholar] [CrossRef]
- Saviranta, N.; Anttonen, M.; Wright, A.; Karjalainen, R. Red clover (Trifolium pretense L.) isoflavones: Determination of concentrations by plant stage, flower colour, plant part and cultivar. J. Sci. Food Agric. 2008, 88, 125–132. [Google Scholar] [CrossRef]
- Spanguolo, P.; Rasini, E.; Luini, A.; Legnaro, M.; Luzzani, M.; Casareto, E.; Carreri, M.; Paracchini, S.; Marino, F.; Cosentino, M. Isoflavone content and estrogenic activity of different batches of red clover (Trifolium pretense L.) extracts: An in vitro study in MCF-7 cells. Fitoterapia 2014, 94, 62–69. [Google Scholar] [CrossRef]
- Andres, S.; Hansen, U.; Niemann, B.; Palavinskas, R.; Lampen, A. Determination of the isoflavone composition and estrogenic activity of commercial dietary supplements based on soy or red clover. Food Funct. 2015, 6, 2017–2025. [Google Scholar] [CrossRef]
- Budryn, G.; Gałązka-Czarnecka, I.; Brzozowska, E.; Grzelczyk, J.; Mostowski, R.; Żyżelewicz, D.; Cerón-Carrasco, J.P.; Pérez-Sánchez, H. Evaluation of estrogenic activity of red clover (Trifolium pratense L.) sprouts cultivated under different conditions by content of isoflavones, calorimetric study and molecular modelling. Food Chem. 2018, 245, 324–336. [Google Scholar] [CrossRef] [PubMed]
- Tian, Z.; Liu, S.-B.; Wang, Y.-C.; Li, X.-Q.; Zheng, L.-H.; Zhao, M.-G. Neuroprotective effects of formononetin against NMDA-induced apoptosis in cortical neurons. Phytother. Res. 2013, 27, 1770–1775. [Google Scholar] [CrossRef]
- Tay, K.-C.; Tan, L.T.-H.; Chan, C.K.; Hong, S.L.; Chan, K.-G.; Yap, W.H.; Pusparajah, P.; Lee, L.-H.; Goh, B.-H. Formononetin: A review of its anticancer potentials and mechanisms. Front. Pharmacol. 2019, 10, 820. [Google Scholar] [CrossRef] [PubMed]
- Feng, Z.-J.; Lai, W.-F. Chemical and biological properties of biochanin A and its pharmaceutical applications. Pharmaceutics 2023, 15, 1105. [Google Scholar] [CrossRef] [PubMed]
- Raheja, S.; Girdhar, A.; Lather, V.; Pandita, D. Biochanin A: A phytoestrogen with therapeutic potential. Trends Food Sci. Technol. 2018, 79, 55–66. [Google Scholar] [CrossRef]
- Petrović, M.P.; Stanković, M.S.; Anđelković, B.S.; Babić, S.Ž.; Zornić, V.G.; Vasiljević, S.L.; Dajić-Stevanović, Z.P. Quality parameters and antioxidant activity of three clover species in relation to the livestock diet. Not. Bot. Horti. Agrobo. 2016, 44, 201–208. [Google Scholar] [CrossRef]
- Tava, A.; Pecio, Ł.; Lo Scalzo, R.; Stochmal, A.; Pecetti, L. Phenolic content and antioxidant activity in Trifolium germplasm from different environments. Molecules 2019, 24, 298. [Google Scholar] [CrossRef]
- Myers, S.P.; Vigar, V. Effects of a standardised extract of Trifolium pratense (Promensil) at a dosage of 80 mg in the treatment of menopausal hot flushes: A systematic review and meta-analysis. Phytomedicine 2017, 24, 141–147. [Google Scholar] [CrossRef]
- Bhagwat, S.; Haytowitz, D.B. USDA Database for the Isoflavone Content of Selected Foods, Release 2.1. 2015. Available online: http://www.ars.usda.gov/nutrientdata (accessed on 1 November 2023).
- Mikulić, M.; Atanacković Krstonošić, M.; Sazdanić, D.; Cvejić, J. Health Perspectives on Soy Isoflavones. In Phytochemicals in Soybean. Bioactivity and Health Benefits, 1st ed.; Li, Y., Qi, B., Eds.; CRC Press: Boca Raton, FL, USA, 2022; pp. 1–44. [Google Scholar] [CrossRef]
- Almeida, I.M.; Rodrigues, F.; Sarmento, B.; Alves, R.C.; Oliveira, M.B. Isoflavones in food supplements: Chemical profile, label accordance and permeability study in Caco-2 cells. Food Funct. 2015, 6, 938–946. [Google Scholar] [CrossRef]
- Maul, R.; Kulling, S.E. Absorption of red clover isoflavones in human subjects: Results from a pilot study. Br. J. Nutr. 2010, 103, 1569–1572. [Google Scholar] [CrossRef]
- Sivesind, E.; Seguin, P. Effects of the environment, cultivar, maturity, and preservation method on red clover isoflavone concentration. J. Agric. Food Chem. 2005, 53, 6397–6402. [Google Scholar] [CrossRef] [PubMed]
- Butkutė, B.; Lemežienė, N.; Dabkevičienė, G.; Jakštas, V.; Vilčinskas, E.; Janulis, V. Source of variation of isoflavone concentrations in perennial clover species. Pharmacogn. Mag. 2014, 10, S181–S188. [Google Scholar] [CrossRef] [PubMed]
- Taujenis, L.; Padarauskas, A.; Mikaliūnienė, J.; Cesevičienė, J.; Lemežienė, N.; Butkutė, B. Identification of isoflavones and their conjugates in red clover by liquid chromatography coupled with DAD and MS detectors. Chemija 2015, 26, 107–112. [Google Scholar]
- Egan, L.M.; Hofmann, R.W.; Ghamkhar, K.; Hoyos-Villegas, V. Prospects for trifolium improvement through germplasm characterisation and pre-breeding in New Zealand and Beyond. Front. Plant Sci. 2021, 12, 653191. [Google Scholar] [CrossRef] [PubMed]
- Řepková, J.; Nedělník, J. Modern methods for genetic improvement of Trifolium pratense. Czech J. Genet. Plant Breed. 2014, 50, 92–99. [Google Scholar] [CrossRef]
- Klejdus, B.; Vitamvasova, D.; Kuban, V. Reversed-phase high-performance liquid chromatographic determination of isoflavones in plant materials after isolation by solid-phase extraction. J. Chromatogr. A 1999, 839, 261–263. [Google Scholar] [CrossRef]
- Krenn, L.; Unterrieder, I.; Ruprechter, R. Quantification of isoflavones in red clover by high-performance liquid chromatography. J. Chromatogr. B 2002, 777, 123–128. [Google Scholar] [CrossRef]
- Kroyer, G.T. Red clover extract as antioxidant active and functional food ingredient. Innov. Food Sci. Emerg. Technol. 2004, 5, 101–105. [Google Scholar] [CrossRef]
- Brand-Wiliams, W.; Cuvelier, M.E.; Berset, C. Use of a free radical method to evaluate antioxidant activity. Food Sci. Technol. 1995, 28, 25–30. [Google Scholar] [CrossRef]
- Booth, N.L.; Overk, C.R.; Yao, P.; Totura, S.; Deng, Y.; Hedayat, A.S.; Bolton, J.L.; Pauli, G.F.; Farnsworth, N.R. Seasonal variation of red clover (Trifolium pratense L., Fabaceae) isoflavones and estrogenic activity. J. Agric. Food Chem. 2006, 54, 1277–1282. [Google Scholar] [CrossRef]
- Çölgeçen, H.; Çalişkan, U.K.; Kartal, M.; Büyükkartal, H.N. Comprehensive evaluation of phytoestrogen accumulation in plants and in vitro cultures of Medicago sativa L. ‘Elçi’ and natural tetraploid Trifolium pratense L. Turk. J. Biol. 2014, 38, 9. [Google Scholar] [CrossRef]
- Ercetin, T.; Toker, G.; Kartal, M.; Colgecen, H.; Toker, M.C. In vitro isoflavonoid production and analysis in natural tetraploid Trifolium pratense (red clover) calluses. Rev. Bras. Farmacogn. 2012, 22, 964–970. [Google Scholar] [CrossRef]
- Gikas, E.; Alesta, A.; Economou, G.; Karamanos, A.; Tsarbopoulos, A. Determination of isoflavones in the aerial part of red clover by HPLC–Diode Array Detection. J. Liq. Chromatogr. Relat. Technol. 2008, 31, 1181–1194. [Google Scholar] [CrossRef]
- Hloucalová, P.; Skládanka, J.; Horký, P.; Klejdus, B.; Pelikán, J.; Knotová, D. Determination of phytoestrogen content in fresh-cut legume forage. Animals 2016, 6, 43. [Google Scholar] [CrossRef]
- Lemežienė, N.; Padarauskas, A.; Butkutė, B.; Cesevičienė, J.; Taujenis, L.; Norkevičienė, E.; Mikaliūnienė, J. The concentration of isoflavones in red clover (Trifolium pratense L.) at flowering stage. Zemdirb. Agric. 2015, 102, 443–448. [Google Scholar] [CrossRef]
- Ramos, G.P.; Dias, P.M.; Morais, C.B.; Fröehlich, P.E.; Dall’Agnol, M.; Zuanazzi, J.A. LC determination of four isoflavone aglycones in red clover (Trifolium pratense L.). Chromatographia 2008, 67, 125–129. [Google Scholar] [CrossRef]
- Rapisarda, S.; Abu-Ghannam, N. Polyphenol characterization and antioxidant capacity of multi-species swards grown in Ireland—Environmental sustainability and nutraceutical potential. Sustainability 2023, 15, 634. [Google Scholar] [CrossRef]
- Radinović, I.; Vasiljević, S.; Zorić, M.; Branković, G.; Živanović, T.; Prodanović, S. Variability of red clover genotypes on the basis of morphological markers. Genetika 2018, 50, 895–906. [Google Scholar] [CrossRef]
- Sattler, M.C.; Carvalho, C.R.; Clarindo, W.R. The polyploidy and its key role in plant breeding. Planta 2016, 243, 281–296. [Google Scholar] [CrossRef]
- Drobna, J.; Jančovič, J. Estimation of red clover (Trifolium pratense L.) forage quality parameters depending on the variety, cut and growing year. Plant Soil Environ. 2006, 52, 468–475. [Google Scholar] [CrossRef]
- Amdahl, H.; Aamlid, T.S.; Marum, P.; Ergon, Å.; Alsheikh, M.; Rognli, O.A. Seed yield components in single plants of diverse Scandinavian tetraploid red clover populations (Trifolium pratense L.). Crop Sci. 2017, 57, 108–117. [Google Scholar] [CrossRef]
- Marković, J.; Lazarević, Đ.; Bekčić, F.; Terzić, D.; Vasić, T.; Živković, S.; Štrbanović, R. Protein and carbohydrate profiles of a diploid and a tetraploid red clover cultivar. Agric. Food Sci. 2022, 31, 104–112. [Google Scholar] [CrossRef]
- Miladinović, J.; Đorđević, V.; Belešević-Tubić, S.; Petrović, K.; Ćeran, M.; Cvejić, J.; Bursać, M.; Miladinović, D. Increase of isoflavones in the aglycone form in soybeans by targeted crossings of cultivated breeding material. Sci. Rep. 2019, 9, 10341. [Google Scholar] [CrossRef] [PubMed]
- Sazdanić, D.; Mikulić, M.; Kladar, N.; Hogervorst, J.; Atanacković Krstonošić, M. Analysis of the factors influencing red clover (Trifolium pratense L., Fabaceae) isoflavone content. Biol. Serb. 2018, 40, 34–41. [Google Scholar] [CrossRef]
- Horvat, D.; Tucak, M.; Viljevac Vuletić, M.; Čupić, T.; Krizmanić, G.; Kovačević Babić, M. Phenolic content and antioxidant activity of the Croatian red clover germplasm collection. Poljoprivreda 2020, 26, 3–10. [Google Scholar] [CrossRef]
- Esmaeili, A.K.; Taha, R.M.; Mohajer, S.; Banisalam, B. Antioxidant activity and total phenolic and flavonoid content of various solvent extracts from in vivo and in vitro grown Trifolium pratense L. (Red clover). BioMed Res. Int. 2015, 2015, 643285. [Google Scholar] [CrossRef]










| Samples | Sweden | Germany | Slovakia | Serbia | Czech Republic | France |
|---|---|---|---|---|---|---|
| Diploid (2n) | m20 (Bombi) 10.7 | m33 (Atelo) 8.6 | m77 (Marieta) 9.5 | k 17 8.7 | m84 (Bohemia) 7.3 | m58 (Crop) 8.1 |
| m23 (Merkur) 8.6 | m34 (Heges H) 8.5 | m79 (Slatina) 12.5 | Kolubara 8.1 | m86 (Chlumecky II) 7.2 | m59 (Diper) 7.2 | |
| m80 (Viglana) 5.7 | Una 8.6 | m90 (Radan) 6.2 | m62 (Levezou) 7.9 | |||
| Avala 8.5 | m91 (Slovenska B) 8.3 | m63 (Pales) 8.7 | ||||
| m65 (Verdi) 7.6 | ||||||
| Tetraploid (4n) | m21 (Fanny) 10.7 | m36 (Jubilatka) 11.9 | m81 (Sigord) 12.2 | |||
| m24 (Molly) 13.9 | m40 (Matero) 10.9 | m82 (Margot) 11.6 | ||||
| m26 (Pelly) 9.6 | m41 (Matri) 10.4 | |||||
| m28 (Sally) 11.4 | ||||||
| m29 (Sara) 13.2 |
| Leaf | Flower | Stem | ||||||||||||||
|---|---|---|---|---|---|---|---|---|---|---|---|---|---|---|---|---|
| Origin | Genotype | D * | G | F | B | Total | D | G | F | B | Total | D | G | F | B | Total |
| Sweden | m20 | 0.808 | 1.895 | 4.343 | 2.246 | 9.292 | 0.079 | 0.796 | 0.328 | 0.400 | 1.604 | 0.262 | 0.127 | 0.424 | 0.104 | 0.916 |
| m21 | 0.626 | 0.905 | 4.678 | 3.469 | 9.679 | 0.187 | 0.850 | 0.949 | 0.938 | 2.924 | 0.260 | 0.112 | 0.296 | 0.083 | 0.751 | |
| m23 | 0.176 | 3.241 | 1.487 | 1.237 | 6.141 | n.q. | 0.703 | 0.193 | 0.331 | 1.227 | 0.160 | 0.704 | 0.798 | 0.231 | 1.894 | |
| m24 | 0.531 | 1.524 | 2.920 | 3.436 | 8.411 | 0.100 | 0.864 | 0.558 | 0.550 | 2.072 | 0.242 | 0.180 | 0.371 | 0.115 | 0.909 | |
| m26 | 0.365 | 1.142 | 1.281 | 0.876 | 3.664 | 0.129 | 0.469 | 0.335 | 0.342 | 1.274 | 0.289 | 0.219 | 0.362 | 0.174 | 1.043 | |
| m28 | 0.239 | 1.303 | 1.739 | 1.804 | 5.084 | 0.076 | 0.973 | 0.651 | 0.887 | 2.587 | 0.141 | 0.157 | 0.277 | 0.125 | 0.700 | |
| m29 | 0.198 | 1.063 | 1.380 | 1.005 | 3.646 | 0.065 | 0.518 | 0.279 | 0.174 | 1.036 | 0.310 | 0.221 | 0.293 | 0.084 | 0.909 | |
| Germany | m33 | 0.250 | 1.224 | 1.359 | 2.009 | 4.842 | 0.079 | 0.661 | 0.465 | 0.582 | 1.787 | 0.334 | 0.119 | 0.143 | 0.092 | 0.689 |
| m34 | 0.467 | 0.988 | 2.576 | 2.471 | 6.502 | 0.084 | 0.524 | 0.444 | 0.570 | 1.622 | 0.230 | 0.235 | 0.214 | 0.157 | 0.835 | |
| m36 | 0.445 | 1.732 | 1.470 | 1.466 | 5.113 | 0.155 | 0.970 | 0.438 | 0.634 | 2.197 | 0.176 | 0.177 | 0.290 | 0.205 | 0.848 | |
| m40 | 0.376 | 4.519 | 2.129 | 4.869 | 11.894 | 0.074 | 1.182 | 0.498 | 1.521 | 3.275 | 0.165 | 0.438 | 0.277 | 0.238 | 1.118 | |
| m41 | 0.454 | 1.717 | 2.091 | 2.474 | 6.736 | 0.129 | 0.988 | 0.677 | 0.891 | 2.686 | 0.387 | 0.245 | 0.685 | 0.323 | 1.640 | |
| Slovakia | m77 | 0.243 | 0.627 | 0.305 | 0.591 | 1.766 | 0.045 | 0.507 | 0.139 | 0.315 | 1.005 | 0.116 | 0.511 | 0.237 | 0.184 | 1.048 |
| m79 | 0.328 | 0.597 | 1.061 | 1.742 | 3.727 | 0.121 | 0.504 | 0.584 | 1.081 | 2.289 | 0.347 | 0.242 | 0.600 | 0.229 | 1.417 | |
| m80 | 0.264 | 1.781 | 2.892 | 3.528 | 8.465 | 0.132 | 1.228 | 0.620 | 1.004 | 2.983 | 0.501 | 0.411 | 0.515 | 0.257 | 1.683 | |
| m81 | 0.460 | 2.777 | 1.328 | 3.378 | 7.943 | 0.096 | 0.798 | 0.532 | 1.153 | 2.580 | 0.590 | 0.613 | 0.531 | 0.398 | 2.131 | |
| m82 | 0.428 | 2.623 | 4.506 | 5.495 | 13.051 | 0.080 | 0.770 | 0.780 | 0.904 | 2.534 | 0.519 | 0.307 | 0.466 | 0.242 | 1.533 | |
| Serbia | k17 | 0.287 | 0.818 | 2.169 | 1.629 | 4.903 | 0.138 | 0.371 | 0.260 | 0.422 | 1.191 | 0.318 | 0.117 | 0.440 | 0.147 | 1.021 |
| Kolubara | 0.225 | 1.570 | 2.066 | 3.623 | 7.484 | 0.271 | 0.466 | 0.328 | 0.649 | 1.715 | 0.270 | 0.141 | 0.103 | 0.105 | 0.619 | |
| Una | 0.255 | 0.985 | 1.213 | 1.259 | 3.712 | 0.067 | 0.500 | 0.328 | 0.464 | 1.359 | 0.213 | 0.439 | 0.301 | 0.197 | 1.150 | |
| Avala | 0.128 | 1.397 | 1.964 | 1.863 | 5.352 | 0.095 | 0.408 | 0.331 | 0.473 | 1.307 | 0.174 | 0.521 | 0.443 | 0.273 | 1.411 | |
| Czech R. | m84 | 0.246 | 0.602 | 3.443 | 3.960 | 8.251 | n.q. | 0.321 | 0.636 | 0.759 | 1.717 | 0.373 | 0.213 | 1.544 | 0.565 | 2.695 |
| m86 | 0.189 | 0.611 | 1.064 | 2.293 | 4.157 | n.q. | n.q. | n.q. | 0.288 | 0.288 | n.q. | n.q. | 0.215 | 0.161 | 0.375 | |
| m90 | n.q. | 0.157 | 0.544 | 0.984 | 1.684 | n.q. | n.q. | n.q. | 0.451 | 0.451 | 0.161 | 0.096 | 0.336 | 0.285 | 0.878 | |
| m91 | n.q. | 0.224 | 0.374 | 0.794 | 1.393 | n.q. | 0.105 | 0.285 | 0.525 | 0.916 | 0.157 | 0.122 | 0.232 | 0.243 | 0.754 | |
| France | m58 | n.q. | 0.127 | 0.459 | 1.693 | 2.279 | n.q. | 0.111 | 0.212 | 0.875 | 1.198 | n.q. | n.q. | 0.115 | 0.174 | 0.288 |
| m59 | n.q. | n.q. | 0.277 | 0.593 | 0.870 | n.q. | n.q. | 0.274 | 0.504 | 0.778 | n.q. | n.q. | 0.193 | 0.186 | 0.378 | |
| m62 | n.q. | 0.430 | 0.729 | 5.034 | 6.194 | n.q. | n.q. | 0.307 | 0.817 | 1.124 | n.q. | 0.128 | 0.228 | 0.254 | 0.611 | |
| m63 | n.q. | 0.140 | 0.800 | 2.479 | 3.419 | n.q. | 0.192 | 0.116 | 0.593 | 0.901 | 0.171 | 0.117 | 0.421 | 0.207 | 0.915 | |
| m65 | n.q. | 0.120 | 0.220 | 0.770 | 1.110 | n.q. | 0.090 | 0.110 | 0.520 | 0.720 | n.q. | n.q. | 0.100 | 0.450 | 0.550 | |
| IC50 (mg/mL) | TPC (mg GAE/g of DW) | ||||||
|---|---|---|---|---|---|---|---|
| Origin | Genotype | Leaf | Flower | Stem | Leaf | Flower | Stem |
| Sweden | m20 | 0.152 ± 0.001 | 0.168 ± 0.007 | 0.377 ± 0.007 | 18.92 ± 0.25 | 17.51 ± 0.71 | 10.16 ± 0.54 |
| m21 | 0.143 ± 0.001 | 0.082 ± 0.006 | 0.228 ± 0.012 | 32.81 ± 0.21 | 39.50 ± 1.25 | 16.84 ± 0.22 | |
| m23 | 0.106 ± 0.011 | 0.123 ± 0.004 | 0.379 ± 0.005 | 27.52 ± 0.46 | 23.96 ± 0.47 | 8.70 ± 0.74 | |
| m24 | 0.132 ± 0.001 | 0.109 ± 0.021 | 0.465 ± 0.013 | 32.00 ± 0.50 | 30.65 ± 0.55 | 11.37 ± 0.14 | |
| m26 | 0.140 ± 0.003 | 0.158 ± 0.005 | 0.430 ± 0.005 | 32.52 ± 0.19 | 22.69 ± 0.32 | 12.44 ± 0.58 | |
| m28 | 0.114 ± 0.010 | 0.071 ± 0.006 | 0.568 ± 0.008 | 31.16 ± 0.36 | 43.18 ± 0.43 | 9.58 ± 0.41 | |
| m29 | 0.176 ± 0.021 | 0.106 ± 0.008 | 0.436 ± 0.011 | 26.30 ± 0.82 | 29.26 ± 0.67 | 12.94 ± 0.89 | |
| Germany | m33 | 0.091 ± 0.003 | 0.074 ± 0.004 | 0.359 ± 0.060 | 31.00 ± 0.45 | 39.09 ± 0.52 | 10.88 ± 0.58 |
| m34 | 0.102 ± 0.006 | 0.085 ± 0.004 | 0.413 ± 0.101 | 29.16 ± 0.41 | 35.58 ± 0.71 | 11.08 ± 0.33 | |
| m36 | 0.085 ± 0.003 | 0.098 ± 0.002 | 0.442 ± 0.017 | 35.91 ± 0.38 | 32.70 ± 0.25 | 10.46 ± 0.19 | |
| m40 | 0.092 ± 0.008 | 0.059 ± 0.008 | 0.412 ± 0.019 | 38.38 ± 0.18 | 47.05 ± 0.68 | 9.54 ± 0.21 | |
| m41 | 0.078 ± 0.002 | 0.066 ± 0.004 | 0.478 ± 0.008 | 37.23 ± 0.19 | 38.75 ± 0.20 | 9.61 ± 0.20 | |
| Slovakia | m77 | 0.073 ± 0.003 | 0.077 ± 0.001 | 0.400 ± 0.006 | 37.89 ± 0.80 | 31.21 ± 0.89 | 8.77 ± 0.14 |
| m79 | 0.077 ± 0.009 | 0.070 ± 0.002 | 0.360 ± 0.029 | 37.33 ± 0.22 | 38.19 ± 0.58 | 10.77 ± 0.22 | |
| m80 | 0.109 ± 0.005 | 0.081 ± 0.001 | 0.354 ± 0.018 | 32.35 ± 0.33 | 35.45 ± 0.33 | 12.57 ± 0.36 | |
| m81 | 0.077 ± 0.003 | 0.067 ± 0.003 | 0.319 ± 0.055 | 35.66 ± 0.29 | 37.18 ± 0.41 | 11.09 ± 0.41 | |
| m82 | 0.096 ± 0.005 | 0.064 ± 0.007 | 0.290 ± 0.047 | 31.11 ± 0.24 | 40.72 ± 0.55 | 12.17 ± 0.14 | |
| Serbia | k17 | 0.078 ± 0.005 | 0.086 ± 0.004 | 0.398 ± 0.070 | 31.43 ± 0.43 | 28.68 ± 0.47 | 6.76 ± 0.22 |
| Kolubara | 0.094 ± 0.003 | 0.074 ± 0.003 | 0.393 ± 0.011 | 28.05 ± 0.49 | 32.95 ± 0.59 | 8.18 ± 0.12 | |
| Una | 0.096 ± 0.004 | 0.082 ± 0.005 | 0.415 ± 0.046 | 31.98 ± 0.08 | 26.18 ± 0.74 | 6.24 ± 0.14 | |
| Avala | 0.088 ± 0.007 | 0.105 ± 0.003 | 0.333 ± 0.041 | 29.75 ± 0.13 | 25.36 ± 0.58 | 6.38 ± 0.15 | |
| Czech R. | m84 | 0.080 ± 0.006 | 0.093 ± 0.005 | 0.279 ± 0.012 | 26.20 ± 0.19 | 26.74 ± 0.45 | 9.50 ± 0.11 |
| m86 | 0.120 ± 0.004 | 0.145 ± 0.004 | 0.417 ± 0.018 | 27.66 ± 0.38 | 19.20 ± 0.36 | 10.25 ± 0.22 | |
| m90 | 0.079 ± 0.004 | 0.167 ± 0.001 | 0.332 ± 0.022 | 27.77 ± 0.41 | 15.36 ± 0.25 | 7.75 ± 0.17 | |
| m91 | 0.215 ± 0.005 | 0.196 ± 0.002 | 0.345 ± 0.006 | 18.67 ± 0.39 | 15.13 ± 0.14 | 9.32 ± 0.15 | |
| France | m58 | 0.208 ± 0.005 | 0.114 ± 0.008 | 0.396 ± 0.039 | 7.35 ± 0.13 | 13.68 ± 0.42 | 3.90 ± 0.11 |
| m59 | 0.120 ± 0.002 | 0.083 ± 0.006 | 0.312 ± 0.012 | 15.77 ± 0.49 | 17.61 ± 0.18 | 2.89 ± 0.12 | |
| m62 | 0.092 ± 0.005 | 0.068 ± 0.001 | 0.290 ± 0.011 | 18.73 ± 0.33 | 22.35 ± 0.22 | 6.58 ± 0.14 | |
| m63 | 0.182 ± 0.001 | 0.114 ± 0.003 | 0.337 ± 0.035 | 12.76 ± 0.39 | 13.39 ± 0.44 | 5.87 ± 0.12 | |
| m65 | 0.112 ± 0.002 | 0.070 ± 0.001 | 0.307 ± 0.011 | 11.20 ± 0.14 | 16.22 ± 0.25 | 7.64 ± 0.23 | |
Disclaimer/Publisher’s Note: The statements, opinions and data contained in all publications are solely those of the individual author(s) and contributor(s) and not of MDPI and/or the editor(s). MDPI and/or the editor(s) disclaim responsibility for any injury to people or property resulting from any ideas, methods, instructions or products referred to in the content. |
© 2023 by the authors. Licensee MDPI, Basel, Switzerland. This article is an open access article distributed under the terms and conditions of the Creative Commons Attribution (CC BY) license (https://creativecommons.org/licenses/by/4.0/).
Share and Cite
Mikulić, M.; Atanacković Krstonošić, M.; Kladar, N.; Vasiljević, S.; Katanski, S.; Mamlić, Z.; Rakić, D.; Cvejić, J. Phytochemical Composition of Different Red Clover Genotypes Based on Plant Part and Genetic Traits. Foods 2024, 13, 103. https://doi.org/10.3390/foods13010103
Mikulić M, Atanacković Krstonošić M, Kladar N, Vasiljević S, Katanski S, Mamlić Z, Rakić D, Cvejić J. Phytochemical Composition of Different Red Clover Genotypes Based on Plant Part and Genetic Traits. Foods. 2024; 13(1):103. https://doi.org/10.3390/foods13010103
Chicago/Turabian StyleMikulić, Mira, Milica Atanacković Krstonošić, Nebojša Kladar, Sanja Vasiljević, Snežana Katanski, Zlatica Mamlić, Dušan Rakić, and Jelena Cvejić. 2024. "Phytochemical Composition of Different Red Clover Genotypes Based on Plant Part and Genetic Traits" Foods 13, no. 1: 103. https://doi.org/10.3390/foods13010103
APA StyleMikulić, M., Atanacković Krstonošić, M., Kladar, N., Vasiljević, S., Katanski, S., Mamlić, Z., Rakić, D., & Cvejić, J. (2024). Phytochemical Composition of Different Red Clover Genotypes Based on Plant Part and Genetic Traits. Foods, 13(1), 103. https://doi.org/10.3390/foods13010103

